Next Article in Journal
A Microbial Food Web Dynamics Under the Influence of Leachate Recirculation
Next Article in Special Issue
New Asymptotic and Oscillatory Results for Third-Order Noncanonical Advanced Differential Equations
Previous Article in Journal
Backfire Effect Reveals Early Controversy in Online Media
Previous Article in Special Issue
Sufficient Conditions for the Non-Existence of Global Solutions to Fractional Systems with Lower-Order Hadamard-Type Fractional Derivatives
 
 
Font Type:
Arial Georgia Verdana
Font Size:
Aa Aa Aa
Line Spacing:
Column Width:
Background:
Article

Bifurcation and Optimal Control Analysis of an HIV/AIDS Model with Saturated Incidence Rate

by
Marsudi Marsudi
*,
Trisilowati Trisilowati
and
Raqqasyi R. Musafir
Department of Mathematics, Faculty of Mathematics and Natural Sciences, University of Brawijaya, Malang 65145, Indonesia
*
Author to whom correspondence should be addressed.
Mathematics 2025, 13(13), 2149; https://doi.org/10.3390/math13132149
Submission received: 30 May 2025 / Revised: 26 June 2025 / Accepted: 26 June 2025 / Published: 30 June 2025

Abstract

In this paper, we develop an HIV/AIDS epidemic model that incorporates a saturated incidence rate to reflect the limited transmission capacity and the impact of behavioral saturation in contact patterns. The model is formulated as a system of seven non-linear ordinary differential equations representing key population compartments. In addition to model formulation, we introduce an optimal control problem involving three control measures: educational campaigns, screening of unaware infected individuals, and antiretroviral treatment for aware infected individuals. We begin by establishing the positivity and boundedness of the model solutions under constant control inputs. The existence and local and global stability of both the disease-free and endemic equilibrium points are analyzed, depending on the effective reproduction number ( R e ). Bifurcation analysis reveals that the model undergoes a forward bifurcation at R e = 1 . A local sensitivity analysis of R e identifies the disease transmission rate as the most sensitive parameter. The optimal control problem is then formulated by incorporating the dynamics of infected subpopulations, control costs, and time-dependent controls. The existence of optimal control solutions is proven, and the necessary conditions for optimality are derived using Pontryagin’s Maximum Principle. Numerical simulations support the theoretical analysis and confirm the stability of the equilibrium points. The optimal control strategies, evaluated using the Incremental Cost-Effectiveness Ratio (ICER), indicate that implementing both screening and treatment (Strategy D) is the most cost-effective intervention. These results provide important insights for designing effective and economically sustainable HIV/AIDS intervention policies.
MSC:
34D23; 92D25; 92D30; 49J15; 37N35

1. Introduction

The human immunodeficiency virus (HIV) is a virus that attacks the body’s immune system by targeting white blood cells, increasing susceptibility to infections such as tuberculosis and certain cancers, and it continues to pose a serious global public health challenge, particularly when transmitted through unprotected sexual intercourse. Acquired immunodeficiency syndrome (AIDS) represents the most advanced stage of HIV infection, typically developing after years without treatment [1]. Prevention strategies are essential and include consistent and correct condom use, comprehensive sexual health education, and public education campaigns. Early diagnosis and the timely initiation of antiretroviral therapy (treatment) are crucial to controlling the infection and preventing progression to severe immunodeficiency, opportunistic infections, increased mortality, and reduced quality of life. Globally, an estimated 39.9 million people were living with HIV in 2023, with 1.3 million new cases that year. Sub-Saharan Africa remains the most affected region, accounting for over two-thirds of the global HIV burden. The global prevalence among adults aged 15–49 is about 0.6%, with women and girls representing 53% of all HIV cases [2]. Despite significant progress in expanding access to antiretroviral therapy (ART), which now reaches 30.7 million people, the HIV epidemic continues to be a major public health issue. Timely screening and widespread ART availability are crucial to reducing transmission and improving health outcomes. On the other hand, screening for HIV/AIDS remains critically important due to its profound impact on individuals co-infected with other diseases. For instance, de Resende et al. [3] reported that the treatment of Tuberculosis (TB) becomes significantly less effective in the presence of HIV/AIDS co-infection. This highlights the urgent need for early diagnosis and comprehensive screening programs, particularly in regions with high rates of HIV/TB co-morbidity, to ensure effective disease management and improve overall health outcomes. The global spread of the HIV/AIDS epidemic has established it as a significant worldwide issue and an increasingly urgent public health challenge. The study of HIV/AIDS transmission dynamics has attracted great attention from both mathematicians and biologists due to the multidimensional crisis, particularly in the health sector.
Due to its ability to provide both short-term and long-term forecasts of HIV and AIDS prevalence, the mathematical modeling approach has become an essential tool in analyzing the transmission and control of HIV/AIDS. There are many models in the literature that describe the dynamics of HIV/AIDS spread using a system of nonlinear differential equations. The model in [4,5,6,7], for example, incorporates behavior control through public education campaigns. These studies concluded that such campaigns, based on the ABC (Abstinence, Be faithful, use Condoms) strategy, can effectively reduce HIV/AIDS transmission. Antiretroviral treatment plays a crucial role in mitigating the spread of diseases such as HIV/AIDS. The model in [7] integrates behavioral intervention through education campaigns with biomedical treatment during the pre-AIDS stage. It introduces compartments for individuals practicing abstinence or faithfulness, condom users, and those under treatment. Thus, a compartmental HIV/AIDS model with seven population groups was developed to assess the impact of education campaigns and pre-AIDS treatment. This study used nonlinear differential equations to analyze stability and derive the effective reproduction number. The study concludes that treatment is the most effective among the three strategies. Furthermore, studies [8,9,10] indicate that well-designed public health education campaigns significantly influence HIV/AIDS transmission dynamics by highlighting their essential role in prevention efforts.
In mathematical epidemiology, disease incidence plays an important role in the study of epidemiological mathematical models. The incidence rate of disease is the rate at which new cases of infection appear in the population due to significant contact between susceptible individuals and infected individuals. Several types of incidence rates have been introduced in classical epidemiological modeling. The incidence rate of the form β S I is called the bilinear incidence rate. In contrast, the incidence of the form β S I N , where β is the contact rate between susceptible and infected individuals, S is the number of susceptible individuals, I is the number of infectious individuals, and N is the total population, is known as the standard incidence rate [11]. Both types have been widely used in the literature [7,8,9,10]. However, there are various reasons to modify these traditional incidence formulations. For instance, if the assumption of homogeneous mixing within the population does not hold, a nonlinear transmission function may be introduced to better reflect heterogeneous mixing and realistic population structures. A more accurate alternative is the saturated incidence rate, expressed as β S I 1 + c I   , which incorporates the inhibitory effect (c) associated with high levels of infected individuals. To capture the inhibitory effects arising from behavioral changes or the density of infected individuals, neither the mass action incidence nor the standard incidence function is sufficient. Several studies have shown that the saturated incidence rate provides a more realistic representation of population behavior in large populations, where an increase in disease prevalence induces intrinsic behavioral changes that lead to a decrease in the incidence rate [12]. Moreover, the saturated incidence formulation also prevents the assumption of unbounded contact rates, which is more consistent with reality, as the number of effective transmission contacts is inherently limited [13]. Several mathematical models have been formulated using saturated functions to represent disease incidence or control measures such as treatment [14,15,16] and references therein.
Optimal control theory is a powerful tool for designing intervention strategies to minimize infection rates while considering implementation costs in epidemiological models [17,18]. This approach has been widely applied to HIV/AIDS dynamics. For example, Yusuf and Benyah [19] incorporated behavior change and antiretroviral therapy (ART), showing that early ART combined with behavioral interventions reduces HIV incidence and prevalence. Joshi et al. [4] emphasized the impact of information campaigns and awareness-based stratification in reducing HIV transmission. According to Safiel et al. [8], screening individuals unaware of their HIV status and treating identified cases are both effective in reducing the transmission of HIV/AIDS within a population. Building upon this framework, Okosun et al. [9] extended this by including condom use, screening, and treatment in a time-dependent control model. Furthermore, Al Basir et al. [20] proposed an optimal control problem involving media campaigns and treatment in an infectious disease model, demonstrating that the implementation of both control strategies can effectively reduce disease cases while minimizing associated costs. Through the application of optimal control theory and cost-effectiveness analysis, their research highlighted the significant impact of awareness among infected individuals on disease transmission and associated costs. Their findings concluded that the most cost-effective intervention involves the combined implementation of all control strategies. A related study [7] also examined the impact of information campaigns and treatment using optimal control and numerical simulations, confirming treatment as the most cost-effective strategy among those evaluated. The authors suggested incorporating the progression rate from asymptomatic infection to pre-AIDS as a control variable, given its high sensitivity index. In recent years, pharmacological prevention strategies such as Pre-Exposure Prophylaxis (PrEP) and Post-Exposure Prophylaxis (PEP) have gained increasing attention as essential components in the global effort to control HIV transmission. These interventions, though not yet widely incorporated in many mathematical models, represent critical tools in preventing new infections, particularly among high-risk populations. Chazuka et al. [21] demonstrated the significant impact of including PrEP, condom use, and antiretroviral treatment in an optimal control model, showing notable reductions in transmission levels and highlighting the importance of evaluating the cost-effectiveness of combined interventions. Considering these developments, future HIV/AIDS transmission models should incorporate both PrEP and PEP to better align with current public health strategies and to improve the practical applicability of model-based recommendations. Extending this to a co-infection setting, a model in [22] incorporated a protected class and three time-dependent control measures for HIV and hepatitis B virus (HBV). The results show that integrating protective classes improves intervention outcomes and resource allocation. Collectively, these studies highlight the value of optimal control and cost-effectiveness analysis in guiding public health strategies to manage the transmission of diseases other than HIV/AIDS [23,24,25,26,27,28,29].
Motivated by the above studies, this study extends the HIV/AIDS model in [7] by adding a screening intervention for unaware infected individuals, assuming a saturated incidence rate, and including treatment failure, where individuals return to the aware infected class due to drug resistance or poor adherence. A deterministic compartmental model is proposed to capture the dynamics of HIV/AIDS transmission, followed by a comprehensive qualitative and quantitative analysis. Specifically, this study establishes the existence and stability of the disease-free and endemic equilibria and investigates the occurrence of bifurcations and their epidemiological implications. The model is further formulated as an optimal control problem by introducing time-dependent control variables representing educational campaigns, screening of unaware infected individuals, and treatment of aware infected individuals. The pairwise effectiveness of these controls is analyzed, and the most cost-effective strategy is identified using the incremental cost-effectiveness ratio (ICER). The novelty of this study lies in the comprehensive integration of three interventions (educational campaigns, screening, and treatment) into a unified modeling framework with saturated incidence. Additionally, this study evaluates the role of preventive interventions, including antiretroviral therapy, public health campaigns, and condom use, with particular emphasis on education for susceptible individuals, screening for the unaware infected, and treatment for the aware infected. By combining rigorous mathematical analysis with optimal control and cost-effectiveness evaluation, this study provides valuable insights for designing efficient and sustainable interventions for HIV/AIDS control.
This paper is organized as follows: Section 2 describes the formulation of a deterministic model for HIV/AIDS with a saturated incidence rate. In Section 3, we conduct a detailed analysis of the model, including its basic properties, the characterization of equilibrium points, and the derivation of the effective reproduction number. The section further investigates the local and global equilibria, bifurcation phenomena, and sensitivity analysis. In Section 4, the model is extended to an optimal control framework, and Pontryagin’s Maximum Principle is employed to characterize the optimal control strategies. Section 5 presents numerical simulations based on selected parameter values to illustrate the analytical results of the model and includes a cost-effectiveness analysis of the proposed control strategies. Finally, Section 6 concludes the study with a summary of the key findings and potential directions for future research.

2. Formulation of the Model

In this section, we formulate a mathematical model for the transmission dynamics of HIV/AIDS in a population under the influence of three control strategies with a saturated incidence rate. The total human population N is divided into seven compartments based on the epidemiological status of individuals, as follows: S   is the number of susceptible individuals, S 1   is the number of educated susceptible individuals who practice abstinence or faithfulness (AB behavior), S 2 is the number of educated susceptible individuals who use condoms (C behavior), I u   is the number of unaware infected individuals, I a   is the number of aware (screened) infected individuals, T   is the number of individuals receiving antiretroviral (ARV) treatment, and A   is the number of individuals at the critical stage of infection caused by HIV (full-blown AIDS). We consider a sexually active population, and the total population at time t   is given by
N ( t ) = S ( t ) + S 1 ( t ) + S 2 ( t ) + I u ( t ) + I a ( t ) + T ( t ) + A ( t ) .
Susceptible individuals are uninfected but at risk of acquiring HIV through contact with the three actively infectious classes, I u ,   I a ,   and T . The treated class consists of individuals receiving antiretroviral treatment for the screened infected class. The model assumes that the transmission follows a saturated incidence rate. The number of susceptible individuals S is assumed to increase as new individuals enter the sexually active population at a constant recruitment rate Λ . Susceptible individuals are reduced by the force of infection:
λ ( I u , I a , T ) = β ( I u + η 1 I a + η 2 T ) 1 + ω ( I u + I a + T ) ,
where β is the effective contact rate, and η 1 ,   η 2 ( 0 ,   1 ) is the modification parameter relative infectivity of individuals in I a and T , respectively. We assume that η 1 > η 2 . This inequality reflects those individuals in the I a compartment (infected but not yet treated) has a higher transmission potential than those in the T compartment (under treatment). This assumption is biologically reasonable, as effective treatment typically reduces viral load and hence lowers the probability of onward transmission. The parameter that represents the psychological or inhibitory effect is denoted by ω . As the total number of infectious individuals increases, this term reflects a reduction in transmission due to fear-induced behavioral changes in the population, such as increased caution or reduced contact. When ω = 0 ,   no such behavioral effects exist and the incidence increases linearly. For ω > 0 , the incidence saturates, providing a more realistic depiction of HIV transmission dynamics. As a result of the educational campaigns denoted by control ξ ,   w h e r e   ξ represents the intensity of the education campaigns, the general susceptible population S is subdivided into two distinct subgroups: S 1   and S 2   . The rate at which individuals enter subgroup S i   f o r   i = 1 ,   2   is given by α i ξ S i ,   where α 1   and   α 2   are transfer rates to the educated susceptible classes S 1   and   S 2   , respectively. This modeling approach, which captures the impact of educational interventions on individual behavior within the susceptible population, follows the framework introduced by Joshi et al. [4] and extended by Hota et al. [5]. The number of individuals in the S class is further reduced by a natural death at a rate μ . Therefore, the rate of change in the number of susceptible individuals with time is given by
d S d t = Λ λ ( I u , I a , T ) S ( ξ α 1 + ξ α 2 + μ ) S .
The population of educated susceptible individuals who practice AB behavior increases as susceptible individuals receive educational campaigns at a rate α 1 and decreases due to the force of infection at the rate 1 ψ 1 λ I u ,   I a , T , where ψ 1 represents the effectiveness of these campaigns in promoting AB behavior. Additionally, the number of individuals in the S 1 class is further reduced by natural death at a rate μ . Therefore, the rate of change in the number of susceptible individuals practicing AB behavior due to educational campaigns is given by
d S 1 d t = ξ α 1 S ( 1 ψ 1 ) λ ( I u , I a , T ) S 1 μ S 1 .
The population of educated susceptible individuals who practice C behavior increases as susceptible individuals receive educational campaigns at a rate α 2 . It decreases due to the force of infection at the rate 1 ψ 2 λ I u ,   I a , T , where ψ 2 denotes the effectiveness of the campaigns in promoting C behavior. The number of individuals in the S 2 class also declines due to natural death at a rate μ . Therefore, the rate of change in the number of susceptible individuals practicing C behavior because of educational campaigns is given by
d E 2 d t = ξ α 2 S ( 1 ψ 2 ) λ ( I u , I a , T ) S 2 μ S 2 .
The population of unaware infected individuals is generated by the force of infections λ I u ,   I a , T , 1 ψ 1 λ I u ,   I a , T , and 1 ψ 2 λ I u ,   I a , T . It decreases due to screening interventions among unaware infected individuals at a rate θ , and is further reduced by progression to full-blown AIDS at a rate σ 1 , as well as by natural death at a rate μ . Thus, the rate of change in the number of unaware infected individuals is given by
d I u d t = λ ( I u , I a , T ) S + ( 1 ψ 1 ) λ ( I u , I a , T ) S 1 + ( 1 ψ 2 ) λ ( I u , I a , T ) S 2 ( θ + σ 1 + μ ) I u .
The population of aware infected individuals increases through screening of unaware infected individuals at a rate θ . It increases when individuals in T failed in treatment at a rate 1 p γ with p   0 p 1   is the proportion of individuals who successfully undergo treatment. This population decreases due to the intervention of antiretroviral treatment at a rate τ , and is further reduced by progression to full-blown AIDS at a rate σ 2 . The number of individuals in the I a class is further reduced by natural death at a rate μ . Therefore, the rate of change in the number of aware individuals over time is given by
d I a d t = θ I u + ( 1 p ) γ T ( τ + σ 2 + μ ) I a
The population of treated infected individuals increases due to the intervention of antiretroviral treatment to aware infected individuals at a rate τ . The number of individuals in the T class is further decreases due to progression to full-blown AIDS at a rate σ 3 and natural death at a rate μ . Therefore, the rate of change in the number of treated infected individuals over time is given by
d T d t = τ I a ( ( 1 p ) γ + σ 3 + μ ) T .
The population of AIDS individuals increases due to the progression of unaware infected individuals, aware infected individuals, and treated individuals to the AIDS class, at rates σ 1 ,   σ 2 ,   and σ 3   respectively. The number of individuals in the A class is further decreases due to natural death at a rate μ and further decreased by AIDS-induced death at a rate δ . In this model, disease-induced death is considered only in the A (AIDS) compartment, as individuals in this stage experience the most severe health deterioration and highest mortality risk. For the other infected classes ( I u , I a , a n d   T ) , we assume that mortality is primarily due to natural causes, under the rationale that early-stage infection and treatment can significantly delay or reduce disease-related deaths. This simplification allows the model to focus on the most critical stage of HIV progression while maintaining analytical tractability. Therefore, the rate of change in the number of individuals with full-blown AIDS over time is given by
d A d t = σ 1 I u + σ 2 I a + σ 3 T ( δ + μ ) A .
Figure 1 illustrates the compartmental diagram of the proposed HIV/AIDS transmission model, which consists of seven interconnected compartments representing different population subgroups. The model incorporates three key time-dependent control interventions: educational campaigns targeting susceptible individuals, screening efforts aimed at identifying unaware infected individuals, and antiretroviral treatment (ART) for those who are aware of their infection status. A saturated incidence function is employed to reflect behavioral limitations in contact rates as the infection burden increases. Transitions between compartments are governed by nonlinear differential equations that describe the progression of individuals through stages of susceptibility, infection, treatment, and disease. The inclusion of control variables enables the assessment of intervention strategies over time. Table 1 summarizes the model parameters, including their descriptions, assigned baseline values, and references from which these values were assumed or estimated. These parameters are selected based on existing literature to ensure biological realism and facilitate meaningful interpretation of simulation results.
Based on the compartmental diagram, the model describing the transmission dynamics of HIV/AIDS with a saturated incidence rate is given by the following system of seven nonlinear ordinary differential equations, as shown in Equation (8).
d S d t = Λ λ ( I u , I a , T ) S ( ξ α 1 + ξ α 2 + μ ) S , d S 1 d t = ξ α 1 S ( 1 ψ 1 ) λ ( I u , I a , T ) S 1 μ S 1 , d S 2 d t = ξ α 2 S ( 1 ψ 2 ) λ ( I u , I a , T ) S 2 μ S 2 , d I u d t = λ ( I u , I a , T ) S + ( 1 ψ 1 ) λ ( I u , I a , T ) S 1 + ( 1 ψ 2 ) λ ( I u , I a , T ) S 2 ( θ + σ 1 + μ ) I u , d I a d t = θ I u + ( 1 p ) γ T ( τ + σ 2 + μ ) I a , d T d t = τ I a ( ( 1 p ) γ + σ 3 + μ ) T , d A d t = σ 1 I u + σ 2 I a + σ 3 T ( δ + μ ) A .
with non-negative initial conditions,
S ( 0 ) = S 0 , S 1 ( 0 ) = S 1 0 , S 2 ( 0 ) = S 2 0 , I u ( 0 ) = I u 0 , I a ( 0 ) = I a 0 , T ( 0 ) = T 0 , A ( 0 ) = A 0 .

3. Analysis of the Model

3.1. Positivity and Boundedness of Solutions

Lemma 1. 
If S ( 0 ) , S 1 ( 0 ) , S 2 ( 0 ) , I u ( 0 ) , I a ( 0 ) , T ( 0 ) , A ( 0 ) are non-negative, then the solutions of model (8) are non-negative for all t 0 .
Proof. 
To prove this, we employ proof by contradiction to demonstrate that each state variable remains non-negative for all t 0 . Let us denote
m ( t ) = min S ( t ) , S 1 ( t ) , S 2 ( t ) , I u ( t ) , I a ( t ) , T ( t ) , A ( t )
Given that all initial conditions are non-negative, it follows that m ( 0 ) 0 . We will use a proof by contradiction to show that m ( t ) 0 for all t 0 , so that each variable remains non-negative. Assume the contrary, then suppose that there exists a time t 1 > 0 , which is the first time such that
m ( t 1 ε ) 0 , m ( t 1 ) = 0 , and   m ( t 1 + ε ) < 0 ,
for some positive constant ε . From model (8), we have the following cases:
  • If m t 1 = S ( t 1 ) , then we have
    d m d t t = t 1 = Λ λ I u ( t 1 ) , I a ( t 1 ) , T ( t 1 ) S ( t 1 ) ( ξ α 1 + ξ α 2 + μ ) S ( t 1 ) = Λ 0
  • If m t 1 = S 1 ( t 1 ) , then we have
    d m d t t = t 1 = ξ α 1 S ( t 1 ) ( 1 ψ 1 ) λ I u ( t 1 ) , I a ( t 1 ) , T ( t 1 ) S 1 ( t 1 ) μ S 1 ( t 1 ) = ξ α 1 S ( t 1 ) 0
  • If m t 1 = S 2 ( t 1 ) , then we have
    d m d t t = t 1 = ξ α 2 S ( t 1 ) ( 1 ψ 2 ) λ I u ( t 1 ) , I a ( t 1 ) , T ( t 1 ) S 2 ( t 1 ) μ S 2 ( t 1 ) = ξ α 2 S ( t 1 ) 0
  • If m t 1 = I u ( t 1 ) , then we have
    d m d t t = t 1 = λ I u ( t 1 ) , I a ( t 1 ) , T ( t 1 ) S ( t 1 ) + ( 1 ψ 1 ) S 1 ( t 1 ) + ( 1 ψ 2 ) S 2 ( t 1 ) ( θ + σ 1 + μ ) I u ( t 1 )         = λ I u ( t 1 ) , I a ( t 1 ) , T ( t 1 ) S ( t 1 ) + ( 1 ψ 1 ) S 1 ( t 1 ) + ( 1 ψ 2 ) S 2 ( t 1 ) 0 .
  • If m t 1 = I α ( t 1 ) , then we have
    d m d t t = t 1 = θ I u ( t 1 ) + ( 1 p ) γ T ( t 1 ) ( τ + σ 2 + μ ) I a ( t 1 ) = θ I u ( t 1 ) + ( 1 p ) γ T ( t 1 ) 0
  • If m t 1 = T ( t 1 ) , then we have
    d m d t t = t 1 = τ I a ( t 1 ) ( 1 p ) γ + σ 2 + μ T ( t 1 ) = τ I a ( t 1 ) 0
  • If m t 1 = A ( t 1 ) , then we have
    d m d t t = t 1 = σ 1 I u ( t 1 ) + σ 2 I a ( t 1 ) + σ 3 T ( t 1 ) ( δ + μ ) A ( t 1 ) = σ 1 I u ( t 1 ) + σ 2 I a ( t 1 ) + σ 3 T ( t 1 ) 0
According to each case, we have m t 1 0 . By the Monotonicity Theorem, it follows that m t 1 + ε 0 for all ε > 0 , which contradicts the assumption in Equation (10), that is m t 1 + ε < 0 for some ε > 0 . Hence, the contradiction implies that given m 0 0 , we have m t 0 for all t > 0 . Therefore, if the initial values are non-negative, then all variables remain non-negative, which implies that the solution of model (8) is non-negative. This completes the proof.
Lemma 2. 
Solution of model (8) with non-negative initial values are bounded.
Proof. 
Let ( S , S 1 , S 2 , I u , I a , T , A ) R + 7 be an arbitrary non-negative solution of model (8) with initial conditions given in Equation (9). The total population N ( t ) = S ( t ) + S 1 ( t ) + S 2 ( t ) + I u ( t ) + I a ( t ) + T ( t ) + I ( t ) . Now, adding all the differential equations given in Equation (1), we obtain the derivative of the total population N ( t ) to time t
d N ( t ) d t = Λ μ N ( t ) δ A ( t ) .  
Next, disregarding the infections A ( t ) , we determine that
d N ( t ) d t Λ μ N ( t ) .
Thus, for the initial condition 0 N Λ μ , and by applying the Standard Comparison Theorem [30], we get
0 N ( t ) Λ μ .
Therefore, the solutions S ( t ) , S 1 ( t ) , S 2 ( t ) , I u ( t ) , I a ( t ) , T ( t ) , and A ( t ) of model (8) are bounded above by Λ / μ . This completes the proof.
Hence, the biologically feasible region of the HIV/AIDS model (8) is given the following positively invariant region:
Ω = ( S , S 1 , S 2 , I u , I a , T , A ) R + 7 | 0 S + S 1 + S 2 + I u + I a + T + A Λ μ .

3.2. Existence of Equilibrium Points

To determine the equilibrium solutions of model (8), we first assume that the education control ξ   is a constant parameter. Then, we set the right-hand sides of the equations for model (8) to zero and solve the resulting system.

3.2.1. Disease-Free Equilibrium (DFE) and Effective Reproduction Number

The disease-free equilibrium (DFE) of the HIV/AIDS model (8) is given by
E 0 = S 0 , S 1 0 , S 2 0 , I u 0 , I a 0 , T 0 , A 0         = Λ ξ α 1 + ξ α 2 + μ , ξ α 1 Λ μ ( ξ α 1 + ξ α 2 + μ ) , ξ α 2 Λ μ ( ξ α 1 + ξ α 2 + μ ) , 0 , 0 , 0 , 0
To determine the effective reproduction number for model (8), we employ the next-generation matrix method as presented in [31]. Following the approach described in [31,32], we construct the matrix F and V , which represent the matrix of new infections and the transition matrix between the compartments of the system, respectively. Considering the infected compartments x = I u , I a , T , A T , the right-hand side of model (8) can be rewritten as
d x d t = F ( x ) V ( x )
where
F = λ ( I u , I a , T ) S + c 1 λ ( I u , I a , T ) S 1 + c 2 λ ( I u , I a , T ) S 2 0 0 0 , V = L I u θ I u ( 1 p ) γ T + M I a τ I a + W T σ 1 I u σ 2 I a σ 3 T + P A .
The matrix F is the Jacobian matrix of F evaluated at the disease-free equilibrium E 0 , and the matrix V is the Jacobian matrix of V evaluated at the disease-free equilibrium E 0 , as follows:
F = β Q Λ μ K β η 1 Q Λ μ K β η 2 Q Λ μ K 0 0 0 0 0 0 0 0 0 0 0 0 0 and   V = L 0 0 0 θ M ( 1 p ) γ 0 0 τ W 0 σ 1 σ 2 σ 3 P .
The next-generation matrix ( F V 1 ) is
F V 1 = β Λ Q μ K L + β Λ η 1 θ Q W μ K L D + β Λ η 2 θ τ Q μ K L D β Λ η 1 Q W μ K D + β Λ η 2 τ Q μ K D β Λ η 1 Q ( 1 p ) γ μ K D + β Λ η 2 Q M μ K D 0 0 0 0 0 0 0 0 0 0 0 0 0
where
K = ξ α 1 + ξ α 2 + μ , L = θ + σ 1 + μ , M = τ + σ 2 + μ , W = ( 1 p ) γ + σ 3 + μ , P = δ + μ , c 1 = 1 ψ 1 , c 2 = 1 ψ 2 , Q = c 1 ξ α 1 + c 2 ξ α 2 + μ , D = M W ( 1 p ) γ τ .
Hence, the effective reproduction number of model (8) is defined as the maximum of the absolute values of the eigenvalues of the next-generation matrix, F V 1 , given by
R e = β Λ Q μ K L + β Λ η 1 θ Q W μ K L D + β Λ η 2 θ τ Q μ K L D = R I u + R I a + R T ,
where R I u = β Λ Q μ K L , R I a = β Λ Q η 1 θ W μ K L D , and R T = β Λ Q η 2 θ τ μ K L D . Here, R I u is the contribution to the reproduction number with intervention by unaware infected individuals I u , R I a is the contribution to the reproduction number with intervention by aware (screened) infected individuals I a , and R T is the contribution to the reproduction number by treated individuals T.
When education campaigns, screening, and treatment are implemented to control and eradicate the disease, the effective reproduction number represents the average number of new infections generated by a single HIV-infected individual in a susceptible population, under the influence of these control strategies.

3.2.2. Existence of Endemic Equilibrium

In this subsection, we will find conditions for the existence of an endemic equilibrium (EE) for model (8). Let us determine the effective reproduction number. The equilibrium of model (8) and its stability denote an arbitrary endemic equilibrium of model (8). Solving the equilibrium conditions of model (8) at a steady state gives
S * = Λ λ * + K , S 1 * = ξ α 1 Λ ( c 1 λ * + μ ) ( λ * + K ) , S 2 * = ξ α 2 Λ ( c 2 λ * + μ ) ( λ * + K ) , I u * = λ * Λ L ( λ * + K ) + c 1 λ * ξ α 1 Λ L ( c 1 λ * + μ ) ( λ * + K ) + c 2 λ * ξ α 2 Λ L ( c 2 λ * + μ ) ( λ * + K ) , I a * = θ I u * + ( 1 p ) γ T * M , T * = τ I a * W , A * = σ 1 I u * + σ 2 I a * + σ 3 T * P .
where
λ * = β ( I u * + η 1 I a * + η 2 T * ) 1 + ω ( I u * + I a * + T * )
Substituting the value of I u * , I a * , T * in (17) into (18), we obtain
λ * ( a 3 λ * 3 + a 2 λ * 2 + a 1 λ * + a 0 ) = 0 ,
where
a 3 = c 1 c 2 [ L M 2 W L W γ τ ( 1 p ) + Λ M 2 W ω + Λ M W ω θ + Λ M ω τ θ Λ W γ ω τ ( 1 p ) ] , a 2 = ξ Λ ω c 1 c 2 ( c 1 + c 2 ) [ M 2 W + M W θ + M τ θ W γ τ ( 1 p ) ] + K L W c 1 c 2 [ M 2 γ τ ( 1 p ) ]           + L W μ ( c 1 + c 2 ) [ M 2 γ τ ( 1 p ) ] Λ W β c 1 c 2 [ M 2 γ τ ( 1 p ) + M η 1 θ + η 2 τ θ ]           + A W ω μ ( c 1 + c 2 ) [ M 2 + M θ + M τ θ γ τ ( 1 p ) ] , a 1 = ξ Λ ω β c 1 c 2 ( α 1 + α 2 ) ( M 2 + M η 1 θ + η 2 τ θ ) + ξ Λ W ω μ ( c 1 + c 2 ) [ M 2 + M θ + M τ θ γ τ ( 1 p ) ]           + K L W μ ( c 1 + c 2 ) [ M 2 γ τ ( 1 p ) ] + L W μ 2 [ M 2 γ τ ( 1 p ) ]           Λ W β μ ( c 1 + c 2 ) [ M 2 + M η 1 θ + η 2 τ θ γ τ ( 1 p ) ] , a 0 = [ ξ Λ W ω β μ ( c 1 α 1 + c 2 α 2 ) + Λ W β μ 2 ] [ M 2 + M η 1 θ + η 2 τ θ + γ τ ( 1 p ) ]           + K L W μ 2 [ M 2 γ τ ( 1 p ) ] .
From Equation (19), one solution is λ * = 0 , which corresponds to the disease-free equilibrium. Another solution is given by the roots of a cubic polynomial (20),
P ( λ * ) = a 3 λ * 3 + a 2 λ * 2 + a 1 λ * + a 0 = 0 ,
which is related to situations where the HIV disease persists. For the endemic equilibrium to exist, λ * is a positive real root of the cubic polynomial (20). Since all model parameters are non-negative, it is clear that a 3 > 0 , and under the biological assumptions of the model, we have a 0 < 0 . This guarantees that P 0 = a 0 < 0 ,   while lim λ P λ = + , due to the dominant positive cubic term. By the Intermediate Value Theorem, there must exist at least one positive real root. Moreover, if the sequence of coefficients ( a 3 ,   a 2 ,   a 1 ,   a 0 ) contains exactly one sign change, then by Descartes’ Rule of Signs, the polynomial admits exactly one positive real root. In addition, according to [7], using Cardan’s formula, the polynomial (13) has one positive real root and a pair of complex conjugate roots if the discriminant Δ = r 2 + q 3 > 0 , given by
λ 1 * = u + v a 2 3 a 3 , λ 2 * = u + v 2 a 2 3 a 3 + i 3 ( u v ) 2 , λ 3 * = u + v 2 a 2 3 a 3 i 3 ( u v ) 2 ,
where u = r + r 2 + q 3 3 , v = r r 2 + q 3 3 , and q = 3 a 3 a 1 9 a 3 2 , r = 9 a 3 a 2 a 1 27 a 3 2 a 0 2 a 2 2 54 a 3 2 .
Furthermore, if Equation (20) has a single positive real root, then the components of the endemic equilibrium E 1 = ( S * , S 1 * , S 2 * , I u * , I a * , T * , A * ) can be obtained by substituting the value of λ = λ 1 * into the expression for each state in Equation (20). This result is summarized in the following lemma.
Lemma 3. 
Model (8) has a unique endemic equilibrium E 1 whenever R e > 1 with λ = λ 1 * are the positive real roots of Equation (20).

3.3. Stability Analysis

3.3.1. Local Stability of Disease-Free Equilibrium

Theorem 1. 
The disease-free equilibrium of model (8), E 0 , is locally asymptotically stable if R e < 1 , and unstable if R e > 1 .
Proof. 
The Jacobian matrix of model (8) at the disease-free equilibrium E 0 , denoted by J ( E 0 ) , is given as
J ( E 0 ) = K 0 0 β Λ K β Λ η 1 K β Λ η 2 K 0 ξ α 1 μ 0 β Λ c 1 ξ α 1 μ K β Λ η 1 c 1 ξ α 1 μ K β Λ η 2 c 1 ξ α 1 μ K 0 ξ α 2 0 μ β Λ c 2 ξ α 2 μ K β Λ η 1 c 2 ξ α 2 μ K β Λ η 2 c 2 ξ α 2 μ K 0 0 0 0 β Λ Q μ K L β Λ η 1 Q μ K β Λ η 2 Q μ K 0 0 0 0 θ M ( 1 p ) γ 0 0 0 0 0 τ W 0 0 0 0 σ 1 σ 2 σ 3 P .
There are seven eigenvalues of the matrix J ( E 0 ) ; four of the eigenvalues are λ 1 = λ 2 = μ , λ 3 = K , λ 4 = P , and the remaining eigenvalues are the solutions of the following into the 3 × 3   matrix, as shown below:
J 1 = β Λ Q μ K L β Λ η 1 Q μ K β Λ η 2 Q μ K θ M ( 1 p ) γ 0 τ W .
The characteristic equational corresponding to J 1 is
λ * 3 + h 1 λ * 2 + h 2 λ * + h 3 = 0 ,
where
h 1 = L ( 1 R I u ) + M + W , h 2 = L M ( 1 R I a ) + W ( L + M ) L R I u ( M + W ) ( 1 p ) γ τ , h 3 = L M W ( 1 R e ) + L ( 1 p ) γ τ ( 1 R I u ) .
As μ , K , P are negative, the Routh–Hurwitz criterion dictates that Equation (24) has three negative roots if h 1 > 0 , h 2 > 0 , h 3 > 0 , and h 1 h 2 > h 3 . Thus, this is possible only R e < 1 . As a result, the disease-free equilibrium of model (8), E 0 , is locally asymptotically stable in Ω if R e < 1 . If R e > 1 , the Jacobian matrix J ( E 0 ) has at least one eigenvalue with a positive real part. Thus, the disease-free equilibrium E 0 is locally asymptotically unstable. This completes the proof.

3.3.2. Global Stability of Disease-Free Equilibrium

To establish the global stability of the disease-free equilibrium E 0 , we apply the Castillo-Chavez method as described in [33]. In this approach, the system is decomposed into uninfected and infected compartments, and global stability is ensured under appropriate conditions, including that the disease-free subsystem is globally asymptotically stable and the Jacobian matrix of the infected subsystem is an M-matrix. To achieve this, let the model (8) be rewritten in the form:
d X d t = F ( X , Y ) , d Z d t = G ( X , Z ) , G ( X , 0 ) = 0 ,
where X = ( S , S 1 , S 2 ) R 3 is the uninfected compartments and Z = ( I u , I a , T , A ) R 4 is the infected compartments. Let E 0 = ( X 0 , 0 , 0 , 0 , 0 ) , where X 0 = ( S 0 , S 1 0 , S 2 0 ) represents the disease-free equilibrium of model (8). To establish the global asymptotic stability of the disease-free equilibrium of model (8), the following conditions must be satisfied:
H1. 
For d X d t = F ( X , 0 ) , X 0 is globally asymptotically stable.
H2. 
G ( X , Z ) = B Z G ^ ( X , Z ) , G ^ ( X , Z ) 0  for  ( X , Z ) Ω  and B = D Z G ( X 0 , 0 ) is a Metzler-matrix (the off-diagonal elements of B are non-negative).
Theorem 2. 
The disease-free equilibrium points of the model E 0 is globally asymptotically stable for  R e < 1 .
Proof. 
System (8) can be written in the form of system (25), and we get X = ( S ,   S 1 ,   S 2 )   X = ( S , S 1 , S 2 ) R 3 , Z = ( I u , I a , T , A ) R 4 . Next, we identify the following matrices:
F ( X , Z ) = Λ β ( I u + η 1 I a + η 2 T ) 1 + ω ( I u + I a + T ) S K S ξ α 1 S β ( I u + η 1 I a + η 2 T ) 1 + ω ( I u + I a + T ) c 1 S 1 μ S 1 ξ α 2 S β ( I u + η 1 I a + η 2 T ) 1 + ω ( I u + I a + T ) c 2 S 2 μ S 2 , G ( X , Z ) = β ( I u + η 1 I a + η 2 T ) 1 + ω ( I u + I a + T ) ( S + c 1 S 1 + c 2 S 2 ) L I u θ I u M I a + ( 1 p ) γ T τ I a W T σ 1 I u + σ 2 I a + σ 3 T P A .
To demonstrate the global asymptotic stability of the disease-free subsystem described by d X d t = F X , 0 , we analyze the Jacobian matrix of the system at its equilibrium point. The subsystem is expressed as:
d X d t = F ( X , 0 ) = Λ K S ξ α 1 S μ S 1 ξ α 2 S μ S 2 ,
where all parameters are strictly positive. The equilibrium point of system (26) is X 0 = S 0 , S 1 0 , S 2 0 = Λ K , ξ α 1 Λ μ K , ξ α 2 Λ μ K . The Jacobian matrix evaluated at this point is given by
J ( F ( X 0 , 0 ) ) = K 0 0 ξ α 1 μ 0 ξ α 2 0 μ .
The characteristic equation is J F X 0 , 0 λ I = ( K λ ) ( μ λ ) 2 = 0 ,   yielding the eigenvalues λ 1 = K and λ 2 = λ 3 = μ , all of which are negative. As a result, the equilibrium point is locally asymptotically stable. Given the linearity of the system and the positivity of all parameters, this local asymptotic stability implies global asymptotic stability. Hence, the disease-free subsystem is globally asymptotically stable. Thus, the condition H1 is satisfied and X 0 is globally asymptotically stable. Additionally, we demonstrate that G ( X , Z ) satisfies the second requirements stated in H2. It is clear that G ( X , 0 ) = 0 . We derive from the second equation in Equation (25),
B = D X G ( X 0 , 0 )     = β ( S 0 + c 1 S 1 0 + c 2 S 2 0 ) L β η 1 ( S 0 + c 1 S 1 0 + c 2 S 2 0 ) β η 2 ( S 0 + c 1 S 1 0 + c 2 S 2 0 ) 0 θ M ( 1 p ) γ 0 0 τ W 0 σ 1 σ 2 σ 3 P .
Matrix B is a Metzler-matrix, as all its off-diagonal entries are non-negative, and
G ^ ( X , Z ) = B Z G ( X , Z ) = β ( I u + η 1 I a + η 2 T ) [ ( S 0 S ) + ω ( I u + I a + T ) S 0 1 + ω ( I u + I a + T ) + c 1 ( ( S 1 0 S 1 ) + ω ( I u + I a + T ) S 1 0 1 + ω ( I u + I a + T ) + c 2 ( ( S 2 0 S 2 ) + ω ( I u + I a + T ) S 2 0 1 + ω ( I u + I a + T ) ) ] 0 0 0 0 0
Clearly, G ^ ( X , Z ) 0 is true, since 0 S S 0 , 0 S 1 S 1 0 , 0 S 2 S 2 0 . As a result, the condition H2 is satisfied. Therefore, both conditions are satisfied, and the proof of Theorem 2 is completed.

3.3.3. Global Stability of Endemic Equilibrium

To analyze the global dynamics of model (8) around the unique endemic equilibrium point E 1 , we present the following result.
Theorem 3. 
If R e > 1 , then the endemic equilibrium E 1 of model (8) is globally asymptotically stable in  Ω .
Proof. 
Let R e > 1 such that the endemic equilibrium E 1 exists. Furthermore, consider the following function L 2 , inspired by Muthu and Kumar [34], as follows:
L 2 = ( S + S 1 + S 2 + I u + I a + T + A ) ( S * + S 1 * + S 2 * + I u * + I a * + T * + A * ) ( S * + S 1 * + S 2 * + I u * + I a * + T * + A * ) ln S + S 1 + S 2 + I u + I a + T + A S * + S 1 * + S 2 * + I u * + I a * + T * + A * = N N * N * ln N N * .
By directly calculating the derivative of L 2 with respect to t along the solutions of model (8), we have
d L 2 d t = 1 N * N d N d t = 1 N * N Λ δ A μ N .
From the right-hand sides of (5), at a steady state, we have Λ = δ A * + μ N * . Thus,
d L 2 d t = 1 N * N δ A * + μ N * δ A μ N = N N * N μ ( N N * ) δ ( A A * )     = μ ( N * N ) 2 N δ ( N * N ) ( A * A ) N . .
Clearly, d L 2 / d t < 0 because S S * , S 1 S 1 * , S 2 S 2 * , I u I u * , I a I a * , T T * , A A * , < which implies 0 N N * . Additionally, d L 2 / d t = 0 if and only if S = S * , S 1 = S 1 * , S 2 = S 2 * , I u = I u * , I a = I a * , T = T * , A = A * . Hence, L 2 is a Lyapunov function. Thus, S S * ,   S 1 S 1 * ,   S 2 S 2 * ,     I u I u * ,     I a I a * ,   T T * ,   A A * as t . Therefore, the largest compact invariant set in { ( S , S 1 , S 2 , I u , I a , T , A ) Ω | d L 2 d t = 0 } is the singleton set { E 1 } >. According to LaSalle’s Invariance Principle [35], the unique endemic equilibrium of model (8) is globally asymptotically stable in Ω . The proof of Theorem 3 is completed.
The epidemiological implication of the above result is that the HIV/AIDS epidemic will persist in the community despite education campaigns, screening, and antiretroviral treatment programs if the threshold quantity ( R e ) exceeds unity.

3.4. Bifurcation Analysis

An important phenomenon in compartmental epidemiological modeling, particularly in HIV/AIDS transmission, is the occurrence of a bifurcation at the critical point where R e = 1 . To investigate the existence of a bifurcation for the model (8), we employ the center manifold theory as described by Castillo-Chavez and Song in [33].
Theorem 4. 
The HIV/AIDS model (8) exhibits a forward bifurcation at R e = 1 .
Proof. 
We simplify model (8) by choosing, S = x 1 , S 1 = x 2 , S 2 = x 3 , I u = x 4 , I a = x 5 , T = x 6 ,   A = x 7 . If we set X = ( x 1 , x 2 , x 3 , x 4 , x 5 , x 6 , x 7 ) T , then our model (8) can be written in the form d X d t = f ( X ) with f = ( f 1 , f 2 , f 3 , f 4 , f 5 , f 6 , f 7 ) T . Thus, we have
f 1 = Λ β ( x 4 + η 1 x 5 + η 2 x 6 1 + ω ( x 4 + x 5 + x 6 ) x 1 K x 1 , f 2 = ξ α 1 x 1 c 1 β ( x 4 + η 1 x 5 + η 2 x 6 1 + ω ( x 4 + x 5 + x 6 ) x 2 μ x 2 , f 3 = ξ α 2 x 1 c 2 β ( x 4 + η 1 x 5 + η 2 x 6 1 + ω ( x 4 + x 5 + x 6 ) x 3 μ x 3 , f 4 = β ( x 4 + η 1 x 5 + η 2 x 6 1 + ω ( x 4 + x 5 + x 6 ) x 1 + c 1 β ( x 4 + η 1 x 5 + η 2 x 6 1 + ω ( x 4 + x 5 + x 6 ) x 2 + c 2 β ( x 4 + η 1 x 5 + η 2 x 6 1 + ω ( x 4 + x 5 + x 6 ) x 3 , f 5 = θ x 4 + ( 1 p ) γ x 6 M x 5 , f 6 = τ x 5 W x 6 , f 7 = σ 1 x 4 + σ 2 x 5 + σ 3 x 6 P x 7 .
The characteristic equation in Equation (20) produces an eigenvalue of zero if h 3 = L M W ( 1 R e ) . We simplify this equation and considering R e stated in Equation (16), we get R e = 1 . By selecting β as the bifurcation parameter at the point where R e = 1 , we obtain the critical value of β as follows:
β = β * = μ K L M W ( 1 p ) γ τ Λ Q M W ( 1 p ) γ τ + η 1 θ W + η 2 θ τ ,
The Jacobian matrix of model (8), evaluated at the disease-free equilibrium E 0 and β = β * , is given by
J ( E 0 , β * ) = K 0 0 β * Λ K β * Λ η 1 K β * Λ η 2 K 0 ξ α 1 μ 0 β * Λ ξ c 1 α 1 μ K β * Λ η 1 ξ c 1 α 1 μ K β * Λ η 2 ξ c 1 α 1 μ K 0 ξ α 2 0 μ β * Λ ξ c 2 α 2 μ K β * Λ η 1 ξ c 2 α 2 μ K β * Λ η 2 ξ c 2 α 2 μ K 0 0 0 0 β * Λ Q μ K L β * Λ η 1 Q μ K β * Λ η 2 Q μ K 0 0 0 0 θ M ( 1 p ) γ 0 0 0 0 0 τ W 0 0 0 0 σ 1 σ 2 σ 3 P .
The characteristic equation in (32), given by | J ( E 0 , β * ) λ I | = 0 , gives a simple zero eigenvalue with other six eigenvalues having a negative real part. The eigenvalues of the characteristic equation are λ 1 = λ 2 = μ , λ 3 = K , λ 4 = P , λ 5 = 0 and the remaining eigenvalues are the solutions of the following characteristic equation
λ 2 + h 1 λ + h 2 = 0 ,
with h 1 , h 2 as in Equation (24). Equation (33) has negative roots ( λ 6 < 0 , λ 7 < 0 ) when satisfies the discriminant D = h 1 2 4 h 2 being positive, λ 6 . λ 7 = h 2 > 0 and λ 6 + λ 7 = h 1 < 0 .
Further, the right eigenvector associated with the zero eigenvalues is denoted by w = ( w 1 , w 2 , , w 7 ) T and can be obtained from J ( E 0 , β * ) w = 0 ,
w 1 = Λ β * w 4 ( M W ( 1 p ) γ τ + W η 1 θ + η 2 τ θ ) K 2 ( M W ( 1 p ) γ τ ) , w 2 = Λ β * ξ α 1 w 4 ( M W ( 1 p ) γ τ + W η 1 θ + η 2 τ θ ) ( K c 1 + μ ) u 2 K 2 ( M W ( 1 p ) γ τ ) , w 3 = Λ β * ξ α 2 w 4 ( M W ( 1 p ) γ τ + W η 1 θ + η 2 τ θ ) ( K c 2 + μ ) μ 2 K 2 ( M W ( 1 p ) γ τ ) , w 4 = w 4 , w 5 = θ W w 4 M W ( 1 p ) γ τ , w 6 = τ θ w 4 M W ( 1 p ) γ τ , w 7 = w 4 ( M W σ 1 ( 1 p ) γ τ σ 1 + W σ 2 θ + σ 3 τ θ ) ( M W ( 1 p ) γ τ ) P .
Thus, it was chosen w 4 > 0 results in w 1 , w 2 , w 3 < 0 and w 5 , w 6 , w 7 > 0 . Moreover, the left eigenvector v = ( v 1 , v 2 , v 3 , v 4 , v 5 , v 6 , v 7 ) satisfying v w = 1 is given by
v 4 = 1 w 4 μ K ( η 1 W + τ η 2 ) ( M W ( 1 p ) γ τ ) μ K ( η 1 W + τ η 2 ) ( M W ( 1 p ) γ τ ) + W ( η 1 W + τ η 2 ) + τ ( η 1 ( 1 p ) γ + M η 2 ) ( μ K L β * Λ Q ) , v 5 = ( μ K L β * Λ Q ) v 4 θ μ K , v 6 = ( η 1 ( 1 p ) γ + M η 2 ) ( μ K L β * Λ Q ) v 4 θ 1 μ K ( η 1 W + τ η 2 ) , v 1 = 0 , v 2 = 0 , v 3 = 0 , v 7 = 0 .
According to Theorem 4.1 in [33], we calculate the bifurcation coefficient a ˜ and b ˜ .
Since v 1 = v 2 = v 3 = v 7 = 0 and 2 f 5 x i x j = 2 f 6 x i x j = 2 f 5 x i β = 2 f 6 x i β = 0 for all i , j , we have
a ˜ = k , i , j = 1 7 v k w i w j 2 f k ( E 0 , β * ) x i x j = i , j = 1 7 v 4 w i w j 2 f 4 ( E 0 , β * ) x i x j = 2 v 4 β * w 4 + η 1 w 5 + η 2 w 6 w 1 + c 1 w 2 + c 2 w 3 2 v 4 ω β * Λ Q μ K × w 4 2 + η 1 w 5 2 + η 2 w 6 2 + w 4 w 5 ( 1 + η 1 ) + w 4 w 6 ( 1 + η 2 ) + w 5 w 6 ( η 1 + η 2 )
and
b ˜ = k , i = 1 7 v k w i 2 f k ( E 0 , β * ) x i β = v 4 w 4 2 f 4 ( E 0 , β * ) x 4 β + v 4 w 5 2 f 4 ( E 0 , β * ) x 5 β + v 4 w 6 2 f 4 ( E 0 , β * ) x 6 β       = v 4 Λ Q μ K w 4 + η 1 w 5 + η 2 w 6 .
It is important to highlight that the coefficient b ˜ is always positive due to w 4 , w 5 , w 6 , v 4 > 0 . Consequently, the local dynamics around the disease-free equilibrium point are determined by the sign of the coefficient a ˜ . Since w 1 , w 2 , w 3 < 0 and w 4 , w 5 , w 6 > 0 ,   it is clear that   a ˜ < 0 . Hence, model (8) undergoes a forward bifurcation at R e = 1 . Thus, the proof of Theorem 4 is completed.
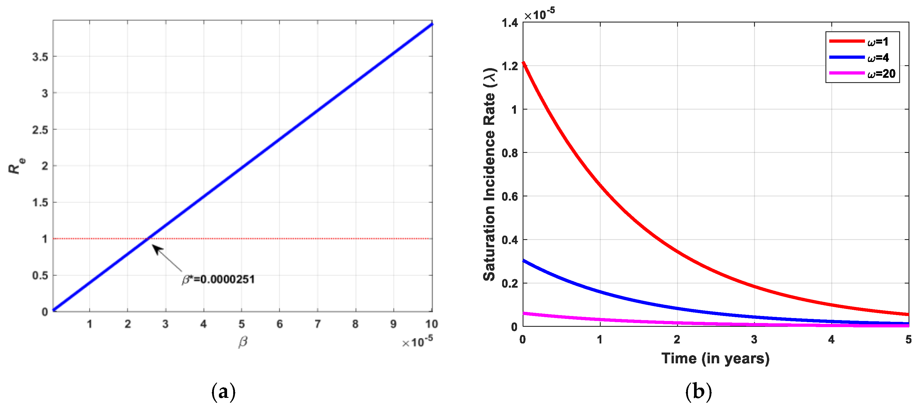
To demonstrate this phenomenon in relation to Theorem 4 above, the same parameter values used in Table 1 are used and forward bifurcation diagrams are depicted in Figure 2. For this set of parameter values, the associated forward bifurcation coefficients are a ˜ = 57.5429 and b ˜ = 17812.372 when w 4 = 1 > 0 . The bifurcation parameter at the point where R e = 1 is β * = 1.3721 × 10 5 .
Figure 2 illustrates the system’s behavior as the effective reproduction number R e varies. When R e < 1 , the disease-free equilibrium (DFE) E 0 is locally asymptotically stable, as shown by the solid blue line. However, when R e > 1 , the DFE E 0 becomes unstable, indicated by the dashed red line. The ascending magenta line in Figure 2 represents a stable endemic equilibrium (EE) E 1 , indicating a transition from the DFE to the EE, which suggests the sustained presence of the virus in the population.
For R e > 1 , applying Descartes’ Rule of Signs, along with the conditions a 3 > 0 and a 1 < 0 and the cubic polynomial in Equation (24), the number of positive real roots can be determined, as summarized in Table 2. In contrast, when R e < 1 , no endemic equilibrium exists. Figure 2 depicts these equilibria, highlighting a forward bifurcation occurring at R e = 1 . In the figure, the solid blue line represents the stable disease-free equilibrium E 0 for R e < 1 , while the dashed red line shows the unstable DFE for R e > 1 . The ascending magenta curve represents the stable branch of the endemic equilibrium E 1 . Consequently, E 1 is stable when R e > 1 and unstable when R e < 1 . Similarly, E 0 is stable for R e < 1 and becomes unstable for R e > 1 .

3.5. Sensitivity Analysis

The sensitivity analysis of model parameters is an important aspect of the present study. This analysis identifies the relevant sensitivity indices for each parameter, highlighting its role in the disease dynamics. In this section, we present a sensitivity analysis of various model parameters concerning the threshold quantity R e . Furthermore, this analysis helps to identify the parameters that have a significant influence on R e , making them potential targets for intervention. A parameter having a significant impact on R e indicates its dominant role in determining the endemicity of HIV/AIDS.
Following the methods described in [36], we perform the analysis by calculating the sensitivity indices of the model parameters. To conduct the sensitivity analysis, the normalized forward sensitivity index of a variable concerning a given parameter is determined. The sensitivity index of R e concerning the parameter φ is defined by the following formula:
γ φ R e = R e φ φ R e .
A parameter with a larger sensitivity index value has greater influence than a parameter with a smaller sensitivity index value. The sign of the sensitivity indices R e concerning a parameter indicates whether the parameter has a positive or negative effect on R e . Specifically, if the sign of the sensitivity indices is positive, then the value of R e increases as the parameter increases; conversely, if the sign of the sensitivity indices is negative, then the value of R e decreases as the parameter increases. The sensitivity indices of various model parameters, calculated using the expression given in (34), are presented in Table 2. The effective reproduction number of the model (8) depends on fifteen parameters, namely Λ , β , μ , θ , ψ 1 , ψ 2 , ξ , σ 1 , σ 2 , σ 3 , α 1 , α 2 , η 1 , η 2 , and τ . Table 2 presents the sensitivity index values and ranks the parameters from most to least sensitive. Parameters β , Λ , η 1 , and η 2 with positive sensitivity indices indicate that the remaining parameters have negative sensitivity indices.
Figure 3 presents the sensitivity index values of various model parameters, calculated using expression (34) and arranged in descending order from the most sensitive to the least sensitive (left to right). An absolute value of the sensitive index greater than 0.5 is considered to have a significant effect on R e . The most sensitive parameter is the effect-contact rate ( β ) and with a sensitivity index value given by 1. This means that if the value of β is increased (decreased) by 10% while other parameter values are constant, the value of R e increases (decreases) by 10%. Conversely, the sensitive index value of θ is −0.7599, indicating that increasing (decreasing) the value of θ while other parameter values are constant will be followed by a decrease (increase) in the value of R e by 7.599%. The same interpretation applies to the other parameters.
We illustrate the impact of several key parameters graphically in Figure 4. Figure 4a shows the effect of the parameter β on the transmission dynamics of HIV. According to the graph, HIV infection is eradicated when the effective contact rate is reduced to 0.0000251. This demonstrates that HIV transmission can be stopped by reducing the rate of contact between susceptible and infected individuals below this threshold.
The effects of increasing the saturation rate are evaluated through numerical simulations presented in Figure 4b. The psychological or inhibitory effect (denoted by ω ) is used to assess the influence of saturation, even though it does not directly affect the effective reproduction number. The numerical results indicate that the saturation rate decreases as the inhibitory effects increase.

4. Optimal Control Model

In this section, we formulate an optimal control problem. This is motivated by the stability analysis of the equilibrium points, supported by a bifurcation analysis, which shows that the endemic equilibrium can be asymptotically stable, particularly when R e > 1 . Under such conditions, it becomes necessary to implement an optimal control strategy aimed at reducing the number of infections while minimizing the control costs. In our deterministic model (8), we consider control in the form of educational campaigns, screening of unaware infectives, and treatment of aware infectives. Hence, the parameters ξ is considered as time-dependent continuous variables ( u 1 ) representing these interventions in the system. The optimal control parameters and conditions are considered as follows:
  • The parameter u 1   ( 0 u 1 1 ) represents the proportion of the susceptible subpopulation that receives the educational campaign and adopts AB (Abstinence, Be faithful) and C (use Condoms) behaviors.
  • The parameter u 2   ( 0 u 2 1 ) represents the proportion of the unaware infected subpopulation that receives screening per unit of time.
  • The parameter u 3   0 u 3 1 represents the proportion of the aware infected subpopulation that receives antiretroviral treatment per unit time.
The control variables u 1 , u 2 , and u 3 are defined on the closed interval [ 0 ,   T f ] , where T f denotes the final time of the control implementations. By integrating the three previously described control strategies into the dynamic system (1), the corresponding system of differential equations is reformulated as follows:
d S d t = Λ λ ( I u , I a , T ) S ( u 1 α 1 + u 1 α 2 + μ ) S , d S 1 d t = u 1 α 1 S ( 1 ψ 1 ) λ ( I u , I a , T ) S 1 μ S 1 , d S 2 d t = u 1 α 2 S ( 1 ψ 2 ) λ ( I u , I a , T ) S 2 μ S 2 , d I u d t = λ ( I u , I a , T ) S + ( 1 ψ 1 ) λ ( I u , I a , T ) S 1 + ( 1 ψ 2 ) λ ( I u , I a , T ) S 2 ( u 2 θ + σ 1 + μ ) I u , d I a d t = u 2 θ I u + ( 1 p ) γ T ( u 3 τ + σ 2 + μ ) I a , d T d t = u 3 τ I a ( ( 1 p ) γ + σ 3 + μ ) T , d A d t = σ 1 I u + σ 2 I a + σ 3 T ( δ + μ ) A ,
with the corresponding initial conditions given in Equation (9).

4.1. Optimal Control Problem

In this section, we analyze the behavior of the given model by using optimal control theory. The main objective is to minimize the number of infected individuals ( I u and I a ) and the control costs associated with the educational campaigns ( u 1 ), screening of the unaware infected subpopulation ( u 2 ), and antiretroviral therapy for the aware infected subpopulation ( u 3 ). The objective functional for a fixed time T f is given by
J ( u 1 , u 2 , u 3 ) = 0 T f B 1 I u + B 2 I a + 1 2 ( C 1 u 1 2 + C 2 u 2 2 + C 3 u 3 2 ) d t ,
where B 1 0 , B 2 0 are non-negative-weight constants for the unaware and aware infected individuals, whereas C i ( i = 1 , 2 , 3 ) are the relative costs of the associated control strategies u i ( i = 1 , 2 , 3 ) .
The main goal of this part is to find the optimal control strategies u * = ( u 1 * , u 2 * , u 3 * ) , subject to (35) and minimizing the objective functional Equation (36) such that
J ( u 1 * , u 2 * , u 3 * ) = min J ( u 1 , u 2 , u 3 ) : u 1 , u 2 , u 3 U
where U = ( u 1 , u 2 , u 3 ) R 3 :   0 u i 1 , i = 1 , 2 , 3 , t [ 0 , T f ] is the control set.

4.2. Existence of Optimal Controls

This section investigates the existence of an optimal control triple that minimizes the objective functional J defined in Equation (36). To establish this, we employ the existence theorem by Fleming and Rishel [37].
Theorem 5. 
Given the objective functional J defined on the control set U, there exists an optimal control triple u * = ( u 1 * , u 2 * , u 3 * ) such that Equation (37) is satisfied, provided the following five conditions hold [37]:
(i) 
The optimal control set and state variables set are nonempty.
(ii) 
The control set U is closed and convex.
(iii) 
The right-hand side of the state system (35) is continuous and bounded by a linear function in both the state and control variables.
(iv) 
The integrand of the objective functional J in Equation (36) is convex concerning the control set U.
(v) 
There exist constants d 1 > 0 , d 2 > 0 , and d 3 > 1 such that the integrand of the objective functional J in (36) is bound below by
d 1 i = 1 3 | u i | 2 d 3 / 2 d 2
Proof. 
We must confirm the validity of the five conditions specified in Theorem 5.
(i)
Clearly, U is a nonempty set of measurable functions in R , and the corresponding solutions exist and remain bounded.
(ii)
Given the control set U = u = ( u 1 ,   u 2 ,   u 3 ) ϵ R 3 :   0 u i 1 ,   i = 1,2 , 3 . This set can be expressed as U = U 1 × U 2 × U 3 , where each U i [ 0 , 1 ] , indicating that U is bounded for all t 0 ,   T f . Consequently, U is closed. Now, let a = ( a 1 , a 2 , a 3 ) and b = ( b 1 , b 2 , b 3 ) be any two arbitrary elements in U. By the definition of a convex set [38], it follows that φ a j + ( 1 φ ) b j [ 0 , 1 ] for all j = 1 , 2 , 3 . Hence, φ a + ( 1 φ ) b U , which implies that U is a convex set.
(iii)
Let x = ( S , S 1 , S 2 , I u , I a , T , A ) be the state variables of model (8) and ( u 1 , u 2 , u 3 ) U . Then, the right-hand side of the system (35) can be written as g ( t , x , u ) = g 1 ( t , x ) + g 2 ( t , x ) u , where
g ( t , x , u ) = Λ λ ( I u , I a , T ) S ( u 1 α 1 + u 2 α 2 + μ ) S u 1 α 1 S λ ( I u , I a , T ) c 1 S 1 μ S 1 u 1 α 2 S λ ( I u , I a , T ) c 2 S 2 μ S 2 λ ( I u , I a , T ) ( S + c 1 S 1 + c 2 S 2 ) ( u 2 θ + σ 1 + μ ) I u u 2 θ I u + ( 1 p ) γ T ( u 3 τ + σ 2 + μ ) I a u 3 τ I a W T σ 1 I u + σ 2 I a + σ 3 T P A ,
g 1 ( t , x ) = Λ λ ( I u , I a , T ) S μ S λ ( I u , I a , T ) c 1 S 1 μ S 1 λ ( I u , I a , T ) c 2 S 2 μ S 2 λ ( I u , I a , T ) ( S + c 1 S 1 + c 2 S 2 ) ( σ 1 + μ ) I u ( 1 p ) γ T ( σ 2 + μ ) I a W T σ 1 I u + σ 2 I a + σ 3 T P A ,   g 2 ( t , x ) = α 1 S α 2 S 0 α 1 S 0 0 α 2 S 0 0 0 θ I u 0 0 θ I u τ I a 0 0 τ I a 0 0 0 .
  • Derived from the Euclidean norm of a matrix as indicated in [26,28], we obtain g ( t , x , u ) = g 1 ( t , x ) + g 2 ( t , x ) u . This means that the right-hand side of the model (8) can be expressed as a linear function of the controls u 1 , u 2 , and u 3 with coefficients depending on state variables.
(iv)
The integrand of the objective functional (36) can be expressed in the form of a Lagrangian as L = B 1 I u + B 2 I a + 1 2 ( C 1 u 1 2 + C 2 u 2 2 + C 3 u 3 2 ) = h 1 ( t , x ) + h 2 ( t , u ) . To establish convexity, it is sufficient to show that the term h 2 t ,   u = 1 2   i = 1 3 C i u i 2 is convex on the control set U. Notice that h 2 t ,   u is formed as a finite linear sum of the function q i = 1 2   u i 2 . Therefore, it is easier to show that the function q : U R given by q = 1 2   u 2 is convex. Let y ,   z U and ϕ 0 ,   1 . Then,
q ϕ y + ( 1 ϕ ) z ϕ q ( y ) + ( 1 ϕ ) q ( z ) = 1 2 ϕ y + ( 1 ϕ ) z 2 1 2 ϕ y 2 + ( 1 ϕ ) z 2       = 1 2 ϕ 2 ϕ y z 2 0 ,   sin ce   ϕ [ 0 , 1 ] .
  • Hence, q ϕ y + ( 1 ϕ ) z ϕ q y + 1 ϕ q z . Thus, the condition satisfies the definition of a convex function as stated in [38]. As a result, the function h 2 ( t , u ) is a convex function on U.
(v)
By applying the Lagrangian equation L , we demonstrate the final condition as follows:
L = B 1 I u + B 2 I a + 1 2 C 1 u 1 2 + C 2 u 2 2 + C 3 u 3 2 1 2 C 1 u 1 2 + C 2 u 2 2 + C 3 u 3 2         min 1 2 C 1 , 1 2 C 2 , 1 2 C 3 i = 1 3 u i 2 2 2 C 2 d 1 i = 1 3 u i 2 d 3 2 d 2 ,
  • where d 1 = min 1 2 C 1 , 1 2 C 2 , 1 2 C 3 , d 3 = 2 , and d 2 = C 2 > 0 .
The proof of Theorem 5 is completed.

4.3. Characterization of the Optimal Controls

We characterize the optimal control triple u * = u 1 * , u 2 * ,   u 3 * of the system and the corresponding states x * = ( S * , S 1 * , S 2 * , I u * , I a * , T * , A * ) with its control function u 1 , u 2 , and u 3 , with the objective functional Equation (36). Using Pontryagin’s Maximum Principle [8,9], we obtain the necessary conditions for the optimal controls. Pontryagin’s Maximum Principle converts Equations (35) and (37) into a problem of minimizing pointwise a Hamiltonian H concerning u 1 , u 2 , and u 3 . The Hamiltonian H is defined as follows:
H = B 1 I u + B 2 I a + 1 2 ( C 1 u 1 2 + C 2 u 2 2 + C 3 u 3 2 ) + λ 1 Λ λ ( I u , I a , T ) S u 1 ( α 1 + α 2 ) S μ S + λ 2 u 1 α 1 S ( 1 ψ 1 ) λ ( I u , I a , T ) S 1 μ S 1         + λ 3 u 1 α 2 S ( 1 ψ 2 ) λ ( I u , I a , T ) S 2 μ S 2 + λ 4 λ ( I u , I a , T ) S + 1 ψ 1 ) λ ( I u , I a , T ) S 1 + 1 ψ 2 ) λ ( I u , I a , T ) S 2 u 2 θ + σ 1 + μ I u         + λ 5 u 2 θ I u + ( 1 p ) γ T ( u 3 τ + σ 2 + μ ) I a + λ 6 u 3 τ I a ( ( 1 p ) γ + σ 3 + μ ) T + λ 7 σ 1 I u + σ 2 I a + σ 3 T ( δ + μ ) A .
where λ 1 , λ 2 , λ 3 , λ 4 , λ 5 , λ 6 , and λ 7 are the adjoint variables.
The following result gives the necessary conditions for the optimal controls.
Theorem 6. 
Given the optimal controls u 1 * , u 2 * ,   u 3 * that minimize the objective functional J over the control set U subject to system (1), there exist the adjoint variables λ 1 , λ 2 , λ 3 , λ 4 , λ 5 , λ 6 , and λ 7 satisfying the following equations:
d λ 1 d t = ( λ 1 λ 4 ) β ( I u + η 1 I a + η 2 T ) S 1 + ω ( I u + I 2 + T ) + ( λ 1 λ 2 ) u 1 α 1 + ( λ 1 λ 3 ) u 1 α 2 + λ 1 μ , d λ 2 d t = ( λ 2 λ 4 ) c 1 β ( I u + η 1 I a + η 2 T ) S 1 + ω ( I u + I 2 + T ) + λ 2 μ , d λ 3 d t = ( λ 3 λ 4 ) c 2 β ( I u + η 1 I a + η 2 T ) S 1 + ω ( I u + I 2 + T ) + λ 3 μ , d λ 4 d t = B 1 + ( λ 1 λ 4 ) β S 1 + ω ( I u + I 2 + T ) β ( I u + η 1 I a + η 2 T ) S ω ( 1 + ω ( I u + I 2 + T ) ) 2 + ( λ 2 λ 4 ) c 1 β S 1 1 + ω ( I u + I 2 + T ) c 1 β ( I u + η 1 I a + η 2 T ) S 1 ω ( 1 + ω ( I u + I 2 + T ) ) 2       + ( λ 3 λ 4 ) c 2 β S 2 1 + ω ( I u + I 2 + T ) c 2 β ( I u + η 1 I a + η 2 T ) S 2 ω ( 1 + ω ( I u + I 2 + T ) ) 2 + ( λ 4 λ 7 ) σ 1 + ( λ 4 λ 5 ) θ u 2 + λ 4 μ , d λ 5 d t = B 2 + ( λ 1 λ 4 ) β η 1 S 1 + ω ( I u + I 2 + T ) β ( I u + η 1 I a + η 2 T ) S ω ( 1 + ω ( I u + I 2 + T ) ) 2 + ( λ 2 λ 4 ) c 1 β η 1 S 1 1 + ω ( I u + I 2 + T ) c 1 β ( I u + η 1 I a + η 2 T ) S 1 ω ( 1 + ω ( I u + I 2 + T ) ) 2       + ( λ 3 λ 4 ) c 2 β η 1 S 2 1 + ω ( I u + I 2 + T ) c 2 β ( I u + η 1 I a + η 2 T ) S 2 ω ( 1 + ω ( I u + I 2 + T ) ) 2 + ( λ 5 λ 6 ) τ u 3 + ( λ 5 λ 7 ) σ 2 + λ 5 μ , d λ 6 d t = ( λ 1 λ 4 ) β η 2 S 1 + ω ( I u + I 2 + T ) β ( I u + η 1 I a + η 2 T ) S ω ( 1 + ω ( I u + I 2 + T ) ) 2 + ( λ 2 λ 4 ) c 1 β η 2 S 1 1 + ω ( I u + I 2 + T ) c 1 β ( I u + η 1 I a + η 2 T ) S 1 ω ( 1 + ω ( I u + I 2 + T ) ) 2       + ( λ 3 λ 4 ) c 2 β η 2 S 2 1 + ω ( I u + I 2 + T ) c 2 β ( I u + η 1 I a + η 2 T ) S 2 ω ( 1 + ω ( I u + I 2 + T ) ) 2 + ( λ 6 λ 5 ) ( 1 p ) γ + ( λ 6 λ 7 ) σ 3 + λ 6 μ , d λ 7 d t = ( λ 7 λ 6 ) δ + μ λ 7 .
with transversality conditions,
λ j ( T f ) = 0 , j = 1 , 2 , 3 , 4 , 5 , 6 , 7
Furthermore, the optimal controls, denoted as u * = u 1 * , u 2 * ,   u 3 * , is expressed as follows:
u 1 * = min max 0 , ( λ 1 λ 2 ) α 1 + ( λ 1 λ 3 ) α 2 S * C 1 , 1 , u 2 * = min max 0 , ( λ 4 λ 5 ) θ I u * C 2 , 1 , u 3 * = min max 0 , ( λ 5 λ 6 ) τ I a * C 3 , 1 .
Proof. 
We apply Pontryagin’s Maximum Principle to derive the adjoint variables, the transversality conditions, and the optimal control triplet. The system of adjoint Equation (39) is obtained by taking the partial derivatives of the Hamiltonian in Equation (38) with respect to the corresponding state variables, S , E 1 , E 2 , I u , I a , T , A , as follows:
λ 1 t = H S ,   λ 1 ( T f ) = 0 ; λ 2 t = H E 1 ,   λ 2 ( T f ) = 0 ; λ 3 t = H E 2 ,   λ 3 ( T f ) = 0 ;   λ 4 t = H I u ,   λ 4 ( T f ) = 0 ; λ 4 t = H I u ,   λ 4 ( T f ) = 0 ; λ 5 t = H I a ,   λ 5 ( T f ) = 0 ; λ 6 t = H T ,     λ 6 ( T f ) = 0 ; λ 7 t = H A ,   λ 7 ( T f ) = 0 .
Finally, the optimal controls can be characterized from H in Equation (38) by applying the optimality conditions for each control measure u i , where 0 u i 1 , for i = 1 , 2 , 3 . Thus,
H u 1 = 0 , H u 1 = 0 , H u 1 = 0 .
By solving Equation (41) with the optimal controls u 1 * , u 2 * , and u 3 * , we derive the following characterization:
u ˜ 1 = ( λ 1 λ 2 ) α 1 + ( λ 1 λ 3 ) α 2 S * C 1 , u ˜ 2 = ( λ 4 λ 5 ) θ I u * C 2 , u ˜ 3 = ( λ 5 λ 6 ) τ I a * C 3 .
Since all three control measures are bounded between 0 and 1, we have
u i * = 0 if u ˜ i * 0 , u ˜ i * if 0 < u ˜ i * < 1 , 1 i f u ˜ i * 1 ,
where
u ˜ 1 * = ( λ 1 λ 2 ) α 1 + ( λ 1 λ 3 ) α 2 S * C 1 , u ˜ 2 * = ( λ 4 λ 5 ) θ I u * C 2 , u ˜ 3 * = ( λ 5 λ 6 ) τ I a * C 3 .
Hence, for these controls u 1 * , u 2 * , and u 3 * given in Equation (40) are characterized by
u 1 * = min max 0 , u ˜ 1 , 1 , u 2 * = min max 0 , u ˜ 2 , 1 , u 3 * = min max 0 , u ˜ 3 , 1 .
The proof of Theorem 6 is complete.

5. Numerical Simulations and Cost-Effectiveness Analysis

5.1. Numerical Simulation of Model

In this section, we present several numerical simulations of model (8) to illustrate the dynamics of HIV transmission, using the parameter values estimated and shown in Table 2. These results aim to explore the dynamic effects of education, screening, and therapy interventions on HIV incidence. To perform the simulations, both models are solved numerically using the fourth-order Runge–Kutta method and implemented in MATLAB R2024b. We set the initial population as follows:
S ( 0 ) , S 1 ( 0 ) , S 2 ( 0 ) , I u ( 0 ) , I a ( 0 ) , T ( 0 ) , A ( 0 ) = 2904903 , 5000 , 2500 , 2408 , 539 , 519 , 1024 .
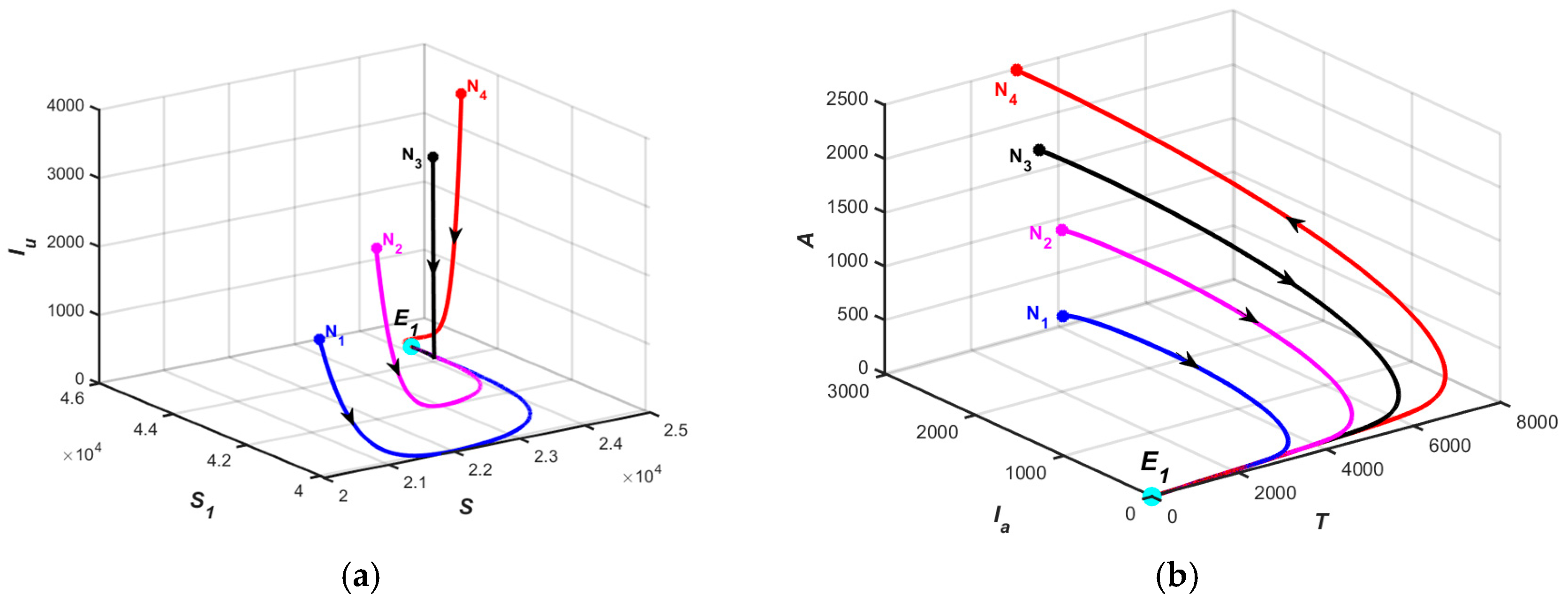
First, we set the parameter value β = 0.00001 and the other parameters as given in Table 1. We obtain R e = 0.719881 < 1 . Theorem 1 is numerically illustrated in Figure 5, demonstrating the global stability of the DFE E 0 = ( 24 , 154.59 , 67 , 287.79 , 49 , 541.66 ,   0 , 0 , 0 , 0 ) within its region of attraction in both the   S S 1 I a and   A T I u spaces. Figure 5a shows that all solution trajectories starting within the area of attraction converge to the point S 0 ,   S 1 0 ,   I a 0 = 24,154.59 ,   44,858.52 ,   0 . Similarly, Figure 5b indicates that all trajectories originating within the region of attraction tend toward the point A 0 ,   T ,   I u 0 = 0 ,   0 ,   0 . Three different initial values are used in constructing the stability diagram of E 0 in three different state spaces, as follows: N 1 = (20,000, 40,000, 30,000, 2000, 1500, 1000, 1000), N 2 = (22,000, 42,000, 32,000, 2500, 2000, 2000, 1000), N 3 = (24,000, 44,000, 34,000, 3000, 2500, 2500, 2000), and N 4 = (25,000, 45,000, 35,000, 3500, 3000, 3000, 2500). This approach can also be extended to demonstrate the global asymptotic stability of the disease-free equilibrium E 0 in other subspaces of the model.
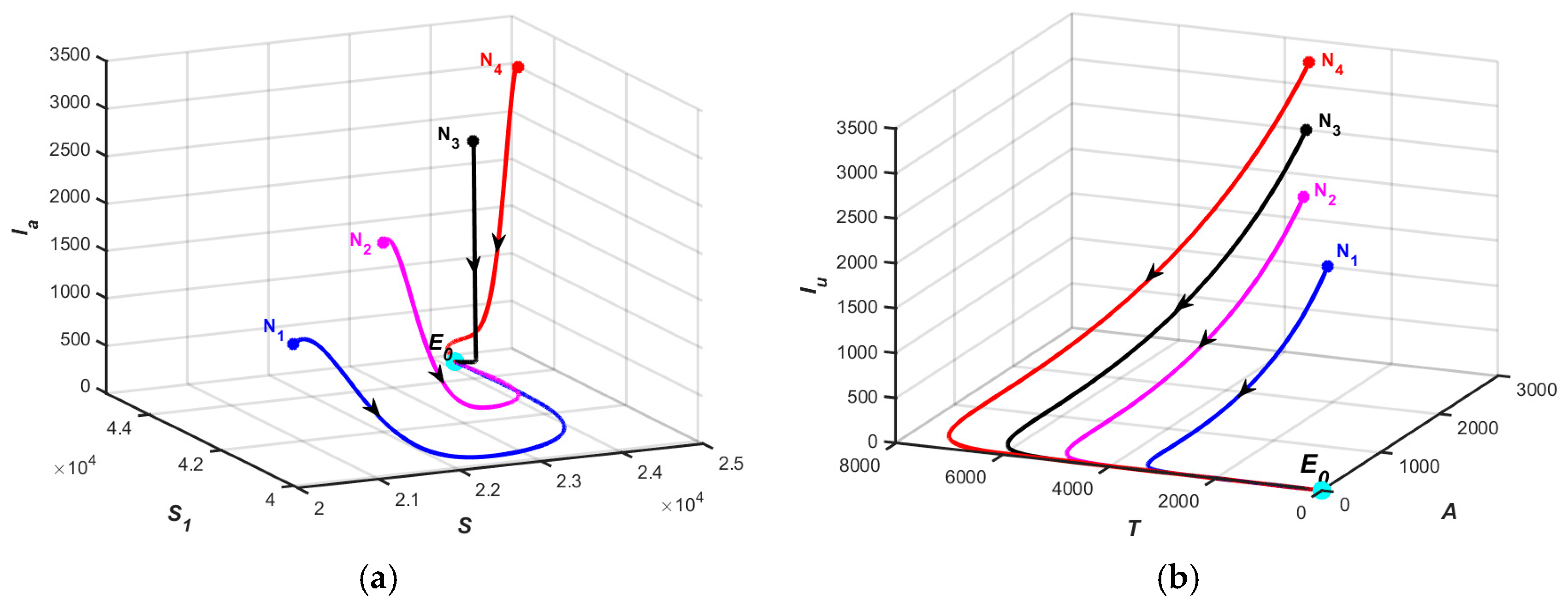
Second, we set the parameter value β = 0.00004 , while the remaining parameters are taken from Table 1. This results in the effective reproduction number of R e = 2.879523 > 1 . Theorem 2 is numerically illustrated in Figure 6, demonstrating the global stability of the endemic equilibrium E 1 = ( 24 , 154.52 , 44 , 858.27 , 33 , 027.46 , 0.0152 , 0.0145 , 0.4216 , 0.0034 ) within its region of attraction in both the S S 1 I u and T I a A spaces. In Figure 6a, all solution trajectories that begin within the region of attraction N 1 ,   N 2 ,   N 3 , and N 4 converge to the point S 0 ,   S 1 0 ,   I u 0 = 24,154.52 ,   44,858.27 ,   0.0152 . Figure 6b indicates that all trajectories that begin within the region of attraction tend toward the point   T ,   I a 0 ,   A 0 = 0.4216 ,   0.0145 ,   0.4216 . This methodology can further be applied to verify the global asymptotic stability of the endemic equilibrium E 1 in other subspaces of the model.

5.2. Optimal Control Simulation

We compute the numerical solution to the optimal control problem by solving the optimality system, which consists of the state and adjoint equations, using the forward–backward sweep method. This involves numerical integration using the fourth-order Runge–Kutta method implemented in MATLAB. Initially, the state system (35) is solved forward in time, with initial values determined by the transversality condition. Subsequently, the adjoint system (39) is solved backwards in time, utilizing the current iteration of state variables. The control variables are updated through a convex combination of their previous values and the new estimate derived from Equation (40). This iterative process is repeated until convergence of the state equations is achieved [18].
We assume that the weight factor C 1 , associated with control u 1 (educational campaigns), is lower than C 2   and C 3 , which are associated with controls u 2 (screening) and u 3 (treatment), respectively. This assumption is because implementing u 2 was charged costs related to screening tests and logistical arrangements, while u 3 involves expenses for antiretroviral drugs, medical examinations, and potential hospitalization. For numerical simulation purposes, we have the weight factors B 1 = 10 and B 2 = 10 are utilized, alongside the cost coefficients C 1 = 20 ,   C 2 = 55 , and C 3 = 75 . Simulations are conducted over a period of 5 years. These cost values are determined based on the efforts to implement the strategies under consideration. The parameter values presented in Table 1 and β = 0.00004 are employed in the simulations for cases where R e = 2.879523 > 1 . To assess the impact of various optimal control strategies on the spread of HIV infection within the community, we examine and compare the numerical results of interventions that implement multiple strategies. Strategies involving a single intervention are excluded, as they do not ensure the complete eradication of the disease from the community. This study considers the following four combined intervention strategies:
  • Strategy A: u 1 0 , u 2 0 , u 3 0 .
  • Strategy B: u 1 0 , u 2 0 , u 3 = 0 .
  • Strategy C: u 1 0 , u 2 = 0 , u 3 0 .
  • Strategy D: u 1 = 0 , u 2 0 , u 3 0 .

5.2.1. Simulation for Strategy A

By implementing the triple control strategies simultaneously, we observed that Strategy A, which involves the simultaneous implementation of educational campaign control ( u 1 ), screening control ( u 2 ), and antiretroviral treatment control ( u 3 ), significantly reduces the number of infected individuals (Figure 7). Specifically, at the final timepoint ( T f = 5   y e a r s ), the total number of unaware infected individuals under control is 136.96, compared to 1391.51 without control (Figure 7a). Similarly, the total number of aware infected individuals at time T f is reduced to 320.72 with control, whereas it reaches 497.92 in the absence of control, which is significantly different (Figure 7b). Additionally, the total number of individuals with AIDS at time T f is reduced to 314.44 with control, whereas it reaches 596.24 in the absence of control. These results demonstrate that the optimal control strategy is highly effective for both groups of HIV-infected individuals and AIDS cases. Furthermore, Figure 7d illustrates the control profiles for Strategy A over time. To minimize the number of HIV infections and associated costs, the control u 1   is maintained at its upper limit for approximately 1.39 years before gradually decreasing to zero at the end of the control period. Similarly, the controls u 2 and u 3 are kept at their upper limit for 4.42 years and 4.96 years, respectively, before dropping to their lower bounds at the end of the control period.

5.2.2. Simulation for Strategy B

This strategy implements both intervention measures u 1 (educational campaign control) and u 2 (screening controls). It is observed from Figure 8a–c that due to this control strategy, the number of unaware infected individuals, aware infected individuals, and AIDS individuals decreased only slightly during the control period. This result shows that the Strategy B has no significant effect on the subpopulation of the unaware infected individuals, aware infected individuals, and AIDS individuals. The control profile for the educational campaigns control u 1 at the beginning of the control period is at 2.99 years, then gradually decreases to zero at the end of the control period, while the control profile for screening control u 2 is maintained at its lower bound for the whole period (Figure 8d).

5.2.3. Simulation for Strategy C

The simultaneous implementation of double control strategies demonstrates that Strategy C (i.e., applying educational campaign control and antiretroviral treatment) significantly reduces the number of infected individuals (Figure 9). Specifically, at the final time, the total number of unaware infected individuals under control is 137.89, compared to 1351.51 without control (Figure 9a). Similarly, the total number of aware infected individuals at 5 years is reduced to 321.52 with control, whereas it reaches 497.92 in the absence of control, which is significantly different (Figure 9b). Additionally, at the final timepoint, applying Strategy C leads to a significant decrease in the number of AIDS individuals (267.6) compared to the uncontrolled case (Figure 9c). Furthermore, Figure 9d illustrates the control profiles for Strategy C over time. The control profile for the educational campaign control u 1   at the beginning of the control period displays a value of 2.98 years then gradually decreases to zero at the end of the control period. The control profile for the antiretroviral treatment control u 3 is maintained at the upper bound for the first 4.72 years, after which both controls gradually decrease to the lower bound at the end of the period (Figure 9d). The optimal control profiles for u 1 and u 3 in Strategy C are identical to those in Strategy A.

5.2.4. Simulation for Strategy D

This strategy implements both intervention measures u 2  (screening control) and u 3 (antiretroviral treatment). Specifically, at the final timepoint (5 years), the total number of unaware infected individuals under control is 36.7, compared to 1351.2 without control (Figure 10a). Similarly, the total number of aware infected individuals at time T f is reduced to 105.3 with control, whereas it reaches 4648.5 in the absence of control, which is significantly different (Figure 10b). Additionally, at the final timepoint, applying Strate Strategy A leads to a significant decrease in the number of AIDS individuals (269.8) compared to the uncontrolled case (Figure 10c). The control profile for the screening control u 2 is maintained at the upper bound for the first 2.98 years, while the control profile for the antiretroviral treatment control ( u 3 ) is maintained at the upper bound for the first 4.36 years, after which both controls gradually decrease to the lower bound at the end of the period. The optimal control profiles for u 2 and u 3 in Strategy D are identical to those in Strategy A.

5.3. Cost-Effectiveness Analysis

To determine which control strategy is most effective, this subsection evaluates the economic implications of educational campaign strategies for susceptible individuals, screening for unaware infected individuals, and antiretroviral therapy for aware infected individuals in the dynamics of HIV/AIDS using cost-effectiveness analysis (CEA). CEA helps to identify and propose the most efficient or cost-effective strategy for implementation under limited resources. In this study, the evaluation is conducted using the incremental cost-effectiveness ratio (ICER), which compares the difference in costs and health outcomes between two competing intervention strategies. Each intervention is compared to the next most effective alternative in terms of the number of infections averted [9]. When comparing two competing intervention strategies, p and q, the ICER is defined as follows [21,25,39]:
ICER = Change   in   total   cos ts   associated   with   strategies   p   and   q   Change   in   control   benefits   obtained   by   implementing   the   strategies   p   and   q .
The total averted infections, used in the cost-effectiveness analysis table, is determined by the difference between the total number of infected individuals without any control and the total number with the implementation of a control strategy. The total cost associated with a control strategy is directly proportional to the number of controls applied. In this study, the ICER values were computed using Formula (31). Specifically, the total cost (TC) and total averted infections (TA) for each strategy i were calculated using the following formulas, following the methods applied in [40].
T C ( i ) = i = 1 T f w 3 ( u 1 * ( t ) ) 2 + w 4 ( u 2 * ( t ) ) 2 + w 5 ( u 3 * ( t ) ) 2 d t
T A ( i ) = i = 1 T f ( I u ( t ) I u * ( t ) ) + ( I a ( t ) I a * ( t ) ) + ( A ( t ) A * ( t ) ) d t
Table 3 presents the control strategies ranked in ascending order of total averted infections. Here, the ICER is calculated for Strategies B and C to enable a comparative evaluation of their relative effectiveness, defined as
CER ( B ) = T C ( B ) T A ( B ) = 67.65 31.696 = 2.1343 . ICER ( C ) = T C ( C ) T C ( B ) T A ( C ) T A ( B ) = 428.64 67.65 1 , 759.288 31.696 = 0.2089 . ICER ( D ) = T C ( D ) T C ( C ) T A ( D ) T A ( C ) = 622.76 428.64 5 , 324.98 1 , 759.288 = 0 , 0544 . ICER ( A ) = T C ( A ) T C ( D ) T A ( A ) T A ( D ) = 660.29 622.76 5 , 333.53 5 , 324.98 = 4.3895 .
Table 3 presents a summary of the ICER calculations of Strategies B, C, D, and A. From the table, the comparison between Strategy B and Strategy C shows that the ICER of Strategy B is higher than that of Strategy C, indicating that Strategy B is both more costly and less effective. Consequently, Strategy B should be excluded from the set of alternative control intervention strategies competing for the same limited resources. Furthermore, the ICER for Strategies C and D are recalculated using the same procedure, as presented in the fourth column of Table 4.
From Table 4, the comparison between Strategy C and Strategy D shows that the ICER of Strategy C is higher than that of Strategy D, which indicates that Strategy C is both more costly and less effective. Consequently, Strategy C should be excluded from the set of alternative control intervention strategies competing for the same limited resources. Furthermore, the ICERs for Strategies D and A are recalculated, with the results presented in the fourth column of Table 5.
The comparison of ICER values for Strategies D and A, as shown in Table 5, indicates that the ICER for Strategy A is higher than that of Strategy D. Consequently, Strategy A is excluded from the set of remaining alternative strategies to prevent the inefficient allocation of limited resources. We observed that Strategy D, which involves the simultaneous implementation of educational campaigns and antiretroviral treatment measures (i.e., u 2 0 ,   u 3 0 and u 2 = 0 ), is identified as the most cost-effective among the four proposed control strategies aimed at reducing and controlling the spread of HIV/AIDS in the community considered in this study.

6. Conclusions

In this study, we developed and analyzed a deterministic model to describe the transmission dynamics of HIV/AIDS. The model incorporates educational campaigns for susceptible individuals, screening of unaware infected individuals, and antiretroviral treatment. It is formulated to describe the dynamics of HIV transmission with a saturated incidence rate. It is formulated as a system of ordinary differential equations with seven distinct population compartments: susceptible individuals, educated susceptible practicing AB behavior, educated susceptible using condoms, unaware infected individuals, aware (screened) infected individuals, treated individuals, and individuals with full-blown AIDS. We demonstrated that the model is mathematically well-posed and derived the effective reproduction number ( R e ), a fundamental threshold parameter that governs the spread of the disease. The main findings from our qualitative and quantitative analysis are summarized as follows:
  • The existence of a disease-free equilibrium (DFE) was established. Using the Routh–Hurwitz criterion and the Castillo-Chavez method, we showed that the DFE is locally and globally asymptotically stable when the effective reproduction number is less than one. This implies that HIV/AIDS can be eliminated from the population if infected individuals are unable to generate new secondary cases.
  • The existence of a unique endemic equilibrium (EE) in the presence of HIV infection was confirmed. Bifurcation analysis verified the local stability of the EE, and center manifold theory revealed a forward bifurcation at R e =   1 The global stability of the EE for R e >   1 was established using a Lyapunov function and LaSalle’s Invariance Principle.
  • Sensitivity analysis and numerical simulations indicate that HIV infections can be effectively reduced by lowering the contact rate and increasing the coverage of screening, educational campaigns, and antiretroviral treatment.
  • An optimal control problem was formulated with three time-dependent controls: the proportion of susceptible individuals receiving educational campaigns and adopting AB (Abstinence, Be faithful) and C (Condom use) behaviors; the rate of screening among unaware infected individuals; and the rate of antiretroviral treatment among aware infected individuals.
  • The model evaluated four control strategies combining different interventions, all of which reduced HIV prevalence. Cost-effectiveness analysis based on the Incremental Cost-Effectiveness Ratio (ICER) identified the combination of screening and treatment (Strategy D) as the most cost-effective intervention.
This study employs a classical-order optimal control model focused on behavioral interventions (educational campaign, screening, and treatment). However, pharmacological prevention strategies such as Pre-Exposure Prophylaxis (PrEP) and Post-Exposure Prophylaxis (PEP), which are increasingly emphasized in global HIV prevention efforts, have not yet been incorporated. Future extensions of this model may include new compartments or control variables to represent PrEP and PEP, thereby enhancing the model’s relevance to current public health strategies. Additionally, the model may be extended to a fractional-order differential equations framework to better capture memory effects in HIV/AIDS transmission dynamics, offering a more realistic depiction of disease progression and the long-term impact of interventions.

Author Contributions

Conceptualization, M.M. and T.T.; methodology, M.M. and T.T.; software, M.M.; validation, M.M. and R.R.M.; formal analysis, M.M., T.T. and R.R.M.; investigation, M.M., T.T. and R.R.M.; resources, M.M. and T.T.; writing—original draft preparation, M.M. and R.R.M.; writing—review and editing, M.M., T.T. and R.R.M.; visualization, M.M. All authors have read and agreed to the published version of the manuscript.

Funding

This research received no external funding.

Data Availability Statement

No external data were used in this study.

Acknowledgments

The author wishes to thank the handling editor and the anonymous referee for their valuable comments and constructive suggestions.

Conflicts of Interest

The authors declare no conflicts of interest.

References

  1. World Health Organization (WHO). Global Strategic Direction on HIV/AIDS 2024. Available online: https://www.who.int/observatories/global-observatory-on-health-research-and-development/analyses-and-syntheses/hiv-aids/global-strategic-direction (accessed on 17 February 2025).
  2. UNAIDS. Global HIV & AIDS Statistics-Fact Sheet. Joint United Nations Programme on HIV/AIDS. 2024. Available online: https://www.unaids.org/en/resources/fact-sheet (accessed on 17 February 2025).
  3. de Resende, N.H.; de Miranda, S.S.; Reis, A.M.M.; de Pádua, C.A.M.; Haddad, J.P.A.; da Silva, P.V.R.; da Silva, D.I.; Carvalho, W.D.S. Factors Associated with the Effectiveness of Regimens for the Treatment of Tuberculosis in Patients Coinfected with HIV/AIDS: Cohort 2015 to 2019. Diagnostics 2023, 13, 1181. [Google Scholar] [CrossRef] [PubMed]
  4. Joshi, H.R.; Lenhart, S.; Hota, S.; Agusto, F. Optimal Control of an SIR Model with Changing Behavior through an Education Campaign. Electron. J. Differ. Equ. 2015, 50, 1–14. Available online: http://ejde.math.txstate.edu (accessed on 17 February 2025).
  5. Hota, S.; Agusto, F.; Joshi, H.R.; Lenhart, S. Optimal control and stability analysis of an epidemic model with education and treatment. Conf. Publ. 2015, 2015, 621–634. [Google Scholar] [CrossRef]
  6. Mukandavire, Z.; Garira, W.; Chiyaka, C. Asymptotic properties of an HIV/AIDS model with a time delay. J. Math. Anal. Appl. 2007, 330, 916–933. [Google Scholar] [CrossRef]
  7. Marsudi; Trisilowati; Suryanto, A.; Darti, I. Global stability and optimal control of an HIV/AIDS epidemic model with behavioral change and treatment. Eng. Lett. 2021, 29, 575–591. Available online: https://www.engineeringletters.com/issues_v29/issue_2/EL_29_2_26.pdf (accessed on 17 February 2025).
  8. Safiel, R.; Massawe, E.S.; Makinde, O.D. Modelling the effect screening and treatment on transmission of HIV/AIDS infection in a population. Am. J. Math. Stat. 2012, 2, 75–88. [Google Scholar] [CrossRef]
  9. Okosun, K.O.; Makinde, O.D.; Takaidza, I. Impact of optimal control on the treatment of HIV/AIDS and screening of unaware infectives. Appl. Math. Model. 2013, 37, 3802–3820. [Google Scholar] [CrossRef]
  10. Kateme, E.L.; Tchuenche, J.M.; Hove-Musekwa, S.D. HIV/AIDS Dynamics with Three Control Strategies: The Role of Incidence Function. ISRN Appl. Math. 2012, 2012, 864795. [Google Scholar] [CrossRef]
  11. Khan, M.A.; Ismail, M.; Ullah, S.; Farhan, M. Fractional order SIR model with generalized incidence rate. AIMS Math. 2020, 5, 1856–1880. [Google Scholar] [CrossRef]
  12. Baba, I.A.; Humphries, U.W.; Rihan, F.A. A well-posed fractional order cholera model with saturated incidence rate. Entropy 2023, 25, 360. [Google Scholar] [CrossRef]
  13. Sun, D.; Li, Q.; Zhao, W. Stability and optimal control of a fractional SEQIR epidemic model with saturated incidence rate. Fract. Fract. 2023, 7, 533. [Google Scholar] [CrossRef]
  14. Hu, Y.; Wang, H.; Jiang, S. Analysis and optimal control of a two-strain SEIR epidemic model with saturated treatment rate. Mathematics 2024, 12, 3026. [Google Scholar] [CrossRef]
  15. Olaniyi, S.; Kareem, G.G.; Abimbade, S.F.; Chuma, F.M.; Sangoniyi, S.O. Mathematical modelling and analysis of autonomous HIV/AIDS dynamics with vertical transmission and nonlinear treatment. Iran. J. Sci. 2024, 48, 181–192. [Google Scholar] [CrossRef]
  16. Allali, K.; Balde, M.A.M.T.; Ndiaye, B.M. An optimal control study for a two-strain SEIR epidemic model with saturated incidence rates and treatment. Discrete Dyn. Nat. Soc. 2025, 2025, 8553106. [Google Scholar] [CrossRef]
  17. Pontryagin, L.S.; Boltyanskii, V.G.; Gamkrelidge, R.V.; Mishchenko, E.F. Mathematical Theory of Optimal Processes, 1st ed.; Routledge: London, UK, 1987. [Google Scholar]
  18. Lenhart, S.; Workman, J.T. Optimal Control Applied to Biological Models, 1st ed.; Chapman and Hall/CRC: New York, NY, USA, 2007. [Google Scholar]
  19. Yusuf, T.T.; Benyah, F. Optimal strategy for controlling the spread of HIV/AIDS disease: A case study of South Africa. J. Biol. Dyn. 2012, 6, 475–494. [Google Scholar] [CrossRef] [PubMed]
  20. Al Basir, F.; Rajak, B.; Rahman, B.; Hattaf, K. Hopf bifurcation analysis and optimal control of an infectious disease with awareness campaign and treatment. Axioms 2023, 12, 608. [Google Scholar] [CrossRef]
  21. Chazuka, Z.; Madubueze, C.E.; Mathebula, D. Modelling and analysis of an HIV model with control strategies and cost-effectiveness. Results Control Optim. 2024, 14, 100355. [Google Scholar] [CrossRef]
  22. Teklu, S.W.; Workie, A.H. A dynamical optimal control theory and cost-effectiveness analysis of the HBV and HIV/AIDS co-infection model. Front. Public Health 2024, 12, 1444911. [Google Scholar] [CrossRef]
  23. Berhe, H.W.; Makinde, O.D.; Theuri, D.M. Co-dynamics of measles and dysentery diarrhea diseases with optimal control and cost-effectiveness analysis. Appl. Math. Comput. 2019, 347, 903–921. [Google Scholar] [CrossRef]
  24. Olaniyi, S.; Okosun, K.O.; Adesanya, S.O.; Lebelo, R.S. Modelling malaria dynamics with partial immunity and protected travellers: Optimal control and cost-effectiveness analysis. J. Biol. Dyn. 2020, 14, 90–115. [Google Scholar] [CrossRef]
  25. Asamoah, J.K.K.; Yankson, E.; Okyere, E.; Sun, G.Q.; Jin, Z.; Jan, R.; Fatmawati. Optimal control and cost-effectiveness analysis for dengue fever model with asymptomatic and partial immune individuals. Results Phys. 2021, 31, 104919. [Google Scholar] [CrossRef]
  26. Asamoah, J.K.K.; Okyere, E.; Abidemi, A.; Moore, S.E.; Sun, G.Q.; Jin, Z.; Acheampong, E.; Gordon, J.F. Optimal control and comprehensive cost-effectiveness analysis for COVID-19. Results Phys. 2022, 33, 105177. [Google Scholar] [CrossRef]
  27. Appiah, R.F.; Jin, Z.; Yang, J.; Asamoah, J.K.K. Optimal control and cost-effectiveness analysis for a tuberculosis vaccination model with two latent classes. Model. Earth Syst. Environ. 2024, 10, 6761–6785. [Google Scholar] [CrossRef]
  28. Engida, A.; Gathungu, D.K.; Ferede, M.M.; Belay, M.A.; Kawe, P.C.; Mataru, B. Optimal control and cost-effectiveness analysis for the human melioidosis model. Heliyon 2024, 10, e26487. [Google Scholar] [CrossRef] [PubMed]
  29. Kang, T.L.; Huo, H.F. Dynamics and optimal control of tuberculosis with the combined effects of vaccination, treatment and contaminated environments. Math. Biosci. Engin. 2024, 21, 5308–5334. [Google Scholar] [CrossRef]
  30. Smith, H.L.; Waltman, P. The Theory of the Chemostat: Dynamics of Microbial Competition; Cambridge University Press: Cambridge, UK, 1995. [Google Scholar]
  31. van den Driessche, P.; Watmough, J. Reproduction numbers and subthreshold endemic equilibria for compartmental models of disease transmission. Math. Biosci. 2002, 180, 29–48. [Google Scholar] [CrossRef]
  32. Diekmann, O.; Heesterbeek, J.A.P.; Metz, J.A.J. On the definition and the computation of the basic reproduction ratio R0 in, 28odels for infectious diseases in heterogeneous populations. J. Math. Biol. 1990, 28, 365–382. [Google Scholar] [CrossRef]
  33. Muthu, P.M.; Kumar, A.P. Optimal control and bifurcation analysis of SEIHR model for COVID-19 with vaccination strategies and mask efficiency. Comput. Math. Biophys. 2024, 12, 20230113. [Google Scholar] [CrossRef]
  34. LaSalle, J.P. The Stability of Dynamical System; CBMS-NSF Regional Conference Series in Applied Mathematics; SIAM: Philadelphia, PA, USA, 1976. [Google Scholar]
  35. Castillo-Chavez, C.; Song, B. Dynamical models of tuberculosis and their applications. Math. Biosci. Eng. 2004, 1, 361–404. [Google Scholar] [CrossRef]
  36. Chitnis, N.; Hyman, J.M.; Cushing, J.M. Determining important parameters in the spread of malaria through the sensitivity analysis of a mathematical model. Bull. Math. Biol. 2008, 70, 1272–1296. [Google Scholar] [CrossRef]
  37. Fleming, W.H.; Rishel, R.W. Deterministic and Stochastic Optimal Control; Springer: New York, NY, USA, 1975. [Google Scholar]
  38. Bector, C.R.; Chandra, S.; Dutta, J. Principles of Optimization Theory; Narosa Publishing House: New Delhi, India, 2005. [Google Scholar]
  39. Abidemi, A.; Fatmawati; Peter, O.J. An optimal control model for dengue dynamics with asymptomatic, isolation, and vigilant compartments. Decis. Anal. J. 2024, 10, 100413. [Google Scholar] [CrossRef]
  40. Aldila, D.; Dhanendra, R.P.; Khoshnaw, S.H.A.; Puspita, J.W.; Kamalia, P.Z.; Shahzad, M. Understanding HIV/AIDS dynamics: Insight from CD4+T cells, antiretroviral treatment, and country-specific analysis. Front. Public Health 2024, 12, 1324858. [Google Scholar] [CrossRef] [PubMed]
Figure 1. Compartment diagram for the HIV/AIDS model with saturated incidence rate.
Figure 1. Compartment diagram for the HIV/AIDS model with saturated incidence rate.
Mathematics 13 02149 g001
Figure 2. Plot of the forward bifurcation based on R e versus λ * .
Figure 2. Plot of the forward bifurcation based on R e versus λ * .
Mathematics 13 02149 g002
Figure 3. Bar plot of the sensitivity index of R e with respect to each parameter.
Figure 3. Bar plot of the sensitivity index of R e with respect to each parameter.
Mathematics 13 02149 g003
Figure 4. (a) The relationship between R e and β ; (b) impact of inhibitory effect ( ω ) on the saturation incidence rate ( λ ).
Figure 4. (a) The relationship between R e and β ; (b) impact of inhibitory effect ( ω ) on the saturation incidence rate ( λ ).
Mathematics 13 02149 g004
Figure 5. Global asymptotic stability of the DFE E 0 of model (8) in (a)   S S 1 I a spaces and (b)   T I a A spaces.
Figure 5. Global asymptotic stability of the DFE E 0 of model (8) in (a)   S S 1 I a spaces and (b)   T I a A spaces.
Mathematics 13 02149 g005
Figure 6. Global asymptotic stability of the EE E 1 of model (8) in (a) S S 1 I u spaces and (b) T I a A spaces.
Figure 6. Global asymptotic stability of the EE E 1 of model (8) in (a) S S 1 I u spaces and (b) T I a A spaces.
Mathematics 13 02149 g006
Figure 7. Simulation of the effect of no control and applying Strategy A on (a) the number of I u ; (b) the number of I a ; (c) the number of A ; and (d) the control profiles of u 1 ,   u 2 , and u 3 .
Figure 7. Simulation of the effect of no control and applying Strategy A on (a) the number of I u ; (b) the number of I a ; (c) the number of A ; and (d) the control profiles of u 1 ,   u 2 , and u 3 .
Mathematics 13 02149 g007aMathematics 13 02149 g007b
Figure 8. Simulation of the effect of no control and applying Strategy B on (a) the number of I u ; (b) the number of I a ; (c) the number of A ; and (d) the control profiles of u 1 and u 2 .
Figure 8. Simulation of the effect of no control and applying Strategy B on (a) the number of I u ; (b) the number of I a ; (c) the number of A ; and (d) the control profiles of u 1 and u 2 .
Mathematics 13 02149 g008
Figure 9. Simulation of the effect of no control and applying Strategy C on (a) the number of I u ; (b) the number of I a ; (c) the number of A ; and (d) the control profiles of u 1 and u 3 .
Figure 9. Simulation of the effect of no control and applying Strategy C on (a) the number of I u ; (b) the number of I a ; (c) the number of A ; and (d) the control profiles of u 1 and u 3 .
Mathematics 13 02149 g009
Figure 10. Simulation of the effect of no control and applying Strategy D on (a) the number of I u ; (b) the number of I a ; (c) the number of A ; and (d) the control profiles of u 2 and u 3 .
Figure 10. Simulation of the effect of no control and applying Strategy D on (a) the number of I u ; (b) the number of I a ; (c) the number of A ; and (d) the control profiles of u 2 and u 3 .
Mathematics 13 02149 g010
Table 1. Description and the parameter values of model (8).
Table 1. Description and the parameter values of model (8).
ParameterDescriptionValueSource
Λ Rate of recruitment 2000Assumed
μ Natural death rate0.0196[10]
θ The rate of screening of unaware infected0.6[8]
ψ 1 The efficiency of education campaigns in S 1 0.75Assumed
ψ 2 The efficiency of education campaigns in S 2 0.6Assumed
ξ The intensity of education campaigns 0.4Assumed
α 1 The rate of educating adults into S 1 0.091Assumed
α 2 The rate of educating adults into S 2 0.067Assumed
τ The rate of treatment of aware infectious0.6[9]
σ 1 Progression rate from unaware infectious to AIDS0.1Assumed
σ 2 Progression rate from aware infectious to AIDS0.01[8]
σ 3 Progression rate from treated infection to AIDS0.001[8]
η 1 The modification parameter relative infectivity of individuals in I a 0.023Assumed
η 2 The modification parameter relative infectivity of individuals in T 0.0016Assumed
γ The rate coefficient of treatment failure 0.03Assumed
p The proportion of individuals who successfully undergo treatment0.5Assumed
δ AIDS-induced death rate0.33[6]
ω The psychological or inhibitory effect4[10]
Table 2. Sensitivity indices of Re corresponding to the parameters of model (8).
Table 2. Sensitivity indices of Re corresponding to the parameters of model (8).
ParameterSensitivity IndicesParameterSensitivity Indices
β 1 α 2 −0.0858
Λ 0.9999 η 2 0.0426
θ −0.7599 η 1 0.0339
μ −0.7558 τ −0.0282
ψ 1 −0.6925 γ 0.0119
ψ 2 −0.6783 p −0.0119
ξ −0.4333 σ 2 −0.0019
  α 1 −0.3468 σ 3 −0.0006
σ 1 −0.1389
Table 3. Total averted infection, total cost, and ICER of Strategies B, C, D, and A.
Table 3. Total averted infection, total cost, and ICER of Strategies B, C, D, and A.
StrategyTATCICER
Strategy B:  u 1 ,   u 2 31.69667.652.1343
Strategy C:  u 1 ,   u 3 1759.288428.640.2089
Strategy D:  u 2 ,   u 3 5324.98622.760.0544
Strategy A:  u 1 ,   u 2 ,   u 3 5333.53660.294.3895
Table 4. Total averted infection, total cost, and ICER of Strategies C, D, and A.
Table 4. Total averted infection, total cost, and ICER of Strategies C, D, and A.
StrategyTATCICER
Strategy C: u 1 ,   u 3 1759.288428.640.2436
Strategy D: u 2 ,   u 3 5324.98622.760.0544
Strategy A: u 1 ,   u 2 ,   u 3 5333.53660.294.3895
Table 5. Total averted infection, total cost, and ICER of Strategies D and A.
Table 5. Total averted infection, total cost, and ICER of Strategies D and A.
StrategyTATCICER
Strategy D:  u 2 ,   u 3 5324.98622.760.1169
Strategy A:  u 1 ,   u 2 ,   u 3 5333.53660.294.3895
Disclaimer/Publisher’s Note: The statements, opinions and data contained in all publications are solely those of the individual author(s) and contributor(s) and not of MDPI and/or the editor(s). MDPI and/or the editor(s) disclaim responsibility for any injury to people or property resulting from any ideas, methods, instructions or products referred to in the content.

Share and Cite

MDPI and ACS Style

Marsudi, M.; Trisilowati, T.; Musafir, R.R. Bifurcation and Optimal Control Analysis of an HIV/AIDS Model with Saturated Incidence Rate. Mathematics 2025, 13, 2149. https://doi.org/10.3390/math13132149

AMA Style

Marsudi M, Trisilowati T, Musafir RR. Bifurcation and Optimal Control Analysis of an HIV/AIDS Model with Saturated Incidence Rate. Mathematics. 2025; 13(13):2149. https://doi.org/10.3390/math13132149

Chicago/Turabian Style

Marsudi, Marsudi, Trisilowati Trisilowati, and Raqqasyi R. Musafir. 2025. "Bifurcation and Optimal Control Analysis of an HIV/AIDS Model with Saturated Incidence Rate" Mathematics 13, no. 13: 2149. https://doi.org/10.3390/math13132149

APA Style

Marsudi, M., Trisilowati, T., & Musafir, R. R. (2025). Bifurcation and Optimal Control Analysis of an HIV/AIDS Model with Saturated Incidence Rate. Mathematics, 13(13), 2149. https://doi.org/10.3390/math13132149

Note that from the first issue of 2016, this journal uses article numbers instead of page numbers. See further details here.

Article Metrics

Back to TopTop