Integrability and Dynamic Behavior of a Piezoelectro-Magnetic Circular Rod
Abstract
1. Introduction
2. Formulation of the Problem
- The deformation of the rod occurs in axial symmetry; this means that the circumferential displacement and .
- The following relationship between the longitudinal and radial displacements is valid [40]:where is Poisson’s ratio and , ; .
- The rod is assumed to be thin; therefore, the problem is considered one-dimensional. Accordingly, the extended tractions on the rod’s lateral boundary must vanish (). This leads towhere and are, respectively, the stress and strain tensors; and stand for the electric displacement and magnetic induction, respectively; and are, respectively, the electric and magnetic fields.
3. Painlevé Analysis
4. Bifurcation Analysis
- (a)
- Unbounded orbits’ family in pink, blue, and brown, respectively.
- (b)
- Two green orbits’ families . One of them is periodic around the center point Q and placed inside the homoclinic orbit in red, while the other one is unbounded and appears outside the homoclinic orbit in red.
- (a)
- A periodic solution if
- (b)
- A solitary solution if .
- (c)
- Otherwise, it is unbounded.
5. Solution Construction
- Case I:
- For , we consider the next different values of h:
- When , there are two orbit families in green for the system (19). A single orbit of this family intersects the axis at three points. Hence, the polynomial has three real roots, namely, with , i.e., it takes the form . The interval of real wave propagation is . Assuming , the integration of both sides of Equation (22) giveswhere denotes the first type of complete elliptic integrals [45]. This solution is periodic solution with period . From another side, if we consider , we assume , and consequently, the integration of both sides produces the solution
- When , the Hamilton system (19) has a homoclinic orbit in red, which connect the saddle point O to itself. Such orbits prove the existence of a solitary wave solution for Equation (8). For this case, the polynomial has one simple root while the other is double at the origin, i.e., it has the form . The intervals of real propagation are . There are two possible choices for real wave propagation. First, we assume , and consequently, the integration of both sides of Equation (22) gives the solutionwhich is the soliton solution for Equation (8).
- When , there are two unbounded orbit families for system (19) in blue and brown in addition to a single orbit in pink. All these orbits cut the axis at exactly one point. Therefore, the polynomial has one real root and two complex conjugate roots, namely, and , where refers to the complex conjugate. Hence, and the interval of real wave propagation is . We integrate Equation (22) along the interval of real wave propagation and obtainwhere .
- Case II:
- For the case , the solution of Equation (8) can be constructed according to the values of the parameter h.
- Case III:
- The two cases in which and provide the same solutions as in the two cases I and II but with different values of the roots of the polynomial .It can be demonstrated that the obtained solutions are consistent by studying their degeneracy through the transmission between phase orbits. Let us clarify the following:
- (a)
- If , the family of periodic orbits in green will be reduced to the homoclinic orbit in red, as illustrated by Figure 2a. Consequently, the periodic solution corresponding to this family will also degenerate to a solitary solution corresponding to the homoclinic orbit. Thus, we have and , and solution (26) becomeswhich is in agreement with solution (28).
- (b)
- On the other hand, when h tends to zero, the family of unbounded orbits in blue will reduce to the homoclinic orbit, and consequently, solution (29) must be transformed into solution (28). Let us outline that. When , we find and , and consequently, solution (29) becomeswhich is identical to solution (28).
6. Results and Discussion
- This solution is clarified by Figure 4a. Now, we study the effect of the wave velocity on the periodic solution (26) by allowing to take distinct values and the other parameters to be unchanged. It is obvious that, as the wave velocity grows, the amplitude of the periodic solution increases and the width of the solution decreases.
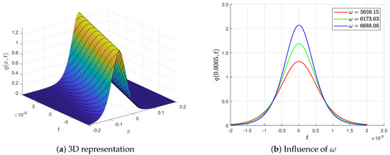
- Figure 5a illustrates the 3D representation of solution (36). Figure 5b outlines the effects of the wave velocity on solution (28) for different values of while the others remain fixed on the plane . It is obvious that the curves are symmetric about the line . The amplitude of the solution increases as the value of the wave velocity grows.
7. Conclusions
- (a)
- The bifurcation theory has enabled us to prove Theorem 3, which provided the constraints on the parameters classifying the types of the solutions before constructing them.
- (b)
- Determining the intervals of real solutions, which are sometimes named the intervals of real wave propagation, is significant because it implies that there are different types of solutions that are completely different from mathematical and physical points of view. For clarification, when , we have two solutions (26) and (29) that are periodic and unbounded. The two solutions are obtained with the same conditions on the parameters , and h but with different intervals of real solutions. Hence, the interval of real solutions is significant.
Author Contributions
Funding
Institutional Review Board Statement
Informed Consent Statement
Data Availability Statement
Conflicts of Interest
Appendix A
Appendix B
References
- Van Run, A.; Terrell, D.; Scholing, J. An in situ grown eutectic magnetoelectric composite material: Part 2 physical properties. J. Mater. Sci. 1974, 9, 1710–1714. [Google Scholar] [CrossRef]
- Boomgaard, J.v.d.; Van Run, A.; Van Suchtelen, J. Piezoelectric-piezomagnetic composites with magnetoelectric effect. Ferroelectrics 1976, 14, 727–728. [Google Scholar] [CrossRef]
- Wu, T.L.; Huang, J.H. Closed-form solutions for the magnetoelectric coupling coefficients in fibrous composites with piezoelectric and piezomagnetic phases. Int. J. Solids Struct. 2000, 37, 2981–3009. [Google Scholar] [CrossRef]
- Espinosa-Almeyda, Y.; Camacho-Montes, H.; Rodríguez-Ramos, R.; Guinovart-Díaz, R.; López-Realpozo, J.; Bravo-Castillero, J.; Sabina, F. Influence of imperfect interface and fiber distribution on the antiplane effective magneto-electro-elastic properties for fiber reinforced composites. Int. J. Solids Struct. 2017, 112, 155–168. [Google Scholar] [CrossRef]
- Sobhy, M. Magneto-electro-thermal bending of FG-graphene reinforced polymer doubly-curved shallow shells with piezoelectromagnetic faces. Compos. Struct. 2018, 203, 844–860. [Google Scholar] [CrossRef]
- Haghgoo, M.; Hassanzadeh-Aghdam, M.K.; Ansari, R. Effect of piezoelectric interphase on the effective magneto-electro-elastic properties of three-phase smart composites: A micromechanical study. Mech. Adv. Mater. Struct. 2019, 26, 1935–1950. [Google Scholar] [CrossRef]
- Hong, J.; Wang, S.; Qiu, X.; Zhang, G. Bending and Wave Propagation Analysis of Magneto-Electro-Elastic Functionally Graded Porous Microbeams. Crystals 2022, 12, 732. [Google Scholar] [CrossRef]
- Chaki, M.S.; Bravo-Castillero, J. A mathematical analysis of anti-plane surface wave in a magneto-electro-elastic layered structure with non-perfect and locally perturbed interface. Eur. J.-Mech.-A/Solids 2023, 97, 104820. [Google Scholar] [CrossRef]
- Li, L.; Lan, M.; Wei, P.; Zhang, Q. Classifications of surface waves in magneto-electro-elastic materials. Results Phys. 2023, 51, 106622. [Google Scholar] [CrossRef]
- Del Toro, R.; De Bellis, M.L.; Bacigalupo, A. High frequency multi-field continualization scheme for layered magneto-electro-elastic materials. Int. J. Solids Struct. 2023, 282, 112431. [Google Scholar] [CrossRef]
- Kuo, H.Y.; Yang, L.H.; Huang, P.C.; Pan, E. Wave characteristics in magneto-electro-elastic laminated composites with different layering directions. Acta Mech. 2023, 234, 4467–4485. [Google Scholar] [CrossRef]
- Chaki, M.S.; Bravo-Castillero, J. Dynamic asymptotic homogenization for wave propagation in magneto-electro-elastic laminated composite periodic structure. Compos. Struct. 2023, 322, 117410. [Google Scholar] [CrossRef]
- Sobhy, M.; Al Mukahal, F. Analysis of electromagnetic effects on vibration of functionally graded GPLs reinforced piezoelectromagnetic plates on an elastic substrate. Crystals 2022, 12, 487. [Google Scholar] [CrossRef]
- Sobhy, M.; Al Mukahal, F. Wave dispersion analysis of functionally graded GPLs-reinforced sandwich piezoelectromagnetic plates with a honeycomb core. Mathematics 2022, 10, 3207. [Google Scholar] [CrossRef]
- Zou, Z.; Guo, R. The Riemann–Hilbert approach for the higher-order Gerdjikov–Ivanov equation, soliton interactions and position shift. Commun. Nonlinear Sci. Numer. Simul. 2023, 124, 107316. [Google Scholar] [CrossRef]
- Shen, S.; Yang, Z.; Li, X.; Zhang, S. Periodic propagation of complex-valued hyperbolic-cosine-Gaussian solitons and breathers with complicated light field structure in strongly nonlocal nonlinear media. Commun. Nonlinear Sci. Numer. Simul. 2021, 103, 106005. [Google Scholar] [CrossRef]
- Li, X.L.; Guo, R. Interactions of Localized Wave Structures on Periodic Backgrounds for the Coupled Lakshmanan–Porsezian–Daniel Equations in Birefringent Optical Fibers. Ann. Phys. 2023, 535, 2200472. [Google Scholar] [CrossRef]
- Song, L.M.; Yang, Z.J.; Li, X.L.; Zhang, S.M. Coherent superposition propagation of Laguerre–Gaussian and Hermite–Gaussian solitons. Appl. Math. Lett. 2020, 102, 106114. [Google Scholar] [CrossRef]
- Jadaun, V.; Kumar, S. Lie symmetry analysis and invariant solutions of (3 + 1)-dimensional Calogero–Bogoyavlenskii–Schiff equation. Nonlinear Dyn. 2018, 93, 349–360. [Google Scholar] [CrossRef]
- Tu, J.M.; Tian, S.F.; Xu, M.J.; Zhang, T.T. On Lie symmetries, optimal systems and explicit solutions to the Kudryashov–Sinelshchikov equation. Appl. Math. Comput. 2016, 275, 345–352. [Google Scholar] [CrossRef]
- Taghizadeh, N.; Mirzazadeh, M.; Farahrooz, F. Exact solutions of the nonlinear Schrödinger equation by the first integral method. J. Math. Anal. Appl. 2011, 374, 549–553. [Google Scholar] [CrossRef]
- Elbrolosy, M.; Elmandouh, A. Bifurcation and new traveling wave solutions for (2 + 1)-dimensional nonlinear Nizhnik–Novikov–Veselov dynamical equation. Eur. Phys. J. Plus 2020, 135, 533. [Google Scholar] [CrossRef]
- Elmandouh, A.A.; Ibrahim, A.G. Bifurcation and travelling wave solutions for a (2 + 1)-dimensional KdV equation. J. Taibah Univ. Sci. 2020, 14, 139–147. [Google Scholar] [CrossRef]
- Elbrolosy, M.; Elmandouh, A. Dynamical behaviour of nondissipative double dispersive microstrain wave in the microstructured solids. Eur. Phys. J. Plus 2021, 136, 1–20. [Google Scholar] [CrossRef]
- Elmandouh, A.A.; Elbrolosy, M.E. New traveling wave solutions for Gilson–Pickering equation in plasma via bifurcation analysis and direct method. Math. Methods Appl. Sci. 2022. [Google Scholar] [CrossRef]
- Elmandouh, A.A.; Elbrolosy, M.E. Integrability, variational principal, bifurcation and new wave solutions for Ivancevic option pricing model. J. Math. 2022, 2, 3. [Google Scholar]
- Manukure, S.; Chowdhury, A.; Zhou, Y. Complexiton solutions to the asymmetric Nizhnik–Novikov–Veselov equation. Int. J. Mod. Phys. B 2019, 33, 1950098. [Google Scholar] [CrossRef]
- El-Dessoky, M.M.; Elmandouh, A.A. Qualitative analysis and wave propagation for Konopelchenko-Dubrovsky equation. Alex. Eng. J. 2023, 67, 525–535. [Google Scholar] [CrossRef]
- Weiss, J.; Tabor, M.; Carnevale, G. The Painlevé property for partial differential equations. J. Math. Phys. 1983, 24, 522–526. [Google Scholar] [CrossRef]
- Ablowitz, M.J.; Ramani, A.; Segur, H. A connection between nonlinear evolution equations and ordinary differential equations of P-type. II. J. Math. Phys. 1980, 21, 1006–1015. [Google Scholar] [CrossRef]
- Conte, R. Invariant Painlevé analysis of partial differential equations. Phys. Lett. A 1989, 140, 383–390. [Google Scholar] [CrossRef]
- Conte, R.; Fordy, A.P.; Pickering, A. A perturbative Painlevé approach to nonlinear differential equations. Phys. Nonlinear Phenom. 1993, 69, 33–58. [Google Scholar] [CrossRef]
- Estévez, P.; Conde, E.; Gordoa, P.R. Unified approach to Miura, Bäcklund and Darboux transformations for nonlinear partial differential equations. J. Nonlinear Math. Phys. 1998, 5, 82–114. [Google Scholar] [CrossRef]
- Jimbo, M.; Kruskal, M.; Miwa, T. Painlevé test for the self-dual Yang-Mills equation. Phys. Lett. A 1982, 92, 59–60. [Google Scholar] [CrossRef]
- Lou, S. Searching for higher dimensional integrable models from lower ones via Painlevé analysis. Phys. Rev. Lett. 1998, 80, 5027. [Google Scholar] [CrossRef]
- Hereman, W.; Göktaş, Ü.; Colagrosso, M.D.; Miller, A.J. Algorithmic integrability tests for nonlinear differential and lattice equations. Comput. Phys. Commun. 1998, 115, 428–446. [Google Scholar] [CrossRef][Green Version]
- Xu, G.; Li, Z. Symbolic computation of the Painlevé test for nonlinear partial differential equations using Maple. Comput. Phys. Commun. 2004, 161, 65–75. [Google Scholar] [CrossRef]
- Karasu, A. Painlevé classification of coupled Korteweg–de Vries systems. J. Math. Phys. 1997, 38, 3616–3622. [Google Scholar] [CrossRef]
- Sakovich, S.Y.; Tsuchida, T. Symmetrically coupled higher-order nonlinear Schrödinger equations: Singularity analysis and integrability. J. Phys. Math. Gen. 2000, 33, 7217. [Google Scholar] [CrossRef]
- Liu, Z.F.; Zhang, S.Y. Solitary waves in finite deformation elastic circular rod. Appl. Math. Mech. 2006, 27, 1255–1260. [Google Scholar] [CrossRef]
- Saha, A.; Banerjee, S. Dynamical Systems and Nonlinear Waves in Plasmas; CRC Press: Boca Raton, FL, USA, 2021. [Google Scholar]
- Goldstein, H.; Poole, C.P.; Safko, J.L. Classical Mechanics, 3rd ed.; Addison Wesley: Boston, MA, USA, 2000. [Google Scholar]
- Liang, S.; Zhang, J. A complete discrimination system for polynomials with complex coefficients and its automatic generation. Sci. China Ser. Technol. Sci. 1999, 42, 113–128. [Google Scholar] [CrossRef]
- Nemytskii, V.V.; Stepanov, V. Qualitative Theory of Differential Equations; Princeton University Press: Boston, MA, USA, 1960. [Google Scholar]
- Byrd, P.F.; Friedman, M.D. Handbook of Elliptic Integrals for Engineers and Scientists, 2nd ed.; Die Grundlehren der mathematischen Wissenschaften, Band 67; Springer-Verlag: New York, NY, USA; Heidelberg, Germany, 1971; p. xvi+358. [Google Scholar]
- Xue, C.; Pan, E.; Zhang, S. Solitary waves in a magneto-electro-elastic circular rod. Smart Mater. Struct. 2011, 20, 105010. [Google Scholar] [CrossRef]





| Coefficient | Value | Unit |
|---|---|---|
| 225 | GPa | |
| 125 | GPa | |
| 124 | GPa | |
| 216 | GPa | |
| 44 | GPa | |
| −2.2 | C/m | |
| 9.3 | C/m | |
| 290.2 | N A/m | |
| 350 | N A/m | |
| 5.64 | C N/m | |
| 6.35 | C N/m | |
| 0 | N s/(V C) | |
| 0 | N s/(V C) | |
| 2.97 | Ns/C | |
| 0.835 | Ns/C |
Disclaimer/Publisher’s Note: The statements, opinions and data contained in all publications are solely those of the individual author(s) and contributor(s) and not of MDPI and/or the editor(s). MDPI and/or the editor(s) disclaim responsibility for any injury to people or property resulting from any ideas, methods, instructions or products referred to in the content. |
© 2024 by the authors. Licensee MDPI, Basel, Switzerland. This article is an open access article distributed under the terms and conditions of the Creative Commons Attribution (CC BY) license (https://creativecommons.org/licenses/by/4.0/).
Share and Cite
Albalawi, S.M.; Elmandouh, A.A.; Sobhy, M. Integrability and Dynamic Behavior of a Piezoelectro-Magnetic Circular Rod. Mathematics 2024, 12, 236. https://doi.org/10.3390/math12020236
Albalawi SM, Elmandouh AA, Sobhy M. Integrability and Dynamic Behavior of a Piezoelectro-Magnetic Circular Rod. Mathematics. 2024; 12(2):236. https://doi.org/10.3390/math12020236
Chicago/Turabian StyleAlbalawi, Sarah M., Adel A. Elmandouh, and Mohammed Sobhy. 2024. "Integrability and Dynamic Behavior of a Piezoelectro-Magnetic Circular Rod" Mathematics 12, no. 2: 236. https://doi.org/10.3390/math12020236
APA StyleAlbalawi, S. M., Elmandouh, A. A., & Sobhy, M. (2024). Integrability and Dynamic Behavior of a Piezoelectro-Magnetic Circular Rod. Mathematics, 12(2), 236. https://doi.org/10.3390/math12020236

