A Dual-Attentive Multimodal Fusion Method for Fault Diagnosis Under Varying Working Conditions
Abstract
1. Introduction
- (1)
- A novel sequential fusion framework is proposed for multimodal fault diagnosis in this paper, which comprehensively considers both commonality and differentiation to fuse multimodal features. This framework significantly improves the diagnostic performance.
- (2)
- A deep learning-based modeling approach considering varying working conditions is proposed in this paper. The three-branch MDCN conducts discriminative feature extraction for each single-modal dataset. Additionally, the DAMFM is developed to achieve multimodal feature fusion.
- (3)
- The diagnostic efficacy of the DAMFM-MD was rigorously validated on two datasets that include gearbox and bearing cases, demonstrating consistent superiority over the existing state-of-the-art methods.
2. Related Work
2.1. Shallow Machine Learning-Based Methods
2.2. Deep Learning-Based Methods
3. The Proposed Method
3.1. The Overall Framework
- (1)
- Data acquisition: Physical sensors are used to collect time-series samples describing the operating status of mechanical components over a continuous period.
- (2)
- Multimodal data construction: FFT and STFT convert time-domain signals to the frequency domain and time–frequency domain, respectively. This helps to construct multimodal data with robustness.
- (3)
- Multiscale dilated feature extraction: A three-branch MDCN is specifically designed to extract hierarchical fault representations from multimodal data at multiple scales. Scale-wise attention is implemented for adaptive selection.
- (4)
- Dual-attentive multimodal fusion: The features of multimodal data are first dimensionally aligned. The processed features are then fed into the DAMFM, which performs weighted multimodal fusion based on dynamic contribution predictions. This adaptive fusion mechanism explicitly models both intrinsic commonality and difference, followed by a classifier for final fault categorization.
3.2. Data Acquisition
3.3. Multimodal Data Construction
3.4. Multiscale Dilated Feature Extraction
3.5. Dual-Attentive Multimodal Fusion
| Algorithm 1: Pseudocode of the proposed method |
![]() |
4. Experiment Setup
4.1. Experimental Dataset
4.1.1. Case Western Reserve University Datasets
4.1.2. Southeast University Datasets
4.1.3. Multimodal Dataset Construction
4.2. Experimental Procedure
- (1)
- WDCNN [58]: The WDCNN employs five convolutional layers, where the first convolution kernel is larger.
- (2)
- ResCNN [59]: The ResCNN consists of an alternating combination of common three-layer convolutional layers and two-layer residual blocks.
- (3)
- Densenet: The Densenet module concatenates the output of each convolutional layer, and the overall network replaces the above residual blocks with dense blocks.
- (4)
- MCNN-LSTM [60]: The MCNN-LSTM utilizes two convolutional channels with distinct feature extraction scales and combines a two-layer LSTM.
- (5)
- MK-ResCNN [61]: The MK-ResCNN combines multiscale feature extraction and residual concatenation to eliminate the adverse effects of fluctuating speed.
- (6)
- DSRN [62]: The DSRN introduces attention mechanisms into convolutional structures for superior fitness to noisy environments.
- (7)
- MMF-CNN [31]: The MMF-CNN realized the feature fusion of multimodal data for time and time–frequency domains to realize multifaceted information mining.
5. Results and Discussion
5.1. Results
5.2. Discussion
5.2.1. Evaluation of Noise Scenario
5.2.2. Evaluation of Multimodal Fusion Strategy
5.2.3. Visualization of Feature Extraction
5.2.4. Evaluation of Ablation Study
5.2.5. Visualization of Attention Mechanism
5.2.6. Evaluation of Parameters
5.2.7. Evaluation of Dilation
6. Conclusions and Future Directions
Author Contributions
Funding
Data Availability Statement
Conflicts of Interest
References
- Sun, J.; Yan, C.; Wen, J. Intelligent Bearing Fault Diagnosis Method Combining Compressed Data Acquisition and Deep Learning. IEEE Trans. Instrum. Meas. 2018, 67, 185–195. [Google Scholar] [CrossRef]
- Li, X.; Zhang, F.; Wang, G.; Fang, F. Joint optimization of statistical and deep representation features for bearing fault diagnosis based on random subspace with coupled LASSO. Meas. Sci. Technol. 2021, 32, 025115. [Google Scholar] [CrossRef]
- Rai, A.; Upadhyay, S.H. A review on signal processing techniques utilized in the fault diagnosis of rolling element bearings. Tribol. Int. 2016, 96, 289–306. [Google Scholar] [CrossRef]
- Liang, H.; Cao, J.; Zhao, X. Multi-Scale dynamic adaptive residual network for fault diagnosis. Measurement 2022, 188, 110397. [Google Scholar] [CrossRef]
- Lei, Y.; Yang, B.; Jiang, X.; Jia, F.; Li, N.; Nandi, A.K. Applications of machine learning to machine fault diagnosis: A review and roadmap. Mech. Syst. Signal Process. 2020, 138, 106587. [Google Scholar] [CrossRef]
- Guo, S.; Zhang, B.; Yang, T.; Lyu, D.; Gao, W. Multitask Convolutional Neural Network With Information Fusion for Bearing Fault Diagnosis and Localization. IEEE Trans. Ind. Electron. 2020, 67, 8005–8015. [Google Scholar] [CrossRef]
- Sun, H.; Cao, X.; Wang, C.; Gao, S. An interpretable Anti-Noise network for rolling bearing fault diagnosis based on FSWT. Measurement 2022, 190, 110698. [Google Scholar] [CrossRef]
- Zhao, X.; Zhang, Y. An intelligent diagnosis method of rolling bearing based on Multi-Scale residual shrinkage convolutional neural network. Meas. Sci. Technol. 2022, 33, 085103. [Google Scholar] [CrossRef]
- Zhao, R.; Yan, R.; Chen, Z.; Mao, K.; Wang, P.; Gao, R.X. Deep learning and its applications to machine health monitoring. Mech. Syst. Signal Process. 2019, 115, 213–237. [Google Scholar] [CrossRef]
- Wang, G.; Zhang, M.; Lei, X.; Hu, Z.; Li, W.; Cao, J. A Multi-Branch convolutional transfer learning diagnostic method for bearings under diverse working conditions and devices. Measurement 2021, 182, 109627. [Google Scholar] [CrossRef]
- Liu, R.; Yang, B.; Zhang, X.; Wang, S.; Chen, X. Time-Frequency Atoms-Driven support vector machine method for bearings incipient fault diagnosis. Mech. Syst. Signal Process. 2016, 75, 345–370. [Google Scholar] [CrossRef]
- Sánchez, R.V.; Lucero, P.; Vásquez, R.E.; Cerrada, M.; Macancela, J.C.; Cabrera, D. Feature ranking for multi-fault diagnosis of rotating machinery by using random forest and KNN. J. Intell. Fuzzy Syst. 2018, 34, 3463–3473. [Google Scholar] [CrossRef]
- Wang, H.; Liu, Z.; Peng, D.; Qin, Y. Understanding and Learning Discriminant Features based on Multiattention 1DCNN for Wheelset Bearing Fault Diagnosis. IEEE Trans. Ind. Inf. 2020, 16, 5735–5745. [Google Scholar] [CrossRef]
- Wang, G.; Li, H.; Zhang, F.; Wu, Z. Feature Fusion based Ensemble Method for remaining useful life prediction of machinery. Appl. Soft Comput. 2022, 129, 109604. [Google Scholar] [CrossRef]
- Wen, L.; Li, X.; Gao, L.; Zhang, Y. A New Convolutional Neural Network-Based Data-Driven Fault Diagnosis Method. IEEE Trans. Ind. Electron. 2018, 65, 5990–5998. [Google Scholar] [CrossRef]
- Chen, Z.; Mauricio, A.; Li, W.; Gryllias, K. A deep learning method for bearing fault diagnosis based on Cyclic Spectral Coherence and Convolutional Neural Networks. Mech. Syst. Signal Process. 2020, 140, 106683. [Google Scholar] [CrossRef]
- Yu, J.; Zhou, X.; Lu, L.; Zhao, Z. Multiscale Dynamic Fusion Global Sparse Network for Gearbox Fault Diagnosis. IEEE Trans. Instrum. Meas. 2021, 70, 3516111. [Google Scholar] [CrossRef]
- Wang, H.; Xu, J.; Yan, R.; Gao, R.X. A New Intelligent Bearing Fault Diagnosis Method Using SDP Representation and SE-CNN. IEEE Trans. Instrum. Meas. 2020, 69, 2377–2389. [Google Scholar] [CrossRef]
- Gao, R.; Zhu, H.; Wang, G.; Wu, Z. A denoising and multiscale residual deep network for soft sensor modeling of industrial processes. Meas. Sci. Technol. 2022, 33, 105117. [Google Scholar] [CrossRef]
- Yao, X.; Zhu, H.; Wang, G.; Wu, Z.; Chu, W. Triple Attention-Based deep convolutional recurrent network for soft sensors. Measurement 2022, 202, 111897. [Google Scholar] [CrossRef]
- Han, Y.; Tang, B.; Deng, L. Multi-Level wavelet packet fusion in dynamic ensemble convolutional neural network for fault diagnosis. Measurement 2018, 127, 246–255. [Google Scholar] [CrossRef]
- Wen, L.; Li, X.; Gao, L. A New Two-Level Hierarchical Diagnosis Network Based on Convolutional Neural Network. IEEE Trans. Instrum. Meas. 2020, 69, 330–338. [Google Scholar] [CrossRef]
- Wang, G.; Zhang, F. A Sequence-to-Sequence Model With Attention and Monotonicity Loss for Tool Wear Monitoring and Prediction. IEEE Trans. Instrum. Meas. 2021, 70, 1–11. [Google Scholar] [CrossRef]
- Zaman, W.; Siddique, M.F.; Ullah, S.; Saleem, F.; Kim, J.-M. Hybrid Deep Learning Model for Fault Diagnosis in Centrifugal Pumps: A Comparative Study of VGG16, ResNet50, and Wavelet Coherence Analysis. Machines 2024, 12, 905. [Google Scholar] [CrossRef]
- Li, Y.; Zou, L.; Jiang, L.; Zhou, X. Fault Diagnosis of Rotating Machinery Based on Combination of Deep Belief Network and One-Dimensional Convolutional Neural Network. IEEE Access 2019, 7, 165710–165723. [Google Scholar] [CrossRef]
- Zhang, X.; Han, P.; Xu, L.; Zhang, F.; Wang, Y.; Gao, L. Research on Bearing Fault Diagnosis of Wind Turbine Gearbox Based on 1DCNN-PSO-SVM. IEEE Access 2020, 8, 192248–192258. [Google Scholar] [CrossRef]
- Ye, Z.; Yu, J. AKRNet: A novel convolutional neural network with attentive kernel residual learning for feature learning of gearbox vibration signals. Neurocomputing 2021, 447, 23–37. [Google Scholar] [CrossRef]
- Siddique, M.F.; Saleem, F.; Umar, M.; Kim, C.H.; Kim, J.-M. A Hybrid Deep Learning Approach for Bearing Fault Diagnosis Using Continuous Wavelet Transform and Attention-Enhanced Spatiotemporal Feature Extraction. Sensors 2025, 25, 2712. [Google Scholar] [CrossRef]
- Zhang, Y.; Xing, K.; Bai, R.; Sun, D.; Meng, Z. An enhanced convolutional neural network for bearing fault diagnosis based on Time–Frequency image. Measurement 2020, 157, 107667. [Google Scholar] [CrossRef]
- Wang, D.; Li, Y.; Jia, L.; Song, Y.; Liu, Y. Novel Three-Stage Feature Fusion Method of Multimodal Data for Bearing Fault Diagnosis. IEEE Trans. Instrum. Meas. 2021, 70, 3514710. [Google Scholar] [CrossRef]
- Weng, C.; Lu, B.; Gu, Q. A Multi-Scale Kernel-Based network with improved attention mechanism for rotating machinery fault diagnosis under noisy environments. Meas. Sci. Technol. 2022, 33, 055108. [Google Scholar] [CrossRef]
- Ke, L.; Hu, G.; Yang, Y.; Liu, Y. Fault Diagnosis for Modular Multilevel Converter Switching Devices via Multimodal Attention Fusion. IEEE Access 2023, 11, 135035–135048. [Google Scholar] [CrossRef]
- Zhou, F.; Hu, P.; Yang, S.; Wen, C. A Multimodal Feature Fusion-Based Deep Learning Method for Online Fault Diagnosis of Rotating Machinery. Sensors 2018, 18, 3521. [Google Scholar] [CrossRef] [PubMed]
- Qin, Y.; Shi, X. Fault Diagnosis Method for Rolling Bearings Based on Two-Channel CNN under Unbalanced Datasets. Appl. Sci. 2022, 12, 8474. [Google Scholar] [CrossRef]
- Ma, Y.; Wen, G.; Cheng, S.; He, X.; Mei, S. Multimodal convolutional neural network model with information fusion for intelligent fault diagnosis in rotating machinery. Meas. Sci. Technol. 2022, 33, 125109. [Google Scholar] [CrossRef]
- Cheng, L.; An, Z.; Guo, Y.; Ren, M.; Yang, Z.; McLoone, S. MMFSL: A Novel Multimodal Few-Shot Learning Framework for Fault Diagnosis of Industrial Bearings. IEEE Trans. Instrum. Meas. 2023, 72, 3525313. [Google Scholar] [CrossRef]
- Xie, T.; Xu, Q.; Jiang, C.; Lu, S.; Wang, X. The fault frequency priors fusion deep learning framework with application to fault diagnosis of offshore wind turbines. Renew. Energy 2023, 202, 143–153. [Google Scholar] [CrossRef]
- Jia, L.; Chow, T.W.S.; Wang, Y.; Yuan, Y. Multiscale Residual Attention Convolutional Neural Network for Bearing Fault Diagnosis. IEEE Trans. Instrum. Meas. 2022, 71, 3519413. [Google Scholar] [CrossRef]
- Chang, Y.; Chen, J.; Chen, Q.; Liu, S.; Zhou, Z. CFs-Focused intelligent diagnosis scheme via alternative kernels networks with soft Squeeze-and-Excitation attention for Fast-Precise fault detection under slow & sharp speed variations. Knowl. -Based Syst. 2022, 239, 108026. [Google Scholar] [CrossRef]
- Li, C.; Sanchez, R.-V.; Zurita, G.; Cerrada, M.; Cabrera, D.; Vásquez, R.E. Multimodal deep support vector classification with homologous features and its application to gearbox fault diagnosis. Neurocomputing 2015, 168, 119–127. [Google Scholar] [CrossRef]
- Wang, G.; Zhang, F.; Cheng, B.; Fang, F. DAMER: A novel diagnosis aggregation method with evidential reasoning rule for bearing fault diagnosis. J. Intell. Manuf. 2021, 32, 1–20. [Google Scholar] [CrossRef]
- Wang, G.; Huang, J.; Zhang, F. Ensemble Clustering-Based fault diagnosis method incorporating traditional and deep representation features. Meas. Sci. Technol. 2021, 32, 095110. [Google Scholar] [CrossRef]
- Pandya, D.H.; Upadhyay, S.H.; Harsha, S.P. Fault diagnosis of rolling element bearing with intrinsic mode function of acoustic emission data using APF-KNN. Expert. Syst. Appl. 2013, 40, 4137–4145. [Google Scholar] [CrossRef]
- Cerrada, M.; Zurita, G.; Cabrera, D.; Sánchez, R.-V.; Artés, M.; Li, C. Fault diagnosis in spur gears based on genetic algorithm and random forest. Mech. Syst. Signal Process. 2016, 70–71, 87–103. [Google Scholar] [CrossRef]
- Yan, X.; Jia, M. A novel optimized SVM classification algorithm with multi-domain feature and its application to fault diagnosis of rolling bearing. Neurocomputing 2018, 313, 47–64. [Google Scholar] [CrossRef]
- Li, G.; Deng, C.; Wu, J.; Xu, X.; Shao, X.; Wang, Y. Sensor Data-Driven Bearing Fault Diagnosis Based on Deep Convolutional Neural Networks and S-Transform. Sensors 2019, 19, 2750. [Google Scholar] [CrossRef]
- Zhang, L.; Lv, Y.; Huang, W.; Yi, C. Bearing fault diagnosis under various operation conditions using synchrosqueezing transform and improved Two-Dimensional convolutional neural network. Meas. Sci. Technol. 2022, 33, 085002. [Google Scholar] [CrossRef]
- Wu, C.; Jiang, P.; Ding, C.; Feng, F.; Chen, T. Intelligent fault diagnosis of rotating machinery based on One-Dimensional convolutional neural network. Comput. Ind. 2019, 108, 53–61. [Google Scholar] [CrossRef]
- Zou, F.; Zhang, H.; Sang, S.; Li, X.; He, W.; Liu, X.; Chen, Y. An Anti-Noise One-Dimension convolutional neural network learning model applying on bearing fault diagnosis. Measurement 2021, 186, 110236. [Google Scholar] [CrossRef]
- Chang, X.; Tang, B.; Tan, Q.; Deng, L.; Zhang, F. One-Dimensional fully decoupled networks for fault diagnosis of planetary gearboxes. Mech. Syst. Signal Process. 2020, 141, 106482. [Google Scholar] [CrossRef]
- Lu, F.; Tong, Q.; Feng, Z.; Wan, Q.; An, G.; Li, Y.; Wang, M.; Cao, J.; Guo, T. Explainable 1DCNN with demodulated frequency features method for fault diagnosis of rolling bearing under Time-Varying speed conditions. Meas. Sci. Technol. 2022, 33, 095022. [Google Scholar] [CrossRef]
- Xian, D.; Ding, J.; He, Z.; Liu, Y.; Li, T.; Bai, Y.; Jiang, Z. State recognition of motor pump based on multimodal homologous features and XGBoost. In Proceedings of the 2021 IEEE International Conference on Manipulation, Manufacturing and Measurement on the Nanoscale (3M-NANO), Xi’an, China, 2–6 August 2021; pp. 231–236. [Google Scholar] [CrossRef]
- Chu, C.; Ge, Y.; Qian, Q.; Hua, B.; Guo, J. A novel Multi-Scale convolution model based on Multi-Dilation rates and Multi-Attention mechanism for mechanical fault diagnosis. Digit. Signal Process. 2022, 122, 103355. [Google Scholar] [CrossRef]
- He, X.; Wang, Y.; Zhao, S.; Chen, X. Co-Attention Fusion Network for Multimodal Skin Cancer Diagnosis. Pattern Recognit. 2023, 133, 108990. [Google Scholar] [CrossRef]
- Qingyun, F.; Zhaokui, W. Cross-Modality attentive feature fusion for object detection in multispectral remote sensing imagery. Pattern Recognit. 2022, 130, 108786. [Google Scholar] [CrossRef]
- Li, J.; Shao, J.; Wang, W.; Xie, W. An evolutional deep learning method based on multi-feature fusion for fault diagnosis in sucker rod pumping system. Alex. Eng. J. 2023, 66, 343–355. [Google Scholar] [CrossRef]
- Shao, S.; McAleer, S.; Yan, R.; Baldi, P. Highly Accurate Machine Fault Diagnosis Using Deep Transfer Learning. IEEE Trans. Ind. Inf. 2019, 15, 2446–2455. [Google Scholar] [CrossRef]
- Zhang, W.; Peng, G.; Li, C.; Chen, Y.; Zhang, Z. A New Deep Learning Model for Fault Diagnosis with Good Anti-Noise and Domain Adaptation Ability on Raw Vibration Signals. Sensors 2017, 17, 425. [Google Scholar] [CrossRef]
- Zhang, W.; Li, X.; Ding, Q. Deep residual Learning-Based fault diagnosis method for rotating machinery. ISA Trans. 2019, 95, 295–305. [Google Scholar] [CrossRef]
- Chen, X.; Zhang, B.; Gao, D. Bearing fault diagnosis base on Multi-Scale CNN and LSTM model. J. Intell. Manuf. 2021, 32, 971–987. [Google Scholar] [CrossRef]
- Liu, R.; Wang, F.; Yang, B.; Qin, S.J. Multiscale Kernel Based Residual Convolutional Neural Network for Motor Fault Diagnosis Under Nonstationary Conditions. IEEE Trans. Ind. Inf. 2020, 16, 3797–3806. [Google Scholar] [CrossRef]
- Zhao, M.; Zhong, S.; Fu, X.; Tang, B.; Pecht, M. Deep Residual Shrinkage Networks for Fault Diagnosis. IEEE Trans. Ind. Inf. 2020, 16, 4681–4690. [Google Scholar] [CrossRef]
- van der Maaten, L.; Hinton, G. Visualizing Data using t-SNE. J. Mach. Learn. Res. 2008, 9, 2579–2605. [Google Scholar]





















| Dataset | Location | Condition | Samples | Fault Status |
|---|---|---|---|---|
| CWRU | D1: Drive End Bearing | 48 kHz; 0/1/2/3 hp | 4485 × 1 × 1024 | Health, BF007, BF014, BF021, IF007, IF014, IF021, OF007, OF014, OF021 |
| D2: Fan End Bearing | 12 kHz; 0/1/2/3 hp | 3910 × 1 × 1024 | Health, BF007, BF014, BF021, IF007, IF014, IF021, OF007, OF014, OF021 | |
| SEU | D3: Gearbox | 20 Hz-0 V/30 Hz-2 V | 5110 × 8 × 2048 | Health, Chipped, Miss, Root, Surface |
| D4: Bearing | 20 Hz-0 V/30 Hz-2 V | 5110 × 8 × 2048 | Health, Ball, Inner, Outer, Combination |
| Layer | Parameter | ||
|---|---|---|---|
| Time Domain | Frequency Domain | Time–Frequency Domain | |
| MS-CNN | kernel: 1, 3, 5, 7; out layer: 4 | kernel: 1, 3, 5, 7; out layer: 4 | kernel: 1, 3, 5, 7; out layer: 4 |
| Di-CNN | kernel: 3, dilation rate: 1, 3, 5, 7; out layer: 4 | kernel: 3, dilation rate: 1, 3, 5, 7; out layer: 4 | kernel: 3, dilation rate: 1, 3, 5, 7; out layer: 4 |
| Maxpool | 4 × 1 | 4 × 1 | 2 × 2 |
| MSAM | reduction: 4 | reduction: 4 | reduction: 4 |
| CNN | kernel: 3; out layer: 32 | kernel: 3; out layer: 32 | kernel: 3; out layer: 32 |
| Maxpool | 4 × 1 | 4 × 1 | 2 × 2 |
| Fusion1 | reduction: 4 | dimension reduction | |
| Fusion1 | reduction: 4 | ||
| Classifier | Avgpool; fully connection (10) | ||
| D1 | D2 | D3 | D4 | |||||
|---|---|---|---|---|---|---|---|---|
| Methods | Acc (%) | F1 (%) | Acc (%) | F1 (%) | Acc (%) | F1 (%) | Acc (%) | F1 (%) |
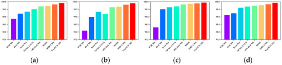
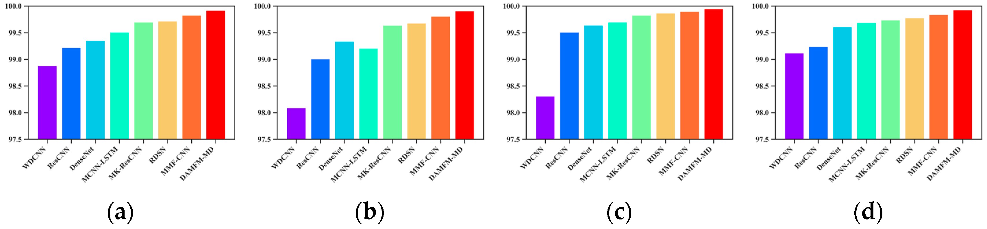
| WDCNN | 98.93 ± 0.52 | 98.88 ± 0.56 | 98.24 ± 0.60 | 98.09 ± 0.87 | 99.32 ± 0.28 | 98.31 ± 0.28 | 99.15 ± 0.29 | 99.12 ± 0.31 |
| ResCNN | 99.24 ± 0.33 | 99.22 ± 0.32 | 98.92 ± 0.37 | 99.01 ± 0.42 | 99.51 ± 0.16 | 99.51 ± 0.16 | 99.24 ± 0.27 | 99.24 ± 0.27 |
| DenseNet | 99.36 ± 0.27 | 99.35 ± 0.26 | 99.28 ± 0.29 | 99.34 ± 0.31 | 99.64 ± 0.13 | 99.64 ± 0.13 | 99.61 ± 0.20 | 99.61 ± 0.20 |
| MCNN-LSTM | 99.51 ± 0.27 | 99.51 ± 0.27 | 99.37 ± 0.42 | 99.21 ± 0.47 | 99.69 ± 0.30 | 99.70 ± 0.30 | 99.67 ± 0.23 | 99.69 ± 0.21 |
| MK-ResCNN | 99.71 ± 0.15 | 99.70 ± 0.15 | 99.62 ± 0.18 | 99.64 ± 0.16 | 99.83 ± 0.12 | 99.83 ± 0.12 | 99.74 ± 0.17 | 99.74 ± 0.17 |
| RDSN | 99.72 ± 0.17 | 99.72 ± 0.16 | 99.63 ± 0.18 | 99.68 ± 0.15 | 99.86 ± 0.12 | 99.87 ± 0.11 | 99.78 ± 0.15 | 99.78 ± 0.14 |
| MMF-CNN | 99.84 ± 0.12 | 99.83 ± 0.11 | 99.80 ± 0.12 | 99.81 ± 0.11 | 99.90 ± 0.11 | 99.90 ± 0.11 | 99.85 ± 0.10 | 99.84 ± 0.10 |
| DAMFM-MD | 99.93 ± 0.07 | 99.92 ± 0.07 | 99.91 ± 0.10 | 99.92 ± 0.08 | 99.96 ± 0.05 | 99.95 ± 0.05 | 99.93 ± 0.08 | 99.93 ± 0.07 |
| CWRU | SEU | |||
|---|---|---|---|---|
| Methods | Response Time (ms) | Memory Usage (MB) | Response Time (ms) | Memory Usage (MB) |
| WDCNN | 0.012 | 0.036 | 0.017 | 0.289 |
| ResCNN | 0.011 | 0.203 | 0.014 | 0.349 |
| DenseNet | 0.017 | 0.439 | 0.034 | 1.020 |
| MCNN-LSTM | 0.106 | 0.962 | 0.139 | 1.943 |
| MK-ResCNN | 0.098 | 1.215 | 0.117 | 1.273 |
| RDSN | 0.090 | 0.788 | 0.114 | 0.822 |
| MMF-CNN | 0.021 | 0.162 | 0.023 | 0.524 |
| DAMFM-MD | 0.089 | 0.173 | 0.130 | 0.457 |
| Acc (%) | |||||
|---|---|---|---|---|---|
| Methods | D1 | D2 | D3 | D4 | |
| Single-modal data | T-MSCN | 98.42 ± 0.94 | 99.34 ± 0.34 | 97.63 ± 1.01 | 99.00 ± 0.28 |
| F-MSCN | 97.65 ± 0.90 | 99.63 ± 0.15 | 96.70 ± 1.90 | 97.46 ± 0.56 | |
| TF-MSCN | 99.36 ± 0.40 | 99.45 ± 0.25 | 99.79 ± 0.12 | 99.63 ± 0.21 | |
| Multimodal data | M-MSCN-T | 99.78 ± 0.09 | 99.71 ± 0.16 | 99.84 ± 0.13 | 99.78 ± 0.09 |
| M-MSCN-F | 99.66 ± 0.17 | 99.91 ± 0.10 | 99.67 ± 0.30 | 99.73 ± 0.15 | |
| M-MSCN-TF | 99.93 ± 0.07 | 99.84 ± 0.12 | 99.96 ± 0.05 | 99.93 ± 0.08 | |
| t-Statistic | ||||
|---|---|---|---|---|
| Methods | D1 | D2 | D3 | D4 |
| DICN-MS-MM | −4.2950 *** | −2.9021 ** | −3.8360 *** | −3.6870 ** |
| MSCN-MS-MM | −5.2909 *** | −2.7190 ** | −4.4621 *** | −4.3915 *** |
| MSDICN-MM | −4.8320 *** | −2.3073 ** | −3.8183 *** | −3.8806 *** |
| MSDICN-MS | −4.8518 *** | −3.7178 *** | −4.6373 *** | −5.0593 *** |
Disclaimer/Publisher’s Note: The statements, opinions and data contained in all publications are solely those of the individual author(s) and contributor(s) and not of MDPI and/or the editor(s). MDPI and/or the editor(s) disclaim responsibility for any injury to people or property resulting from any ideas, methods, instructions or products referred to in the content. |
© 2025 by the authors. Licensee MDPI, Basel, Switzerland. This article is an open access article distributed under the terms and conditions of the Creative Commons Attribution (CC BY) license (https://creativecommons.org/licenses/by/4.0/).
Share and Cite
Chu, Y.; Zhu, L.; Lu, M. A Dual-Attentive Multimodal Fusion Method for Fault Diagnosis Under Varying Working Conditions. Mathematics 2025, 13, 1868. https://doi.org/10.3390/math13111868
Chu Y, Zhu L, Lu M. A Dual-Attentive Multimodal Fusion Method for Fault Diagnosis Under Varying Working Conditions. Mathematics. 2025; 13(11):1868. https://doi.org/10.3390/math13111868
Chicago/Turabian StyleChu, Yan, Leqi Zhu, and Mingfeng Lu. 2025. "A Dual-Attentive Multimodal Fusion Method for Fault Diagnosis Under Varying Working Conditions" Mathematics 13, no. 11: 1868. https://doi.org/10.3390/math13111868
APA StyleChu, Y., Zhu, L., & Lu, M. (2025). A Dual-Attentive Multimodal Fusion Method for Fault Diagnosis Under Varying Working Conditions. Mathematics, 13(11), 1868. https://doi.org/10.3390/math13111868

