Abstract
Spatiotemporal disease mapping modeling with count data is gaining increasing prominence. This approach serves as a benchmark in developing early warning systems for diverse disease types. Spatiotemporal modeling, characterized by its inherent complexity, integrates spatial and temporal dependency structures, as well as interactions between space and time. A Bayesian approach employing a hierarchical structure serves as a solution for spatial model inference, addressing the identifiability problem often encountered when utilizing classical approaches like the maximum likelihood method. However, the hierarchical Bayesian approach faces a significant challenge in determining the hyperprior distribution for the variance components of hierarchical Bayesian spatiotemporal models. Commonly used distributions include logGamma for log inverse variance, Half-Cauchy, Penalized Complexity, and Uniform distribution for hyperparameter standard deviation. While the logGamma approach is relatively straightforward with faster computing times, it is highly sensitive to changes in hyperparameter values, specifically scale and shape. This research aims to identify the most optimal hyperprior distribution and its parameters under various conditions of spatial and temporal autocorrelation, as well as observation units, through a Monte Carlo study. Real data on dengue cases in West Java are utilized alongside simulation results. The findings indicate that, across different conditions, the Uniform hyperprior distribution proves to be the optimal choice.
MSC:
62H11
1. Introduction
Spatiotemporal models are crucial in disease modeling and mapping as they offer valuable insights into the complex spatial and temporal patterns of disease distribution [1,2,3]. Since the observed values frequently consist of count data, it is crucial to utilize the Poisson distribution in spatiotemporal modeling [1,4,5]. Spatiotemporal models usually consist of multiple components, one of which is a fixed effect component that measures the impact of predictors on the outcome. In addition, a stochastic component is included to account for spatial and temporal dependencies, heterogeneity, and interactions [3,6]. Generalized Linear Mixed Models (GLMM) are statistical models that incorporate both fixed and random effects to analyze discrete data. The main goal of the GLMM model in disease mapping is to predict the number of cases or relative risk in each area over multiple time periods. This prediction takes into account not only the current number of cases in a particular area but also incorporates data from adjacent areas and the previous time period. The primary aim of a spatiotemporal model is to generate precise and accurate predictions, with a particular emphasis on smaller geographical areas [1,3,6].
Spatiotemporal models, which include both fixed and random effect components, are complex models with many parameters that require estimation [3]. The utilization of classical approaches, such as the maximum likelihood method, is frequently difficult due to the identifiability issue [5]. The random effect component is characterized by assuming conformity to a particular probability distribution, encompassing both its average and variability. Hence, the problem of identifiability arises when the number of parameters grows with the inclusion of each additional random effects component. This situation can result in a scenario where the number of parameters exceeds the number of observations. On the other hand, Bayesian methods provide a more skillful approach to dealing with complex spatiotemporal models with random effects components [3,7]. This aligns with the fundamental Bayesian principle, wherein each parameter is treated as a stochastic variable governed by a specific probability distribution. Therefore, the Bayesian methodology is preferred, especially when dealing with complex models that involve a large number of parameters [8]. The widespread adoption of the hierarchical Bayesian (HB) approach has been hampered by computational challenges, especially when dealing with posterior distributions that require high-dimensional integration. Nevertheless, recent progress in Bayesian analysis, particularly in enhanced Monte Carlo simulation and Laplace techniques, presents encouraging remedies to surmount these obstacles. However, a significant obstacle in the Bayesian framework is the task of choosing suitable prior distributions and determining the corresponding parameter values. The complex nature of hierarchical modeling is made even more complex by the necessity to specify prior distributions for both model parameters and variance parameters (referred to as the hyperparameters). When considering models that include random effects, it is important to investigate the probability distribution of the hyperparameter variance. Several academic studies have focused on the difficulty of determining hyperpriors and their corresponding parameter values associated with these hyperparameters, highlighting the inherent vulnerability in this process. Finding the hyperprior distribution for the variance components of random effects is important for making accurate predictions about case numbers or relative risks. Surprisingly, not many studies have looked at how this hyperprior distribution affects predictions for different numbers of unit areas and spatiotemporal autocorrelation situations. Typically, a logGamma distribution with small scale and shape parameters is employed as the hyperprior distribution for precision parameters of random effect components. Different studies have utilized various scale and shape values. For instance, [9] proposed logGamma(0.001, 0.001) for modeling the precision parameters of spatial random effects in Conditional Autoregressive (CAR) models, suggesting that this hyperprior is appropriate for assessing relative risk in disease mapping. In a study by [1], logGamma(1, 0.00005) was utilized on the random component of the random walk to achieve more accurate forecasting results. However, ref. [10] cautioned that the choice of hyperprior distribution, particularly logGamma, is highly sensitive in determining hyperparameter values.
Several alternative hyperpriors can be considered as substitutes, such as the Half-Cauchy [10], Penalized Complexity [11], Uniform, generalized logGamma [12], generalized Half-Cauchy [13], and generalized Uniform [14]. However, practitioners may encounter challenges when trying to implement the generalized distribution, as it is not currently supported in common Bayesian software such as R-INLA 2023 (https://www.r-inla.org/) (accessed on 25 December 2023). Therefore, our focus is directed towards the implementation of the logGamma, Half-Cauchy, Penalized Complexity, and Uniform hyperprior distributions.
The remainder of this paper is organized in the following manner. Section 2 presents a comprehensive explanation of Bayesian spatiotemporal regression models within the framework of disease mapping studies. In this study, we investigate the optimization of hyperprior distributions for predictive purposes using a simulation approach. We specifically focus on various scenarios that involve spatiotemporal autocorrelation and unit areas. The results of the simulation study are summarized in Section 3. Section 4 implements the proposed methodology on a real-world dataset, specifically focusing on Dengue Disease in West Java, Indonesia. Ultimately, in Section 5, we delve into a thorough analysis and exploration of the acquired outcomes.
2. Bayesian Spatiotemporal Model Disease Mapping
Spatiotemporal disease mapping aims to reveal the complex patterns of disease risk in both geographical and temporal dimensions [15]. This approach seeks to analyze health data in order to identify the fundamental distribution of disease risk, offering valuable insights into its dynamic characteristics [16]. The foundational spatiotemporal disease mapping model was introduced by [2], employing the Poisson distribution. The log disease risk was defined as a function of risk factors and spatiotemporal random effect components [2]. Let represent the number of cases at area and time , which follows a Poisson distribution with a mean equal to its variance, , that is [15,17]:
where denotes the expected count, and is the disease risk (called relative risk) at area and time . The expected count is defined as [1]:
where denotes the number of population at risk at area and time . and denote the average number of cases and the population at risk across different areas and times, respectively. The relative risk is modeled as a log-linear model as follows:
where is the intercept representing the overall risk, and is a K × 1 vector regression coefficient for covariates, denoted as and denote the spatially structured and unstructured effects respectively. Similarly, and denote the temporally structured and unstructured effects, while represents the space–time interaction.
Inference for the spatiotemporal model (Equation (3)) is typically conducted using a hierarchical Bayesian approach [4]. Let denote the vector observations, and and represent the unknown vectors of parameters and hyperparameters, respectively. Bayesian inference is based on Bayes’ Theorem as [18]:
where is referred to as the posterior distribution, serving as the foundation for Bayesian inference on parameters and hyperparameters. denotes the likelihood function, explaining the distribution data given vectors of unknown parameters ( and hyperparameters (). The and represent the prior and hyperprior distributions, respectively. The denominator represents the marginal likelihood of the data . This is independent of and and can be treated as a scaling constant that does not affect the form of the posterior distribution. Consequently, the posterior distribution is frequently articulated as follows [18]:
A significant challenge in employing Bayesian methods is the computation of the posterior distribution , often necessitating the calculation of high-dimensional integrals that typically cannot be solved using closed-form solutions. Various techniques are employed to assess the posterior distribution, with prominent approaches including Markov Chain Monte Carlo (MCMC) and Integrated Nested Laplace Approximation (INLA). INLA is particularly favored in the field of disease mapping due to its efficient and accurate computational capabilities, especially when dealing with large datasets. An additional advantage of the INLA approach is its freedom from the explicit specification of a prior distribution; instead, it assumes a normal distribution for the prior distribution of the model parameters. This approach primarily focuses on determining the hyperprior distribution for the hyperparameters, thereby simplifying the overall modeling process.
The estimation of parameters and hyperparameters using INLA assumes that the elements of are conditionally independent, where the precision matrix is sparse, being for , as specified by the conditional density function [3]
INLA comprises a three-stage modeling approach outlined as follows [8,19]:
Stage 1—Data model:
In the first stage, we assume that the data model follows a Poisson distribution, and the likelihood function is given by:
Stage 2—Process model:
In the second stage, it is assumed that all the parameters follow a Gaussian distribution. The details are explained below.
For the intercept and slope coefficients , it is assumed that they follow Gaussian distribution with mean zero and variances . Large values, such as , are commonly chosen for the variances [3,20,21]. We now shift our focus to the prior distributions for spatially and temporally structured and unstructured effects and their interaction. Note that, to circumvent identifiability issues, proper prior distributions for the spatial and temporal random effects are employed in the simulations.
We employ the Leroux conditional autoregressive (LCAR) prior to model spatial dependence among the areas for the spatially structured random effects [22]. It is defined as:
where represents the first-order adjacency weights matrix, where if and share a vertex or border and otherwise, the spatial autoregressive parameter, and the variance of the spatially structured random effects controlling the degree of smoothing. The spatially unstructured random effect of area adheres to an exchangeable Gaussian distribution, meaning a sequence of random variables that are independent and identically normally distributed (iid):
where is the variance hyperparameter of . For the temporally structured effect (), we use the autoregressive prior of order 1 (AR1):
where is the temporal autoregressive parameter of order one, and the hyperparameter variance of autoregressive process. For the temporally unstructured component (), we posit an exchangeable Gaussian distribution:
where is the variance hyperparameter of . The last component is space–time interaction (. According to (Knorr-Held, 2000), interaction effects are classified into four types. Type I involves the interaction between spatiotemporally unstructured and temporally unstructured effects. Type II refers to the interaction between spatially unstructured and temporally structured effects. Type III encompasses spatially structured effects and temporally unstructured effects. Lastly, Type IV involves the interaction between spatially structured and temporally structured effects.
Stage 3—Parameter model:
There is no consensus on hyperpriors for variance parameters in Bayesian spatiotemporal disease mapping. Four different distributions, including logGamma, Half-Cauchy, Uniform, and Penalized Complexity were commonly employed [23].
logGamma
The logGamma distribution is applied for the log precision paramater . It assumes that precision parameter has density:
and for log precision . LogGamma is the default hyperprior in the R-INLA.
Half-Cauchy (HC)
The Half-Cauchy distribution is essentially a truncated version of the Cauchy distribution, specifically confined to non-negative values, making it suitable as a hyperprior distribution for the hyperparameter standard deviation . Its probability density function, characterized by a scale parameter , is expressed as follows:
Uniform (U)
The Uniform improper hyperprior can be set on the standard deviation:
Penalized Complexity (PC)
The Penalized Complexity was introduced by [11] as a novel and methodical approach to developing hyperpriors customized for additive models that include latent effects and other components. Penalized Complexity (PC) hyperpriors, which are intended to penalize deviations from a foundational model, are incorporated into their methodology. Significantly, these hyperpriors are distinguished by the fact that they are based on probability statements pertaining to the parameters of the model. The PC hyperprior for the standard deviation is defined by parameters and following:
where represents the lower bound of the standard deviation and denotes the degree of hyperprior belief that needs to be specified. It is worth noting that higher values of correspond to the stronger hyperprior belief in larger values of .
Across the three stages, INLA utilizes the marginal posterior distribution to estimate the parameters and hyperparameters of interest. For more detailed information, please refer to [3].
The construction of the spatiotemporal model, along with the selection of priors and hyperprior distributions for predicting spatiotemporal relative risk, can be elucidated through an easily comprehensible flowchart as follows:
Figure 1 illustrates the various stages involved in the spatiotemporal modeling process, specifically designed to assess the sensitivity of the hyperprior distribution for variance components. The initial phase involves data preparation, whether it be simulated or real data. Following this, we articulate a spatiotemporal model that incorporates both fixed and random effects. The subsequent stage entails defining the prior and hyperprior distributions. Moving forward, the model fitting phase is executed using INLA (Integrated Nested Laplace Approximation). Following this, a leave-one-out cross-validation approach is employed to conduct a sensitivity analysis of the hyperprior distribution for both variance components and stages. The final step in the process involves spatial prediction of relative risk.
Figure 1.
Schematic flowchart of the sensitivity analysis on hyperprior distribution of the variance components of the hierarchical Bayesian spatiotemporal model.
3. Simulation Study
3.1. Data Generation Process
We explore various simulation scenarios generated through the following data procedure. The number of cases () is generated based on the specifications of a comprehensive spatiotemporal model structure. This framework comprises several components, including an intercept representing the overall risk component, the effect of a covariate, a spatially structured effect determined by the CAR Leroux model, a temporally structured effect determined by a first-order autoregressive process, and a Type IV spatiotemporal interaction. Note that, in this simulation study, our emphasis is on spatially and temporally structured effects rather than unstructured effects. This choice is made due to the general understanding that the spatial and temporal variation in disease risk is primarily influenced by its spatiotemporal dependencies. The data generation process is outlined as follows:
In this simulation, our focus is on the number of cases (y) with consistent simulation results, even if we focus on disease risk, as the expected count is not a random variable. In disease mapping, the predictor typically correlates with the random effects component. Consequently, we consider that is a function of spatially and temporally structured effects, as well as their interaction. This relationship is as follows:
The random effects components are modeled as follows. The CAR Leroux for the spatially structured effect is defined in (8). The first order autoregressive process (AR1) for the temporally structured effect is defined in (10). We consider Type IV interaction for spatiotemporal interaction effects. This type integrates spatially and temporally structured main effects. This implies that the temporal dependency structure for each area depends on the temporal arrangement of neighboring areas.
The parameters were defined as shown in Table 1. The parameters of primary interest were the effect of the number of spatial units (n), spatial ( and temporal () autocorrelation, and hyperprior parameter values. We fixed , , , and . To streamline simulation scenarios and account for simultaneous increases in spatial and temporal dependencies, we make the assumption .
Table 1.
Simulation data generation scenarios.
3.2. Evaluation of Goodness of Fit and Predictive Performance
To assess the impact of hyperprior distribution selection and hyperparameter values on goodness of fit, we utilize the Deviance Information Criterion (DIC) and Watanabe Akaike Information Criterion (WAIC). To evaluate the predictive accuracy of the case count, we employ criteria such as Mean Absolute Error (MAE), Mean Square Error (MSE), Mean Absolute Prediction Error (MAPE), and the correlation between predictions made in the sample and those made outside the sample. As illustrated in Figure 1, we utilize a leave-one-out cross-validation approach to evaluate the sensitivity of the hyperprior distribution on variance components. For detailed formulations, refer to [15]. All computations were performed using the R software with the R-INLA 2023 package. The R code is available at https://github.com/mindra-bit/Sensitivity (accessed on 25 December 2023).
The findings are illustrated in Figure 2a,b that follow.
Figure 2.
Fit models criteria: (a) DIC and (b) WAIC.
Figure 2 shows that, for small sample sizes, the logGamma hyperprior displayed the least satisfactory model fit, as indicated by higher DIC and WAIC values in comparison to alternative hyperpriors. The impact of hyperprior specification on sensitivity is especially evident in the case of logGamma, where the highest values were observed. On the other hand, alternative hyperprior distributions exhibited greater resilience to changes in hyperprior parameter values. It is worth mentioning that, in general, DIC and WAIC values have a tendency to decrease as spatial and temporal autocorrelation values increase.
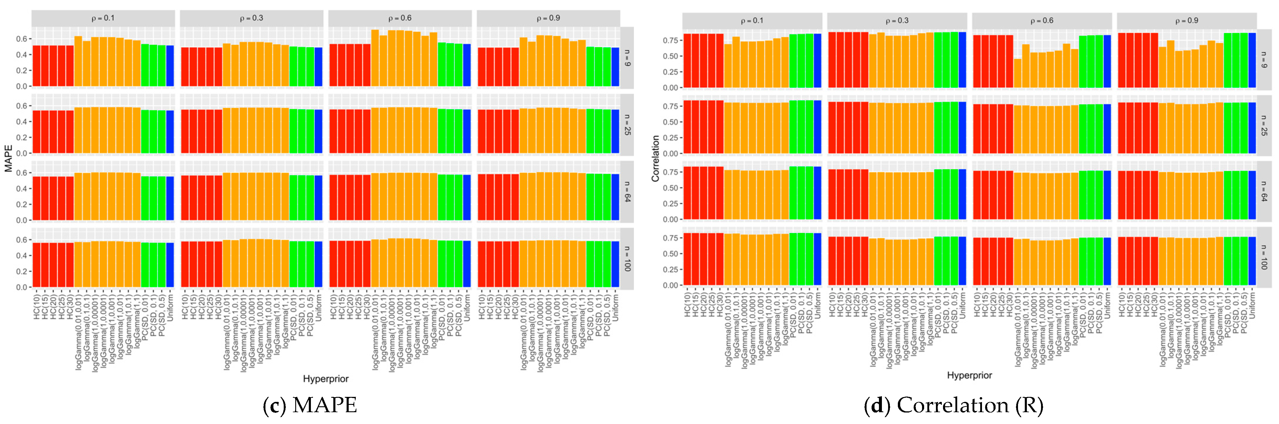
Figure 3 shows the Mean Absolute Error (MAE), Mean Square Error (MSE), Mean Absolute Prediction Error (MAPE), and correlation values between predicted and testing out-of-sample values across all simulation scenarios. In general, the hyperprior logGamma distribution, across all scale and shape parameter values, produces less accurate predictions compared to other hyperprior distributions. Conversely, for the HC, PC, and Uniform hyperprior distributions, each hyperparameter value consistently yields similar prediction performances. The logGamma distribution also shows oversensitive results for changes in scale and shape values. Meanwhile, hyperpriors such as HC and PC are relatively robust with changes in hyperparameter values.

Figure 3.
Predictive performance criteria: (a) MAE, (b) MSE, (c) MAPE, and (d) the Correlation between Predicted and Out-of-Sample Values. (Different colors indicate different hyperprior distributions).
4. Application: Spatiotemporal Dengue Disease Modeling and Mapping in West Java Indonesia
In this section, we provide a concise overview of an application aimed at choosing the suitable hyperprior distribution for a count dataset. Our analysis is based on the dengue dataset from West Java, Indonesia.
Dengue fever poses a significant health threat with potentially fatal consequences if not effectively managed. This infectious disease is predominantly prevalent in tropical and subtropical areas, including Indonesia, where the ongoing struggle with consistently high dengue fever cases remains a pressing concern. The incidence of dengue cases in Indonesia has shown a worrisome upward trend. In 2021, there were 73,518 reported cases, resulting in 705 fatalities [24]. The situation escalated in 2022, with 131,265 cases and 1183 deaths. Even in the period from January to July 2023, 42,690 individuals were infected, and 317 lost their lives. Among the contributing areas to Indonesia’s dengue burden is West Java, the province with the largest population in the country. West Java Province consists of 27 districts. In 2022 alone, West Java reported a staggering 36,608 cases, leading to 305 fatalities. This marked a significant increase from 2021, which recorded 23,959 cases [25]. Our research focuses on utilizing the empirical data of dengue cases in West Java to demonstrate that the hyperprior HC is empirically the most suitable hyperprior for Bayesian spatiotemporal modeling. However, it is essential to note that the application example excludes the year 2022 due to the availability of spatiotemporal data spanning from 2016 to 2021. Figure 4 shows the Annual Temporal Trends of Dengue Cases in 27 Districts of West Java from 2017–2021 [26].
Figure 4.
Annual Temporal Trends of Dengue Cases in 27 Districts of West Java from 2017–2021.
The estimation of relative risk parameters is performed through the application of the following model:
We consider the Healthy Behavior Index (HBI) as the risk factor (. To assess the spatiotemporal relative risk of dengue fever in Bandung city using INLA, it is crucial to determine the hyperprior value for the variance parameter or standard deviation for each random effect component. Four distributions were considered in this study: Half-Cauchy, logGamma, Penalized Complexity, and Uniform. The comparative analysis of goodness criteria and the predictive ability of the model is presented in Figure 4.
According to leave-one-out cross-validation, Figure 5 displays the evaluation results for each hyperprior distribution, including their corresponding hyperparameter values. The findings presented in the figure align with simulation results, highlighting the logGamma hyperprior’s high sensitivity to alterations in both shape and scale hyperparameter values. This sensitivity is evident in the substantial variations observed in the DIC, WAIC, MAE, MAPE, MSE, and R criteria when using logGamma(1,1). Although the values of DIC, WAIC, MAE, MAPE, and MSE are comparatively smaller and R is larger than those of other hyperpriors, this outcome raises concerns about potential overfitting issues. On the other hand, different hyperparameter values for logGamma yield diverse results in terms of DIC, WAIC, MAE, MAPE, MSE, and R. According to the observations from Figure 4, it is evident that, overall, distributions other than the hyperprior yield comparable model fit values and predictive abilities.
Figure 5.
Evaluating the Optimal Hyperprior Distribution and Their Parameters for Model Fit and Prediction Performance.
Aligning with the simulation results, the Uniform hyperparameter emerges as the most optimal. Hence, for the ensuing analysis of dengue data in West Java, we choose to employ the Uniform hyperprior. The inference for parameters and hyperparameters is presented in Table 2 and Table 3, respectively.
Table 2.
Summary statistics of the posterior mean of the fixed effect.
Table 3.
Summary statistics of the posterior mean of the random effects.
Table 2 presents the results of the inference for fixed effects. The calculations indicate that neither the intercept nor the slope coefficient of the Healthy Behavior Index was found to be significant in elucidating the spatiotemporal variation of dengue in West Java, Indonesia, during 2016–2021 across 27 districts. This lack of significance could be attributed to other potentially more dominant factors, such as climate variables, whose variations are encompassed by the random effect component, as detailed in Table 3.
Table 3 presents the inference results for the spatiotemporal hyperparameters of the model. The fraction variance analysis reveals that the most influential component in explaining dengue risk in West Java is the spatially structured effects, accounting for 36.112%. Following closely are the temporally structured effects at 32.824%, and lastly, the interaction effects contribute with a value of 31.063%. Figure 6 illustrates the spatially and temporally structured effects and their interaction with the disease risk.

Figure 6.
Estimated posterior mean of (a) Spatial effect, (b) Temporal effect, and (c) Interaction effect.
The relative risk of dengue disease in the central area of West Java is primarily influenced by the spatial structure effect. Easily noticeable clusters with a relative risk value higher than one indicate an increased level of risk. Several districts, such as Bogor City, Depok City, and Bekasi in the northwest, as well as some in the southern area, exhibit a relative risk greater than one. The analysis of temporal patterns indicates a decrease in relative risk in 2017, followed by a gradual increase until 2020, and then a subsequent decrease in 2021. The most significant influence of interaction effects is observed in Cirebon City, Indramayu City, Bogor City, and various other cities.
Figure 7 illustrates the relative risk for each district in West Java throughout the 2016–2021 period, and Figure 8 depicts the significance of high risk, as measured by exceedance probability. The calculated results of these two values reveal changes in high-risk areas during the 2016–2021 period, indicating a dynamic pattern in the spread of dengue disease in Indonesia.
Figure 7.
Estimation of the Relative Risk of Dengue Disease Across 27 Districts from 2016 to 2021.
Figure 8.
Estimation of the Exceedance Probability of Dengue Disease Across 27 Districts from 2016 to 2021.
5. Discussion
Spatiotemporal disease mapping with count data plays a crucial role in epidemiological studies, serving as the foundation for an effective early warning system (EWS) [27]. This system offers valuable insights for stakeholders, particularly the government, aiding in the formulation of strategic policies for disease control. The significance of spatiotemporal disease mapping lies in its ability to furnish precise information about the timing and area of potential outbreaks and the key factors influencing these conditions. Moreover, this model adeptly considers spatiotemporal dependency, heterogeneity, and the complex interactions between space and time [6].
Spatiotemporal disease mapping falls into the category of complex models characterized by numerous parameters that need estimation, encompassing both fixed effect parameters and random effect parameters. Fixed effect parameters capture the influences of risk factors, while random effect parameters account for spatial and temporal dependencies, heterogeneity, and interactions. Due to the intricacies inherent in the spatiotemporal disease mapping model, conventional methods like the maximum likelihood approach become impractical for estimation. The preferred alternative, often employed in such scenarios, is the Bayesian method [18].
The Bayesian method provides flexibility for complex modeling through its hierarchical structure, making it a common choice in disease mapping [4]. However, Bayesian methods are not without challenges, and their application requires caution. One of the main issues in the Bayesian approach to disease mapping is the determination of the hyperprior distribution for the model hyperparameters [23].
In various applications, the use of the logGamma distribution for log precision hyperparameters is widespread, given its theoretical alignment with the characteristics of such hyperparameters [3]. However, this approach has faced criticism for its sensitivity to changes in scale and shape parameter values, potentially impacting the reliability of prediction results [10]. To overcome this challenge, alternative hyperprior distributions, such as Half-Cauchy, Penalized Complexity, and Uniform, have been introduced to bolster result robustness [10,11].
This study aims to identify the optimal hyperprior distribution for infectious disease mapping modeling, employing a Monte Carlo simulation approach under diverse conditions, encompassing (i) spatial and temporal dependencies ranging from weak to strong, and (ii) varying sample sizes, from small to medium and large.
Based on the findings from the simulations, we establish that the logGamma hyperprior distribution is considerably more susceptible to fluctuations in scale and shape parameters, leading to a poorer goodness of fit and less precise predictions compared to the Half-Cauchy (HC), Penalized Complexity (PC), and Uniform hyperprior distributions in all simulation scenarios. The results of this study confirm the findings of previous research carried out by [5]. On the other hand, the remaining three hyperprior distributions exhibit resilience in the face of modifications to their hyperparameter values. Significantly, the hyperprior Uniform distribution is identified as the most optimal and resilient option for spatiotemporal predictions, according to the results of the simulations.
Furthermore, according to the simulation results, the model’s goodness of fit decreases as the number of spatial units increases, as evidenced by the notable increase in DIC and WAIC. This indicates the difficulty in achieving a satisfactory alignment for models that involve a significant number of spatial units. In addition, the accuracy of the prediction diminishes, as indicated by the increasing values of MAE, MSE, and MAPE, while the value of R decreases as the spatial units expand. This phenomenon can be attributed to the increased variety of data resulting from the expansion of spatial coverage. This leads to an overall decrease in the accuracy of predictions as more domains are included in the prediction process.
Conversely, increasing spatial and temporal autocorrelation enhances the goodness of fit model and predictive performance. Understanding spatial and temporal autocorrelation is crucial for accurate predictions.
To ensure comprehensive future investigations, it is imperative to examine the utilization of generalized logGamma [12], generalized Half-Cauchy [13], and generalized Uniform [14] distributions. These alternatives have the potential to be strong replacements for hyperpriors, potentially improving the accuracy of predictions and accounting for additional variability in the data.
6. Conclusions
Overall, the use of logGamma as a hyperprior for fitting and prediction tasks is suboptimal, evident from significantly higher values of Deviance Information Criteria (DIC), Watanabe Akaike Information Criteria (WAIC), Mean Absolute Percentage Error (MAPE), Mean Squared Error (MSE), and Mean Absolute Error (MAE). Additionally, it exhibits a lower Pearson’s correlation (R) compared to other hyperpriors. Both Uniform and HC hyperpriors showcase remarkable effectiveness in achieving fit model and accurate predictions.
Moreover, based on the simulation results, both DIC and WAIC demonstrate a significant increase as the number of spatial units rises, indicating the challenge of obtaining a satisfactory fit for models with a large number of spatial units. Furthermore, the precision of predictions decreases, as quantified by increasing MAE, MSE, and MAPE, and decreasing R with the expansion of spatial units. Conversely, increasing spatial and temporal autocorrelation enhances the goodness of fit model and predictive performance.
Author Contributions
Formulating the idea, I.G.N.M.J., Y.A., A.C. and F.K.; methodology, I.G.N.M.J. and Y.A.; theory, I.G.N.M.J. and Y.A.; algorithm design, I.G.N.M.J. and F.K.; result analysis, I.G.N.M.J. and F.K.; writing, I.G.N.M.J., Y.A., A.C. and F.K.; reviewing the research, I.G.N.M.J., F.K., Y.A. and A.C.; supervision; Y.A. and F.K.; project administration, I.G.N.M.J. and A.C.; funding acquisition, A.C. All authors have read and agreed to the published version of the manuscript.
Funding
This research was funded by Direktorat Jenderal Pendidikan Tinggi, Riset, dan Teknologi Kementerian Pendidikan, Kebudayaan, Riset, dan Teknologi (DRTPM: 0217/E5/PG.P2.00/2023) and the Directorate of Research, Community Service, and Innovation (DRPMI: 1834/UN6.3.1/PT.00/2023).
Institutional Review Board Statement
Not applicable.
Informed Consent Statement
Not applicable.
Data Availability Statement
The data presented in this study are openly available in https://opendata.jabarprov.go.id/id/dataset/jumlah-kasus-demam-berdarah-dengue-dbd-berdasarkan-jenis-kelamin-di-jawa-barat (accessed on 10 May 2023) (ref. [26]).
Acknowledgments
Thanks to the Rector, Direktorat Jenderal Pendidikan Tinggi (DIKTI), and Directorate of Research, Community Service, and Innovation (DRPMI) Universitas Padjadjaran for providing the research grant program.
Conflicts of Interest
The authors declare no conflicts of interest.
References
- Jaya, I.G.N.M.; Folmer, H. Bayesian spatiotemporal mapping of relative dengue disease risk in Bandung, Indonesia. J. Geogr. Syst. 2020, 22, 105–142. [Google Scholar] [CrossRef]
- Bernardinelli, L.; Clayton, D.; Pascutto, C.; Montomoli, C.; Ghislandi, M.; Songini, M. Bayesian analysis of space-time variation in disease risk. Stat. Med. 1995, 14, 2433–2443. [Google Scholar] [CrossRef] [PubMed]
- Blangiardo, M.; Cameletti, M. Spatial and Spatio-Temporal Bayesian Models with R-INLA; John Wiley & Sons: Chennai, India, 2015. [Google Scholar]
- Lawson, A.B. Bayesian Disease Mapping Hierarchical Modeling in Spatial Epidemiology, 3rd ed.; CRC Press: Boca Raton, FL, USA, 2018. [Google Scholar]
- Adin, A.; Lee, D.; Goicoa, T.; Ugarte, M.D. A two-stage approach to estimate spatial and spatio-temporal disease risks in the presence of local discontinuities and clusters. Stat. Methods Med. Res. 2019, 28, 2595–2613. [Google Scholar] [CrossRef] [PubMed]
- Knorr-Held, L. Bayesian modelling of inseparable space-time variation in disease risk. Stat. Med. 2000, 19, 2555–2567. [Google Scholar] [CrossRef] [PubMed]
- Khana, D.; Rossen, L.M.; Hedegaard, H.; Warner, M. Bayesian spatial and temporal modeling approach to mapping geographic variation in mortality rates for subnational areas with R-INLA. J. Data Sci. 2018, 16, 147–182. [Google Scholar] [PubMed]
- Sahu, S.K. Bayesian Modeling of Spatio-Temporal Data with R; CRC Press: Boca Raton, FL, USA, 2022. [Google Scholar]
- Kelsall, J.; Wakefield, J. Modelling spatial variation in disease risk. J. Am. Stat. Assoc. 2002, 97, 692–701. [Google Scholar] [CrossRef]
- Gelman, A. Prior distributions for variance parameters in hierarchical models. Bayesian Anal. 2006, 1, 515–533. [Google Scholar] [CrossRef]
- Simpson, D.; Rue, H.; Riebler, A.; Martins, T.G.; Sørbye, S.H. Penalising model component complexity: A principled, practical approach to constructing priors. Stat. Sci. 2017, 32, 1–28. [Google Scholar] [CrossRef]
- Gonçalves, J.H.D.; Gomes, J.J.F.; Rubio, L.; Ramos, F.R. A generalized log gamma approach: Theoretical contributions and an application to companies’ life expectancy. Mathematics 2023, 11, 4792. [Google Scholar] [CrossRef]
- Ortega, E.M.; Cruz, J.N.d.; Cordeiro, G.M.; Alizadeh, M.; Hamedani, G. The generalized half-Cauchy distribution: Mathematical properties and regression models with censored data. J. Appl. Stat. Sci. 2016, 22, 1–15. [Google Scholar]
- Bhatt, M.B. Characterization of generalized uniform distribution through expectation. Open J. Stat. 2014, 4, 563–569. [Google Scholar] [CrossRef][Green Version]
- Tesema, A.; Tessema, Z.T.; Heritier, S.; Stirling, R.G.; Earnest, A. A Systematic Review of Joint Spatial and Spatiotemporal Models in Health Research. Int. J. Environ. Res. Public Health 2023, 20, 5295. [Google Scholar] [CrossRef]
- Coly, S.; Charras-Garrido, M.; Abrial, D.; Yao-Lafourcade, A.F. Spatiotemporal disease mapping applied to infectious diseases. Procedia Environ. Sci. Eng. Manag. 2015, 26, 32–37. [Google Scholar] [CrossRef]
- Nazia, N.; Butt, Z.A.; Bedard, M.L.; Tang, W.C.; Sehar, H.; Law, J. Methods Used in the Spatial and Spatiotemporal Analysis of COVID-19 Epidemiology: A Systematic Review. Geospat. Int. J. Environ. Res. Public Health 2022, 19, 8267. [Google Scholar] [CrossRef] [PubMed]
- Moraga, P. Geospatial Health Data Modeling and Visualization with R-INLA and Shiny; Taylor & Francis Group: Boca Raton, FL, USA, 2020. [Google Scholar]
- Rue, H.; Martino, S.; Chopin, N. Approximate Bayesian inference for latent Gaussian models by using integrated nested Laplace approximations. J. R. Stat. Soc. Ser. B Methodol. 2009, 71, 319–392. [Google Scholar] [CrossRef]
- Alvo, M.; Mu, J. COVID-19 Data analysis using Bayesian models and nonparametric geostatistical models. Mathematics 2023, 11, 1359. [Google Scholar] [CrossRef]
- Bivand, R.; Gómez-Rubio, V.; Rue, H. Spatial data analysis with R-INLA with some extensions. J. Stat. Softw. 2015, 63, 1–31. [Google Scholar] [CrossRef]
- Leroux, B.; Lei, X.; Breslow, N. Estimation of Disease Rates in Small Areas: A New Mixed Model for Spatial Dependence. In Statistical Models in Epidemiology, the Environment and Clinical Trials; Halloran, M., Berry, D., Eds.; Springer: New York, NY, USA, 1999; pp. 135–178. [Google Scholar]
- Gomez-Rubio, V. Bayesian inference with INLA; Taylor and Francis Group: Boca Raton, FL, USA, 2020. [Google Scholar]
- Kemenko PMK. Pemerintah Soroti Penularan Penyakit Demam Berdarah Dengue. Kemenko PMK. Available online: https://www.kemenkopmk.go.id/pemerintah-soroti-penularan-penyakit-demam-berdarah-dengue#:~:text=Kasus%20DBD%20di%20Indonesia%20terus,DBD%20dan%20317%20orang%20meninggal (accessed on 26 December 2023).
- Bagaskara, B. Kota Bandung Jadi Penyumbang Kasus DBD Terbanyak di Jabar 2 Tahun Terakhir. Detik. Available online: https://www.detik.com/jabar/berita/d-6988150/kota-bandung-jadi-penyumbang-kasus-dbd-terbanyak-di-jabar-2-tahun-terakhir (accessed on 26 December 2023).
- Open Data Jabar. Jumlah Kasus Demam Berdarah Dengue (DBD) Berdasarkan Jenis Kelamin di Jawa Barat. Dinas Kesehatan Jawa Barat. Available online: https://opendata.jabarprov.go.id/id/dataset/jumlah-kasus-demam-berdarah-dengue-dbd-berdasarkan-jenis-kelamin-di-jawa-barat (accessed on 10 May 2023).
- Robert, M.A.; Rodrigues, H.S.; Herrera, D.; Campos, J.d.M.D.; Morilla, F.; Mejía, J.D.Á.M.; Guardado, E.; Skewes, R.; Colomé-Hidalgo, M. Spatiotemporal and meteorological relationships in dengue transmission in the Dominican Republic, 2015–2019. Trop. Med. Health 2023, 51, 32. [Google Scholar] [CrossRef] [PubMed]
Disclaimer/Publisher’s Note: The statements, opinions and data contained in all publications are solely those of the individual author(s) and contributor(s) and not of MDPI and/or the editor(s). MDPI and/or the editor(s) disclaim responsibility for any injury to people or property resulting from any ideas, methods, instructions or products referred to in the content. |
© 2024 by the authors. Licensee MDPI, Basel, Switzerland. This article is an open access article distributed under the terms and conditions of the Creative Commons Attribution (CC BY) license (https://creativecommons.org/licenses/by/4.0/).