Charged Cavitation Multibubbles Dynamics Model: Growth Process
Abstract
1. Introduction
2. Model
2.1. Noninteraction-Charged Cavitation Bubble
2.2. Charged Cavitation Multibubble
3. Validation and Verification Model
4. Results and Analysis
4.1. Effect of Electric Charges and Polytropic Exponent on Charged Cavitation Multibubble Growth


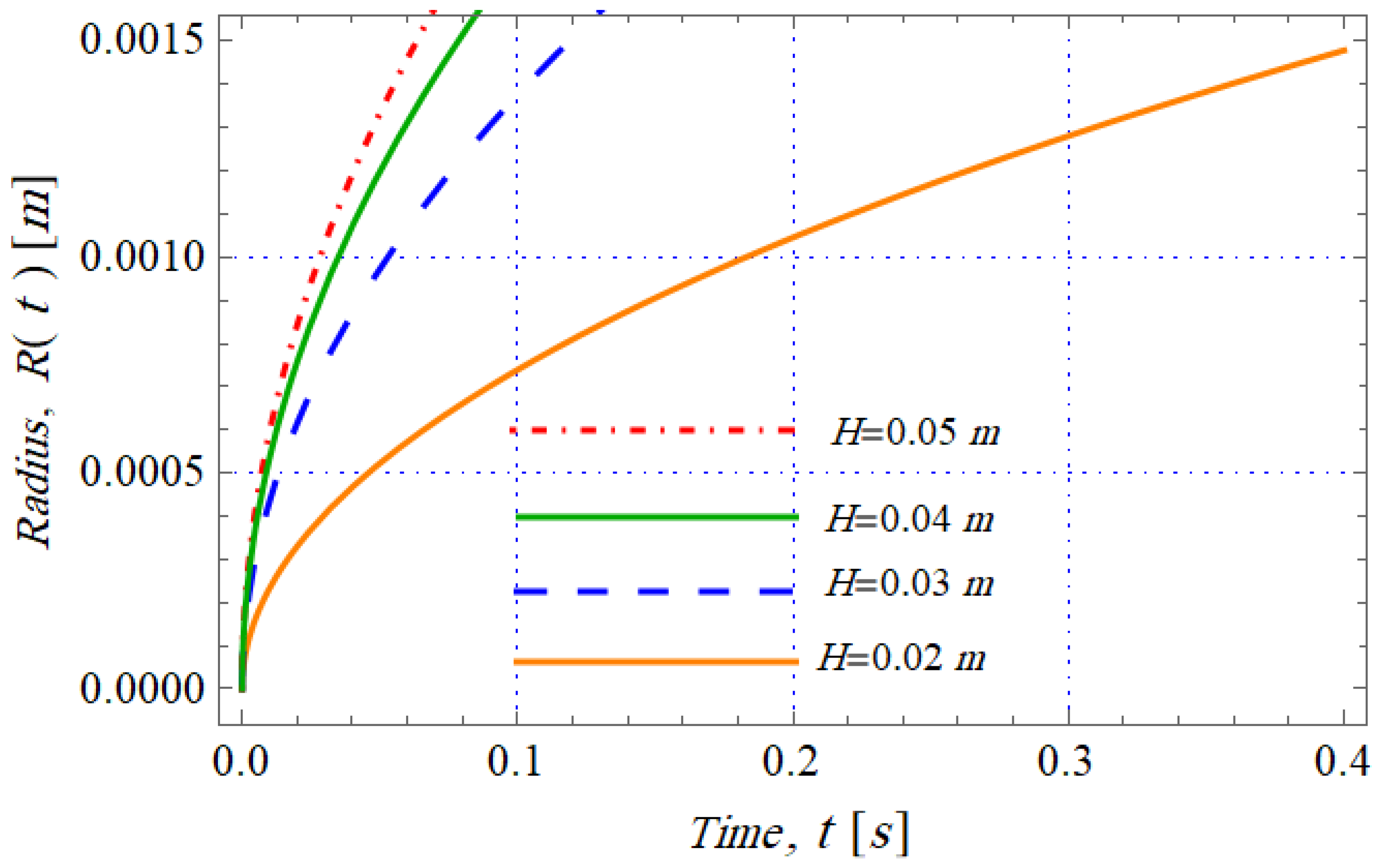
4.2. Effect of the Number of Charged Bubbles and Charged Bubble–Bubble on Charged Cavitation Multibubble Growth in Dielectric Liquids




4.3. Effect of the Dimensionless Phase Transition Criteria and Thermal Conductivity on Charged Cavitation Multibubble Growth in Dielectric Liquids


4.4. Estimation the Proposed Different Pressures during the Growth Behaviour of Charged Cavitation Multibubbles in Dielectric Liquids
| Single Charged Bubble | Charged Multibubbles | Single Charged Bubble | Charged Multibubbles | Single Charged Bubble | Charged Multibubbles | |
|---|---|---|---|---|---|---|
| 0.1 | ||||||
| 0.2 | ||||||
| 0.3 | ||||||
| 0.4 | ||||||
| 0.5 | ||||||
| 0.6 | ||||||
| 0.7 | ||||||
| 0.8 | ||||||
| a | |||
|---|---|---|---|
| [K] | 1.0 | 1.5 | 2.0 |
| Dimensionless phase transition criteria, | |||
| b | |||
| Thermal diffusivity, | |||
5. Conclusions
- The impact of electric charge on growing charged cavitation bubbles reduces the growth process.
- The behaviour of the noninteracting charged cavitation bubbles is higher than in the case of interacting charged cavitation bubbles in dielectric liquids.
- The polytropic exponent weakens the growth process of charged bubbles in dielectric liquids.
- An increase in the dimensionless phase transition criterion and thermal diffusivity enhances the growth process of charged multiple cavitation bubbles in dielectric liquids during the growth process.
Author Contributions
Funding
Data Availability Statement
Conflicts of Interest
Nomenclature
| Nomenclature | ||
| Parameter | Description | Unit |
| Pressure | ||
| Charge | ||
| Surface tension of liquid surrounding the bubble | ||
| Viscosity tension of liquid surrounding the bubble | ||
| Temperature | ||
| Permittivity | ||
| Polytropic coefficient | ||
| Initial temperature difference | ||
| The temperature difference defined by Equation (15) | ||
| Thermal diffusivity of the liquid | ||
| Thermal conductivity | ||
| Density | ||
| Density of the liquid surrounding the bubble | ||
| Dimensionless volume variable defined by Equation (17) | ||
| Constants are defined in Equations (12) and (19) | ||
| Constants are defined in Equations (34) and (35) | ||
| Charged bubble radius | ||
| Instantaneous bubble wall velocity | ||
| Instantaneous bubble wall acceleration | ||
| Number of bubbles | ||
| Distance between the bubbles | ||
| Initial void fraction defined by Equation (26) | ||
| Jacob number given by Equation (26) | ||
| Subscripts | ||
| Boundary | ||
| Saturation | ||
| Liquid | ||
| Gas | ||
| Initial | ||
| maximum | ||
References
- Zhang, A.; Li, S.; Cui, P.; Li, S.; Lium, Y. A unified theory for bubble dynamics. Phys. Fluids 2023, 35, 033323. [Google Scholar] [CrossRef]
- Rayleigh, L. On the pressure developed in a liquid during the collapse of a spherical cavity. Philos. Mag. 1917, 34, 94–98. [Google Scholar] [CrossRef]
- Lauterborn, W.; Kurz, T. Physics of bubble oscillations. Rep. Progr. Phys. 2010, 73, 106501. [Google Scholar] [CrossRef]
- Abu-Nab, A.K.; Omran, M.H.; Abu-Bakr, A.F. Theoretical analysis of pressure relaxation time in N-dimensional thermally-limited bubble dynamics in Fe3O4/water nanofluids. J. Nanofluids 2022, 11, 410–417. [Google Scholar] [CrossRef]
- Bai, L.; Xu, W.; Deng, J.; Li, C.; Xu, D.; Gao, Y. Generation and control of acoustic cavitation structure. Ultrason. Sonochem. 2014, 21, 1696–1706. [Google Scholar] [CrossRef] [PubMed]
- Abu-Bakr, A.F.; Abu-Nab, A.K. Towards a laser-induced microbubble during lithotripsy process in soft tissue. Bull. Russ. Acad. Sci. Phys. 2022, 86 (Suppl. S1), S1–S7. [Google Scholar] [CrossRef]
- Stride, E.; Coussios, C. Nucleation, mapping and control of cavitation for drug delivery. Nat. Rev. Phys. 2019, 1, 495–509. [Google Scholar] [CrossRef]
- Dollet, B.; Marmottant, P.; Garbin, V. Bubble dynamics in soft and biological matter. Annu. Rev. Fluid Mech. 2019, 51, 331–355. [Google Scholar] [CrossRef]
- Pahk, K.; Gelat, P.; Kim, H.; Saffari, N. Bubble dynamics in boiling histotripsy. Ultrasound Med. Biol. 2018, 44, 2673–2696. [Google Scholar] [CrossRef]
- Abu-Nab, A.K.; Mohamed, K.G.; Abu-Bakr, A.F. Microcavitation dynamics in viscoelastic tissue during histotripsy process. J. Phys. Condens. Matter. 2022, 34, 304005. [Google Scholar] [CrossRef]
- Abu-Nab, A.K.; Mohamed, K.G.; Abu-Bakr, A.F. An analytical approach for microbubble dynamics in histotripsy based on a neo-Hookean model. Arch. Appl. Mech. 2023, 93, 1565–1577. [Google Scholar] [CrossRef]
- Abu-Bakr, A.F.; Mohamed, K.G.; Abu-Nab, A.K. Physico-mathematical models for interacting microbubble clouds during histotripsy. Eur. Phys. J. Spec. Top. 2023, 232, 1225–1245. [Google Scholar] [CrossRef]
- Landel, J.R.; Wilson, D.I. The fluid mechanics of cleaning and decontamination of surfaces. Annu. Rev. Fluid Mech. 2021, 53, 147–171. [Google Scholar] [CrossRef]
- Gaitan, D.; Crum, L.; Church, C.; Roy, R. Sonoluminescence and bubble dynamics for a single, stable, cavitation bubble. J. Acoust. Soc. Am. 1992, 91, 3166–3183. [Google Scholar] [CrossRef]
- Lohse, D. Fundamental fluid dynamics challenges in inkjet printing. Annu. Rev. Fluid Mech. 2022, 54, 349–382. [Google Scholar] [CrossRef]
- Wu, S.; Zuo, Z.; Stone, H.A.; Liu, S. Motion of a free-settling spherical particle driven by a laser-induced bubble. Phys. Rev. Lett. 2017, 119, 084501. [Google Scholar] [CrossRef] [PubMed]
- De Graaf, K.L.; Brandner, P.A.; Penesis, I. Bubble dynamics of a seismic airgun. Exp. Therm. Fluid Sci. 2014, 55, 228–238. [Google Scholar] [CrossRef]
- Goh, B.; Gong, S.; Ohl, S.-W.; Khoo, B.C. Spark-generated bubble near an elastic sphere. Int. J. Multiph. Flow 2017, 90, 156–166. [Google Scholar] [CrossRef]
- Kluesner, J.; Brothers, D.; Hart, P.; Miller, N.; Hatcher, G. Practical approaches to maximizing the resolution of sparker seismic reflection data. Mar. Geophys. Res. 2019, 40, 279–301. [Google Scholar] [CrossRef]
- Plesset, M. The dynamics of cavitation bubbles. J. Appl. Mech. 1949, 16, 277–282. [Google Scholar] [CrossRef]
- Keller, J.; Miksis, K. Bubble oscillations of large amplitude. J. Acoust. Soc. Am. 1980, 68, 628. [Google Scholar] [CrossRef]
- Prosperetti, A.; Lezzi, A. Bubble dynamics in a compressible liquid—Part 1: First-order theory. J. Fluid Mech. 1986, 168, 457–478. [Google Scholar] [CrossRef]
- Lezzi, A.; Prosperetti, A. Bubble dynamics in a compressible liquid—Part 2: Second-order theory. J. Fluid Mech. 1987, 185, 289–321. [Google Scholar] [CrossRef]
- Herring, C. Theory of the Pulsations of the Gas Bubble Produced by an Underwater Explosion; Columbia University, Division of National Defense Research: New York, NY, USA, 1941. [Google Scholar]
- Trilling, L. The collapse and rebound of a gas bubble. J. Appl. Phys. 1952, 23, 14–17. [Google Scholar] [CrossRef]
- Keller, J.; Kolodner, I.I. Damping of underwater explosion bubble oscillations. J. Appl. Phys. 1956, 27, 1152. [Google Scholar] [CrossRef]
- Abu-Nab, A.K.; Elgammal, M.I.; Abu-Bakr, A.F. Bubble growth in generalized-Newtonian fluid at low-Mach number under influence of magnetic field. J. Thermophys. Heat Trans. 2022, 36, 485–491. [Google Scholar] [CrossRef]
- Sun, S.; Chen, F.; Zhao, M. Numerical simulation and analysis of the underwater implosion of spherical hollow ceramic pressure hulls in 11,000 m depth. J. Ocean Eng. Sci. 2022, 8, 181–195. [Google Scholar] [CrossRef]
- Mohammadein, S.A. The derivation of thermal relaxation time between two-phase bubbly flow. Heat Mass Transf. 2006, 42, 364–369. [Google Scholar] [CrossRef]
- Dergarabedian, P. The rate of growth of vapor bubbles superheated water. J. Appl. Mech. 1953, 20, 537–545. [Google Scholar] [CrossRef]
- Forster, H.K.; Zuber, N. Growth of a vapor bubble in a superheated liquid. J. Appl. Phys. 1954, 25, 474–478. [Google Scholar] [CrossRef]
- Mohammadein, S.A.; Mohammed, K.G. Growth of a gas bubble in a supersaturated liquid under the effect of variant cases of surface tension. Int. J. Mod. Phys. 2011, 25, 3053–3070. [Google Scholar] [CrossRef]
- Olek, S.; Zvirin, Y.; Elias, E. Bubble growth predictions by the hyperbolic and parabolic heat conduction equations. Warme-Stoffabertragung 1990, 25, 17–26. [Google Scholar] [CrossRef]
- Atkinson, A.J.; Apul, O.G.; Schneider, O.; Garcia-Segura, S.; Westerhoff, P. Nanobubble technologies offer opportunities to improve water treatment. Acc. Chem. Res. 2019, 52, 1196–1205. [Google Scholar] [CrossRef] [PubMed]
- McTaggart, H.A. The electrification at liquid-gas surfaces. Philos. Mag. 1914, 27, 297–314. [Google Scholar] [CrossRef]
- Alty, T. The origin of the electrical charge on small particles in water. Proc. R. Soc. Lond A 1926, 112, 235–251. [Google Scholar]
- Dastgheyb, S.S.; Eisenbrey, J.R. Microbubble applications in biomedicine, Handbook of Polymer Applications in Medicine and Medical Devices. In Plastics Design Library; William Andrew Publishing: Oxford, UK, 2014; Volume 11, pp. 253–277. [Google Scholar]
- Thi Phan, K.K.; Truong, T.; Wang, Y.; Bhandari, B. Nanobubbles: Fundamental characteristics and applications in food processing. Trends Food Sci. Technol. 2020, 95, 118–130. [Google Scholar] [CrossRef]
- Hongray, T.; Ashok, A.; Balakrishnan, J. Effect of charge on the dynamics of an acoustically forced bubble. Nonlinearity 2014, 27, 1157–1179. [Google Scholar] [CrossRef]
- Grigor’ev, A.I.; Zharov, A.N. Stability of the equilibrium states of a charged bubble in a dielectric liquid. Tech. Phys. 2000, 45, 389–395. [Google Scholar] [CrossRef]
- Mohammadein, S.A.; El-Rab, R.A.G. The growth of vapour bubbles in superheated water between two finite boundaries. Can. J. Phys. 2001, 79, 1021–1029. [Google Scholar] [CrossRef]
- Mohammadein, S.A.; Shalaby, G.A.; Abu-Bakr, A.F.; Abu-Nab, A.K. Analytical solution of gas bubble dynamics between two-phase flow. Res. Phys. 2017, 7, 2396–2403. [Google Scholar] [CrossRef]
- Plesset, M.; Zwick, S. The growth of vapor bubbles in superheated liquids. J. Appl. Phys. 1954, 25, 493–500. [Google Scholar] [CrossRef]
- Mohammadein, S.A.; Mohamed, K.G. Growth of a vapour bubble in a viscous, superheated liquid in two phase flow. Can. J. Phys. 2015, 93, 769–775. [Google Scholar] [CrossRef]
- Khojasteh-Manesh, M.M. Numerical investigation of the effect of bubble-bubble interaction on the power of propagated pressure waves. J. Appl. Comput. Mech. 2019, 5, 181–191. [Google Scholar]

| Model | Mathematical Formula | Solution | Description |
|---|---|---|---|
| Current Model (6) | No n-interaction of charged cavitation bubbles in dielectric liquids | ||
| Current Model (31) | Cavitation multibubble in dielectric liquids | ||
| Forster and Zuber model [31] | Single cavitation bubble in Newtonian fluid | ||
| Mohammadein et al. model [44] | Single cavitation bubble in Newtonian fluid | ||
| Plesset and Zwick model [43] | Single cavitation bubble in Newtonian fluid | ||
| Mohammadein et al. model [32] | Single cavitation bubble in Newtonian fluid |
Disclaimer/Publisher’s Note: The statements, opinions and data contained in all publications are solely those of the individual author(s) and contributor(s) and not of MDPI and/or the editor(s). MDPI and/or the editor(s) disclaim responsibility for any injury to people or property resulting from any ideas, methods, instructions or products referred to in the content. |
© 2024 by the authors. Licensee MDPI, Basel, Switzerland. This article is an open access article distributed under the terms and conditions of the Creative Commons Attribution (CC BY) license (https://creativecommons.org/licenses/by/4.0/).
Share and Cite
Abu-Nab, A.K.; Hakami, A.M.; Abu-Bakr, A.F. Charged Cavitation Multibubbles Dynamics Model: Growth Process. Mathematics 2024, 12, 569. https://doi.org/10.3390/math12040569
Abu-Nab AK, Hakami AM, Abu-Bakr AF. Charged Cavitation Multibubbles Dynamics Model: Growth Process. Mathematics. 2024; 12(4):569. https://doi.org/10.3390/math12040569
Chicago/Turabian StyleAbu-Nab, Ahmed K., Amerah M. Hakami, and Ali F. Abu-Bakr. 2024. "Charged Cavitation Multibubbles Dynamics Model: Growth Process" Mathematics 12, no. 4: 569. https://doi.org/10.3390/math12040569
APA StyleAbu-Nab, A. K., Hakami, A. M., & Abu-Bakr, A. F. (2024). Charged Cavitation Multibubbles Dynamics Model: Growth Process. Mathematics, 12(4), 569. https://doi.org/10.3390/math12040569

