Next Article in Journal
Robust Transceiver Design for Correlated MIMO Interference Channels in the Presence of CSI Errors under General Power Constraints
Next Article in Special Issue
Asymptotic for Orthogonal Polynomials with Respect to a Rational Modification of a Measure Supported on the Semi-Axis
Previous Article in Journal
Equivalent Condition of the Measure Shadowing Property on Metric Spaces
Previous Article in Special Issue
Mixed-Type Hypergeometric Bernoulli–Gegenbauer Polynomials
 
 
Font Type:
Arial Georgia Verdana
Font Size:
Aa Aa Aa
Line Spacing:
Column Width:
Background:
Article

Some Properties of Generalized Apostol-Type Frobenius–Euler–Fibonacci Polynomials

by
Maryam Salem Alatawi
1,
Waseem Ahmad Khan
2,*,
Can Kızılateş
3 and
Cheon Seoung Ryoo
4
1
Department of Mathematics, Faculty of Science, University of Tabuk, Tabuk 71491, Saudi Arabia
2
Department of Mathematics and Natural Sciences, Prince Mohammad Bin Fahd University, P.O. Box 1664, Al Khobar 31952, Saudi Arabia
3
Department of Mathematics, Zonguldak Bülent Ecevit University, Zonguldak 67100, Turkey
4
Department of Mathematics, Hannam University, Daejeon 34430, Republic of Korea
*
Author to whom correspondence should be addressed.
Mathematics 2024, 12(6), 800; https://doi.org/10.3390/math12060800
Submission received: 10 February 2024 / Revised: 6 March 2024 / Accepted: 6 March 2024 / Published: 8 March 2024

Abstract

In this paper, by using the Golden Calculus, we introduce the generalized Apostol-type Frobenius–Euler–Fibonacci polynomials and numbers; additionally, we obtain various fundamental identities and properties associated with these polynomials and numbers, such as summation theorems, difference equations, derivative properties, recurrence relations, and more. Subsequently, we present summation formulas, Stirling–Fibonacci numbers of the second kind, and relationships for these polynomials and numbers. Finally, we define the new family of the generalized Apostol-type Frobenius–Euler–Fibonacci matrix and obtain some factorizations of this newly established matrix. Using Mathematica, the computational formulae and graphical representation for the mentioned polynomials are obtained.

1. Introduction

Recently, numerous scholars [1,2,3] have defined and developed methods of generating functions for new families of special polynomials, including Bernoulli, Euler, and Genocchi polynomials. These authors have established the basic properties of these polynomials and have derived a variety of identities using the generating function. Furthermore, by using the partial derivative operator to these generating functions, some derivative formulae and finite combinatorial sums involving the above-mentioned polynomials and numbers have been obtained. These special polynomials also provide the straightforward derivation of various important identities. As a result, numerous experts in number theory and combinatorics have exhaustively studied their properties and obtained a series of interesting results.
For any u C , u 1 and ζ R , the Apostol-type Frobenius–Euler polynomials H w ( α ) ( ζ ; u ; λ ) of order α C are introduced (see [4,5,6,7]).
1 u λ e d u α e ζ d = w = 0 H w ( α ) ( ζ ; u ; λ ) d w w ! , d < ln λ u .
For ζ = 0 , H w ( α ) ( u ; λ ) = H w ( α ) ( 0 ; u ; λ ) are called the Apostol-type Frobenius–Euler numbers of order α . From (1), we known that
H w ( α ) ( ζ ; u ; λ ) = s = 0 w w s H s ( α ) ( u ; λ ) ζ w s ,
and
H w ( α ) ( ζ ; 1 ; λ ) = E w ( α ) ( ζ ; λ ) ,
where E w ( α ) ( ζ ; λ ) are the w t h Apostol–Euler polynomials of order α .
The generalized λ -Stirling numbers of the second kind S ( w , s ; λ ) are given by (see [8])
( λ e d 1 ) s s ! = w = 0 S ( w , s ; λ ) d w w ! ,
for λ C and s N = { 0 , 1 , 2 , , } , where λ = 1 gives the well-known Stirling numbers of the second kind; these are defined as follows (see [9,10]).
( e d 1 ) s s ! = w = 0 S ( w , s ) d w w ! .
By referring to (4), the λ -array type polynomials S s w ( ζ , λ ) are defined by (see [11])
( λ e d 1 ) s s ! e ζ d = w = 0 S ( w , s ; ζ ; λ ) d w w ! .
The Apostol-type Bernoulli polynomials B w ( α ) ( ζ ; λ ) of order α , the Apostol-type Euler polynomials E w ( α ) ( ζ ; λ ) of order α , and the Apostol-type Genocchi polynomials G w ( α ) ( ζ ; λ ) of order α are defined by (see [8,12]):
d λ e d 1 α e ζ d = w = 0 B w ( α ) ( ζ ; λ ) d w w ! d + log λ < 2 π ,
2 λ e d + 1 α e ζ d = w = 0 E w ( α ) ( ζ ; λ ) d w w ! d + log λ < π
and
2 d λ e d + 1 α e ζ d = w = 0 G w ( α ) ( ζ ; λ ) d w w ! , d + log λ < π ,
respectively.
Clearly, we have
B w ( α ) ( λ ) = B w ( α ) ( 0 ; λ ) , E w ( α ) ( λ ) = E w ( α ) ( 0 ; λ ) , G w ( α ) ( λ ) = G w ( α ) ( 0 ; λ ) .
The subject of Golden Calculus (or F-calculus) emerged in the nineteenth century due to its wide-ranging applications in fields such as mathematics, physics, and engineering. The ψ -extended finite operator calculus of Rota was studied by A.K. Kwaśniewski [13]. Krot [14] defined and studied F-calculus and gave some properties of these calculus types. Pashaev and Nalci [15] dealt extensively with the Golden Calculus and obtained many properties and used these concepts especially in the field of mathematical physics. The definitions and notation of Golden Calculus (or F-calculus) are taken from [15,16,17,18].
The Fibonacci sequence is defined by the following recurrence relation:
F w = F w 1 + F w 2 , w 2
where F 0 = 0 , F 1 = 1 . Fibonacci numbers can be expressed explicitly as
F w = ϕ w ψ w ϕ ψ ,
where ϕ = 1 + 5 2 and ψ = 1 5 2 . ϕ 16180339 is called Golden ratio. The Golden ratio is a frequently occurring number in many branches of science and mathematics. Pashaev and Nalci [15] have thoroughly studied the miscellaneous properties of Golden Calculus. Additional references include Pashaev [18], Krot [14], and Pashaev and Ozvatan [19].
The F-factorial was defined as follows:
F 1 F 2 F 3 F w = F w ! ,
where F 0 ! = 1 . The binomial theorem for the F-analogues (or the Golden binomial theorem) are given by
( ζ + η ) w : = ( ζ + η ) F w = l = 0 w w l F ( 1 ) l 2 ζ w l η l ,
in terms of the Golden binomial coefficients, referred to as Fibonomials
w l F = F w ! F w l ! F l ! ,
with w and l being non-negative integers, w l . The Fibonomial coefficients have following identity:
w l F l m F = w m F w m l m F .
The F-derivative is introduced as follows:
F F ζ ( f ( ζ ) ) = f ( ϕ ζ ) f ( ψ ζ ) ( ϕ ψ ) ζ .
respectively. The first and second types of Golden exponential functions are defined as
e F ( ζ ) = w = 0 ( ζ ) F w F w ! ,
E F ( ζ ) = w = 0 ( 1 ) w 2 ( ζ ) F w F w ! .
Briefly, we use the following notations throughout the paper
e F ( ζ ) = w = 0 ζ w F w !
and
E F ( ζ ) = w = 0 ( 1 ) w 2 ζ w F w ! .
e F ( ζ ) and E F ( ζ ) satisfy the following identity (see [17]).
e F ζ E F η = e F ( ζ + η ) F .
The Apostol-type Bernoulli–Fibonacci polynomials B w , F ( α ) ( ζ ; λ ) of order α , the Apostol-type Euler–Fibonacci polynomials E w , F ( α ) ( ζ ; λ ) of order α and the Apostol-type Genocchi–Fibonacci polynomials G w , F ( α ) ( ζ ; λ ) of order α are defined by (see [20,21,22]):
d λ e F d 1 α e F ζ d = w = 0 B w , F ( α ) ( ζ ; λ ) d w F w ! ,
2 λ e F d + 1 α e F ζ d = w = 0 E w , F ( α ) ( ζ ; λ ) d w F w !
and
2 d λ e F d + 1 α e F ζ d = w = 0 G w , F ( α ) ( ζ ; λ ) d w F w ! ,
respectively.
Clearly, we have
B w , F ( α ) ( λ ) = B w , F ( α ) ( 0 ; λ ) , E w , F ( α ) ( λ ) = E w , F ( α ) ( 0 ; λ ) , G w , F ( α ) ( λ ) = G w , F ( α ) ( 0 ; λ ) .
In light of the above studies, we define a new family of two-variable polynomials, including the polynomials defined by Equation (1) with the help of the Golden Calculus. Namely, we introduce the concept of the generalized Apostol-type Frobenius–Euler–Fibonacci polynomials and numbers. Thus, we give some properties of this polynomial family, such as recurrence relations, sums formulae, and derivative relations, by using their generating function and functional equations. Additionally, we establish relationships between Apostol-type Frobenius–Euler–Fibonacci polynomials of order α and various other polynomial sequences, including Apostol-type Bernoulli–Fibonacci polynomials, Euler–Fibonacci polynomials, Genocchi–Fibonacci polynomials, and the Stirling–Fibonacci numbers of the second kind. We also introduce the new family of the generalized Apostol-type Frobenius–Euler–Fibonacci matrix and derive some factorizations of this newly established matrix. Finally, we provide zeroes and graphical illustrations for the generalized Apostol-type Frobenius–Euler–Fibonacci polynomials.

2. Generalized Apostol-Type Frobenius–Euler–Fibonacci Polynomials H w , F ( α ) ( ζ , η ; u ; λ )

In this part, we introduce Apostol-type Frobenius–Euler–Fibonacci polynomials by means of the Golden Calculus. Some relations for these polynomials are also obtained by using various identities. At this point, we begin with the following definition.
Definition 1.
Let λ C , α N , the generalized Apostol-type Frobenius–Euler polynomials H w , F ( α ) ( ζ , η ; u ; λ ) of order α are defined by means of the following generating function:
1 u λ e F d u α e F ζ d E F η d = w = 0 H w , F ( α ) ( ζ , η ; u ; λ ) d w F w ! .
When ζ = η = 0 in (20), H w , F ( α ) ( u ; λ ) = H w , F ( α ) ( 0 , 0 ; u ; λ ) are called the w t h Apostol-type Frobenius–Euler–Fibonacci numbers of order α .
Theorem 1.
The following summation formulas for the generalized Apostol-type Frobenius–Euler–Fibonacci polynomials H w , F ( α ) ( ζ , η ; u ; λ ) of order α holds true:
H w , F ( α ) ( ζ , η ; u ; λ ) = s = 0 w w s F H s , F ( α ) ( 0 , 0 ; u ; λ ) ( ζ + η ) F w s ,
H w , F ( α ) ( ζ , η ; u ; λ ) = s = 0 w w s F H s , F ( α ) ( 0 , η ; u ; λ ) ζ w s
and
H w , F ( α ) ( ζ , η ; u ; λ ) = s = 0 w ( 1 ) s ( s 1 ) 2 w s F H w s , F ( α ) ( ζ , 0 ; u ; λ ) η s .
Proof. 
By virtue of (14)–(16) and (20), we obtain the desired results. □
Theorem 2.
The following recursive formulas for the generalized Apostol-type Frobenius–Euler–Fibonacci polynomials H w , F ( α ) ( ζ , η ; u ; λ ) of order α hold true:
F F ζ H w , F ( α ) ( ζ , η ; u ; λ ) = F w H w 1 , F ( α ) ( ζ , η ; u ; λ ) ,
F F η H w , F ( α ) ( ζ , η ; u ; λ ) = F w H w 1 , F ( α ) ( ζ , η ; u ; λ ) .
Proof. 
Differentiating both sides of (20) with respect to ζ and η through Equation (13), we obtain (24) and (25), respectively. □
Theorem 3.
The following difference formulas for the generalized Apostol-type Frobenius–Euler–Fibonacci polynomials H w , F ( α ) ( ζ , η ; u ; λ ) of order α holds true:
λ H w , F ( α ) ( 1 , η ; u ; λ ) u H w , F ( α ) ( 0 , η ; u ; λ ) = ( 1 u ) H w , F ( α 1 ) ( 0 , η ; u ; λ )
and
λ H w , F ( α ) ( 1 , 0 ; u ; λ ) u H w , F ( α ) ( 1 , 1 ; u ; λ ) = ( 1 u ) H w , F ( α 1 ) ( 1 , 1 ; u ; λ ) .
Proof. 
By virtue of (20), we can easily proof of Equations (26) and (27). We omit the proof. □
Theorem 4.
Let α , β N , the generalized Apostol-type Frobenius–Euler–Fibonacci polynomials H w , F ( α ) ( ζ , η ; u ; λ ) of order α hold true:
H w , F ( α + β ) ( ζ , η ; u ; λ ) = s = 0 w w s F H w s , F ( α ) ( 0 , 0 ; u ; λ ) H s , F ( β ) ( ζ , η ; u ; λ ) ,
and
H w , F ( α β ) ( ζ , η ; u ; λ ) = s = 0 w w s F H w s , F ( α ) ( 0 , 0 ; u ; λ ) H s , F ( β ) ( ζ , η ; u ; λ ) .
Proof. 
Using generating function (20), we obtain Equations (28) and (29). We omit the proof. □
In the following theorems, we establish some results on the generalized Apostol-type Frobenius–Euler–Fibonacci polynomials H w , F ( α ) ( ζ , η ; u ; λ ) of order α and some relationships for Apostol-type Frobenius–Euler–Fibonacci polynomials of order α related to Apostol-type Bernoulli–Fibonacci polynomials, Apostol-type Euler–Fibonacci polynomials, and Apostol-type Genocchi–Fibonacci polynomials. We now begin with the following theorem.
Theorem 5.
For the generalized Apostol-type Frobenius–Euler–Fibonacci polynomials H w , F ( ζ , η ; u ; λ ) , one has
( 2 u 1 ) l = 0 w w l F H l , F ( 0 , η ; u ; λ ) H w l , F ( ζ , 0 ; 1 u ; λ )
= u H w , F ( ζ , η ; u ; λ ) ( 1 u ) H w , F ( ζ , η ; 1 u ; λ ) .
Proof. 
We set
( 2 u 1 ) ( λ e F d u ) ( λ e F d ( 1 u ) ) = 1 λ e F d u 1 λ e F d ( 1 u ) .
From the above equation, we see that
( 2 u 1 ) ( 1 u ) e F ζ d ( 1 ( 1 u ) ) E F η d ( λ e F d u ) ( λ e F d ( 1 u ) )
= ( 1 u ) e F ζ d u E F η d λ e F d u ( 1 u ) e F ζ d E F η d ( 1 ( 1 u ) ) λ e F d ( 1 u ) ,
through which, in using Equations (16) and (20) in both sides, we have
( 2 u 1 ) l = 0 H l , F ( 0 , η ; u ; λ ) d l F l ! w = 0 H w , F ( ζ , 0 ; 1 u ; λ ) d w F w !
= u w = 0 H w , F ( ζ , η ; u ; λ ) d w F w ! ( 1 u ) w = 0 H w , F ( ζ , η ; 1 u ; λ ) d w F w ! .
By applying the Cauchy product rule in the aforementioned equation and subsequently comparing the coefficients of d w in both sides of the resulting equation, it can be deduced that assertion (30) holds true. □
Theorem 6.
For the generalized Apostol-type Frobenius–Euler–Fibonacci polynomials H w , F ( ζ , η ; u ; λ ) , one has
u H w , F ( ζ , η ; u ; λ ) = λ l = 0 w w l F H l , F ( ζ , η ; u ; λ ) ( 1 u ) ( ζ + η ) F w .
Proof. 
Using the following identity
u λ ( λ e F d u ) e F d = 1 ( λ e F d u ) 1 λ e F d ,
we find that
u ( 1 u ) e F ζ d E F η d λ ( λ e F d u ) e F d = ( 1 u ) e F ζ d E F η d λ e F d u ( 1 u ) e F ζ d E F η d λ e F d
u w = 0 H w , F ( ζ , η ; u ; λ ) d w F w !
= λ w = 0 H w , F ( ζ , η ; u ; λ ) d w F w ! l = 0 d l F l ! ( 1 u ) w = 0 ( ζ + η ) F w d w F w ! .
By applying the Cauchy product rule in the aforementioned equation and subsequently comparing the coefficients of d w in both sides of the resulting equation, it can be deduced that assertion (31) holds true. □
Theorem 7.
For the generalized Apostol-type Frobenius–Euler–Fibonacci polynomials H w , F ( ζ , η ; u ; λ ) of order α, we obtain
H w , F ( α ) ( ζ , η ; u ; λ ) = 1 1 u l = 0 w w l F λ H w l , F ( 1 , η ; u ; λ ) H l , F ( α ) ( ζ , 0 ; u ; λ )
u H w l , F ( 0 , η ; u ; λ ) H l , F ( α ) ( ζ , 0 ; u ; λ ) .
Proof. 
Using (20), we find that
w = 0 H w , F ( α ) ( ζ , η ; u ; λ ) d w F w ! = 1 u λ e F d u λ e F d u 1 u 1 u λ e F d u α e F ζ d E F η d
= λ 1 u 1 u λ e F d u e F d 1 u λ e F d u α e F ζ d E F η d
u 1 u 1 u λ e F d u 1 u λ e F d u α e F ζ d E F η d .
Simplifying the above equation and using Equation (20), we obtain
w = 0 H w , F ( α ) ( ζ , η ; u ; λ ) d w F w ! = λ 1 u w = 0 H w , F ( 1 , η ; u ; λ ) d w F w ! l = 0 H l , F ( α ) ( ζ , 0 ; u ; λ ) d l F l !
u 1 u w = 0 H w , F ( 0 , η ; u ; λ ) d w F w ! l = 0 H l , F ( α ) ( ζ , 0 ; u ; λ ) d l F l ! .
By applying the Cauchy product rule in the aforementioned equation and subsequently comparing the coefficients of d w in both sides of the resulting equation, it can be deduced that assertion (32) holds true. □
Theorem 8.
The following relation between the generalized Apostol-type Frobenius–Euler–Fibonacci polynomials H w , F ( α ) ( ζ , η ; u ; λ ) and Apostol-type Bernoulli–Fibonacci polynomials B w , F ( ζ ; λ ) holds true:
H w , F ( α ) ( ζ , η ; u ; λ ) = l = 0 w + 1 w + 1 l F λ r = 0 l l r F B l r , F ( ζ ; λ ) B l , F ( ζ ; λ )
× H w l + 1 , F ( α ) ( 0 , η ; u ; λ ) .
Proof. 
Consider generating function (20), we have
w = 0 H w , F ( α ) ( ζ , η ; u ; λ ) d w F w !
= 1 u λ e F d u α e F ζ d E F η d d λ e F d 1 λ e F d 1 d
= 1 d λ w = 0 H w , F ( α ) ( 0 , η ; u ; λ ) d w F w ! l = 0 B l , F ( ζ ; λ ) d l F l ! r = 0 d r F r !
w = 0 H w , F ( α ) ( 0 , η ; u ; λ ) d w F w ! l = 0 B l , F ( ζ ; λ ) d l F l ! .
Using the Cauchy product rule in (34), the assertion (33) is obtained. □
Theorem 9.
The following relation between the generalized Apostol-type Frobenius–Euler–Fibonacci polynomials H w , F ( α ) ( ζ , η ; u ; λ ) and generalized Apostol-type Euler–Fibonacci polynomials E w , F ( ζ ; λ ) holds true:
H w , F ( α ) ( ζ , η ; u ; λ ) = 1 2 l = 0 w w l F λ r = 0 l l r F E l r , F ( ζ ; λ ) + E l , F ( ζ ; λ ) H w l , F ( α ) ( 0 , η ; u ; λ ) .
Proof. 
By virtue of (20), we have
w = 0 H w , F ( α ) ( ζ , η ; u ; λ ) d w F w !
= 1 u λ e F d u α e F ζ d E F η d 2 λ e F d + 1 λ e F d + 1 2
= 1 2 λ w = 0 H w , F ( α ) ( 0 , η ; u ; λ ) d w F w ! l = 0 E l , F ( ζ ; λ ) d l F l ! r = 0 d r F r !
+ w = 0 H w , F ( α ) ( 0 , η ; u ; λ ) d w F w ! l = 0 E l , F ( ζ ; u ; λ ) d l F l ! .
Using the Cauchy product rule in (36), the assertion (35) is obtained. □
Theorem 10.
The following relation between the generalized Apostol-type Frobenius–Euler–Fibonacci polynomials H w , F ( α ) ( ζ , η ; u ; λ ) and Apostol-type Genocchi–Fibonacci polynomials G w , F ( ζ ; λ ) holds true:
H w , F ( α ) ( ζ , η ; u ; λ ) = 1 2 l = 0 w + 1 w + 1 l F λ r = 0 l l r F G l r , F ( ζ ; λ ) + G l , F ( ζ ; λ )
× H w l + 1 , F ( α ) ( 0 , η ; u ; λ ) .
Proof. 
Using (20), we obtain
w = 0 H w , F ( α ) ( ζ , η ; u ; λ ) d w F w !
= 1 u λ e F d u α e F ζ d E F η d 2 d λ e F d + 1 λ e F d + 1 2 d
= 1 2 d λ w = 0 H w , F ( α ) ( 0 , η ; u ; λ ) d w F w ! l = 0 G l , F ( ζ ; λ ) d l F l ! r = 0 d r F r !
+ w = 0 H w , F ( α ) ( 0 , η ; u ; λ ) d w F w ! l = 0 G l , F ( ζ ; λ ) d l F l ! .
Using the Cauchy product rule in (38), the assertion (37) is obtained. □
Theorem 11.
For the generalized Apostol-type Frobenius–Euler–Fibonacci polynomials H w , F ( α ) ( ζ , η ; u ; λ ) of order α, we obtain
H w , F ( α + 1 ) ( ζ , η ; u ; λ ) = s = 0 w w s F H w s , F ( u ; λ ) H s , F ( α ) ( ζ , η ; u ; λ ) .
Proof. 
From (20), we obtain
1 u λ e F d u 1 u λ e F d u α e F ζ d E F η d = 1 u λ e F d u s = 0 H s , F ( α ) ( ζ , η ; u ; λ ) d s F s !
= w = 0 H w , F ( u ; λ ) d w F w ! s = 0 H s , F ( α ) ( ζ , η ; u ; λ ) d s F s ! .
Now, replacing w with w s and equating the coefficients of d w leads to Formula (39). □
Theorem 12.
For the generalized Apostol-type Frobenius–Euler–Fibonacci polynomials H w , F ( α ) ( ζ , η ; u ; λ ) of order α, we have
H w , F ( α ) ( ζ + 1 , η ; u ; λ ) = l = 0 w 1 w l 2 w l F H l , F ( α ) ( ζ , η ; u ; λ ) .
Proof. 
Using (20), we have
w = 0 H w , F ( α ) ( ζ + 1 , η ; u ; λ ) d w F w ! w = 0 H w , F ( α ) ( ζ , η ; u ; λ ) d w F w !
= 1 u λ e F d u α e F ζ d E F η d ( E F d 1 )
= l = 0 H l , F ( α ) ( ζ , η ; u ; λ ) d l F l ! w = 0 1 w 2 d w F w ! w = 0 H w , F ( α ) ( ζ , η ; u ; λ ) d w F w !
= w = 0 l = 0 w 1 w l 2 w l F H l , F ( α ) ( ζ , η ; u ; λ ) d w F w ! w = 0 H w , F ( α ) ( ζ , η ; u ; λ ) d w F w ! .
Finally, equating the coefficients of the like powers of d w , we obtain (40). □
Theorem 13.
Let α and γ be non-negative integers. There is the following relationship between the numbers S F ( w , l ; λ ) and the generalized Apostol-type Frobenius–Euler–Fibonacci polynomials H w , F ( α ) ( ζ , η ; u ; λ ) of order α, which holds true:
α ! l = 0 w w l F H w l , F ( α ) ( ζ , η ; u ; λ ) S F l , α ; λ u = 1 u u α ( ζ + η ) F w
and
H w , F ( α γ ) ( ζ , η ; u ; λ ) = γ ! u 1 u γ l = 0 w w l F H w l , F ( α ) ( ζ , η ; u ; λ ) S F l , γ ; λ u ,
where S F ( w , l ; λ ) is the Stirling–Fibonacci numbers of the second kind are defined by
( λ e F d 1 ) l l ! = w = 0 S F ( w , l ; λ ) d w F w ! .
Proof. 
By virtue of (20), we find that
w = 0 H w , F ( α ) ( ζ , η ; u ; λ ) d w F w ! = 1 u λ e F d u α e F ζ d E F η d
λ e F d u α w = 0 H w , F ( α ) ( ζ , η ; u ; λ ) d w F w ! = ( 1 u ) α w = 0 ( ζ + η ) F w d w F w !
α ! λ u e F d 1 α α ! w = 0 H w , F ( α ) ( ζ , η ; u ; λ ) d w F w ! = 1 u u α w = 0 ( ζ + η ) F w d w F w !
α ! w = 0 H w , F ( α ) ( ζ , η ; u ; λ ) d w F w ! l = 0 S F l , α ; λ u d l F l !
= 1 u u α w = 0 ( ζ + η ) F w d w F w ! ,
which, on rearranging the summation and then simplifying the resultant equation, yields the relation (41).
Once more, we examine the following arrangement of generating function (20) as:
w = 0 H w , F ( α γ ) ( ζ , η ; u ; λ ) d w F w ! = 1 u λ e F d u α e F ζ d E F η d u 1 u γ γ ! λ u e F d 1 γ γ ! ,
on use of Equations (44) and (20). After evaluation, the desired result is obtained (42). □
Now, we define the new family of generalized Apostol-type Frobenius–Euler–Fibonacci matrices. By using this definition, we obtain the factorizations of this newly established matrix in the following theorems.
Definition 2.
Let H w , F ( α ) ( ζ , η ; u ; λ ) be the generalized Apostol-type Frobenius–Euler–Fibonacci polynomials. The n + 1 × n + 1 generalized Apostol-type Frobenius–Euler-Fibonacci matrix, H n , F ( α ) ( ζ , η ; u ; λ ) = h i j ( α ) ( ζ , η ; u ; λ ) i , j = 0 n is defined by
h i j ( α ) ( ζ , η ; u ; λ ) = i j F H i j , F ( α ) ( ζ , η ; u ; λ ) i j 0 i < j .
Theorem 14.
For the generalized Apostol-type Frobenius–Euler–Fibonacci matrix H n , F ( α ) ( ζ , η ; u ; λ ) , we have
H n , F ( α + β ) ( ζ + ψ , η ; u ; λ ) = H n , F ( α ) ( ζ , η ; u ; λ ) H n , F ( β ) ( 0 , ψ ; u ; λ ) .
Proof. 
By virtue of (12), (16), (20), and (45), we find that
H n , F ( α + β ) ( ζ + ψ , η ; u ; λ ) = i j F H i j , F ( α + β ) ( ζ + ψ , η ; u ; λ ) = i j F k = 0 i j i j k F H i j k , F ( α ) ( ζ , η ; u ; λ ) H k , F ( β ) ( 0 , ψ ; u ; λ ) = k = j i i j F i j k j F H i k , F ( α ) ( ζ , η ; u ; λ ) H k j , F ( β ) ( 0 , ψ ; u ; λ ) = k = j i i k F H i k , F ( α ) ( ζ , η ; u ; λ ) k j F H k j , F ( β ) ( 0 , ψ ; u ; λ ) = H n , F ( α ) ( ζ , η ; u ; λ ) H n , F ( β ) ( 0 , ψ ; u ; λ ) .
Theorem 15.
For the generalized Apostol-type Frobenius–Euler–Fibonacci matrix H n , F ( ζ , η ; u ; λ ) , we have
H n , F ( ζ + η , 0 ; u ; λ ) = P n , F ζ H n , F ( 0 , η ; u ; λ ) ,
where P n , F ζ = p i j ζ i , j = 0 n is the generalized Pascal matrix [23] via Fibonomial coefficients of the first kind is defined by
P n , F ζ = i j F ζ i j i j 0 i < j .
Proof. 
Using (45) and (12), we obtain
H n , F ( ζ + η , 0 ; u ; λ ) = i j F k = 0 i j i j k F ζ i j k H k , F ( 0 , η ; u ; λ ) = k = j i i j F ζ i k i j k j F H k j , F ( 0 , η ; u ; λ ) = k = j i i k F ζ i k k j F H k j , F ( 0 , η ; u ; λ ) = P n , F ζ H n , F ( 0 , η ; u ; λ ) .

3. Some Values with Graphical Representations and Zeros of the Generalized Apostol-Type Frobenius–Euler–Fibonacci Polynomials

In this section, evidence of the zeros of the generalized Apostol-type Frobenius–Euler–Fibonacci polynomials is displayed, along with visually appealing graphical representations. A few of them are presented here:
H 0 , F ( α ) ( ζ , η ; u ; λ ) = 1 + u λ + u α , H 1 , F ( α ) ( ζ , η ; u ; λ ) = u ζ 1 + u u λ α u + λ u η 1 + u u λ α u + λ α λ 1 + u u λ α u + λ + ζ λ 1 + u u λ α u + λ + η λ 1 + u u λ α u + λ , H 2 , F ( α ) ( ζ , η ; u ; λ ) = u 2 ζ 2 1 + u u λ α ( u + λ ) 2 + u 2 ζ η 1 + u u λ α ( u + λ ) 2 u 2 η 2 1 + u u λ α ( u + λ ) 2 + u α 1 + u u λ α λ ( u + λ ) 2 + u α ζ 1 + u u λ α λ ( u + λ ) 2 2 u ζ 2 1 + u u λ α λ ( u + λ ) 2 + u α η 1 + u u λ α λ ( u + λ ) 2 2 u ζ η 1 + u u λ α λ ( u + λ ) 2 + 2 u η 2 1 + u u λ α λ ( u + λ ) 2 α 1 + u u λ α λ 2 2 ( u + λ ) 2 + α 2 1 + u u λ α λ 2 2 ( u + λ ) 2 α ζ 1 + u u λ α λ 2 ( u + λ ) 2 + ζ 2 1 + u u λ α λ 2 ( u + λ ) 2 α η 1 + u u λ α λ 2 ( u + λ ) 2 + ζ η 1 + u u λ α λ 2 ( u + λ ) 2 η 2 1 + u u λ α λ 2 ( u + λ ) 2 , H 3 , F ( α ) ( ζ , η ; u ; λ ) = ζ 3 1 + u u λ α + 2 ζ 2 η 1 + u u λ α 2 ζ η 2 1 + u u λ α η 3 1 + u u λ α u 2 α 1 + u u λ α λ ( u + λ ) 3 2 u α 2 1 + u u λ α λ 2 ( u + λ ) 3 + α 1 + u u λ α λ 3 3 ( u + λ ) 3 + α 2 1 + u u λ α λ 3 ( u + λ ) 3 α 3 1 + u u λ α λ 3 3 ( u + λ ) 3 + 2 u α ζ 1 + u u λ α λ ( u + λ ) 2 + 2 u α η 1 + u u λ α λ ( u + λ ) 2 α ζ 1 + u u λ α λ 2 ( u + λ ) 2 + α 2 ζ 1 + u u λ α λ 2 ( u + λ ) 2 α η 1 + u u λ α λ 2 ( u + λ ) 2 + α 2 η 1 + u u λ α λ 2 ( u + λ ) 2 2 α ζ 2 1 + u u λ α λ u + λ 2 α ζ η 1 + u u λ α λ u + λ + 2 α η 2 1 + u u λ α λ u + λ .
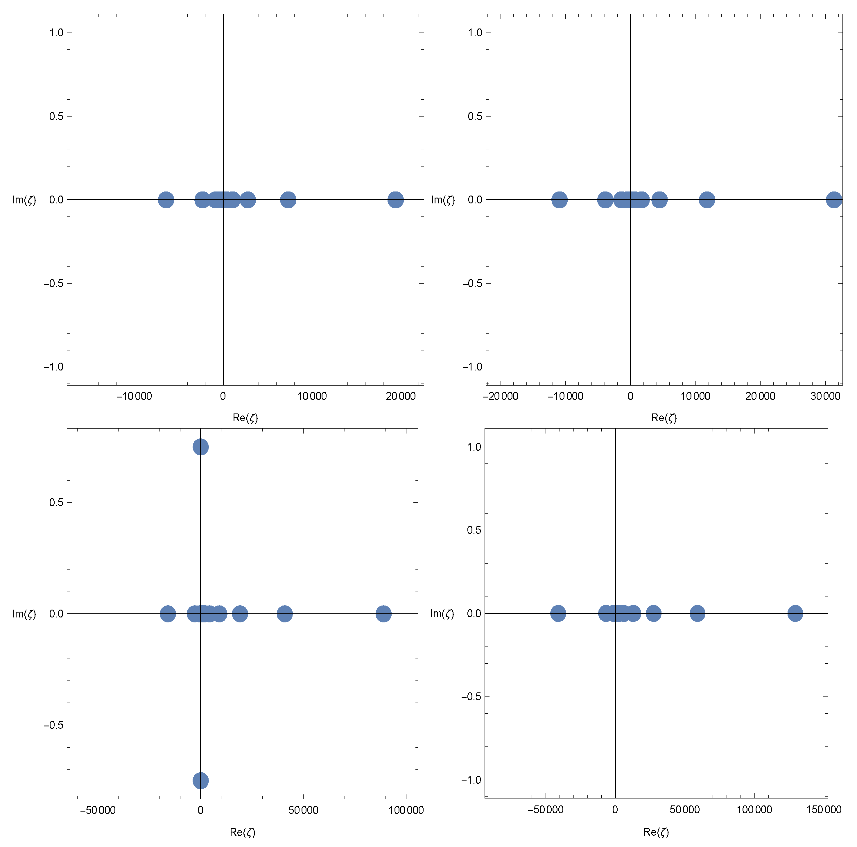
We investigate the beautiful zeros of the generalized Apostol-type Frobenius–Euler polynomials H w , F ( α ) ( ζ , η ; u ; λ ) = 0 of order α by using a computer. We plot the zeros of generalized Apostol-type Frobenius–Euler polynomials H w , F ( α ) ( ζ , η ; u ; λ ) = 0 of order α for w = 30 (Figure 1).
In Figure 1 (top left), we choose u = 2 , λ = 4 , α = 3 and η = 3 . In Figure 1 (top right), we choose u = 2 , λ = 4 , α = 3 and η = 3 . In Figure 1 (bottom left), we choose u = 2 , λ = 6 , α = 5 and η = 3 . In Figure 1 (bottom right), we choose u = 2 , λ = 6 , α = 5 and η = 3 .
Stacks of zeros of the generalized Apostol-type Frobenius–Euler polynomials H w , F ( α ) ( ζ , η ; u ; λ ) = 0 of order α for 1 w 30 , forming a 3D structure, are presented (Figure 2).
In Figure 2 (top left), we choose u = 2 , λ = 4 , α = 3 and η = 3 . In Figure 2 (top right), we choose u = 2 , λ = 4 , α = 3 and η = 3 . In Figure 2 (bottom left), we choose u = 2 , λ = 6 , α = 5 and η = 3 . In Figure 2 (bottom right), we choose u = 2 , λ = 6 , α = 5 and η = 3 .
Plots of real zeros of the generalized Apostol-type Frobenius–Euler polynomials H w , F ( α ) ( ζ , η ; u ; λ ) = 0 of order α for 1 w 30 are presented (Figure 3).
In Figure 3 (top left), we choose u = 2 , λ = 4 , α = 3 and η = 3 . In Figure 3 (top right), we choose u = 2 , λ = 4 , α = 3 and η = 3 . In Figure 3 (bottom left), we choose u = 2 , λ = 6 , α = 5 and η = 3 . In Figure 3 (bottom right), we choose u = 2 , λ = 6 , α = 5 and η = 3 .
Next, we calculated an approximate solution satisfying the generalized Apostol-type Frobenius–Euler polynomials H w , F ( α ) ( ζ , η ; u ; λ ) = 0 of order α . The results are given in Table 1. We choose u = 2 , λ = 6 , α = 5 and η = 3 .

4. Conclusions

In this article, our objective was to introduce the F-analogues of the Apostol-type Frobenius–Euler polynomials, which we have denoted as generalized Apostol-type Frobenius–Euler–Fibonacci polynomials. We have employed the Golden Calculus to introduce these polynomials and subsequently explored their properties. Our work represents a generalization of the previously published articles [24]. In our future research studies, we intend to utilize the Golden Calculus to introduce the parametric types of certain special polynomials and to derive a plethora of combinatorial identities through their generating functions.

Author Contributions

Conceptualization, M.S.A., W.A.K., C.K. and C.S.R.; formal analysis, M.S.A., W.A.K., C.K. and C.S.R.; funding acquisition, M.S.A. and W.A.K.; investigation, W.A.K. and C.K.; methodology, M.S.A., W.A.K., C.K. and C.S.R.; project administration, M.S.A., W.A.K., C.K. and C.S.R.; software, M.S.A., W.A.K., C.K. and C.S.R.; writing—original draft, W.A.K. and C.K.; writing—review and editing, M.S.A., W.A.K., C.K. and C.S.R. All authors have read and agreed to the published version of the manuscript.

Funding

This research received no external funding.

Data Availability Statement

No data were used to support this study.

Conflicts of Interest

The authors declare no conflicts of interest.

References

  1. Alam, N.; Khan, W.A.; Ryoo, C.S. A note on Bell-based Apostol-type Frobenius–Euler polynomials of complex variable with its certain applications. Mathematics 2022, 10, 2109. [Google Scholar] [CrossRef]
  2. Khan, W.A.; Haroon, H. Some symmetric identities for the generalized Bernoulli, Euler and Genocchi polynomials associated with Hermite polynomials. Springer Plus 2016, 5, 1920. [Google Scholar] [CrossRef] [PubMed]
  3. Pathan, M.A.; Khan, W.A. A new class of generalized Apostol-type Frobenius–Euler–Hermite polynomials. Honam Math. J. 2020, 42, 477–499. [Google Scholar]
  4. Carlitz, L. Eulerian numbers and polynomials. Mat. Mag. 1959, 32, 164–171. [Google Scholar] [CrossRef]
  5. Kurt, B.; Simsek, Y. On the generalized Apostol-type Frobenius–Euler polynomials. Adv. Differ. Equ. 2013, 2013, 1. [Google Scholar] [CrossRef]
  6. Kim, D.S.; Kim, T. Some new identities of Frobenius–Euler numbers and polynomials. J. Inequal. Appl. 2012, 2012, 307. [Google Scholar] [CrossRef]
  7. Ryoo, C.S. A note on the Frobenius Euler polynomials. Proc. Jangjeon Math. Soc. 2011, 14, 495–501. [Google Scholar]
  8. Luo, Q.M.; Srivastava, H.M. Some generalizations of the Apostol-Bernoulli and Apostol–Euler polynomials. J. Math. Anal. Appl. 2005, 308, 290–302. [Google Scholar] [CrossRef]
  9. Milovanović, C. On generalized Stirling number and polynomials. Math. Balk. New Ser. 2004, 18, 241–248. [Google Scholar]
  10. Jamei, M.J.; Milovanović, G.; Dagli, M.C. A generalization of the array type polynomials. Math. Morav. 2022, 26, 37–46. [Google Scholar] [CrossRef]
  11. Simsek, Y. Generating functions for generalized Stirling type numbers, Array type polynomials, Eulerian type polynomials and their applications. J. Fixed Point Theory Appl. 2013, 2013, 87. [Google Scholar] [CrossRef]
  12. Luo, Q.M.; Srivastava, H.M. Some generalization of the Apostol-Genocchi polynomials and Stirling numbers of the second kind. Appl. Math. Comput. 2011, 217, 5702–5728. [Google Scholar] [CrossRef]
  13. Kwaśniewski, A.K. Towards ψ-extension of Rota’s finite operator calculus. Rep. Math. Phys. 2001, 47, 305–342. [Google Scholar] [CrossRef]
  14. Krot, E. An introduction to finite fibonomial calculus. Cent. Eur. J. Math. 2004, 2, 754–766. [Google Scholar] [CrossRef]
  15. Pashaev, O.K.; Nalci, S. Golden quantum oscillator and Binet–Fibonacci calculus. J. Phys. A Math. Theor. 2012, 45, 015303. [Google Scholar] [CrossRef]
  16. Kus, S.; Tuglu, N.; Kim, T. Bernoulli F-polynomials and Fibo-Bernoulli matrices. Adv. Differ. Equ. 2019, 2019, 145. [Google Scholar] [CrossRef]
  17. Özvatan, M. Generalized Golden-Fibonacci Calculus and Applications. Master’s Thesis, Izmir Institute of Technology, Urla, Türkiye, 2018. [Google Scholar]
  18. Pashaev, O.K. Quantum calculus of Fibonacci divisors and infinite hierarchy of bosonic-fermionic golden quantum oscillators. Int. J. Geom. Methods Mod. Phys. 2021, 18, 2150075. [Google Scholar] [CrossRef]
  19. Pashaev, O.K.; Ozvatan, M. Bernoulli–Fibonacci Polynomials. arXiv 2020, arXiv:2010.15080. [Google Scholar]
  20. Gulal, E.; Tuglu, N. Apostol-Bernoulli–Fibonacci polynomials, Apostol–Euler–Fibonacci polynomials and their generating functions. Turk. J. Math. Comput. Sci. 2023, 15, 202–210. [Google Scholar] [CrossRef]
  21. Kızılateş, C.; Öztürk, H. On parametric types of Apostol Bernoulli–Fibonacci Apostol Euler–Fibonacci and Apostol Genocchi–Fibonacci polynomials via Golden Calculus. AIMS Math. 2023, 8, 8386–8402. [Google Scholar] [CrossRef]
  22. Tuğlu, N.; Ercan, E. Some properties of Apostol Bernoulli Fibonacci and Apostol Euler Fibonacci Polynomials. In Proceedings of the International Conference on Mathematics and Mathematics Education, Ankara, Turkey, 16–18 September 2021; pp. 32–34. [Google Scholar]
  23. Tuglu, N.; Yesil, F.; Gokcen Kocer, E.; Dziemiańczuk, M. The F-Analogue of Riordan Representation of Pascal Matrices via Fibonomial Coefficients. J. Appl. Math. 2014, 2014, 841826. [Google Scholar] [CrossRef][Green Version]
  24. Urielesa, A.; Ramırezb, W.; Ha, L.C.P.; Ortegac, M.J.; Arenas-Penalozac, J. On F-Frobenius–Euler polynomials and their matrix approach. J. Math. Comput. Sci. 2024, 32, 377–386. [Google Scholar] [CrossRef]
Figure 1. Zeros   of H w , F ( α ) ( ζ , η ; u ; λ ) = 0 .
Figure 1. Zeros   of H w , F ( α ) ( ζ , η ; u ; λ ) = 0 .
Mathematics 12 00800 g001
Figure 2. Zeros   of H w , F ( α ) ( ζ , η ; u ; λ ) = 0 .
Figure 2. Zeros   of H w , F ( α ) ( ζ , η ; u ; λ ) = 0 .
Mathematics 12 00800 g002
Figure 3. Real Zeros   of H w , F ( α ) ( ζ , η ; u ; λ ) = 0 .
Figure 3. Real Zeros   of H w , F ( α ) ( ζ , η ; u ; λ ) = 0 .
Mathematics 12 00800 g003
Table 1. Approximate solutions of H w , F ( α ) ( ζ , η ; u ; λ ) = 0 .
Table 1. Approximate solutions of H w , F ( α ) ( ζ , η ; u ; λ ) = 0 .
Degree w ζ
14.5000
2−0.96131, 5.4613
3−3.9141, 5.1740, 7.7401
4−6.6036, 3.1453 − 2.1145i,
3.1453 + 2.1145i, 13.813
5−10.775, 1.5396 − 0.9397i, 1.5396 + 0.9397i,
8.4352, 21.761
6−17.428, −0.72148, 2.5863,
5.7586, 10.197, 35.608
7−28.214, −1.9256, 2.6753 − 1.4884i, 2.6753 + 1.4884i,
6.7608, 19.152, 57.377
8−45.645, −3.2315, 1.4614 − 1.2976i, 1.4614 + 1.2976i,
5.7479, 12.138, 29.581, 92.986
9−73.860, −5.2463, 0.39703, 1.3178,
5.2440, 7.1909, 18.825, 48.769,
150.36
10−119.51, −8.4883, −0.86402, 2.7850 − 0.2438i,
2.7850 + 0.2438i, 4.6030, 13.531, 30.944,
78.360, 243.35
Disclaimer/Publisher’s Note: The statements, opinions and data contained in all publications are solely those of the individual author(s) and contributor(s) and not of MDPI and/or the editor(s). MDPI and/or the editor(s) disclaim responsibility for any injury to people or property resulting from any ideas, methods, instructions or products referred to in the content.

Share and Cite

MDPI and ACS Style

Alatawi, M.S.; Khan, W.A.; Kızılateş, C.; Ryoo, C.S. Some Properties of Generalized Apostol-Type Frobenius–Euler–Fibonacci Polynomials. Mathematics 2024, 12, 800. https://doi.org/10.3390/math12060800

AMA Style

Alatawi MS, Khan WA, Kızılateş C, Ryoo CS. Some Properties of Generalized Apostol-Type Frobenius–Euler–Fibonacci Polynomials. Mathematics. 2024; 12(6):800. https://doi.org/10.3390/math12060800

Chicago/Turabian Style

Alatawi, Maryam Salem, Waseem Ahmad Khan, Can Kızılateş, and Cheon Seoung Ryoo. 2024. "Some Properties of Generalized Apostol-Type Frobenius–Euler–Fibonacci Polynomials" Mathematics 12, no. 6: 800. https://doi.org/10.3390/math12060800

APA Style

Alatawi, M. S., Khan, W. A., Kızılateş, C., & Ryoo, C. S. (2024). Some Properties of Generalized Apostol-Type Frobenius–Euler–Fibonacci Polynomials. Mathematics, 12(6), 800. https://doi.org/10.3390/math12060800

Note that from the first issue of 2016, this journal uses article numbers instead of page numbers. See further details here.

Article Metrics

Back to TopTop