Next Article in Journal
A Study on the Nature of Complexity in the Spanish Electricity Market Using a Comprehensive Methodological Framework
Next Article in Special Issue
Near-Optimal Tracking Control of Partially Unknown Discrete-Time Nonlinear Systems Based on Radial Basis Function Neural Network
Previous Article in Journal
Dynamic Cooperative Oligopolies
 
 
Font Type:
Arial Georgia Verdana
Font Size:
Aa Aa Aa
Line Spacing:
Column Width:
Background:
Article

Chaotic Path-Planning Algorithm Based on Courbage–Nekorkin Artificial Neuron Model

1
Computer-Aided Design Department, St. Petersburg Electrotechnical University “LETI”, 5 Professora Popova St., 197022 Saint Petersburg, Russia
2
Youth Research Institute, St. Petersburg Electrotechnical University “LETI”, 5 Professora Popova St., 197022 Saint Petersburg, Russia
*
Authors to whom correspondence should be addressed.
Mathematics 2024, 12(6), 892; https://doi.org/10.3390/math12060892
Submission received: 23 February 2024 / Revised: 12 March 2024 / Accepted: 15 March 2024 / Published: 18 March 2024
(This article belongs to the Special Issue Advances in Nonlinear Analysis and Control)

Abstract

Developing efficient path-planning algorithms is an essential topic in modern robotics and control theory. Autonomous rovers and wheeled and tracked robots require path generators that can efficiently cover the explorable space with minimal redundancy. In this paper, we present a new path-planning algorithm based on the chaotic behavior of the Courbage–Nekorkin neuron model with a coverage control parameter. Our study aims to reduce the number of iterations required to cover the chosen investigated area, which is a typical efficiency criterion for this class of algorithms. To achieve this goal, we implemented a pseudorandom bit generator (PRBG) based on a Courbage–Nekorkin chaotic map, which demonstrates chaotic behavior and successfully passes all statistical tests for randomness. The proposed PRBG generates a bit sequence that can be used to move the tracked robot in four or eight directions in an operation area of arbitrary size. Several statistical metrics were applied to evaluate the algorithm’s performance, including the percentage of coverage of the study area and the uniformity of coverage. The performance of several competing path-planning algorithms was analyzed using the chosen metrics when exploring two test areas of the sizes 50 × 50 cells and 100 × 100 cells, respectively, in four and eight directions. The experimental results indicate that the proposed algorithm is superior compared to known chaotic path-planning methods, providing more rapid and uniform coverage with the possibility of controlling the covered area using tunable parameters. In addition, this study revealed the high dependence of the coverage rate on the starting point. To investigate how the coverage rate depends on the choice of chaotic map, we implemented six different PRBGs using various chaotic maps. The obtained results can be efficiently used for solving path-planning tasks in both real-life and virtual (e.g., video games) applications.

1. Introduction

Dynamical chaos has produced many fascinating applications across various scientific fields, e.g., quantum mechanics and nonlinear optics [1]; physical phenomena described by nonlinear Schrödinger equations [2]; chaotic communication systems [3,4]; celestial mechanics [5]; weather and climate investigation [6]; fluid dynamics [7] and chemical reactions [8]; and biological systems [9] and population dynamics [10]. One group of applications is of special interest and includes cryptography and trajectory-planning algorithms based on pseudorandom bit generation and chaos. Path-planning algorithms based on dynamical chaos have gained significant attention in recent decades, being introduced into various fields such as robotics, autonomous vehicles, and navigation systems due to their ability to generate unpredictable paths, their low computational costs, and their high feasibility for embedded solutions [11]. Chaotic systems, which possess the necessary topological mixing and randomness properties, can be a mathematical basis for efficient trajectory generators, making them a promising approach to addressing the challenges of planning paths in dynamic, volatile, and uncertain environments [12]. Comprising a topic of special interest in this field are methods of creating chaos generators with controllable statistical properties, which allow one to finely tune a path-planning algorithm to the properties of the scene.
In recent decades, many scholars investigated the application of chaotic systems to path-planning tasks. The need for efficient path-planning algorithms increased with the development and widespread use of autonomous robots, drones, and unmanned surface vehicles. One of the key software components of such systems is a trajectory-planning algorithm that allows a robot to move efficiently and safely in arbitrary environments. Known popular trajectory-planning algorithms, such as A [13] or Dijkstra [14], have known limitations, e.g., the Dijkstra algorithm performs a blind search, which can be time-consuming and cannot handle negative edges efficiently, which results in acyclic graphs where the optimal path is hard to discover. Therefore, developing new, efficient path-planning algorithms is of certain interest.
Chaotic oscillators have also found applications in the field of robotics, especially for solving decision-making tasks of autonomous mobile robots [15]. Such robots, capable of performing various tasks without human control, are widely used in missions performed in hazardous conditions, such as rescue operations [16], fire extinguishing [17], and reconnaissance for explosives or surveillance [18]; household tasks [19]; as mechanical manipulators [20]; and for other tasks.
However, developing an effective navigation strategy is still a challenging task, especially for embedded applications with limited on-board computational resources. Many real-life problems, such as those arising for surveillance robots [21,22] or in game design, require a navigation strategy that can provide a high degree of unpredictability. The key feature of such a strategy is that the movement of the robot seems unpredictable and random, which makes it difficult to predict the future moves in autonomous robotic monitoring systems [23].
Thus, there is a motivation for developing novel navigation strategies with a higher degree of unpredictability. At the same time, it is important to take into account such aspects of the path-planning algorithms as the coverage percentage of the investigated area and the uniformity of visits to the designated workspace. Many scholars have proposed multiple methods of chaotic trajectory planning. For example, Lian et al. used a chaotic transformation to modify the particle swarm algorithm by replacing the random generator used in the algorithm with a chaotic one [24]; Nasr offered a double-turns algorithm that provides unpredictable navigation along a given path [12]; and Shikai Shao used a chaotic transformation on a closed path for patrolling [25]. There are many other interesting studies that provide similar solutions of varying relevance and for various purposes [26,27,28].
Chaotic maps have been widely used for designing the pseudorandom number generators required in cryptographic applications due to their capability to generate deterministic and repeatable pseudorandom sequences. A random bit generator is an algorithm or device that produces unbiased binary digits. Its output helps to enhance the security of data transmission in commercial and military applications. Random number sources can be classified into two broad categories: pseudorandom number generators (PRNGs) and true random number generators (TRNGs). The main difference between random and pseudorandom numbers is that pseudorandom numbers are periodic in infinite time, while true random numbers are not. Random number generators can be classified as physical or nonphysical, while pseudorandom generators are mainly digital solutions, which makes them suitable for software implementations. In many scientific fields, random number generators are indispensable for various applications, including modeling of random processes, statistical sampling, performance evaluation of computer algorithms, and Monte Carlo methods. They are also widely used in computer simulations of stochastic differential equations (SDEs), numerical analysis, secure data transmission with encryption, and watermarking systems. Due to the fact that true random number generators are mostly analog and it is challenging to implement them physically, there exist many pseudorandom number generators based on dynamical chaos known from the literature. Oishi and Inoue [29] proposed a pseudorandom number generator using chaotic nonlinear first-order difference equations in 1982. This allowed for the creation of a homogeneous random number generator with arbitrary Kolmogorov entropy. In 1996, Andrecut [30] proposed a method for obtaining a random number generator based on a logistic map and compared it with congruent random number generators, which are periodic, and a logistic random number generator, which is infinite and aperiodic. In 1999, Gonzalez and Pino [31] generalized the logistic map and developed a new function that the authors declared able to generate truly random numbers. Patidar et al. described an efficient image encryption algorithm based on a chaotic pseudorandom bit generator (PRBG) constructed by the chaotic standard and logistic maps [32]. Sun and Liu used a spatial chaotic map to implement another efficient PRBG [33]. Zhao et al. described the approach for building a PRBG based on the Arnold cat map [34], with some extensions. Some other studies were aimed at building PRNGs for data encryption purposes, e.g., to encrypt grayscale images. Alawida et al. presented a bitstream dividing model to improve chaotic 1D maps for image encryption tasks [35]. Liu et al. [36] described the approach with a histogram of oriented gradients feature extraction and a support vector machine with chaos-based PRBGs to encrypt the region of interest instead of the entire image. Mansouri and Wang [37] proposed both a new modification of the sine chaotic map and its application to a new image encryption algorithm. Another interesting application is using pseudorandom generators for motion control because of their natural unpredictability and dense trajectories. For motion in discrete directions, pseudorandom bit generators based on chaotic systems are also applied, being used to generate motion commands from a simple reference table. Many different PRNGs can be used to obtain a bit sequence [38,39,40,41] for such control algorithms. However, the main known disadvantage of such approaches is the relatively large number of iterations needed to cover the entire investigated area. Therefore, reducing the iteration number and using alternative chaos generators is a relevant task in the field.
In this paper, we propose a new modification of the algorithm with a memory [42] that covers the study area more rapidly and allows for visiting it in a more uniform way due to the controllability of the scheme introduced by parameter P. The dependence of the algorithm’s behavior on the value of p is a purpose of experimental evaluation. To investigate the performance of the algorithm, several metrics, such as the percentage of workspace occupation and visiting uniformity, were applied. To compare our algorithm with existing state-of-the-art solutions, two previously reported algorithms were implemented. The algorithm described in [43] is a straightforward one and does not perform any processing with the sequence of bits put out to the input of the algorithm. A more advanced version of this method is presented in [23], where some processing is applied, e.g., in the case of return to the original points, and, thereby, the speed of exploration of the area increases, reducing a key disadvantage of the algorithm.
The contribution of the current study is as follows:
  • A chaotic map based on the Courbage–Nekorkin neuron model is applied to the path-planning task for rover-type robots.
  • A novel path-planning algorithm with a special parameter for coverage control is implemented.
  • The evaluation of the proposed P-RBMCA method (random bit notion command algorithm) shows that it is more efficient in terms of coverage and revisiting rate than existing chaos-based path-planning algorithms.
The rest of this paper is organized as follows. In Section 2, we analyze the Courbage–Nekorkin neuron model [44,45] and the corresponding discrete chaotic map by plotting bifurcation diagrams and calculating Lyapunov exponents in order to determine where the map exhibits a chaotic behavior. The density of points combined with the phase portraits is estimated, which helps us to reveal which initial conditions are suitable for practical implementation. A detailed description of the PRBG that will be used in the path-planning algorithm is given. Section 3 describes the proposed path-planning algorithm and the state-of-the art solutions which are used in performance comparison experiments. Section 4 investigates the performance of the proposed path-planning method and compares it with competing solutions in four- and eight-directional movement tasks using the chosen set of evaluation metrics. The dependence of the coverage’s percentage on the value of control parameter P is investigated. Finally, Section 5 concludes the paper.

2. Materials and Methods

2.1. Chaotic Map Based on Courbage–Nekorkin Neuron Model

The core of the chaos-based path-planning algorithm is a pseudorandom bit generator which is based on the mathematical model of an artificial neuron [44] described by the following system of equations:
x ˙ = x + F ( x ) y β H ( X d ) y ˙ = y + ϵ ( x J ) .
where variable x qualitatively describes the dynamics of the membrane potential of a nerve cell, and y represents the cumulative effect of all ion ticks passing through the membrane of a neuron, which are responsible for restoring the rest of the membrane. The functions F ( x ) and H ( x d ) are as follows:
F ( x ) = x ( x a ) ( 1 x ) , 0 < a < 1 ,
H = 1 , i f ( x i 1 e ) > 0 , 0 , i f ( x i 1 e ) < 0 .
Discretizing the ordinary differential Equation (1), the following chaotic map can be obtained:
x i = x i 1 + x i 1 ( x i 1 a ) ( 1 x i 1 ) y i 1 d H ( x i 1 e ) , y i = y i 1 + b ( x i 1 c ) .
Let us plot the bifurcation diagrams to investigate the dynamics of systems (1) and (4). The bifurcation diagram depicts the local maxima of the system for a certain range of parameter values and can provide a rough estimate of whether the system converges to a single point, is periodic, or possesses chaotic behavior. To further examine the dynamics of a discrete map, its bifurcation diagrams and corresponding largest Lyapunov exponents (LLE) for parameters a, b, c, and e were calculated, as shown in Figure 1.
Using bifurcation diagrams and LLE analysis, we verified that there are values where the investigated map exhibits a chaotic mode of oscillations. In addition, to design an efficient PRBG, one needs to determine where this system satisfies the conditions of pseudorandomness. To complete this task, we plotted the point densities on the map trajectory representing how many times the map returns to a chosen point.
Figure 2 shows a modified version of the canonical phase portrait that resembles a bifurcation diagram at first sight. However, the color in this diagram represents the number of returns of the trajectory to the vicinity of a certain point. The points that the trajectory visits too often and the corresponding values of the map parameters are not well suited for pseudorandom bit generation because the resulting bit sequence will not satisfy the conditions of statistical tests for randomness and, therefore, will not be pseudorandom. The set of parameters presented in Figure 2c also does not fit this purpose. Therefore, the parameters where the bit sequence can be random enough are chosen as shown in Figure 2b,d. From the last two suitable parameter sets, the set shown in Figure 2b was finally chosen as the main solution because it has a larger p-value than the parameter set given in Figure 2d.

2.2. Pseudorandom Bit Generator Design

Let us construct a pseudorandom bit generator (PRBG) using the considered chaotic map (4) as follows:
  • The initial value x 0 of the discrete map (4) is chosen, along with the parameters a, b, c, d, and e. These parameters constitute the key of the algorithm.
  • At each iteration,
    0 , i f ( m o d ( 10 3 | x i | , 1 ) > 0.5 ) | | ( m o d ( 10 4 | x i | , 1 ) ) > 0.5 , 1 , i f ( m o d ( 10 3 | x i | , 1 ) 0.5 ) | | ( m o d ( 10 4 | x i | , 1 ) ) 0.5 .
    is calculated and compared with a threshold value equal to 0.5. Depending on the result of this comparison, “0” or “1” is output and saved.
  • The resulting bit sequences are composed into a single bitstream.
The described PRBG produces two bits per iteration, which makes its performance a bit better than known algorithms that produce only a single bit per step.

Evaluating the Properties of the Designed PRBG

The National Institute of Standards and Technology statistical test suite (NIST) is currently considered a “golden standard” tool for testing the randomness of the generated bitstream [46]. If the value of the corresponding p is greater than the selected significant value α , the test is considered successfully passed. For map (4), sequences of 10 5 bits were generated at x 0 = 0.01 , y 0 = 0.01 , a = 0.8 , b = 0.63 , c = 2.74 , d = 0.548 , e = 1.921 . The testing results are presented in Table 1. One can see that the generated bitstream successfully passes all NIST tests.
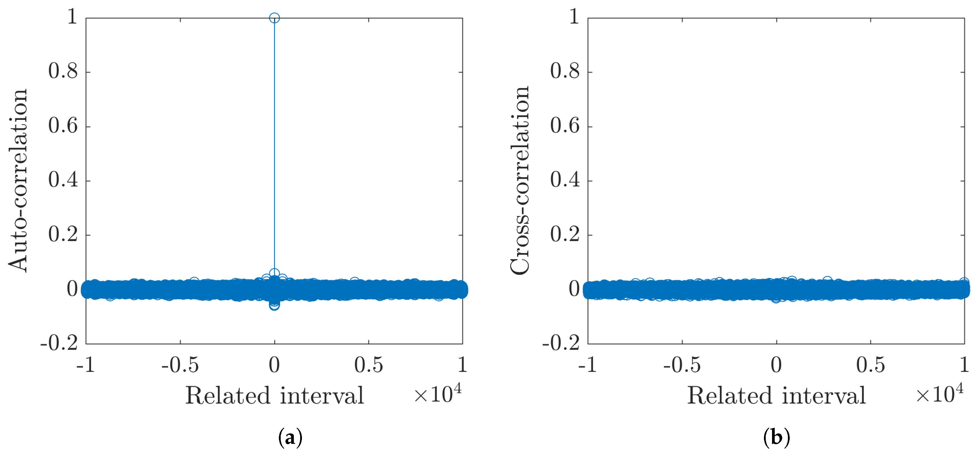
Figure 3 shows the correlation plots for a bitstream of a length equal to 100,000. The autocorrelation function measures the correlation between a signal and its time-shifted copy. For a random sequence, the autocorrelation should be as close to zero as possible for all shift values except for the peak appearing at the zero time offset point. The autocorrelation analysis is shown in Figure 3a and confirms the randomness of the acquired sequence.
The zero cross-correlation result for two sequences generated from almost identical initial values verifies that the chaotic PRBG inherits the key sensitivity property from the chaotic map we used as a source of randomness. Thus, an arbitrarily small change in the key values will lead to the generation of a completely different bitstream. Let us consider the application of the designed PRBG to the path-planning task.

3. Path-Planning Algorithm

The main objective of the current study is to design a motion command generator that will utilize the generated chaotic bitstreams to give commands to the tracked ground robot while exploring a designated plain area of arbitrary size. It should be noted, that the application of the proposed algorithm to other types of robots, e.g., wheeled rovers or water vehicles, requires additional modifications.
The proposed algorithm receives a set of 2 or 3 bits generated by the PRBG as an input. It requires 2 bits for four-directional and 3 bits for eight-directional motion planning. Specific sets of bits are designated for each direction. Table 2 shows the commands for all of the eight directions of virtual robot motion.
The first variant of the algorithm (random bit notion command algorithm, RBMCA) represents the robot’s movement depending on the received bit pairs. If the robot should go beyond the borders of the determined workspace, its trajectory is inverted and the opposite direction is set. The scheme of this path-planning algorithm is shown in Figure A1a.
The algorithm was further modified (modified RBMCA, M-RBMCA) to provide the robot with the ability to remember the coordinates of the point it visited during the previous iteration, which resolves the case where the robot could repeatedly move between two points for several iterations, as shown in Figure A1b.
Finally, we propose another modification of the path-planning algorithm (let us call it P-RBMCA). Unlike previously described versions, it is more efficient due to the use of a system memory that stores the number of visits to each cell. Thus, before executing each generated movement, the algorithm chooses between the least-visited positions while maintaining a general chaotic movement pattern.
The proposed method provides a combination of chaotic motion with the optimization method, as it restricts the chaotic motion commands only among the neighboring points visited most rarely. In addition, a parameter P has been introduced in the new algorithm, which sets up a desirable difference between the neighboring points with the maximum and minimum number of visits. Using parameter P allows for the adjustment of the percentage of coverage and uniformity of the number of visits to points. The corresponding scheme is shown in Figure A1c.
The proposed Algorithm 1 is presented below in detail.
Algorithm 1 Parametric RBMCA algorithm
  • 1. DD[] = number of visits to neighboring points, number of cells in the array 4 or 8.
  • 2. DDin[] = each cell in the array is a specific direction of travel, number of cells in the array 4 or 8.
  • if DD[i] > MAX then
  •     MAX = DD[i]
  • end if
  • if DD[i] < MIN then
  •     MIN = DD[i]
  • end if
  • if MAX − MIN ≥ param then
  •     all DDin = 0
  •     DDin[index of cell with minimum number of visits] = 1
  • end if
  • if set of bits received == direction in the reference table && DDin[i] == true then
  •     move to the next position
  • end if

4. Results

To analyze the performance of the developed path-planning algorithm and compare it with state-of-the-art solutions, we implemented several metrics, such as percentage of workspace occupancy and uniformity of visits. Figure 4, Figure 5, Figure 6 and Figure 7 show the comparison of trajectory planning and coverage density for the considered algorithms operating in 50 × 50 and 100 × 100 test areas.
The experimental evaluation shows that the RBMCA method suffers from the known disadvantage of returning to the same point it visited in a previous iteration, so the robot can move between two points for several iterations. This leads to a small percentage of the overall area coverage, which can be seen in Figure 4, Figure 5, Figure 6 and Figure 7.
The modified algorithm, M-RBMCA, allows an increase in the percentage of the working area coverage, as can be seen in Figure 4 and Figure 5. It also possesses an increased filling density. One can note that the difference between the highest and the lowest number of visits to the points is less than for the RBMCA method.
Considering the proposed P-RBMCA path-planning method, one can see that the robot avoids multiple visits to previous points, which helps to increase the coverage. The results of the algorithm execution are shown in Figure 4 and Figure 5. The introduced parameter P allows one to finely adjust the density of filling points and the percentage of coverage of the area. One can conclude that the overall performance of the proposed P-RBMCA algorithm is superior than that of the competing RBMCA and M-RBMCA methods. It should be noted that when the p value is changed, it leads to corresponding changes in both the uniformity of filling points and the percentage of coverage. The percentage of coverage also slightly depends on the initial position of the robot. Plots given in Figure 8 show the dependence of the percentage of coverage on the value P and the number of iterations of the algorithm for four- and eight-directional movement cases.
One can see from the plots shown in Figure 9 that the proposed algorithm P-RBMCA covers the 50 × 50 test study area much faster than the competing algorithms RBMCA and M-RBMCA. For a more detailed quantitative comparison, the reader can refer to Table 3 and Table 4, which illustrate the dependence between the percentage of coverage and the number of iterations. One can see that when the number of possible directions equals 4, it takes only 5050 iterations for P-RBMCA to completely cover the study area, while RBMCA and M-RBMCA do not cover the study area even after 10,000 steps. The same picture can be observed in the case of eight-directional movement. This version of the algorithm covers the study area in 6330 steps.
In order to determine the scalability of the proposed path-planning algorithm to test areas of different size, we carried out the experiments with a 100 × 100 test area. The results are shown in Figure 10. Additional information can be found in Table 5 and Table 6. Taking into account the experimental results, we can conclude that the performance of the algorithm is superior to the competing methods in terms of coverage rate and uniformity. It can also be seen that the performance of the algorithm has increased in the 100 × 100 are after the 50 × 50 case.
Let us plot the histograms depicting the number of cases when covering the study area, which took a certain number of iterations (Figure 11). To construct such a histogram, let us set a test area size equal to 50 × 50 and execute the investigated algorithm, changing the starting point of the robot from [0; 0] to [50; 50]. As a result, 2500 paths filling the study area are obtained. Based on these data, one can conclude that the starting point affects the coverage rate. This can be seen very well if we consider the eight-directional case, where the maximum number of iterations is more than 20,000 steps.
After evaluating the proposed algorithm, we decided to investigate the influence of the chaotic map selection on its performance. For this comparison, we selected six different maps known from the literature and implemented them as the PRBG basis for our modified algorithm. In our study, we used the following chaotic maps:
Tent map [47]:
f μ ( x ) = μ m i n x , 1 x ,
x n + 1 = μ x n , f o r x n < 1 2 , μ ( 1 x n ) , f o r 1 2 < x n .
Sine map [48]:
x n + 1 = k sin ( π x n ) .
Logistic map [49]:
x n + 1 = r x n ( 1 x n ) .
Gauss iterated map [50]:
x n + 1 = e x p ( α x n 2 ) + β .
Moysis et al. map [43]:
x i = f ( x i 1 ) = b | x i 1 | r a .
To determine the parameters where each map will demonstrate chaotic behavior, the bifurcation diagrams were plotted (Figure 12). For every map, we selected values that satisfy two conditions: the map should possess chaotic behavior and should pass all NIST tests. Parameter values for each investigated map are as follows: Tent: x 0 = 0.4 , μ = 1.9 ; Log: x 0 = 0.1 , r = 3.678 ; Gauss iterated map: x 0 = 0.1 , α = 4.9 , β = 0.5 ; Moysis et al. map: x 0 = 0.1 , a = 1 , b = 1.99 , r = 1 ; Sine map: x 0 = 0.1 , k = 1 .
The best starting point for each map was selected. Using the best initial position for the robot, the workspace coverage graphs were plotted. From Figure 13, one can see that the performance of the algorithm has a very weak dependence on map selection. Table 7 and Table 8 provide the percentage of coverage for the particular iterations case and are given for further details.
One can see that changing the size of the test area from 50 × 50 to 100 × 100 does not lead to a corresponding change in the algorithm behavior. The dependence of the algorithm’s performance on choice of chaotic map remains weak, as is shown in Figure 14. For a more detailed analysis, please refer to Table 9 and Table 10.

5. Conclusions

In this paper, we proposed a novel parametrically controlled chaotic path-planning algorithm based on a discrete chaotic map developed from the Courbage–Nekorkin artificial neuron model. We designed the pseudorandom bit generator with controllable parameters for coverage and applied NIST tests in order to confirm the randomness of the bit sequences generated by the constructed PRBG. Several competing chaotic path-planning algorithms were considered in a plain area coverage task that was formulated with an intention to visit the designated search space in the most efficient way via a minimal number of iterations. An additional requirement was to keep the trajectory as unpredictable as possible to make the movements of the robot look like a random process to an observer. The algorithm proposed by Moysis et al. [23], which we call RBMCA in this study, was taken as a basic method, and three variants of RBMCA, the original method, the modified M-RBMCA algorithm, and the proposed P-RBMCA with controllable coverage, were implemented for experimental comparison. The proposed algorithm possesses a memory property to control the revisiting frequency and a tunable parameter P to efficiently control the coverage of the search space. The efficient range of the p-value was estimated to be between 0.5 and 2. Several statistical metrics including the percentage of covered area and coverage density were applied to compare the investigated algorithms experimentally. The experiments explicitly show that the proposed P-RBMCA path-planning method demonstrates the lowest excessive coverage density, i.e., the difference between the maximum and minimum number of visits of each point in the search space in comparison with the RBMCA and M-RBMCA counterparts. By plotting the coverage versus the number of iterations for all investigated algorithms, we demonstrated that the developed algorithm covers the 50 × 50 and 100 × 100 regions at least 2.5 times faster than original RBMCA and M-RBMCA methods. The experiments revealed the notable dependence of the space coverage rate on the starting point of the autonomous robot’s path, which is the key shortcoming of chaos-based path-planning methods. This limitation can be resolved by using the preliminary initial condition analysis, e.g., by plotting 2D dynamical maps. The possible practical applications of the proposed path-planning method include, but are not limited to, security guard robots (e.g., mobile cameras and sensor arrays) and robots moving on permafrost or weak ground, where it is of great importance that the robot does not revisit the same area to avoid damaging the upper layer of the ground. The directions of future research will be aimed at the development of three-dimensional path-planning algorithms, e.g., independent trajectory generators for hive UAV control, and the real-world evaluation of the developed path-planning method in tracked robot control systems.

Author Contributions

Conceptualization, V.R. and D.B.; methodology, T.K. and D.B.; software, D.K., O.B. and T.K.; validation, A.K.; formal analysis, V.R. and O.B.; investigation, D.K. and T.K.; resources, D.K.; data curation, V.R.; writing—original draft, D.K. and V.R.; writing—review and editing, A.K. and D.B.; visualization, O.B. and A.K.; supervision, V.R. and D.B.; project administration, D.B. All authors have read and agreed to the published version of the manuscript.

Funding

This study was supported by the Russian Science Foundation (RSF), project 23-79-10151.

Data Availability Statement

The data will be made available by the authors on request.

Acknowledgments

The authors would like to thank the anonymous referees for insightful comments and Sergey Kuzmin for fruitful discussions.

Conflicts of Interest

The authors declare no conflicts of interest.

Appendix A. Block Diagram of Algorithms

Figure A1. Block diagram of the algorithms. Red color highlights the modifications compared to the original RBMCA.
Figure A1. Block diagram of the algorithms. Red color highlights the modifications compared to the original RBMCA.
Mathematics 12 00892 g0a1

References

  1. Al-Raeei, M. Applying fractional quantum mechanics to systems with electrical screening effects. Chaos Solitons Fractals 2021, 150, 111209. [Google Scholar] [CrossRef]
  2. Seadawy, A.R.; Ali, S.; Rizvi, S.T. On modulation instability analysis and rogue waves in the presence of external potential: The (n + 1)-dimensional nonlinear Schrödinger equation. Chaos Solitons Fractals 2022, 161, 112374. [Google Scholar] [CrossRef]
  3. Rybin, V.; Butusov, D.; Babkin, I.; Pesterev, D.; Arlyapov, V. Some Properties of a Discrete Lorenz System Obtained by Variable Midpoint Method and Its Application to Chaotic Signal Modulation. Int. J. Bifurc. Chaos 2024, 34, 2450009. [Google Scholar] [CrossRef]
  4. Cirjulina, D.; Babajans, R.; Capligins, F.; Kolosovs, D.; Litvinenko, A. Experimental Study on Colpitts Chaotic Oscillator-Based Communication System Application for the Internet of Things. Appl. Sci. 2024, 14, 1180. [Google Scholar] [CrossRef]
  5. Holmes, P. Poincaré, celestial mechanics, dynamical-systems theory and “chaos”. Phys. Rep. 1990, 193, 137–163. [Google Scholar] [CrossRef]
  6. Mihailović, D.T.; Mimić, G.; Arsenić, I. Climate predictions: The chaos and complexity in climate models. Adv. Meteorol. 2014, 2014, 878249. [Google Scholar] [CrossRef]
  7. Duane, G.S.; Tribbia, J.J. Synchronized chaos in geophysical fluid dynamics. Phys. Rev. Lett. 2001, 86, 4298. [Google Scholar] [CrossRef]
  8. Field, R.J.; Györgyi, L. Chaos in Chemistry and Biochemistry; World Scientific: Singapore, 1993. [Google Scholar]
  9. Olsen, L.F.; Degn, H. Chaos in biological systems. Q. Rev. Biophys. 1985, 18, 165–225. [Google Scholar] [CrossRef]
  10. Petrovskii, S.V.; Malchow, H. Wave of chaos: New mechanism of pattern formation in spatio-temporal population dynamics. Theor. Popul. Biol. 2001, 59, 157–174. [Google Scholar] [CrossRef] [PubMed]
  11. Karur, K.; Sharma, N.; Dharmatti, C.; Siegel, J.E. A survey of path planning algorithms for mobile robots. Vehicles 2021, 3, 448–468. [Google Scholar] [CrossRef]
  12. Nasr, S.; Mekki, H.; Bouallegue, K. A multi-scroll chaotic system for a higher coverage path planning of a mobile robot using flatness controller. Chaos Solitons Fractals 2019, 118, 366–375. [Google Scholar] [CrossRef]
  13. Duchoň, F.; Babinec, A.; Kajan, M.; Beňo, P.; Florek, M.; Fico, T.; Jurišica, L. Path planning with modified a star algorithm for a mobile robot. Procedia Eng. 2014, 96, 59–69. [Google Scholar] [CrossRef]
  14. Wang, H.; Yu, Y.; Yuan, Q. Application of Dijkstra algorithm in robot path-planning. In Proceedings of the 2011 Second International Conference on Mechanic Automation and Control Engineering, Hohhot, China, 15–17 July 2011; pp. 1067–1069. [Google Scholar]
  15. Zang, X.; Iqbal, S.; Zhu, Y.; Liu, X.; Zhao, J. Applications of chaotic dynamics in robotics. Int. J. Adv. Robot. Syst. 2016, 13, 60. [Google Scholar] [CrossRef]
  16. Cho, S.W.; Park, H.J.; Lee, H.; Shim, D.H.; Kim, S.Y. Coverage path planning for multiple unmanned aerial vehicles in maritime search and rescue operations. Comput. Ind. Eng. 2021, 161, 107612. [Google Scholar] [CrossRef]
  17. Chou, J.S.; Cheng, M.Y.; Hsieh, Y.M.; Yang, I.T.; Hsu, H.T. Optimal path planning in real time for dynamic building fire rescue operations using wireless sensors and visual guidance. Autom. Constr. 2019, 99, 1–17. [Google Scholar] [CrossRef]
  18. Paucar, C.; Morales, L.; Pinto, K.; Sánchez, M.; Rodríguez, R.; Gutierrez, M.; Palacios, L. Use of drones for surveillance and reconnaissance of military areas. In Developments and Advances in Defense and Security, Proceedings of the Multidisciplinary International Conference of Research Applied to Defense and Security (MICRADS 2018), Salinas, Ecuador, 18–20 April 2018; Springer: Berlin/Heidelberg, Germany, 2018; pp. 119–132. [Google Scholar]
  19. Sun, N.; Yang, E.; Corney, J.; Chen, Y. Semantic path planning for indoor navigation and household tasks. In Proceedings of the Towards Autonomous Robotic Systems: 20th Annual Conference, TAROS 2019, London, UK, 3–5 July 2019; Proceedings, Part II 20. Springer: Berlin/Heidelberg, Germany, 2019; pp. 191–201. [Google Scholar]
  20. Gasparetto, A.; Boscariol, P.; Lanzutti, A.; Vidoni, R. Path planning and trajectory planning algorithms: A general overview. In Motion and Operation Planning of Robotic Systems: Background and Practical Approaches; Springer: Berlin/Heidelberg, Germany, 2015; pp. 3–27. [Google Scholar]
  21. Zhang, J.; Huang, H. Occlusion-aware UAV path planning for reconnaissance and surveillance. Drones 2021, 5, 98. [Google Scholar] [CrossRef]
  22. Luis, S.Y.; Peralta, F.; Córdoba, A.T.; del Nozal, Á.R.; Marín, S.T.; Reina, D.G. An evolutionary multi-objective path planning of a fleet of ASVs for patrolling water resources. Eng. Appl. Artif. Intell. 2022, 112, 104852. [Google Scholar] [CrossRef]
  23. Moysis, L.; Petavratzis, E.; Volos, C.; Nistazakis, H.; Stouboulos, I. A chaotic path planning generator based on logistic map and modulo tactics. Robot. Auton. Syst. 2020, 124, 103377. [Google Scholar] [CrossRef]
  24. Lian, J.; Yu, W.; Xiao, K.; Liu, W. Cubic spline interpolation-based robot path planning using a chaotic adaptive particle swarm optimization algorithm. Math. Probl. Eng. 2020, 2020, 1849240. [Google Scholar] [CrossRef]
  25. Shao, S.; Peng, Y.; He, C.; Du, Y. Efficient path planning for UAV formation via comprehensively improved particle swarm optimization. ISA Trans. 2020, 97, 415–430. [Google Scholar] [CrossRef]
  26. Artemiou, P.; Moysis, L.; Kafetzis, I.; Bardis, N.G.; Lawnik, M.; Volos, C. Chaotic Agent Navigation: Achieving Uniform Exploration Through Area Segmentation. In Proceedings of the 12th International Conference on Dependable Systems, Services and Technologies (DESSERT), Athens, Greece, 9–11 December 2022; pp. 1–7. [Google Scholar]
  27. Moysis, L.; Volos, C.; Pham, V.T.; El-Latif, A.A.A.; Nistazakis, H.; Stouboulos, I. Analysis of a Hyperchaotic System with a Hyperbolic Sinusoidal Nonlinearity and Its Application to Area Exploration Using Multiple Autonomous Robots. In New Perspectives on Nonlinear Dynamics and Complexity; Springer: Berlin/Heidelberg, Germany, 2022; pp. 43–62. [Google Scholar]
  28. Gohari, P.S.; Mohammadi, H.; Taghvaei, S. Using chaotic maps for 3D boundary surveillance by quadrotor robot. Appl. Soft. Comput. 2019, 76, 68–77. [Google Scholar] [CrossRef]
  29. Oishi, S.; Inoue, H. Pseudo-random number generators and chaos. IEICE Trans. 1982, 65, 534–541. [Google Scholar]
  30. Andrecut, M. Logistic map as a random number generator. Int. J. Mod. Phys. 1998, 12, 921–930. [Google Scholar] [CrossRef]
  31. González, J.A.; Pino, R. A random number generator based on unpredictable chaotic functions. Comput. Phys. Commun. 1999, 120, 109–114. [Google Scholar] [CrossRef]
  32. Patidar, V.; Pareek, N.; Sud, K. A new substitution–diffusion based image cipher using chaotic standard and logistic maps. Commun. Nonlinear Sci. Numer. Simul. 2009, 14, 3056–3075. [Google Scholar] [CrossRef]
  33. Sun, F.; Liu, S. Cryptographic pseudo-random sequence from the spatial chaotic map. Chaos Solitons Fractals 2009, 41, 2216–2219. [Google Scholar] [CrossRef]
  34. Zhao, L.; Liao, X.; Xiao, D.; Xiang, T.; Zhou, Q.; Duan, S. True random number generation from mobile telephone photo based on chaotic cryptography. Chaos Solitons Fractals 2009, 42, 1692–1699. [Google Scholar] [CrossRef]
  35. Alawida, M.; Samsudin, A.; Teh, J.S. Enhanced digital chaotic maps based on bit reversal with applications in random bit generators. Inf. Sci. 2020, 512, 1155–1169. [Google Scholar] [CrossRef]
  36. Li, J.; Liu, H.; Wang, T.; Jiang, M.; Wang, S.; Li, K.; Zhao, X. Safety helmet wearing detection based on image processing and machine learning. In Proceedings of the 2017 Ninth International Conference on Advanced Computational Intelligence (ICACI), Doha, Qatar, 4–6 February 2017; pp. 201–205. [Google Scholar]
  37. Mansouri, A.; Wang, X. A novel one-dimensional sine powered chaotic map and its application in a new image encryption scheme. Inf. Sci. 2020, 520, 46–62. [Google Scholar] [CrossRef]
  38. Moysis, L.; Tutueva, A.; Christos, K.; Butusov, D. A chaos based pseudo-random bit generator using multiple digits comparison. Chaos Theory Appl. 2020, 2, 58–68. [Google Scholar]
  39. Lambić, D.; Nikolić, M. Pseudo-random number generator based on discrete-space chaotic map. Nonlinear Dyn. 2017, 90, 223–232. [Google Scholar] [CrossRef]
  40. Garcia-Bosque, M.; Pérez-Resa, A.; Sánchez-Azqueta, C.; Aldea, C.; Celma, S. Chaos-based bitwise dynamical pseudorandom number generator on FPGA. IEEE Trans. Instrum. Meas. 2018, 68, 291–293. [Google Scholar] [CrossRef]
  41. Wang, S. A novel hyperchaotic system with fast and slow attractors. AIP Adv. 2022, 12, 105220. [Google Scholar] [CrossRef]
  42. Petavratzis, E.; Moysis, L.; Volos, C.; Stouboulos, I.; Nistazakis, H.; Valavanis, K. A chaotic path planning generator enhanced by a memory technique. Robot. Auton. Syst. 2021, 143, 103826. [Google Scholar] [CrossRef]
  43. Moysis, L.; Rajagopal, K.; Tutueva, A.V.; Volos, C.; Teka, B.; Butusov, D.N. Chaotic path planning for 3D area coverage using a pseudo-random bit generator from a 1D chaotic map. Mathematics 2021, 9, 1821. [Google Scholar] [CrossRef]
  44. Courbage, M.; Nekorkin, V.I.; Vdovin, L.V. Chaotic oscillations in a map-based model of neural activity. Chaos 2007, 17, 043109. [Google Scholar] [CrossRef]
  45. Dmitrichev, A.; Kasatkin, D.; Klinshov, V.V.; Kirillov, S.Y.; Maslennikov, O.V.; Shapin, D.; Nekorkin, V.I. Nonlinear dynamical models of neurons. Izv. VUZ Appl. Nonlinear Dyn. 2018, 26, 5–58. [Google Scholar]
  46. Rukhin, A.; Soto, J.; Nechvatal, J.; Smid, M.; Barker, E.; Leigh, S.; Levenson, M.; Vangel, M.; Banks, D.; Heckert, A.; et al. A Statistical Test Suite for Random and Pseudorandom Number Generators for Cryptographic Applications; US Department of Commerce, Technology Administration, National Institute of Standards and Technology: Gaithersburg, MD, USA, 2001; Volume 22.
  47. Crampin, M.; Heal, B. On the chaotic behaviour of the tent map. Teach. Math. Its Appl. 1994, 13, 83–89. [Google Scholar] [CrossRef]
  48. Belazi, A.; Abd El-Latif, A.A. A simple yet efficient S-box method based on chaotic sine map. Optik 2017, 130, 1438–1444. [Google Scholar] [CrossRef]
  49. May, R.M. Simple mathematical models with very complicated dynamics. Nature 1976, 261, 459–467. [Google Scholar] [CrossRef]
  50. Hilborn, R.C. Chaos and Nonlinear Dynamics: An Introduction for Scientists and Engineers; Oxford University Press: Oxford, UK, 2000. [Google Scholar]
Figure 1. LLEs and bifurcation diagrams of system (4) plotted for parameters a, b, c, and e.
Figure 1. LLEs and bifurcation diagrams of system (4) plotted for parameters a, b, c, and e.
Mathematics 12 00892 g001aMathematics 12 00892 g001b
Figure 2. Density of points plotted in phase portraits. Initial conditions were chosen as 0.01, 0.01.
Figure 2. Density of points plotted in phase portraits. Initial conditions were chosen as 0.01, 0.01.
Mathematics 12 00892 g002aMathematics 12 00892 g002b
Figure 3. (a) Autocorrelation and (b) cross-correlation for x 00 = 0.01 and x 01 = 0.01 + 10 16 , with a = 0.8 , b = 0.63 , c = 2.74 , d = 0.548 , e = 1.921 . The analysis confirms the unpredictability of the bitstream.
Figure 3. (a) Autocorrelation and (b) cross-correlation for x 00 = 0.01 and x 01 = 0.01 + 10 16 , with a = 0.8 , b = 0.63 , c = 2.74 , d = 0.548 , e = 1.921 . The analysis confirms the unpredictability of the bitstream.
Mathematics 12 00892 g003
Figure 4. Comparing the path-planning algorithms using virtual robot trajectories and coverage density for 8-directional movement in the 50 × 50 test area.
Figure 4. Comparing the path-planning algorithms using virtual robot trajectories and coverage density for 8-directional movement in the 50 × 50 test area.
Mathematics 12 00892 g004
Figure 5. Comparing the path-planning algorithms using virtual robot trajectories and coverage density for 4-directional movement in the 50 × 50 test area.
Figure 5. Comparing the path-planning algorithms using virtual robot trajectories and coverage density for 4-directional movement in the 50 × 50 test area.
Mathematics 12 00892 g005
Figure 6. Comparing the path-planning algorithms using virtual robot trajectories and coverage density for 8-directional movement in the 100 × 100 test area.
Figure 6. Comparing the path-planning algorithms using virtual robot trajectories and coverage density for 8-directional movement in the 100 × 100 test area.
Mathematics 12 00892 g006
Figure 7. Comparing the path-planning algorithms using virtual robot trajectories and coverage density for 4-directional movement in the 100 × 100 test area.
Figure 7. Comparing the path-planning algorithms using virtual robot trajectories and coverage density for 4-directional movement in the 100 × 100 test area.
Mathematics 12 00892 g007
Figure 8. Dependence of the coverage percentage from p-value on different number of steps.
Figure 8. Dependence of the coverage percentage from p-value on different number of steps.
Mathematics 12 00892 g008
Figure 9. The evaluation the dependence between the coverage percentage and the number of iterations starting from best and worst points while moving in 4 and 8 directions. The area size is 50 × 50. One can see that the proposed P-RBMCA method shows the best performance in all tests.
Figure 9. The evaluation the dependence between the coverage percentage and the number of iterations starting from best and worst points while moving in 4 and 8 directions. The area size is 50 × 50. One can see that the proposed P-RBMCA method shows the best performance in all tests.
Mathematics 12 00892 g009
Figure 10. Dependence of the percentage of coverage on the algorithm to the number of iterations starting from the best and worst points in 4 and 8 directions. The test area size is 100 × 100. One can see that the proposed P-RBMCA method shows the best performance in all tests.
Figure 10. Dependence of the percentage of coverage on the algorithm to the number of iterations starting from the best and worst points in 4 and 8 directions. The test area size is 100 × 100. One can see that the proposed P-RBMCA method shows the best performance in all tests.
Mathematics 12 00892 g010
Figure 11. Histograms of the number of cases of coverage of the study area for a certain number of iterations.
Figure 11. Histograms of the number of cases of coverage of the study area for a certain number of iterations.
Mathematics 12 00892 g011
Figure 12. Bifurcation diagrams for all considered chaotic maps. (a) Tent map. (b) Logistic map. (c) Gauss iterated map with α = 4.9 . (d) Sine map. (e) Parameter b for Moysis et al. [43] map. (f) Parameter r for Moysis et al. [43] map.
Figure 12. Bifurcation diagrams for all considered chaotic maps. (a) Tent map. (b) Logistic map. (c) Gauss iterated map with α = 4.9 . (d) Sine map. (e) Parameter b for Moysis et al. [43] map. (f) Parameter r for Moysis et al. [43] map.
Mathematics 12 00892 g012aMathematics 12 00892 g012b
Figure 13. Dependence of the coverage percentage to the selection of chaotic map and the number of iterations for the best and worst starting points, 4- and 8-directional cases, for a 50 × 50 test area.
Figure 13. Dependence of the coverage percentage to the selection of chaotic map and the number of iterations for the best and worst starting points, 4- and 8-directional cases, for a 50 × 50 test area.
Mathematics 12 00892 g013
Figure 14. Dependence of the coverage percentage on the choice of chaotic map and the number of iterations for 4- and 8-directional cases in 100 × 100 test area.
Figure 14. Dependence of the coverage percentage on the choice of chaotic map and the number of iterations for 4- and 8-directional cases in 100 × 100 test area.
Mathematics 12 00892 g014
Table 1. Statistical test results. If p α , then the test is successful.
Table 1. Statistical test results. If p α , then the test is successful.
NoTestp-ValueStatus
1Frequency0.249704Success
2Frequency block0.296013Success
3Sequence of identical bits0.338489Success
4The longest sequence of ones in a block0.577056Success
5Ranks of binary matrices0.999951Success
6Spectral0.353091Success
7Nonoverlapping pattern matching0.45979Success
8Overlapping pattern matching0.015642Success
9Maurer’s general0.867123Success
10Linear complexity0.124902Success
11Periodicity0.429502Success
12Approximate entropy0.936101Success
13Cumulative sums0.360115Success
14Randomness0.376372Success
15Other random deviations0.541292Success
Table 2. Bit dictionary for eight directions.
Table 2. Bit dictionary for eight directions.
Bit SetDirection
000Right
001Left up
010Down
011Left down
100Up
101Right up
110Left
Table 3. Comparing the coverage percentage of investigated algorithms in 4-directional path planning for 50 × 50 test area. Green color highlights the proposed solution.
Table 3. Comparing the coverage percentage of investigated algorithms in 4-directional path planning for 50 × 50 test area. Green color highlights the proposed solution.
Number of
Iterations
Coverage, %
RBMCAM-RBMCAP-RBMCA
100014.6820.6433.96
250031.244.0472.44
50505372.6100
750068.5284.4100
10,00072.8888.36100
Table 4. Comparing the coverage percentage of the investigated algorithms in 8-directional path planning for 50 × 50 test area.
Table 4. Comparing the coverage percentage of the investigated algorithms in 8-directional path planning for 50 × 50 test area.
Number of
Iterations
Coverage, %
RBMCAM-RBMCAP-RBMCA
100017.6816.4827.8
250033.6831.6466.32
500059.457.6496
633071.871.96100
10,00080.2877.52100
Table 5. Comparing the coverage percentage of investigated algorithms in 4-directional path-planning case for the 100 × 100 test area.
Table 5. Comparing the coverage percentage of investigated algorithms in 4-directional path-planning case for the 100 × 100 test area.
Number of
Iterations
Coverage, %
RBMCAM-RBMCAP-RBMCA
10004.165.878.49
25008.8312.3222.09
500016.3322.0542.48
750022.6626.7560.58
10,00027.0432.5578.16
Table 6. Comparing the coverage percentage of the investigated algorithms in the 8-directional algorithm for the 100 × 100 area.
Table 6. Comparing the coverage percentage of the investigated algorithms in the 8-directional algorithm for the 100 × 100 area.
Number of
Iterations
Coverage, %
RBMCAM-RBMCAP-RBMCA
10004.164.187.16
25009.671019.6
500019.9320.1338.67
750029.5430.0754.09
10,00035.0135.4671.03
Table 7. Map comparison in 4-directional case in 50 × 50 space.
Table 7. Map comparison in 4-directional case in 50 × 50 space.
Number of
Iterations
Coverage, %
SineMoysisetal. [43]TentGauss IteratedLogisticCourbage–Nekorkin
100034.4433.1237.2834.7229.4433.96
250077.6871.4476.0471.6868.4472.44
500097.899.7698.9699.6889.5699.96
7500100100100100100100
10,000100100100100100100
Table 8. Map comparison for 8-directional case in 50 × 50 test area.
Table 8. Map comparison for 8-directional case in 50 × 50 test area.
Number of
Iterations
Coverage, %
SineMoysisetal. [43]TentGauss IteratedLogisticCourbage–Nekorkin
100033.0829.2431.1228.2829.4427.8
250066.263.5258.465.4468.4466.32
500095.8490.0495.8887.889.5696
7500100100100100100100
10,000100100100100100100
Table 9. Map comparison for 4-directional movement in 100 × 100 test area.
Table 9. Map comparison for 4-directional movement in 100 × 100 test area.
Number of
Iterations
Coverage, %
SineMoysisetal. [43]TentGauss IteratedLogisticCourbage–Nekorkin
10008.378.758.48.388.647.96
250021.5422.4722.222.2621.822.09
500040.8844.8141.7744.543.1242.48
750058.8163.160.4859.5361.6260.58
10,00077.677.0178.0476.7477.7778.16
Table 10. Map comparison for 8-directional case when moving in 100 × 100 test area.
Table 10. Map comparison for 8-directional case when moving in 100 × 100 test area.
Number of
Iterations
Coverage, %
SineMoysisetal. [43]TentGauss IteratedLogisticCourbage–Nekorkin
10007.437.88.018.128.157.16
250019.2620.2819.5920.2817.7619.6
500035.6239.2638.537.6736.8938.67
750054.3357.4555.4854.452.1754.09
10,00071.1869.1470.1770.5369.5871.03
Disclaimer/Publisher’s Note: The statements, opinions and data contained in all publications are solely those of the individual author(s) and contributor(s) and not of MDPI and/or the editor(s). MDPI and/or the editor(s) disclaim responsibility for any injury to people or property resulting from any ideas, methods, instructions or products referred to in the content.

Share and Cite

MDPI and ACS Style

Kvitko, D.; Rybin, V.; Bayazitov, O.; Karimov, A.; Karimov, T.; Butusov, D. Chaotic Path-Planning Algorithm Based on Courbage–Nekorkin Artificial Neuron Model. Mathematics 2024, 12, 892. https://doi.org/10.3390/math12060892

AMA Style

Kvitko D, Rybin V, Bayazitov O, Karimov A, Karimov T, Butusov D. Chaotic Path-Planning Algorithm Based on Courbage–Nekorkin Artificial Neuron Model. Mathematics. 2024; 12(6):892. https://doi.org/10.3390/math12060892

Chicago/Turabian Style

Kvitko, Dmitriy, Vyacheslav Rybin, Oleg Bayazitov, Artur Karimov, Timur Karimov, and Denis Butusov. 2024. "Chaotic Path-Planning Algorithm Based on Courbage–Nekorkin Artificial Neuron Model" Mathematics 12, no. 6: 892. https://doi.org/10.3390/math12060892

APA Style

Kvitko, D., Rybin, V., Bayazitov, O., Karimov, A., Karimov, T., & Butusov, D. (2024). Chaotic Path-Planning Algorithm Based on Courbage–Nekorkin Artificial Neuron Model. Mathematics, 12(6), 892. https://doi.org/10.3390/math12060892

Note that from the first issue of 2016, this journal uses article numbers instead of page numbers. See further details here.

Article Metrics

Back to TopTop