Accurate Criteria for Broken Bar Detection in Induction Motors Based on the Wavelet (Packet) Transform
Abstract
1. Introduction
2. DWT and Wavelet Packet Transform and Frequency Based Analysis
2.1. Discrete Wavelet Transform
2.2. Wavelet Packets
2.3. Considered Wavelet Family
3. Methodology
3.1. Algorithms and Fault Indicator Definition
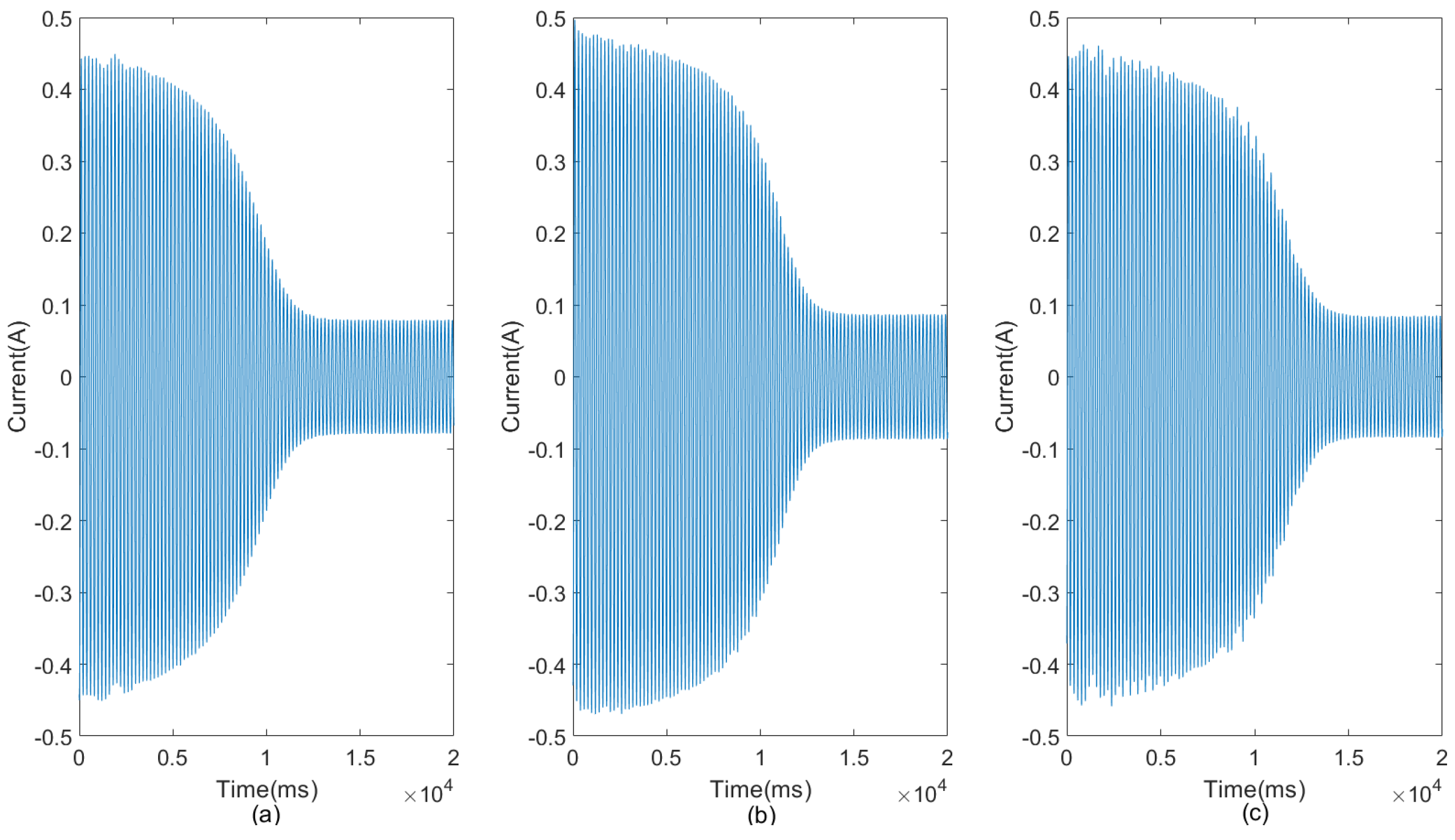
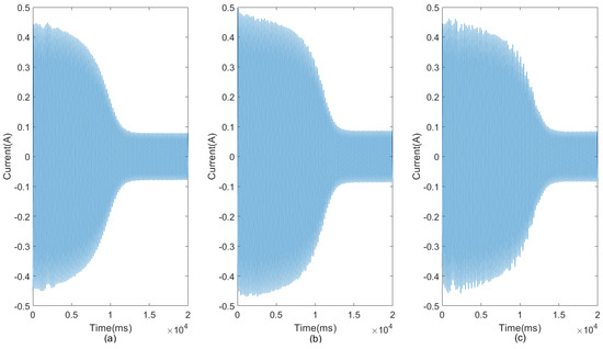
- Step 1: Wavelet Packet TransformWe begin by computing the wavelet packet transform of the motor’s startup transient signals. This involves applying the wavelet packet decomposition at level 9, additionally, we also have developed the algorithm for level 10 decomposition. To mitigate any edge effects, we symmetrize the signals before performing the transform.
- Step 2: Frequency SelectionNext, we sort the terminal nodes of the wavelet packet decomposition in ascending order of frequency. We then choose the nodes that correspond to a frequency band approximately ranging from 10 to 40 Hz. This selection allows us to focus on the low-frequency components relevant to fault detection. In particular, this refers to nodes 2, 3, and 4 for the level 9 WP decomposition and it spans from node 3 to node 7 in the case of the level 10 WP transform.
- Step 3: Node Reconstruction and NormalizationWe reconstruct the selected nodes, and an example of these reconstructed nodes is shown in Figure 5. Next, we normalize the coefficients of the selected nodes utilizing the first node (representing the lowest frequency) as the reference for normalization. This normalization step ensures consistent and meaningful comparisons across the different nodes.
- Step 4: Energy CalculationTo capture the fault-related information, we define a suitable window size, such as 2000 points, and calculate the energy of the reconstructed nodes within a moving window. Specifically, we consider the energy of the nodes between 10 and 40 Hz, as this frequency range is particularly indicative of faults in induction motors.
- Step 5: Fault Indicator CalculationWe identify the maximum energy value among the normalized nodes. The fault indicator value for each node corresponds to the unnormalized energy value at this maximum. Finally, to obtain the global fault indicator, we normalize the indicator values of all nodes and calculate their mean. Using the nodes described above in Step 2, we define the WP9 indicator for the level 9 WP decomposition and the WP10 indicator for the level 10 WP tranform.
3.2. Experiments
4. Results
5. Conclusions
Author Contributions
Funding
Data Availability Statement
Acknowledgments
Conflicts of Interest
References
- Haraguchi, N.; Cheng, C.F.C.; Smeets, E. The Importance of Manufacturing in Economic Development: Has This Changed? World Dev. 2017, 93, 293–315. [Google Scholar] [CrossRef]
- Nandi, S.; Toliyat, H. Condition monitoring and fault diagnosis of electrical machines—A review. In Proceedings of the Conference Record of the 1999 IEEE Industry Applications Conference. Thirty-Forth IAS Annual Meeting (Cat. No.99CH36370), Phoenix, AZ, USA, 3–7 October 1999; Volume 1, pp. 197–204. [Google Scholar] [CrossRef]
- Henao, H.; Capolino, G.A.; Fernandez-Cabanas, M.; Filippetti, F.; Bruzzese, C.; Strangas, E.; Pusca, R.; Estima, J.; Riera-Guasp, M.; Hedayati-Kia, S. Trends in Fault Diagnosis for Electrical Machines: A Review of Diagnostic Techniques. IEEE Ind. Electron. Mag. 2014, 8, 31–42. [Google Scholar] [CrossRef]
- Antonino-Daviu, J.; Riera-Guasp, M.; Roger-Folch, J.; Martínez-Giménez, F.; Peris, A. Application and optimization of the discrete wavelet transform for the detection of broken rotor bars in induction machines. Appl. Comput. Harmon. Anal. 2006, 21, 268–279. [Google Scholar] [CrossRef]
- Corral Hernández, J.; Antonino-Daviu, J.; Martínez-Giménez, F.; Peris, A. Comparison of different wavelet families for broken bar detection in induction motors. In Proceedings of the 2015 IEEE International Conference on Industrial Technology (ICIT), Seville, Spain, 17–19 March 2015; pp. 3220–3225. [Google Scholar] [CrossRef]
- Hu, W.; Cheng, Y. A Method for Fault Detection of Micro-Motors Based on Wavelet Packet Energy Spectra. In Proceedings of the 2019 10th International Conference on Information Technology in Medicine and Education (ITME), Qingdao, China, 23–25 August 2019; pp. 579–582. [Google Scholar] [CrossRef]
- Talhaoui, H.; Ameid, T.; Aissa, O.; Kessal, A. Wavelet packet and fuzzy logic theory for automatic fault detection in induction motor. Soft Comput. 2022, 26, 11935–11949. [Google Scholar] [CrossRef] [PubMed]
- Zarei, J.; Poshtan, J. Bearing fault detection using wavelet packet transform of induction motor stator current. Tribol. Int. 2007, 40, 763–769. [Google Scholar] [CrossRef]
- Martinez-Herrera, A.L.; Ferrucho-Alvarez, E.R.; Ledesma-Carrillo, L.M.; Mata-Chavez, R.I.; Lopez-Ramirez, M.; Cabal-Yepez, E. Multiple Fault Detection in Induction Motors through Homogeneity and Kurtosis Computation. Energies 2022, 15, 1541. [Google Scholar] [CrossRef]
- Pasqualotto, D.; Navarro Navarro, A.; Zigliotto, M.; Antonino-Daviu, J.A. Automatic Detection of Rotor Faults in Induction Motors by Convolutional Neural Networks applied to Stray Flux Signals. In Proceedings of the 2021 22nd IEEE International Conference on Industrial Technology (ICIT), Valencia, Spain, 10–12 March 2021; Volume 1, pp. 148–153. [Google Scholar] [CrossRef]
- Rivera-Guillen, J.R.; De Santiago-Perez, J.; Amezquita-Sanchez, J.P.; Valtierra-Rodriguez, M.; Romero-Troncoso, R.J. Enhanced FFT-based method for incipient broken rotor bar detection in induction motors during the startup transient. Measurement 2018, 124, 277–285. [Google Scholar] [CrossRef]
- Daubechies, I. Ten Lectures on Wavelets; CBMS-NSF Regional Conference Series in Applied Mathematics; Society for Industrial and Applied Mathematics (SIAM): Philadelphia, PA, USA, 1992; Volume 61, p. xx+357. [Google Scholar] [CrossRef]
- Flandrin, P. Time-Frequency/Time-Scale Analysis; Wavelet Analysis and Its Applications; With a Preface by Yves Meyer, Translated from the French by Joachim Stöckler; Academic Press, Inc.: San Diego, CA, USA, 1999; Volume 10, p. xii+386. [Google Scholar]
- Mallat, S. A Wavelet Tour of Signal Processing, 3rd ed.; Elsevier/Academic Press: Amsterdam, The Netherlands, 2009; p. xxii+805. [Google Scholar]
- Meyer, Y. Wavelets and Operators; Cambridge Studies in Advanced Mathematics; Translated from the 1990 French Original by D. H. Salinger; Cambridge University Press: Cambridge, UK, 1992; Volume 37, p. xvi+224. [Google Scholar]









| Signal | DWT9 Indicator Dmeyer | DWT9 Indicator Daubechies 40 | |
|---|---|---|---|
| 10–20 Hz | 10–20 Hz | ||
| Healthy signals | s1 | 0.1049 | 0.2700 |
| s2 | 0.3960 | 0.2457 | |
| s3 | 0.2312 | 0.4075 | |
| s4 | 0.3096 | 0.3033 | |
| s5 | 0.2726 | 0.1318 | |
| s6 | 0.5204 | 0.3514 | |
| s7 | 0.0331 | 0.2836 | |
| one broken bar | 1-b1 | 5.9459 | 2.8123 |
| 1-b2 | 10.8205 | 6.7675 | |
| 1-b3 | 9.5002 | 2.6745 | |
| 1-b4 | 3.0194 | 4.3844 | |
| 1-b5 | 4.9755 | 5.4552 | |
| 1-b6 | 3.5666 | 7.3565 | |
| 1-b7 | 3.6264 | 9.6320 | |
| two broken bars | 2-b1 | 52.0939 | 92.3422 |
| 2-b2 | 98.4205 | 64.1877 | |
| 2-b3 | 53.7760 | 99.6725 | |
| 2-b4 | 74.2394 | 43.4339 | |
| 2-b5 | 76.7184 | 77.7114 | |
| 2-b6 | 98.7842 | 50.8148 | |
| 2-b7 | 48.3802 | 87.2219 |
| Signal | Node 2 | Node 3 | Node 4 | WP9 Indicator | |
|---|---|---|---|---|---|
| 10–20 Hz | 20–30 Hz | 30–40 Hz | |||
| Healthy signals | s1 | 0.1049 | 0.9114 | 3.8506 | 0.1558 |
| s2 | 0.3960 | 2.2022 | 8.1383 | 0.3467 | |
| s3 | 0.2312 | 1.1399 | 4.1124 | 0.1777 | |
| s4 | 0.3096 | 1.2459 | 4.2632 | 0.1901 | |
| s5 | 0.2726 | 1.367 | 5.5177 | 0.2322 | |
| s6 | 0.5204 | 2.4678 | 7.8131 | 0.3500 | |
| s7 | 0.0331 | 1.2721 | 3.8052 | 0.1587 | |
| one broken bar | 1-b1 | 5.9459 | 11.0353 | 15.527 | 1.1447 |
| 1-b2 | 10.8205 | 19.5385 | 18.1916 | 1.7375 | |
| 1-b3 | 9.5002 | 19.5357 | 14.3659 | 1.5304 | |
| 1-b4 | 3.0194 | 9.1466 | 18.6293 | 1.0225 | |
| 1-b5 | 4.9755 | 18.0872 | 15.6775 | 1.2621 | |
| 1-b6 | 3.5666 | 17.17 | 16.9595 | 1.1961 | |
| 1-b7 | 3.6264 | 14.1654 | 14.8277 | 1.0562 | |
| two broken bars | 2-b1 | 52.0939 | 84.3486 | 146.4031 | 10.0717 |
| 2-b2 | 98.4205 | 210.1438 | 132.1661 | 15.4928 | |
| 2-b3 | 53.7760 | 261.7961 | 115.0942 | 13.4590 | |
| 2-b4 | 74.2394 | 151.9003 | 136.8321 | 12.7523 | |
| 2-b5 | 76.7184 | 139.4363 | 108.3639 | 11.6598 | |
| 2-b6 | 98.7841 | 213.6071 | 97.48018 | 14.4533 | |
| 2-b7 | 48.3802 | 189.0166 | 120.9153 | 11.5504 |
| Signal | Node 3 | Node 4 | Node 5 | Node 6 | Node 7 | WP10 Indicator | |
|---|---|---|---|---|---|---|---|
| 10–15 Hz | 15–20 Hz | 20–24 Hz | 24–29 Hz | 29–34 Hz | |||
| Healthy signals | s1 | −0.1880 | 0.0504 | −0.2297 | 0.9990 | 5.6923 | 0.0384 |
| s2 | 5.6637 | 0.7512 | 0.3522 | 2.0484 | 10.8014 | 0.1531 | |
| s3 | −0.0074 | −0.0597 | 0.0945 | 0.9842 | 3.2440 | 0.0462 | |
| s4 | 0.1220 | 0.7699 | 0.7405 | 0.7223 | 5.0056 | 0.1109 | |
| s5 | 0.1100 | 0.1259 | 0.2339 | 0.9347 | 5.3249 | 0.0608 | |
| s6 | 2.4947 | 0.9346 | 0.4101 | 2.2428 | 9.0056 | 0.1752 | |
| s7 | −0.1769 | −0.0679 | 0.1381 | 1.0125 | 4.8011 | 0.4899 | |
| one broken bar | 1−b1 | 2.2382 | 7.3944 | 5.8003 | 7.1787 | 12.4662 | 1.0166 |
| 1−b2 | 3.6684 | 8.1998 | 11.239 | 6.8797 | 6.3730 | 1.2967 | |
| 1−b3 | 4.8552 | 13.4785 | 3.0058 | 14.568 | 5.6361 | 1.5762 | |
| 1−b4 | 3.1971 | 7.8051 | 9.3164 | 4.3937 | 9.0655 | 1.0722 | |
| 1−b5 | 4.0397 | 8.8805 | 6.32 | 9.5825 | 8.741 | 1.2356 | |
| 1−b6 | 2.9604 | 7.6060 | 9.7576 | 14.0106 | 11.1719 | 1.5233 | |
| 1−b7 | 2.072 | 5.8923 | 5.5767 | 4.5765 | 4.7919 | 0.801 | |
| two broken bars | 2−b1 | 34.3680 | 13.9291 | 168.8999 | 70.1144 | 63.5837 | 11.7196 |
| 2−b2 | 9.8957 | 78.7132 | 86.4422 | 105.3323 | 37.3666 | 13.2774 | |
| 2−b3 | 19.2119 | 25.3476 | 125.5386 | 126.4802 | 34.1985 | 12.7891 | |
| 2−b4 | 48.6693 | 128.2431 | 63.8481 | 81.3988 | 59.4348 | 13.9729 | |
| 2−b5 | 34.3809 | 137.8829 | 49.8820 | 88.9597 | 44.3619 | 14.2341 | |
| 2−b6 | 14.8858 | 101.5236 | 75.8026 | 116.9731 | 52.5411 | 14.6294 | |
| 2−b7 | 24.0706 | 36.7348 | 108.0320 | 65.2900 | 75.3655 | 10.0224 |
| Meyer’s Wavelet | DWT9 Indicator | WP9 Indicator | WP10 Indicator | |||
|---|---|---|---|---|---|---|
| Mean | Mean | Mean | ||||
| Healthy signals | 0.2668 | 0.1658 | 0.2301 | 0.0845 | 0.1529 | 0.1579 |
| one broken bar | 5.9221 | 3.0805 | 1.2785 | 0.2626 | 1.2174 | 0.278 |
| two broken bars | 71.7732 | 21.3253 | 12.777 | 1.8586 | 12.9493 | 1.6193 |
| Daubechies 40 | DWT9 Indicator | WP9 Indicator | WP10 Indicator | |||
|---|---|---|---|---|---|---|
| Mean | Mean | Mean | ||||
| Healthy signals | 0.2848 | 0.0866 | 0.2923 | 0.0898 | 0.3942 | 0.1677 |
| one broken bar | 5.5831 | 2.5341 | 1.2350 | 0.2917 | 1.6830 | 0.5711 |
| two broken bars | 73.6263 | 21.4136 | 12.7585 | 1.0773 | 12.2085 | 3.3045 |
Disclaimer/Publisher’s Note: The statements, opinions and data contained in all publications are solely those of the individual author(s) and contributor(s) and not of MDPI and/or the editor(s). MDPI and/or the editor(s) disclaim responsibility for any injury to people or property resulting from any ideas, methods, instructions or products referred to in the content. |
© 2024 by the authors. Licensee MDPI, Basel, Switzerland. This article is an open access article distributed under the terms and conditions of the Creative Commons Attribution (CC BY) license (https://creativecommons.org/licenses/by/4.0/).
Share and Cite
Antonino-Daviu, J.A.; Martínez-Giménez, F.; Peris, A.; Ramezanzadeh, N.; Rodenas, F. Accurate Criteria for Broken Bar Detection in Induction Motors Based on the Wavelet (Packet) Transform. Mathematics 2024, 12, 1057. https://doi.org/10.3390/math12071057
Antonino-Daviu JA, Martínez-Giménez F, Peris A, Ramezanzadeh N, Rodenas F. Accurate Criteria for Broken Bar Detection in Induction Motors Based on the Wavelet (Packet) Transform. Mathematics. 2024; 12(7):1057. https://doi.org/10.3390/math12071057
Chicago/Turabian StyleAntonino-Daviu, Jose Alfonso, Félix Martínez-Giménez, Alfred Peris, Nasrin Ramezanzadeh, and Francisco Rodenas. 2024. "Accurate Criteria for Broken Bar Detection in Induction Motors Based on the Wavelet (Packet) Transform" Mathematics 12, no. 7: 1057. https://doi.org/10.3390/math12071057
APA StyleAntonino-Daviu, J. A., Martínez-Giménez, F., Peris, A., Ramezanzadeh, N., & Rodenas, F. (2024). Accurate Criteria for Broken Bar Detection in Induction Motors Based on the Wavelet (Packet) Transform. Mathematics, 12(7), 1057. https://doi.org/10.3390/math12071057

