Neural Machine Translation with CARU-Embedding Layer and CARU-Gated Attention Layer
Abstract
1. Introduction
- We investigate the features of the context vectors produced by the Vanilla Attention model to fully analyze their ability to discriminate between discourse and part-of-speech, and find that the underlying case is that decoding invariant source representations such as the weight of punctuation usually tends to dilute the information in the entire sentence. We develop a CARU-gated attention (CAAtt) layer that dynamically adjusts and refines the source representation based on partial translations.
- In order to increase the convergence speed, we introduce a normalization method and involve it in the calculation of the attention weights. We also analyze its performance and give a complete derivation procedure. Compared to Softmax, it provides stronger gradients when there are numerous categories being predicted.
- Besides, the inference of the current predicate is also highly correlated with the next word. In particular, various combinations of adposition can lead to different interpretations. We introduce an alternative layer (CAEmbed) consisting of embedding and the proposed part-CARU. It aims at weighting the current embedded vector in order to enhance the consistency of target sentences.
- Several experiments on English–German translation tasks have been conducted. The results show that our model outperforms the baseline in dealing with phrases, generating accurate attention weights, expanding the variability of the context vector, and improving translation quality.
2. Related Work
3. Background
4. CARU-Gated Attention
- Being able to dynamically adjust the weight of each embedded word in a recurrent step, the adjusted encoder state should be more meaningful and represent the translation context clearly, so that the decoder can extract useful context vectors for attention.
- We conduct to maintain the intention of (1) and therefore recommend that the feature size and dimension produced by this layer must equal to that of the encoder state (but the length is allowed to change), otherwise it will cause data sparsity problems, making it unstable and hard to convergence.
4.1. Gating Architecture
4.2. Attention Weights Normalisation
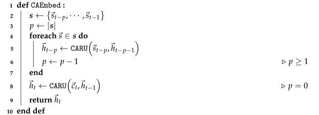
5. Partial CARU for Embedding
Conditional Probability Expressions
| Algorithm 1: Pseudo code of CAEmbed layer architecture, with regard to Figure 2. | 
|  | 
6. Experimental Results and Discussion
6.1. Discriminative of Phrases
6.2. Convergence Performance
6.3. Content-Adaptive Gate Weighting
6.4. Attention Weights Interpretability
7. Conclusions
Author Contributions
Funding
Data Availability Statement
Acknowledgments
Conflicts of Interest
References
- Wang, X.; Lu, Z.; Tu, Z.; Li, H.; Xiong, D.; Zhang, M. Neural Machine Translation Advised by Statistical Machine Translation. In Proceedings of the AAAI Conference on Artificial Intelligence, San Francisco, CA, USA, 4–9 February 2017. [Google Scholar] [CrossRef]
- Chan, K.H.; Ke, W.; Im, S.K. CARU: A Content-Adaptive Recurrent Unit for the Transition of Hidden State in NLP. In Neural Information Processing; Springer International Publishing: Berlin/Heidelberg, Germany, 2020; pp. 693–703. [Google Scholar] [CrossRef]
- Sutskever, I.; Vinyals, O.; Le, Q.V. Sequence to Sequence Learning with Neural Networks. arXiv 2014, arXiv:1409.3215. [Google Scholar] [CrossRef]
- Li, J.; Xiong, D.; Tu, Z.; Zhu, M.; Zhang, M.; Zhou, G. Modeling Source Syntax for Neural Machine Translation. In Proceedings of the 55th Annual Meeting of the Association for Computational Linguistics, Vancouver, BC, Canada, 30 July–4 August 2017; pp. 688–697. [Google Scholar] [CrossRef][Green Version]
- Bahdanau, D.; Cho, K.; Bengio, Y. Neural Machine Translation by Jointly Learning to Align and Translate. arXiv 2014, arXiv:1409.0473. [Google Scholar] [CrossRef]
- Vaswani, A.; Shazeer, N.; Parmar, N.; Uszkoreit, J.; Jones, L.; Gomez, A.N.; Kaiser, L.; Polosukhin, I. Attention Is All You Need. arXiv 2017, arXiv:1706.03762. [Google Scholar] [CrossRef]
- Liu, J.; Zhang, Y. Attention Modeling for Targeted Sentiment. In Proceedings of the 15th Conference of the European Chapter of the Association for Computational Linguistics, Valencia, Spain, 3–7 April 2017. [Google Scholar] [CrossRef]
- Papineni, K.; Roukos, S.; Ward, T.; Zhu, W.J. Bleu: A method for automatic evaluation of machine translation. In Proceedings of the 40th Annual Meeting on Association for Computational Linguistics—ACL ’02, Philadelphia, PA, USA, 7–12 July 2002. [Google Scholar] [CrossRef]
- Cho, K.; van Merrienboer, B.; Gulcehre, C.; Bahdanau, D.; Bougares, F.; Schwenk, H.; Bengio, Y. Learning Phrase Representations using RNN Encoder–Decoder for Statistical Machine Translation. In Proceedings of the 2014 Conference on Empirical Methods in Natural Language Processing (EMNLP), Doha, Qatar, 25–29 October 2014. [Google Scholar] [CrossRef]
- Wang, X.X.; Zhu, C.H.; Li, S.; Zhao, T.J.; Zheng, D.Q. Neural machine translation research based on the semantic vector of the tri-lingual parallel corpus. In Proceedings of the 2016 International Conference on Machine Learning and Cybernetics (ICMLC), Jeju, Republic of Korea, 10–13 July 2016. [Google Scholar] [CrossRef]
- Garg, S.; Peitz, S.; Nallasamy, U.; Paulik, M. Jointly Learning to Align and Translate with Transformer Models. In Proceedings of the 2019 Conference on Empirical Methods in Natural Language Processing and the 9th International Joint Conference on Natural Language Processing (EMNLP-IJCNLP), Hong Kong, China, 3–9 November 2019. [Google Scholar] [CrossRef]
- Niu, Z.; Zhong, G.; Yu, H. A review on the attention mechanism of deep learning. Neurocomputing 2021, 452, 48–62. [Google Scholar] [CrossRef]
- Luong, T.; Pham, H.; Manning, C.D. Effective Approaches to Attention-based Neural Machine Translation. In Proceedings of the 2015 Conference on Empirical Methods in Natural Language Processing, Lisbon, Portugal, 17–21 September 2015; pp. 1412–1421. [Google Scholar] [CrossRef]
- Fan, H.; Zhang, X.; Xu, Y.; Fang, J.; Zhang, S.; Zhao, X.; Yu, J. Transformer-based multimodal feature enhancement networks for multimodal depression detection integrating video, audio and remote photoplethysmograph signals. Inf. Fusion 2024, 104, 102161. [Google Scholar] [CrossRef]
- Huang, P.Y.; Liu, F.; Shiang, S.R.; Oh, J.; Dyer, C. Attention-based Multimodal Neural Machine Translation. In Proceedings of the First Conference on Machine Translation: Volume 2, Shared Task Papers, Berlin, Germany, 11–12 August 2016; pp. 639–645. [Google Scholar] [CrossRef]
- Tu, Z.; Lu, Z.; Liu, Y.; Liu, X.; Li, H. Modeling Coverage for Neural Machine Translation. In Proceedings of the 54th Annual Meeting of the Association for Computational Linguistics, Berlin, Germany, 7–12 August 2016; pp. 76–85. [Google Scholar] [CrossRef]
- Kazimi, M.B.; Costa-jussà, M.R. Coverage for Character Based Neural Machine Translation. Proces. Del Leng. Nat. 2017, 59, 99–106. [Google Scholar]
- Cheng, R.; Chen, D.; Ma, X.; Cheng, Y.; Cheng, H. Intelligent Quantitative Safety Monitoring Approach for ATP Using LSSVM and Probabilistic Model Checking Considering Imperfect Fault Coverage. IEEE Trans. Intell. Transp. Syst. 2023; Early Access. [Google Scholar]
- Mi, H.; Sankaran, B.; Wang, Z.; Ittycheriah, A. Coverage Embedding Models for Neural Machine Translation. In Proceedings of the 2016 Conference on Empirical Methods in Natural Language Processing, Austin, TX, USA, 1–5 November 2016; pp. 955–960. [Google Scholar] [CrossRef]
- Douzon, T.; Duffner, S.; Garcia, C.; Espinas, J. Long-Range Transformer Architectures for Document Understanding. In Document Analysis and Recognition—ICDAR 2023 Workshops; Lecture Notes in Computer Science; Springer: Cham, Switzerland, 2023; pp. 47–64. [Google Scholar] [CrossRef]
- Tang, G.; Müller, M.; Rios, A.; Sennrich, R. Why Self-Attention? A Targeted Evaluation of Neural Machine Translation Architectures. In Proceedings of the 2018 Conference on Empirical Methods in Natural Language Processing, Brussels, Belgium, 31 October–4 November 2018; pp. 4263–4272. [Google Scholar] [CrossRef]
- Yang, Z.; Hu, Z.; Deng, Y.; Dyer, C.; Smola, A. Neural Machine Translation with Recurrent Attention Modeling. In Proceedings of the 15th Conference of the European Chapter of the Association for Computational Linguistics, Valencia, Spain, 3–7 April 2017; pp. 383–387. [Google Scholar] [CrossRef]
- Mondal, S.K.; Zhang, H.; Kabir, H.D.; Ni, K.; Dai, H.N. Machine translation and its evaluation: A study. Artif. Intell. Rev. 2023, 56, 10137–10226. [Google Scholar] [CrossRef]
- Cohn, T.; Hoang, C.D.V.; Vymolova, E.; Yao, K.; Dyer, C.; Haffari, G. Incorporating Structural Alignment Biases into an Attentional Neural Translation Model. In Proceedings of the 2016 Conference of the North American Chapter of the Association for Computational Linguistics: Human Language Technologies, San Diego, CA, USA, 12–17 June 2016. [Google Scholar] [CrossRef]
- Rosendahl, J.; Herold, C.; Petrick, F.; Ney, H. Recurrent Attention for the Transformer. In Proceedings of the Second Workshop on Insights from Negative Results in NLP, Online and Punta Cana, Dominican Republic, 1 November 2021; pp. 62–66. [Google Scholar] [CrossRef]
- Yazar, B.K.; Şahın, D.Ö.; Kiliç, E. Low-Resource Neural Machine Translation: A Systematic Literature Review. IEEE Access 2023, 11, 131775–131813. [Google Scholar] [CrossRef]
- Zhang, B.; Xiong, D.; Su, J. Neural Machine Translation with Deep Attention. IEEE Trans. Pattern Anal. Mach. Intell. 2020, 42, 154–163. [Google Scholar] [CrossRef] [PubMed]
- Vishnu, P.R.; Vinod, P.; Yerima, S.Y. A Deep Learning Approach for Classifying Vulnerability Descriptions Using Self Attention Based Neural Network. J. Netw. Syst. Manag. 2021, 30, 9. [Google Scholar] [CrossRef]
- Sethi, N.; Dev, A.; Bansal, P.; Sharma, D.K.; Gupta, D. Enhancing Low-Resource Sanskrit-Hindi Translation through Deep Learning with Ayurvedic Text. ACM Trans. Asian -Low-Resour. Lang. Inf. Process. 2023. [Google Scholar] [CrossRef]
- Shan, Y.; Feng, Y.; Shao, C. Modeling Coverage for Non-Autoregressive Neural Machine Translation. In Proceedings of the 2021 International Joint Conference on Neural Networks (IJCNN), Shenzhen, China, 18–22 July 2021. [Google Scholar] [CrossRef]
- Zhou, L.; Zhang, J.; Zong, C. Improving Autoregressive NMT with Non-Autoregressive Model. In Proceedings of the First Workshop on Automatic Simultaneous Translation, Seattle, WA, USA, 9–10 July 2020. [Google Scholar] [CrossRef]
- Wu, L.; Tian, F.; Qin, T.; Lai, J.; Liu, T.Y. A study of reinforcement learning for neural machine translation. arXiv 2018, arXiv:1808.08866. [Google Scholar]
- Aurand, J.; Cutlip, S.; Lei, H.; Lang, K.; Phillips, S. Deep Q-Learning for Decentralized Multi-Agent Inspection of a Tumbling Target. J. Spacecr. Rocket. 2024, 1–14. [Google Scholar] [CrossRef]
- Kumari, D.; Ekbal, A.; Haque, R.; Bhattacharyya, P.; Way, A. Reinforced nmt for sentiment and content preservation in low-resource scenario. Trans. Asian Low-Resour. Lang. Inf. Process. 2021, 20, 1–27. [Google Scholar] [CrossRef]
- Bengio, Y.; Simard, P.; Frasconi, P. Learning long-term dependencies with gradient descent is difficult. IEEE Trans. Neural Netw. 1994, 5, 157–166. [Google Scholar] [CrossRef]
- Trinh, T.H.; Dai, A.M.; Luong, M.T.; Le, Q.V. Learning Longer-term Dependencies in RNNs with Auxiliary Losses. arXiv 2018, arXiv:1803.00144. [Google Scholar] [CrossRef]
- Houdt, G.V.; Mosquera, C.; Nápoles, G. A review on the long short-term memory model. Artif. Intell. Rev. 2020, 53, 5929–5955. [Google Scholar] [CrossRef]
- Hochreiter, S.; Schmidhuber, J. Long Short-Term Memory. Neural Comput. 1997, 9, 1735–1780. [Google Scholar] [CrossRef] [PubMed]
- Cho, K.; van Merrienboer, B.; Bahdanau, D.; Bengio, Y. On the Properties of Neural Machine Translation: Encoder–Decoder Approaches. In Proceedings of the SSST-8, Eighth Workshop on Syntax, Semantics and Structure in Statistical Translation, Doha, Qatar, 25 October 2014. [Google Scholar] [CrossRef]
- Dey, R.; Salem, F.M. Gate-variants of Gated Recurrent Unit (GRU) neural networks. In Proceedings of the 2017 IEEE 60th International Midwest Symposium on Circuits and Systems (MWSCAS), Boston, MA, USA, 6–9 August 2017. [Google Scholar] [CrossRef]
- Zhang, B.; Xiong, D.; Xie, J.; Su, J. Neural Machine Translation With GRU-Gated Attention Model. IEEE Trans. Neural Netw. Learn. Syst. 2020, 31, 4688–4698. [Google Scholar] [CrossRef] [PubMed]
- Cao, Q.; Xiong, D. Encoding Gated Translation Memory into Neural Machine Translation. In Proceedings of the 2018 Conference on Empirical Methods in Natural Language Processing, Brussels, Belgium, 31 October–4 November 2018. [Google Scholar] [CrossRef]
- Chan, K.H.; Im, S.K.; Ke, W. Multiple classifier for concatenate-designed neural network. Neural Comput. Appl. 2021, 34, 1359–1372. [Google Scholar] [CrossRef]
- Ranjan, R.; Castillo, C.D.; Chellappa, R. L2-constrained Softmax Loss for Discriminative Face Verification. arXiv 2017, arXiv:1703.09507. [Google Scholar] [CrossRef]
- Lita, L.V.; Ittycheriah, A.; Roukos, S.; Kambhatla, N. tRuEcasIng. In Proceedings of the 41st Annual Meeting on Association for Computational Linguistics—ACL’03, Sapporo, Japan, 7–12 July 2003. [Google Scholar] [CrossRef]
- Sennrich, R.; Haddow, B.; Birch, A. Neural Machine Translation of Rare Words with Subword Units. In Proceedings of the 54th Annual Meeting of the Association for Computational Linguistics, Berlin, Germany, 7–12 August 2016. [Google Scholar] [CrossRef]
- Paszke, A.; Gross, S.; Massa, F.; Lerer, A.; Bradbury, J.; Chanan, G.; Killeen, T.; Lin, Z.; Gimelshein, N.; Antiga, L.; et al. PyTorch: An Imperative Style, High-Performance Deep Learning Library. In Proceedings of the Advances in Neural Information Processing Systems 32: Annual Conference on Neural Information Processing Systems 2019, NeurIPS 2019, Vancouver, BC, Canada, 8–14 December 2019; Wallach, H., Larochelle, H., Beygelzimer, A., d’Alché-Buc, F., Fox, E., Garnett, R., Eds.; Curran Associates, Inc.: New York, NY, USA, 2019; Volume 32. [Google Scholar]
- Kingma, D.P.; Ba, J. Adam: A Method for Stochastic Optimization. arXiv 2014, arXiv:1412.6980. [Google Scholar] [CrossRef]
- Takase, S.; Kiyono, S. Lessons on Parameter Sharing across Layers in Transformers. arXiv 2021, arXiv:2104.06022. [Google Scholar] [CrossRef]
- Takase, S.; Kiyono, S. Rethinking Perturbations in Encoder-Decoders for Fast Training. In Proceedings of the 2021 Conference of the North American Chapter of the Association for Computational Linguistics: Human Language Technologies, NAACL-HLT 2021, Online, 6–11 June 2021. [Google Scholar] [CrossRef]
- Raffel, C.; Shazeer, N.; Roberts, A.; Lee, K.; Narang, S.; Matena, M.; Zhou, Y.; Li, W.; Liu, P.J. Exploring the Limits of Transfer Learning with a Unified Text-to-Text Transformer. arXiv 2019, arXiv:1910.10683. [Google Scholar] [CrossRef]
- Kumar, G.; Foster, G.; Cherry, C.; Krikun, M. Reinforcementearning based curriculum optimization for neural machine translation. arXiv 2019, arXiv:1903.00041. [Google Scholar]
- Elliott, D.; Frank, S.; Sima’an, K.; Specia, L. Multi30K: Multilingual English-German Image Descriptions. In Proceedings of the 5th Workshop on Vision and Language, Berlin, Germany, 12 August 2016. [Google Scholar] [CrossRef]
- Fuglede, B.; Topsoe, F. Jensen-Shannon divergence and Hilbert space embedding. In Proceedings of the International Symposium onInformation Theory, ISIT 2004, Chicago, IL, USA, 27 June–2 July 2004. [Google Scholar] [CrossRef]







| Models | WMT14 (En to De) | WMT14 (De to En) | WMT17 (En to De) | WMT17 (De to En) | |
|---|---|---|---|---|---|
| Benchmark | Transformer [6] | ||||
| RNNSearch [5] | |||||
| State-Of-The-Art | GRU-Inv [41] | ||||
| T5-11B [51] | |||||
| Attention+Rep [50] | |||||
| Transformer Cycle [49] | |||||
| Q-Learning [52] | |||||
| Proposed | CAAtt | ||||
| CAAtt + CAEmbed | |||||
| CAAtt + CAEmbed + | 
| Source | “Ich fühlte mich schuldig, weil ich neugierig gewesen war, also habe ich das niemandem erzählt, aber ich ging nach Hause, suchte nach der Krankheit in der Bibliothek und schrieb an die FA-Gesellschaft,” sagte sie. | BLEU-4 | 
| Reference | “I felt guilty because I’d been nosy and so I didn’t tell anybody, but I did come home, look up the condition at the library and wrote to the FA Association,” she said. | 1.000 | 
| Proposed | “I felt guilty because I was nosy, so I didn’t tell anyone, but I went home, looked up the situation at the library and wrote to the FA society,” she said. | 0.403 | 
| Transformer Cycle [49] | “I felt guilty because I was curious, so I didn’t tell anyone, but I went home, looked up the disease in the library and wrote to the FA,” she said. | 0.331 | 
| Attention+Rep [50] | “I felt guilty for being curious, so I didn’t tell anyone, but I went home and looked for the disease in the library and wrote to the FA society,” she said. | 0.321 | 
| T5-11B [51] | “I felt guilty because I was nosy so I didn’t tell anyone, but I did go home, checked the situation at the library and wrote to the FA,” she said. | 0.381 | 
| GRU-Inv [41] | “I felt guilty because I was nosy, so I didn’t tell anyone, but I did go home, checked the situation in the library and wrote to the FA,” she said. | 0.377 | 
| “ | I | felt | guilty | because | I | was | nosy | , | |||||
| 0.0087 | 0.1973 | 0.2507 | 0.0919 | 0.0332 | 0.1964 | 0.0196 | 0.0935 | 0.0036 | |||||
| so | I | didn’t | tell | anyone | , | but | I | went | home | , | |||
| 0.0255 | 0.1928 | 0.0053 | 0.2220 | 0.0986 | 0.0019 | 0.0200 | 0.1880 | 0.2284 | 0.1970 | 0.0022 | |||
| looked | up | the | situation | at | the | library | and | wrote | to | the | FA | society | , | 
| 0.3514 | 0.2337 | 0.0161 | 0.1610 | 0.0138 | 0.0148 | 0.2188 | 0.0084 | 0.2298 | 0.0158 | 0.0121 | 0.2286 | 0.2049 | 0.0086 | 
| ” | she | said | . | ||||||||||
| 0.0037 | 0.1711 | 0.2275 | 0.0090 | 
| Disclaimer/Publisher’s Note: The statements, opinions and data contained in all publications are solely those of the individual author(s) and contributor(s) and not of MDPI and/or the editor(s). MDPI and/or the editor(s) disclaim responsibility for any injury to people or property resulting from any ideas, methods, instructions or products referred to in the content. | 
© 2024 by the authors. Licensee MDPI, Basel, Switzerland. This article is an open access article distributed under the terms and conditions of the Creative Commons Attribution (CC BY) license (https://creativecommons.org/licenses/by/4.0/).
Share and Cite
Im, S.-K.; Chan, K.-H. Neural Machine Translation with CARU-Embedding Layer and CARU-Gated Attention Layer. Mathematics 2024, 12, 997. https://doi.org/10.3390/math12070997
Im S-K, Chan K-H. Neural Machine Translation with CARU-Embedding Layer and CARU-Gated Attention Layer. Mathematics. 2024; 12(7):997. https://doi.org/10.3390/math12070997
Chicago/Turabian StyleIm, Sio-Kei, and Ka-Hou Chan. 2024. "Neural Machine Translation with CARU-Embedding Layer and CARU-Gated Attention Layer" Mathematics 12, no. 7: 997. https://doi.org/10.3390/math12070997
APA StyleIm, S.-K., & Chan, K.-H. (2024). Neural Machine Translation with CARU-Embedding Layer and CARU-Gated Attention Layer. Mathematics, 12(7), 997. https://doi.org/10.3390/math12070997
 
        


 
       