Next Article in Journal
An Advanced Time-Varying Capital Asset Pricing Model via Heterogeneous Autoregressive Framework: Evidence from the Chinese Stock Market
Next Article in Special Issue
The Memory Lag Regulates the Threshold Effect Within the Repressor Gene Module
Previous Article in Journal
A New Local Optimal Spline Wavelet for Image Edge Detection
 
 
Font Type:
Arial Georgia Verdana
Font Size:
Aa Aa Aa
Line Spacing:
Column Width:
Background:
Article

Optimal Control Strategies for Dengue and Malaria Co-Infection Disease Model

1
Tandy School of Computer Science, The University of Tulsa, 800 South Tucker Drive, Tulsa, OK 74104, USA
2
Department of Mathematics and Statistics, College of Science, King Faisal University, Al-Ahsa 31982, Saudi Arabia
3
Department of Biotechnologies and Biosciences, University of Milano-Bicocca Piazza, della Scienza 2, 20126 Milan, Italy
4
Department of Mathematics, COMSATS University Islamabad, Lahore Campus, Lahore 54000, Pakistan
*
Author to whom correspondence should be addressed.
Mathematics 2025, 13(1), 43; https://doi.org/10.3390/math13010043
Submission received: 18 November 2024 / Revised: 21 December 2024 / Accepted: 23 December 2024 / Published: 26 December 2024
(This article belongs to the Special Issue Modeling, Identification and Control of Biological Systems)

Abstract

Dengue and malaria fever infections are mosquito-borne diseases that pose significant threats to human health. There is an urgent need for effective strategies to prevent, control, and raise awareness about the public health risks of dengue and malaria. In this manuscript, we analyze a mathematical model that addresses the dynamics of dengue–malaria co-infection and propose optimal control strategies across four different scenarios to limit the spread of the disease. The results indicate that non-pharmaceutical interventions are the most effective and feasible standalone strategy, yielding significant reductions in disease transmission. Additionally, vector population control through spraying is identified as the second most significant method, with a proportional decrease in disease prevalence corresponding to the reduction in the mosquito population. While pharmaceutical treatments alone do not fully eradicate the disease, they do contribute to its containment. Notably, the combination of vector control and non-pharmaceutical strategies proved to be the most effective approach, ensuring rapid disease eradication. These findings emphasize the importance of integrated interventions in managing co-infection dynamics and highlight the vital role of prevention-oriented strategies.

1. Introduction

Dengue and malaria are dangerous vector-borne diseases spread by female Aedes mosquitoes for dengue [1] and female Anopheles mosquitoes for malaria [2]. More than 100 countries worldwide are at risk of dengue disease. Dengue symptoms include, among others, destruction of white blood cells, fast reduction in platelet count, high fever, vomiting, stomach pain, and mucosal bleeding [3,4]. Malaria is an older and more dangerous disease compared to other mosquito-borne illnesses like dengue. The number of reported malaria cases has increased significantly over the years. In 2016, there were 216 million cases reported worldwide [5]. This number rose dramatically to 320 million cases in 2017. By 2020, it was estimated that there were 241 million malaria cases globally [6,7]. Tragically, this disease also caused approximately 627,000 deaths worldwide in the same year [8,9]. Africa had 95% of cases and 96% of deaths, with 80% of them occurring in children under five years old [9]. Malaria has reemerged in regions where it was previously under control, despite worldwide initiatives. The typical symptoms consist of fever, sweating, shivering, vomiting, headache, diarrhea, and muscular aches, with an incubation period ranging from 7 to 14 days [9,10,11].
Dengue and malaria present similar first symptoms and can afflict an individual simultaneously, as they share the same vector (mosquito) [12,13]. Both dengue fever and malaria are similar in terms of how they are transmitted and their effects on human health. They are vector-borne diseases spread by infected mosquitoes carrying dengue viruses and malaria parasites [13,14]. These diseases are globally prevalent: if not identified or treated effectively they result in catastrophic outcomes including death [13,14,15]. It is important to emphasize thorough preventative and control efforts to counteract the spread of both diseases due to their similar characteristics. As noted in reference [12], instances of dengue–malaria co-infection in 2016 were recorded in multiple countries.
There are not many publications addressing dengue and malaria co-infection. A prime example is presented in [12], which provides a thorough analysis of dengue–malaria co-infection, including clinical signs and difficulties in diagnosis. The first occurrence of co-infection with dengue and malaria in Nepal was clarified in another study [15]. In [16], a mathematical model for co-infection with dengue and malaria is provided via a deterministic system of nonlinear ordinary differential equations (ODEs). The goal was to give a succinct overview and stability study using numerical and analytical techniques. Although such a paper is fundamental for epidemiologists, it only covers a small portion of the field, allowing opportunity for more research such as control and sensitivity analyses. To close the gap, in [17], a new mathematical model with more grounded assumptions was created and examined to address the co-infection with dengue and malaria; in [17], a qualitative behavior analysis was carried out, including the stability analysis of disease-free and endemic equilibrium points. In addition, in [17], three distinct control actions were considered: mosquito killing spraying, self-precaution measures, such bed nets and mosquito repellent, and acts to limit the contact between the host and vector populations. All these control measures were simply addressed as constant inputs of the model, and their effects were investigated according to different fixed values.
In mathematical modeling and optimal control design, researchers aim to develop different models for infectious diseases based on specific physical conditions and requirements. They also explore various strategies for disease control [18,19,20,21,22]. In [18], the researchers focused on creating a new fractional model for dengue and COVID-19 co-infection using the Atangana–Baleanu derivative to suggest effective ways to limit the spread of these infections. They used vaccination and treatment rates as optimal controls to minimize the objective function and reduce infection spread. In [19], researchers divided the host and vector populations into susceptible, exposed, and infected subpopulations, creating an S E I compartment model for malaria, COVID-19, and their co-infection, along with the mosquito vector population. They analyzed sub-models separately to obtain theoretical results and applied an optimal control strategy, using self-precaution measures for dengue (e.g., mosquito nets) and COVID-19 (e.g., hand-washing, mask-wearing, and sanitizers) as controls. According to our knowledge, there is no work available in the literature that optimally addresses dengue and malaria co-infection. Therefore, in this manuscript, we exploit the model introduced in [17] to investigate optimal control strategies. Similar to [17], we have considered non-pharmaceutical strategies such as sprays to reduce vectors and self-precaution measures; non-pharmaceutical interventions have recently gained interest because of their success in containing the COVID-19 pandemics realized according to lockdown and limitation of social and economic activities [20], and optimal strategies on the field have, therefore, been investigated to contain COVID-19 and other infectious diseases [21,22,23,24]. For instance, in [23], the containment of the COVID-19 outbreak during the very first spreading period was achieved by optimally designing the starting and ending times of the lockdown, as well as the number of isolated people; such an idea has been recently extended in [24] by addressing a trial-and-error procedure based on which the adopted restrictions are periodically revised every short-length period.
Differently from [17], the third control action is pharmaceutical drug administration for human infection. All these control strategies are no longer fixed to constant values (like in [17]) but are designed by means of optimal control tools. The structure of the paper is as follows: The formulation of the dengue–malaria co-infection model is covered in Section 2. Section 3 consists of the construction of an optimal control problem with various optimal controls. The numerical simulations along with detailed discussion of these optimal controls are given in Section 4. Finally, the findings of the manuscript and future directions are summarized in Section 5.

2. Model of Dengue–Malaria Co-Infection

We divided the vector N v ( t ) and host N h ( t ) population into four and seven classes, respectively. Regarding the vectors, we have susceptible S v ( t ) , exposed E v ( t ) , dengue-infectious I v d ( t ) , and malaria-infectious I v m ( t ) ; regarding the hosts, we have susceptible S h ( t ) , exposed E h ( t ) , dengue-infectious I h d ( t ) , malaria-infectious I h m ( t ) , dengue/malaria co-infectious I h d m ( t ) , under treatment T h ( t ) , and recovered R h ( t ) . The model equations and the parameters describing the free-evolution (i.e., with no control actions) of the disease are taken from [17] along with the following assumptions:
  • All the theoretical results that were rigorously established and validated in the study referenced as [17] are applicable to and hold true for our analysis. This demonstrates the alignment of our work with the prior theoretical framework and ensures the robustness of our assumptions and methods.
  • In this study, we consider three control strategies that vary over time, which are as follows: the application of mosquito spray, denoted as u 1 ( t ) ; the practice of self-precautionary measures, represented by u 2 ( t ) ; and the implementation of a treatment rate for infected individuals, denoted as u 3 ( t ) . These time-dependent controls are designed to mitigate the spread of the diseases under consideration.
  • It is assumed that the treatment rate u 3 ( t ) is uniform and identical for all individuals infected with dengue, malaria, or a co-infection of both diseases. This simplifies the model and reflects a generalized approach to medical intervention.
  • Apart from the time-dependent controls, all other parameters used in this study are considered constant. This assumption allows us to focus on the dynamic effects of the controls while maintaining a manageable complexity in the model.
Under the assumptions and considerations outlined above, the mathematical model of dengue–malaria co-infection is described by the following system of differential equations.
d S v d t = Π ( Φ 1 I h d + Φ 2 I h m + Φ 3 I h d m ) S v N v ( ν + u 1 ) S v ,
d E v d t = ( Φ 1 I h d + Φ 2 I h m + Φ 3 I h d m ) S v N v ( Φ 4 + Φ 5 + ν + u 1 ) E v ,
d I v d d t = Φ 4 E v ( ν + u 1 ) I v d ,
d I v m d t = Φ 5 E v ( ν + u 1 ) I v m ,
d S h d t = Ψ ( β 1 I v d + α 1 I v m ) S h N h ( μ + u 2 ) S h ,
d E h d t = ( β 1 I v d + α 1 I v m ) S h N h ( β 2 + α 2 + γ 1 + μ ) E h ,
d I h d d t = β 2 E h ( u 3 + μ + δ I h d ) I h d ,
d I h m d t = α 2 E h ( u 3 + μ + δ I h m ) I v m ,
d I h d m d t = γ 1 E h ( u 3 + μ + δ I h d m ) I v d m ,
d T h d t = u 3 I h d + u 3 I h m + u 3 I h d m ( γ 3 + μ + δ T h ) T h ,
d R h d t = γ 3 T h μ R h + u 2 S h .
Spray and self-precaution measures are denoted by u 1 and u 2 and are inherited from [17]. Regarding the pharmaceutical control, the assumption is that it may vary the medication rate of the infectious hosts (which was supposed to be fixed and not a control variable in [17]). We evaluate the impact of each of these control measures separately. All other parameters are kept the same and are given in Table 1.
Motivation for such a modeling choice is that it has been proven to be a well-posed model, to admit bounded positive solutions for any positive choice of the model parameters and of the initial conditions. Regarding its qualitative behavior, it has been proven to admit both a disease-free and an endemic equilibrium point whose stability properties are tightly bound to the reproduction number [17]. Refer to [17] for the description of the model parameters.

3. Optimal Control of Dengue–Malaria Co-Infection

Optimal control theory is the most suitable mathematical approach for determining the best actions to achieve a specific goal [25,26,27,28]. Pontryagin and Boltyanskii’s theory of optimal control has been applied to both integer and fractional epidemic models, helping to make effective future decisions [26,27,28,29,30]. In this section, we define an optimal control problem that includes mosquito spraying ( u 1 ), self-precaution measures by humans ( u 2 ), and treatment rates for infected humans ( u 3 ) as time-dependent controls. The objective functional J includes both the infectious state variables and the controls. The optimal control strategy aims to reduce infection levels and the cost of controls actions.

3.1. Objective Functional

The optimal control problem aims at minimizing infection in humans, according to the following index J:
J ( I h d , I h m , I h d m , u 1 , u 2 , u 3 ) = 0 T C 1 I h d + C 2 I h m + C 3 I h d m + i = 1 3 D i u i 2 ( t ) 2 d t ,
with u i and D i , i = 1 , 2 , 3 , denoting the weights for the state and control variables, respectively. In case of a single control action (i.e., only u 1 is considered), weights D 2 and D 3 are set equal to zero.
To find optimal control strategies to control dengue and malaria co-infection disease, the assumed control set is given by
U = u 1 , u 2 , u 3 : u i ( t ) is Lebesgue measurable on [ 0 , 1 ] and 0 u i ( t ) 1 , i = 1 , 2 , 3 .
The aim is to find the admissible optimal controls u 1 * , u 2 * , and u 3 * for the spray, self-precaution, and treatment rates u 1 ( t ) , u 2 ( t ) , and u 3 ( t ) , respectively, in the admissible control function space U such that the cost functional (2) is minimized. That is, determine
J ( I h d , I h m , I h d m , , u 1 * , u 2 * , u 3 * ) = min ( u 1 , u 2 , u 3 ) U J ( I h d , I h m , I h d m , u 1 , u 2 , u 3 ) ,
subject to the model Equation (1).

3.2. Hamiltonian and Necessary Optimality Condition

According to the Pontryagin maximum principle, we define the Hamiltonian function
H ( t , y , u , L ) = C 1 I h d + C 2 I h m + C 3 I h d m + i = 1 3 D i u i 2 ( t ) 2 + j = 1 11 L j f j ( t , y , u ) ,
where y = ( S v , E v , I v d , I v m , S h , E h , I h d , I h m , I h d m , T h , R h ) denotes the state variables in R 11 , f : R 11 R 11 is the right-hand side of the system of state Equation (1), and L j , j = 1 , , 11 stand for the adjoint variables. Thus, H ( t , y , u , L ) can be written as follows:
H ( t , y , u , L ) = C 1 I h d + C 2 I h m + C 3 I h d m + D 1 u 1 2 ( t ) 2 + D 2 u 2 2 ( t ) 2 + D 3 u 3 2 ( t ) 2 + L 1 Π ( Φ 1 I h d + Φ 2 I h m + Φ 3 I h d m ) S v N v ( ν + u 1 ) S v + L 2 ( Φ 1 I h d + Φ 2 I h m + Φ 3 I h d m ) S v N v ( Φ 4 + Φ 5 + ν + u 1 ) E v + L 3 ( Φ 4 E v ( ν + u 1 ) I v d ) + L 4 ( Φ 5 E v ( ν + u 1 ) I v m ) + L 5 Ψ ( β 1 I v d + α 1 I v m ) S h N h ( μ + u 2 ) S h + L 6 ( β 1 I v d + α 1 I v m ) S h N h ( β 2 + α 2 + γ 1 + μ ) E h + L 7 ( β 2 E h ( u 3 + μ + δ I h d ) I h d ) + L 8 ( α 2 E h ( u 3 + μ + δ I h m ) I h m ) + L 9 ( γ 1 E h ( u 3 + μ + δ I h d m ) I h d m ) + L 10 ( u 3 I h d + u 3 I h m + u 3 I h d m ( γ 3 + μ + δ T h ) T h ) + L 11 ( γ 3 T h μ R h + u 2 S h ) .
The optimality condition
H u i = 0 , i = 1 , 2 , 3 ,
provides the following expressions for the control actions:
u 1 ( t ) = L 1 S v + L 2 E v + L 3 I v d + L 4 I v m D 1 ,
u 2 ( t ) = S h ( L 5 L 11 ) D 2 ,
u 3 ( t ) = ( L 7 L 10 ) I h d + ( L 8 L 10 ) I h m + ( L 9 L 10 ) I h d m D 3 ,
where L j ( t ) , j = 1 , 2 , 3 , , 11 , functions are obtained from the solutions of the backward adjoint equations:
d L j d t = H y j , j = 1 , , 11 .
These eqs (7) are evaluated to attain following system of linear adjoint equations:
d L 1 d t = Φ 1 I h d + Φ 2 I h m + Φ 3 I h d m N v L 1 L 2 + ( ν + u 1 ) L 1 ,
d L 2 d t = ( L 2 L 3 ) Φ 4 + ( L 2 L 4 ) Φ 5 + ( ν + u 1 ) L 2 ,
d L 3 d t = ( ν + u 1 ) L 3 + β 1 S h N h ( L 5 L 6 ) ,
d L 4 d t = ( ν + u 1 ) L 4 + α 1 S h N h L 5 L 6 ,
d L 5 d t = β 1 I v d + α 1 I v m N h L 5 L 6 + u 2 ( L 5 L 11 ) + μ L 5 ,
d L 6 d t = β 2 ( L 6 L 7 ) + α 2 ( L 6 L 8 ) + γ 1 ( L 6 L 9 ) + μ L 6 ,
d L 7 d t = Φ 1 S v N v L 1 L 2 + u 3 ( L 7 L 10 ) + ( μ + δ I d ) ( L 7 ) ,
d L 8 d t = Φ 2 S v N v L 1 L 2 + u 3 ( L 8 L 10 ) + ( μ + δ I m ) ( L 8 ) ,
d L 9 d t = Φ 3 S v N v L 1 L 2 + u 3 ( L 9 L 10 ) + ( μ + δ I d m ) ( L 9 ) ,
d L 10 d t = γ 3 ( L 10 L 11 ) + ( μ + δ T ) L 10 ,
d L 11 d t = μ L 11 ,
solved according to the final condition L j ( T ) = 0 , j = 1 , , 11 .
Furthermore, within the optimization procedure, we constrained the control actions to be positive and bounded:
u 1 * ( t ) = min u 1 ( m a x ) , max 0 , u 1 ( t ) ,
u 2 * ( t ) = min u 2 ( m a x ) , max 0 , u 2 ( t ) ,
u 3 * ( t ) = min u 3 ( m a x ) , max 0 , u 3 ( t ) ,
where u i ( m a x ) , i = 1 , 2 , 3 are physical bounds of u i , i = 1 , 2 , 3 . The details about the numerical algorithm providing the solution to the optimization problem can be found in [20,22].

4. Results and Discussion

In the following, results are reported according to different scenarios under investigation. For all the addressed cases, we consider a time horizon of 200 days. Regarding the control parameters, we set C 1 = C 2 = C 3 = 1 and vary D i in order to design a feasible control law.

4.1. Spray for Mosquitoes, u 1 , as the Unique Control Law

In the first case, we only examine the use of a spray for mosquitoes (vectors) as the unique control action ( u 1 ). The weight for u 1 has been fixed to D 1 = 500 , keeping D 2 = D 3 = 0 . Figure 1 shows the optimal function value versus the number of iterations required to make it converge to its minimum value and the input u 1 * versus time. It is apparent that the optimal solution is constrained to its maximum value (normalized to 1 in the picture) for the first 80 days and then slowly decreases. Figure 2 and Figure 3 report the effect of the control law on infectious individuals and mosquitoes, respectively. The application of spray significantly influences the dynamics of co-infection diseases. Given that both dengue and malaria are vector-borne diseases, utilizing the spray parameter proves highly effective in mitigating the spread of the diseases. The solution curves clearly indicate that optimal spray usage not only eliminates the diseases but also conserves resources. In the aftermath of optimal spray application, all compartments show a decrease, except for the susceptible compartment. This is attributed to the reduction in the interaction between susceptible hosts and the vector population, stemming from the effective control of mosquitoes through spray. With respect to the vectors, the application of spray directly impacts and reduces the growth of mosquitoes. Consequently, all classes of mosquitoes decrease and reach zero, except for the susceptible class due to the emergence of new mosquitoes. In summary, the spray is effectively controlling the spread of disease and minimizing the functional objectives.

4.2. Self-Precaution Measures, u 2 , as the Unique Control Law

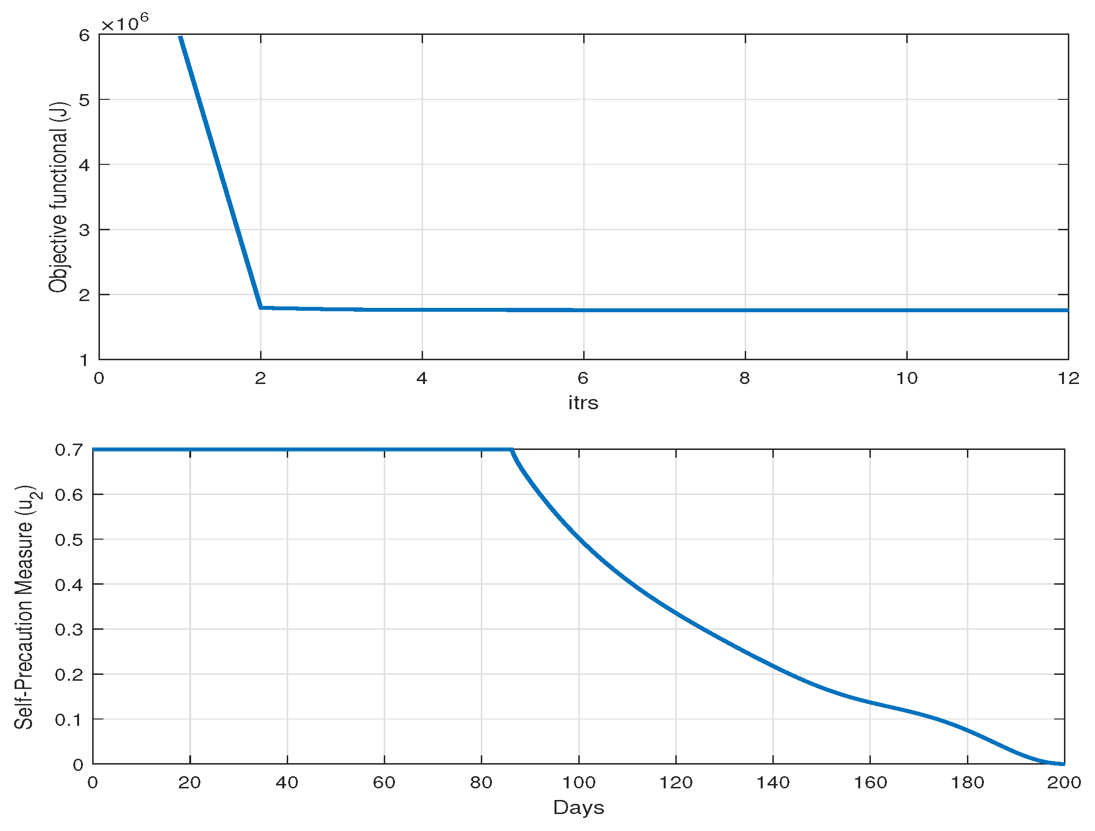
The second scenario addresses the case of only self-precaution measures (control u 2 ). The weight for u 2 has been fixed to D 2 = 100 , keeping D 1 = D 3 = 0 . According to the proposed optimal control strategy reported in Figure 4, a maximum of 70% of susceptible individuals have to adopt self-precaution measures, for about the first 90 days; then, the control action may be relaxed in accordance with the suggested pattern. The convergence of the corresponding objective functional achieves is similar to the previous scenario. Dealing with the hosts’ evolution, Figure 5, it is evident that all infected classes diminish to zero because there is a minimal interaction between susceptible humans and mosquitoes. The recovered population increases as a result of the shift from susceptible individuals, and the overall population also grows due to the absence of disease-related deaths following the implementation of self-precaution measures. Dealing with the vectors’ evolution, Figure 6, the number of susceptible mosquitoes increases, while the count of infected mosquitoes decreases, attributable to the absence of infectious interactions between susceptible mosquitoes and infected humans. Additionally, it is noteworthy that the total mosquito population remains unaffected by the self-precaution control strategy.

4.3. Pharmaceutical Therapy, u 3 , as the Unique Control Law

Dealing with pharmaceutical therapy u 3 as the unique control law, the weight for u 3 has been fixed to D 3 = 300 , keeping D 1 = D 2 = 0 . The objective functional and the corresponding optimal control value are reported in Figure 7. It is apparent that the control action is at its maximum for most of the period, with the corresponding objective functional attaining its minimum value within the same number of iteration as in the previous cases. The impact of treatments on the host populations is shown in Figure 8. We can see that disease is minimized but does not vanish, even when the pharmaceutical treatment is at its maximum rate. Thus, the treatment strategy is helpful to minimize infection but not to completely vanquish the disease. The pharmaceutical control also affects the dynamics of the vector population, Figure 9. The classes of infected mosquitoes slightly decrease due to a reduction in the number of infected humans. The susceptible population increases, while the total population remains the same before and after optimization.

4.4. Combined Effects of Spray, u 1 , and Pharmaceutical Treatment, u 3

Finally, a fourth scenario is investigated, where the combined effects of spray and non-pharmaceutical interventions are considered, Figure 10. The weights have been fixed to D 1 = D 3 = 1 . This is the best control strategy. It minimizes the burden of disease as well as the cost of spray and treatment. We obtain the minimum value of the objective functional in a slightly longer number of iterations (18), and the maximum levels of spray and treatments are 80% and 60%, this last for a short time. The impact of optimal self-precaution and spray control has a great impact on the host populations, Figure 11, since the number of infectious individuals reaches zero in all compartments in a very short time. The vectors also become zero in a very short interval of time, Figure 12.

5. Conclusions

By suitably exploiting a mathematical model addressing the spread of dengue–malaria co-infection, optimal control strategies are investigated according to different scenarios, including (i) mosquito population control (spray), (ii) self-precautions and non-pharmaceutical interventions, (iii) pharmaceutical treatment, and (iv) combined mosquito spray and pharmaceutical treatment control. It is noteworthy that all the control strategies implemented result in the minimization of the disease, ultimately achieving the minimum value of the corresponding objective functional.
According to the optimal control analysis for the suggested model, non-pharmaceutical interventions are the most sensible and straightforward control strategy to implement, but all of them are helpful in reducing sickness. By following certain simple safety measures, humans can simply safeguard themselves. Spraying the population of vectors is the second most effective parameter. It is also evident that when the population of vectors declines, sickness will eventually disappear. Although the treatment was ineffective in eradicating the disease, as in the first two cases (not even 100% of the control action can completely eradicate it), it does help to decrease the sickness. We also investigated the simultaneous effects of spray and pharmaceutical interventions, providing the eradication of the disease at a quite fast rate: regular mosquito spraying and treatment are the best options, according to our thorough observations and analysis.
In future work, we will conduct research to provide a detailed understanding of co-infection, including both dengue and malaria. This challenging problem will be accomplished by using a fractional model that includes an ABC derivative operator. Furthermore, we intend to investigate a wide range of intervention options to improve the clarity of our depiction. Furthermore, our inquiry will also focus on identifying the most efficient strategies for immunization and hospitalization. This will be accomplished by conducting a detailed analysis of a fractional order optimum control problem. We seek to explore the complexities of this mathematical framework to uncover insights that can help improve techniques for addressing dengue–malaria co-infection. In addition to the above, the proposed dengue–malaria co-infection model offers valuable insights into dynamics and control strategies but has limitations. It simplifies complex biological and socio-behavioral processes, assumes homogeneous population mixing, and overlooks multi-strain infections, resistance, and co-infections with other diseases, affecting its real-world applicability.

Declaration of Generative AI and AI-Assisted Technologies in the Writing Process

During the preparation of this work, the authors used QuillBot free AI tool in order to improve the manuscript’s grammar. After using this tool, the authors reviewed and edited the content as needed and take full responsibility for the content of the publication.

Author Contributions

Conceptualization, M.I. and P.P.; methodology, M.I.; software, M.I. and A.I.K.B.; validation, B.A.M., S.B. and H.A.; formal analysis, B.A.M.; investigation, A.I.K.B.; resources, P.P.; data curation, H.A.; writing—original draft preparation, M.I. and P.P.; writing—review and editing, B.A.M., A.I.K.B. and S.B.; visualization, H.A.; supervision, B.A.M. and P.P.; project administration, P.P.; funding acquisition, P.P. All authors have read and agreed to the published version of the manuscript.

Funding

This research received no external funding.

Informed Consent Statement

No ethical approval was required as this research was based on publicly available data sources.

Data Availability Statement

All data supporting the findings of this study are available within the paper.

Conflicts of Interest

The authors declare no conflicts of interest.

References

  1. Khan, M.A. Dengue infection modeling and its optimal control analysis in East Java, Indonesia. Heliyon 2021, 7, e06023. [Google Scholar] [CrossRef]
  2. World Health Organisation. Malaria. 2021. Available online: https://www.who.int/news-room/fact-sheets/detail/malaria (accessed on 9 March 2023).
  3. Bonyah, E.; Khan, M.A.; Okosun, K.O.; Gomez-Aguilar, J.F. On the co-infection of dengue fever and Zika virus. Optim. Control Appl. Methods 2019, 40, 394–421. [Google Scholar] [CrossRef]
  4. CDC Report. Available online: https://www.cdc.gov/dengue/signs-symptoms/?CDC_AAref_Val=https://www.cdc.gov/dengue/symptoms/index.html (accessed on 20 September 2021).
  5. Wang, J.; Zhao, H. Threshold dynamics and regional optimal control of a malaria model with spatial heterogeneity and ivermectin therapy. Appl. Math. Model. 2024, 125, 591–624. [Google Scholar] [CrossRef]
  6. Wang, Y.; Chitnis, N.; Fairbanks, E.L. Optimizing malaria vector control in the Greater Mekong Subregion: A systematic review and mathematical modelling study to identify desirable intervention characteristics. Parasites Vectors 2024, 17, 162. [Google Scholar] [CrossRef] [PubMed]
  7. Duffy, P.E.; Gorres, J.P.; Healy, S.A.; Fried, M. Malaria vaccines: A new era of prevention and control. Nat. Rev. Microbiol. 2024, 22, 756–772. [Google Scholar] [CrossRef]
  8. Pongsumpun, P. Mathematical model of dengue disease with the incubation period of virus. World Acad. Sci. Eng. Technol. 2008, 44, 328–332. [Google Scholar]
  9. Adom-Konadu, A.; Yankson, E.; Naandam, S.M.; Dwomoh, D. A Mathematical Model for Effective Control and Possible Eradication of Malaria. Hindawi J. Math. 2022, 2022, 6165581. [Google Scholar] [CrossRef]
  10. Traor, B.; Sangar, B.; Traor, S. A Mathematical Model of Malaria Transmission with Structured Vector Population and Seasonality. Hindawi J. Appl. Math. 2017, 2017, 6754097. [Google Scholar] [CrossRef]
  11. Al Basir, F.; Abraha, T. Mathematical Modelling and Optimal Control of Malaria Using Awareness-Based Interventions. Mathematics 2023, 11, 1687. [Google Scholar] [CrossRef]
  12. Selvaretnam, A.A.; Sahu, P.S.; Sahu, M.; Ambu, S. A review of concurrent infections of malaria and dengue in Asia. Asian Pac. J. Trop. 2016, 6, 633–638. [Google Scholar] [CrossRef]
  13. Wiwanitkit, V. Concurrent malaria and dengue infection: A brief summary and comment. Asian Pac. J. Trop. Biomed. 2011, 1, 326–327. [Google Scholar] [CrossRef] [PubMed]
  14. Centers for Disease Control and Prevention. Biology. Atlanta: Centers for Disease Control and Prevention. 2015. Available online: https://www.cdc.gov/nchs/data/hus/hus15.pdf (accessed on 26 February 2016).
  15. Gautam, A.; Aryal, U.; Bhari, S.; Pradhan, S.; Bhattarai, U.; Mishra, A.; Sharma, S.K. Dengue and malaria coinfection: The first case report in Nepal. Oxf. Med. Case Rep. 2022, 2022, omac022. [Google Scholar] [CrossRef] [PubMed] [PubMed Central]
  16. Sheoran, N.; Satia, M.H. Stability Analysis of Co-Infection of Malaria-Dengue. In Mathematical Models of Infectious Diseases and Social Issues; IGI Global: Hershey, PA, USA, 2020. [Google Scholar] [CrossRef]
  17. Butt, A.I.K.; Imran, M.; McKinney, B.A.; Batool, S.; Aftab, H. Mathematical and Stability Analysis of Dengue-Malaria Co-Infection with Disease Control Strategies. Mathematics 2023, 11, 4600. [Google Scholar] [CrossRef]
  18. Hanif, A.; Butt, A.I.K.; Ismaeel, T. Fractional optimal control analysis of Covid-19 and dengue fever co-infection model with Atangana-Baleanu derivative. AIMS Math. 2024, 9, 5171–5203. [Google Scholar] [CrossRef]
  19. Tchoumi, S.Y.; Diagne, M.L.; Rwezaura, H.; Tchuenche, J.M. Malaria and COVID-19 co-dynamics: A mathematical model and optimal control. Appl. Math. Model. 2021, 99, 294–327. [Google Scholar] [CrossRef] [PubMed]
  20. Butt, A.I.K.; Chamaleen, D.B.D.; Batool, S.; Nuwairan, M.A. A new design and analysis of optimal control problems arising from COVID-19 outbreak. Math. Meth. Appl. Sci. 2023, 46, 16957–16982. [Google Scholar] [CrossRef]
  21. Abidemi, A.; Peter, O.J. An optimal control model for dengue dynamics with asymptomatic, isolation, and vigilant compartments. Decis. Anal. J. 2024, 10, 100413. [Google Scholar] [CrossRef]
  22. Butt, A.I.K.; Imran, M.; Aslam, J.; Batool, S. Computational analysis of control of hepatitis B virus disease through vaccination and treatment strategies. PLoS ONE 2023, 18, e0288024. [Google Scholar] [CrossRef] [PubMed]
  23. Borri, A.; Palumbo, P.; Papa, F.; Possieri, C. Optimal design of lock-down and reopening policies for early-stage epidemics through SIR-D model. Annu. Rev. Control 2021, 51, 511–524. [Google Scholar] [CrossRef]
  24. Borri, A.; Palumbo, P.; Papa, F.; Possieri, C. Optimizing restrictions in epidemics via piecewise time-varying SIRD models: Application to the COVID-19 Italian emergency. Eur. J. Control 2024, 75, 100902. [Google Scholar] [CrossRef]
  25. Pontryagin, L.S.; Boltyanskii, V.G. The Mathematical Theory of Optimal Processes; Golden and Breach Science Publishers: New York, NY, USA, 1986. [Google Scholar]
  26. Lenhart, S.; Workman, J.T. Optimal Control Applied to Biological Models; Chapman & Hall/CRC: Boca Raton, FL, USA, 2007. [Google Scholar]
  27. Abdulrashid, I.; Ghazzai, H.; Han, X.; Massoud, Y. Optimal control treatment analysis for the predator-prey chemotherapy model. In Proceedings of the 2019 31st International Conference on Microelectronics (ICM), Cairo, Egypt, 15–18 December 2019; pp. 296–299. [Google Scholar]
  28. Ren, Y.; Xue, Y. Modeling and optimal control of COVID-19 and malaria co-infection based on vaccination. Math. Model. Control 2024, 4, 316–335. [Google Scholar] [CrossRef]
  29. ELmojtaba, I.M.; Al-Maqrashi, K.; Al-Musalhi, F.; Al-Salti, N. Optimal control and cost effectiveness analysis of a Zika-Malaria co-infection model. Partial. Differ. Eq. Appl. Math. 2024, 11, 100754. [Google Scholar] [CrossRef]
  30. Boulaaras, S.; Yavuz, M.; Alrashedi, Y.; Bahram, S.; Jan, R. Modeling the co-dynamics of vector-borne infections with the application of optimal control theory. Discret. Contin. Dyn. Syst. 2024. [Google Scholar] [CrossRef]
Figure 1. The objective functional and the corresponding optimal control values for the spray parameter u 1 . The objective function X-axis refers to the number of iterations (itrs).
Figure 1. The objective functional and the corresponding optimal control values for the spray parameter u 1 . The objective function X-axis refers to the number of iterations (itrs).
Mathematics 13 00043 g001
Figure 2. Time evolution of the state variables related to the hosts with and without the optimal control law u 1 ( t ) .
Figure 2. Time evolution of the state variables related to the hosts with and without the optimal control law u 1 ( t ) .
Mathematics 13 00043 g002
Figure 3. Time evolution of the state variables related to the vector with and without the control law.
Figure 3. Time evolution of the state variables related to the vector with and without the control law.
Mathematics 13 00043 g003
Figure 4. The objective functional and the corresponding optimal control values for control actions limited to non-pharmaceutical interventions u 2 . The objective function X-axis refers to the number of iterations (itrs).
Figure 4. The objective functional and the corresponding optimal control values for control actions limited to non-pharmaceutical interventions u 2 . The objective function X-axis refers to the number of iterations (itrs).
Mathematics 13 00043 g004
Figure 5. Time evolution of the state variables related to the hosts with and without the optimal control law u 2 ( t ) .
Figure 5. Time evolution of the state variables related to the hosts with and without the optimal control law u 2 ( t ) .
Mathematics 13 00043 g005
Figure 6. Time evolution of the state variables related to the vectors with and without the optimal control law u 2 ( t ) .
Figure 6. Time evolution of the state variables related to the vectors with and without the optimal control law u 2 ( t ) .
Mathematics 13 00043 g006
Figure 7. The objective functional and the corresponding optimal control values for control actions limited to pharmaceutical therapy u 3 . The objective function X-axis refers to the number of iterations (itrs).
Figure 7. The objective functional and the corresponding optimal control values for control actions limited to pharmaceutical therapy u 3 . The objective function X-axis refers to the number of iterations (itrs).
Mathematics 13 00043 g007
Figure 8. Time evolution of the state variables related to the hosts with and without the optimal control law u 3 ( t ) .
Figure 8. Time evolution of the state variables related to the hosts with and without the optimal control law u 3 ( t ) .
Mathematics 13 00043 g008
Figure 9. Time evolution of the state variables related to the vectors with and without the optimal control law u 3 ( t ) .
Figure 9. Time evolution of the state variables related to the vectors with and without the optimal control law u 3 ( t ) .
Mathematics 13 00043 g009
Figure 10. The objective functional and the corresponding optimal control values for the combined controls u 1 , u 3 . The objective function X-axis refers to the number of iterations (itrs).
Figure 10. The objective functional and the corresponding optimal control values for the combined controls u 1 , u 3 . The objective function X-axis refers to the number of iterations (itrs).
Mathematics 13 00043 g010
Figure 11. Time evolution of the state variables related to the hosts with and without the combined optimal control law u 1 ( t ) and u 3 ( t ) .
Figure 11. Time evolution of the state variables related to the hosts with and without the combined optimal control law u 1 ( t ) and u 3 ( t ) .
Mathematics 13 00043 g011
Figure 12. Time evolution of the state variables related to the vectors with and without the combined optimal control law u 1 ( t ) and u 3 ( t ) .
Figure 12. Time evolution of the state variables related to the vectors with and without the combined optimal control law u 1 ( t ) and u 3 ( t ) .
Mathematics 13 00043 g012
Table 1. Description of the parameters and corresponding values, along with references.
Table 1. Description of the parameters and corresponding values, along with references.
ParameterDescriptionValueSource
Π Recruitment rate of mosquito 3.84 · 10 3 day−1[1,17]
ν Natural death rate of mosquito 5.24 · 10 2 day−1[17]
Φ 1 Interaction rate of S v and I h d 1.02 day−1[1,17]
Φ 2 Interaction rate of S v and I h m 7.29 · 10 1 day−1[9,17]
Φ 3 Interaction rate of S v and I h d m 2.18 · 10 5 day−1[17]
Φ 4 Translation from E v to I v d 7.19 · 10 1 day−1[1,17]
Φ 5 Translation from E v to I v m 2.91 · 10 1 day−1[9,17]
Ψ Recruitment rate of humans 1.52 · 10 3 day−1[1,17]
μ Natural death rate of humans 3.86 · 10 5 day−1[1]
β 1 Interaction rate of S h and I v d 8.13 · 10 2 day−1[1,17]
α 1 Interaction rate of S h and I v m 5.84 · 10 1 day−1[9,17]
β 2 Translation from E h to I h d 5.55 · 10 2 day−1[1,17]
α 2 Translation from E h to I h m 1.41 · 10 2 day−1[9,17]
γ 1 Translation from E h to I h d m 0.02 day−1[17]
γ 3 Recovery rate of T h 8.40 · 10 2 day−1[1,17]
δ I h d Dengue induced mortality of I h d 0.08 day−1[17]
δ I h m Malaria induced mortality of I h m 0.08 day−1[17]
δ I h d m Dengue–malaria induced mortality of I h D m 0.1 day−1[17]
δ T h Disease induced mortality of T h 0.05 day−1[17]
Disclaimer/Publisher’s Note: The statements, opinions and data contained in all publications are solely those of the individual author(s) and contributor(s) and not of MDPI and/or the editor(s). MDPI and/or the editor(s) disclaim responsibility for any injury to people or property resulting from any ideas, methods, instructions or products referred to in the content.

Share and Cite

MDPI and ACS Style

Imran, M.; McKinney, B.A.; Butt, A.I.K.; Palumbo, P.; Batool, S.; Aftab, H. Optimal Control Strategies for Dengue and Malaria Co-Infection Disease Model. Mathematics 2025, 13, 43. https://doi.org/10.3390/math13010043

AMA Style

Imran M, McKinney BA, Butt AIK, Palumbo P, Batool S, Aftab H. Optimal Control Strategies for Dengue and Malaria Co-Infection Disease Model. Mathematics. 2025; 13(1):43. https://doi.org/10.3390/math13010043

Chicago/Turabian Style

Imran, Muhammad, Brett Allen McKinney, Azhar Iqbal Kashif Butt, Pasquale Palumbo, Saira Batool, and Hassan Aftab. 2025. "Optimal Control Strategies for Dengue and Malaria Co-Infection Disease Model" Mathematics 13, no. 1: 43. https://doi.org/10.3390/math13010043

APA Style

Imran, M., McKinney, B. A., Butt, A. I. K., Palumbo, P., Batool, S., & Aftab, H. (2025). Optimal Control Strategies for Dengue and Malaria Co-Infection Disease Model. Mathematics, 13(1), 43. https://doi.org/10.3390/math13010043

Note that from the first issue of 2016, this journal uses article numbers instead of page numbers. See further details here.

Article Metrics

Back to TopTop