MMCMOO: A Novel Multispectral Pansharpening Method
Abstract
1. Introduction
- (1)
- In traditional mathematical optimization methods, model parameters need to be adjusted manually, which is time-consuming and laborious, and it is easy to fall into local optimal solutions, which will lead to contrast distortion and aliasing of the fused image [25].
- (2)
- Although the single-objective intelligent optimization algorithm avoids manual parameter adjustment, due to the limitations of a single optimization objective, this kind of method cannot consider multiple factors and optimize multiple objectives at the same time, which will lead to imbalance between spectral information and spatial information, resulting in blurring, ghosting, flare and other phenomena in pansharpened images [26].
2. Multi-Objective Fusion Model
2.1. Multi-Objective Fusion Problem and Definition
2.2. NSGA-II Optimization
2.2.1. Coding Mode
2.2.2. The Population Initialization
2.2.3. Evolutionary Operator Design
- (1)
- Binary crossover operator
- (2)
- Polynomial mutation operator
- (3)
- Combinatorial differential evolution operator
| Algorithm 1: Solving the Optimal Pareto Solution |
| Input: , Pareto solution set Output: Step 1: is calculated and obtained by minimizing Z1 and Z2. Step 2: . Step 3: . Step 4: Calculate the perpendicular lines from all Pareto front solutions to connecting lines respectively, and record their distances. Step 5: . |
- (4)
- Local search operator
- (5)
- Non-dominated sorting and selection operators
- 1)
- Fast non-dominated sorting algorithm
| Algorithm 2: Fast Nondominated Sorting Algorithm |
| Step 1: Find the individuals with non-dominant solutions in the population, that is, all individuals with(s); |
| Step 2: is defined as the first-level non-dominated set, and each individual in is marked with the same non-dominated sequence . At the same time, for each individual i in ; |
| Step 3: The individuals obtained in are taken as the individuals of the first non-dominant layer, and is taken as the current set; |
| Step 4: until all individuals in the population are layered. |
- 2)
- Calculation of crowding degree and crowding distance
| Algorithm 3: Crowding degree and crowding distance |
| Step 1: ; |
| Step 2: : ①; ②; ③ is the last objective function value of the individual ranking. |
- 3)
- Elite retention strategy
| Algorithm 4: Elite Retention Strategy Algorithm |
| Step 1: ; |
| Step 2 according to the following rules: ① ; ② is full. |
2.3. MMCMOO Algorithm Framework
| Algorithm 5: Steps of the MMCMOO algorithm |
| Input: PAN image P, MS image M Step 1 (Upsampling): Upsampling M; Step 2 (Transform): IHS transform; Step 3 (Optimization): (0) = [rh(0)]Pop_Size; Step 3.2 (Regenerate): Through the improved crossover mutation operator and combined evolution operator, a new population PM(t) = [rmh(t)]Pop_Size is generated; Pop_Size; Step 3.4: Repeat steps 3.2–3.3; Step 4 (Output): Returns Pareto frontier solution set; Step 5 (Pansharpening): Pansharpening operation using IHS transform; Step 6 (Calculation of evaluation index): Calculate 6 evaluation index values and fuse images; Output: Fused image F, Evaluation index R. |
3. Experiment
3.1. Experimental Environment
3.2. Verification Process and Analysis
3.2.1. Comparison and Analysis of Multi-Source Data Experiments
- (1)
- Google Earth data
- (2)
- Pléiades data
3.2.2. Comparison and Analysis of Results Obtained from Simulated Data and Real Data
- (1)
- The spatial and spectral resolution of the test image is lower than that of the original image MS, and the original image MS is used as a reference;
- (2)
- No reference image is needed. Compare the difference between the test image and the pansharpened image directly. This method is easy to understand and can be implemented on small-scale data sets.
- 1)
- Simulation data verification
- a)
- The fused image obtained by the AIHS method can have good spatial quality, but there are some spectral distortions, such as the overall darkening of the image brightness in Figure 10c.
- b)
- Although the PCA method has good spatial details, it has serious spectral distortion, such as the dim images in Figure 10e, which is the most serious distortion among these methods.
- c)
- Although the wavelet method reduces the spectral distortion, it produces some aliasing artifacts, such as roads in Figure 10d.
- d)
- Compared with the AIHS method, the spectral resolution of the fused image obtained by EIHS is better, but the spatial quality still needs to be improved.
- e)
- The PAIHS method can well preserve the spectral information and spatial structure, but it also produces some ladder effects in smooth areas, such as the blue building area in Figure 10g and the yellow collapsed building area.
- 2)
- Verification of real data
- a)
- In Figure 11, it can be found that the wavelet and AIHS methods have some spectral distortion, such as the color of buildings has changed.
- b)
- c)
- There is no obvious spectral distortion and spatial distortion in EIHS and PAIHS methods. Overall, the fusion result is relatively good.
- d)
- Through careful comparison, it is not difficult to find that the fusion images obtained by MMCMOO are clearer and more colorful than those obtained by EIHS and PAIHS, and the fusion effect is better than that obtained by other methods in this paper.
3.3. Algorithm Efficiency Analysis
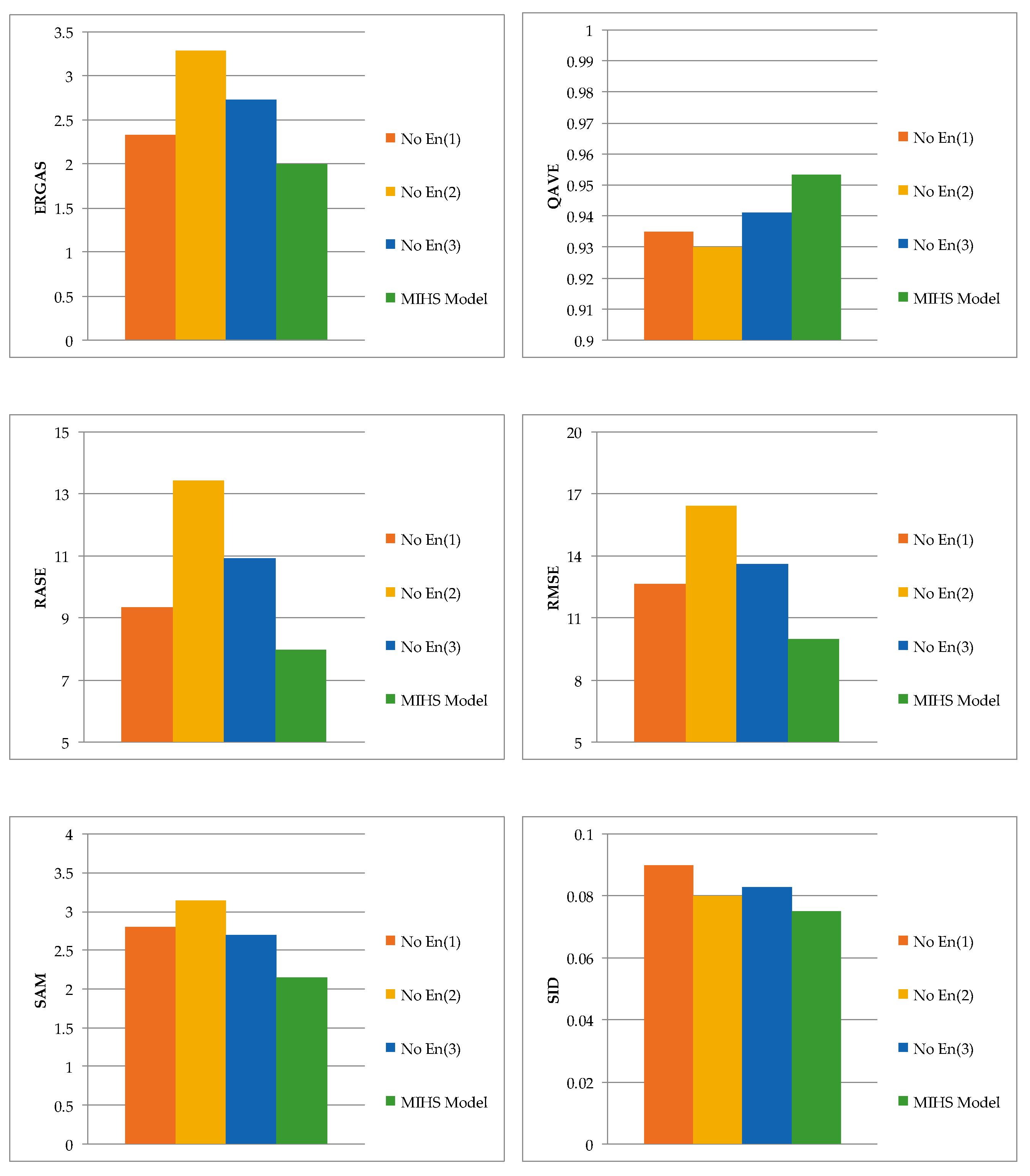
3.4. More Discussion
3.4.1. Model Influence
3.4.2. Ablation Experiment
4. Conclusions
Author Contributions
Funding
Data Availability Statement
Conflicts of Interest
References
- You, Y.; Wang, R.; Zhou, W. An Optimized Filtering Method of Massive Interferometric SAR Data for Urban Areas by Online Tensor Decomposition. Remote Sens. 2022, 12, 2582. [Google Scholar] [CrossRef]
- Chen, C.; Wang, L.; Zhang, Z.; Lu, C.; Chen, H.; Chen, J. Construction and application of quality evaluation index system for remote-sensing image fusion. J. Appl. Remote Sens. 2022, 16, 012006. [Google Scholar] [CrossRef]
- Zhong, S.; Zhang, Y.; Chen, Y.; Wu, D. Combining Component Substitution and Multiresolution Analysis: A Novel Generalized BDSD Pansharpening Algorithm. IEEE J. Sel. Top. Appl. Earth Obs. Remote Sens. 2017, 10, 2867–2875. [Google Scholar] [CrossRef]
- Liu, P. Pansharpening with transform-based gradient transferring model. IET Image Process. 2019, 13, 2614–2622. [Google Scholar] [CrossRef]
- Yunsong, L.; Jiahui, Q.; Wenqian, D. Hyperspectral Pansharpening via Improved PCA Approach and Optimal Weighted Fusion Strategy. Neurocomputing 2018, 315, 371–380. [Google Scholar]
- Abdolahpoor, A.; Kabiri, P. New texture-based pansharpening method using wavelet packet transform and PCA. Int. J. Wavelets Multiresolution Inf. Process. 2020, 18, 2050025. [Google Scholar] [CrossRef]
- Jin, C.; Deng, L.-J.; Huang, T.-Z.; Vivone, G. Laplacian pyramid networks: A new approach for multispectral pansharpening. Inf. Fusion 2022, 78, 158–170. [Google Scholar] [CrossRef]
- Wady, S.; Bentoutou, Y.; Bengermikh, A.; Bounoua, A.; Taleb, N. A new IHS and wavelet based pansharpening algorithm for high spatial resolution satellite imagery. Adv. Space Res. 2020, 66, 1507–1521. [Google Scholar] [CrossRef]
- Rahmani, S.; Strait, M.; Merkurjev, D. An adaptive IHS pan-sharpening method. IEEE Geosci. Remote Sens. Lett. 2010, 7, 746–750. [Google Scholar] [CrossRef]
- Yilmaz, S. Genetic algorithm-based synthetic variable ratio image fusion. Geocarto Int. 2021, 36, 9–12. [Google Scholar] [CrossRef]
- Wang, T.; Fang, F.; Li, F. High Quality Bayesian Pansharpening. IEEE Trans. Image Process. 2019, 28, 227–239. [Google Scholar] [CrossRef]
- Chen, Y.; Wang, T.; Fang, F.; Zhang, G. A pan-sharpening method based on the ADMM algorithm. Front. Earth Sci. 2019, 13, 656–667. [Google Scholar] [CrossRef]
- Yang, Y.; Lu, H.; Huang, S.; Fang, Y.; Tu, W. An efficient and high-quality pansharpening model based on conditional random fields. Inf. Sci. 2021, 553, 1–18. [Google Scholar] [CrossRef]
- Khateri, M.; Shabanzade, F.; Mirzapour, F. Regularised IHS-based pan-sharpening approach using spectral consistency constraint and total variation. IET Image Process. 2020, 14, 94–104. [Google Scholar] [CrossRef]
- Li, H.; Jing, L. Image fusion framework considering mixed pixels and its application to pansharpening methods based on multiresolution analysis. J. Appl. Remote Sens. 2020, 14, 038501. [Google Scholar] [CrossRef]
- Choi, J.; Park, H.; Seo, D. Pansharpening Using Guided Filtering to Improve the Spatial Clarity of VHR Satellite Imagery. Remote Sens. 2019, 11, 633. [Google Scholar] [CrossRef]
- Chen, Y.; Zhang, G. A Pan-Sharpening Method Based on Evolutionary Optimization and IHS Transformation. Math. Probl. Eng. 2017, 2017, 8269078. [Google Scholar] [CrossRef]
- Huang, W.; Zhang, Y.; Zhang, J.; Zheng, Y. Convolutional Neural Network for Pansharpening with Spatial Structure Enhancement Operator. Remote Sens. 2021, 13, 4062. [Google Scholar] [CrossRef]
- He, L.; Ye, H.; Xi, D.; Zhang, M. Tree-Structured Neural Network for Hyperspectral Pansharpening. IEEE J. Sel. Top. Appl. Earth Obs. Remote Sens. 2024, 17, 2516–2530. [Google Scholar] [CrossRef]
- Guarino, G.; Ciotola, M.; Vivone, G.; Scarpa, G. Band-Wise Hyperspectral Image Pansharpening Using CNN Model Propagation. IEEE Trans. Geosci. Remote Sens. 2024, 62, 1–18. [Google Scholar] [CrossRef]
- Azarang, A.; Kehtarnavaz, N. Application of deep learning models in nonlinear detail map prediction in pansharpening. J. Comput. Sci. 2021, 54, 101431. [Google Scholar] [CrossRef]
- Xie, G.; Nie, R.; Cao, J.; Li, H.; Li, J. A Deep Multiresolution Representation Framework for Pansharpening. IEEE Trans. Geosci. Remote Sens. 2024, 62, 1–16. [Google Scholar] [CrossRef]
- Zhang, J.; Ye, Y.; Fang, F.; Wang, T.; Zhang, G. DMCSC: Deep Multisource Convolutional Sparse Coding Model for Pansharpening. IEEE Trans. Geosci. Remote Sens. 2023, 61, 1–13. [Google Scholar] [CrossRef]
- Li, X.; Li, Y.; Shi, G.; Zhang, L.; Li, W.; Lei, D. Pansharpening Method Based on Deep Nonlocal Unfolding. IEEE Trans. Geosci. Remote Sens. 2023, 61, 1–11. [Google Scholar] [CrossRef]
- Addesso, P.; Conte, R.; Longo, M.; Restaino, R.; Vivone, G. A pansharpening algorithm based on genetic optimization of Morphological Filters. In Proceedings of the IEEE International Geoscience and Remote Sensing Symposium, Munich, Germany, 22–27 July 2012; pp. 5438–5441. [Google Scholar]
- Khademi, G.; Ghassemian, H. A multi-objective component-substitution-based pansharpening. In Proceedings of the 3rd International Conference on Pattern Recognition and Image Analysis (IPRIA), Shahrekord, Iran, 19–20 April 2017; pp. 248–252. [Google Scholar]
- Li, T.; Wang, Y. Biological image fusion using a NSCT based variable-weight method. Inf. Fusion 2011, 12, 85–92. [Google Scholar] [CrossRef]
- Bhatnagar, G.; Wu, Q.M.J.; Liu, Z. Directive Contrast Based Multimodal Medical Image Fusion in NSCT Domain. IEEE Trans. Multimedia 2014, 9, 1014–1024. [Google Scholar] [CrossRef]
- Xie, X.; Xu, Y. Multi-sensor image fusion algorithm based on multi-objective particle swarm optimization algorithm. In Proceedings of the LIDAR Imaging Detection and Target Recognition 2017 Society of Photo-Optical Instrumentation Engineers, Changchun, China, 23–25 July 2017. [Google Scholar]
- Meng, X.; Shen, H.; Li, H.; Zhang, L.; Fu, R. Review of the pansharpening methods for remote sensing images based on the idea of meta-analysis: Practical discussion and challenges. Inf. Fusion 2019, 46, 102–113. [Google Scholar] [CrossRef]
- Zhang, A.; Sun, G.; Wang, Z. Remote sensing imagery classification using multi-objective gravitational search algorithm. In Proceedings of the Image and Signal Processing for Remote Sensing XXII, Edinburgh, UK, 26–29 September 2016; p. 10004. [Google Scholar]
- Wu, X.; Feng, J.; Shang, R.; Zhang, X.; Jiao, L. Multiobjective Guided Divide-and-Conquer Network for Hyperspectral Pansharpening. IEEE Trans. Geosci. Remote Sens. 2022, 60, 1–17. [Google Scholar] [CrossRef]
- Su, X.; Li, J.; Hua, Z. DADR: Dual Attention Based Dual Regression Network for Remote Sensing Image Pan-Sharpening. IEEE J. Sel. Top. Appl. Earth Obs. Remote Sens. 2022, 15, 4397–4413. [Google Scholar] [CrossRef]
- Li, H.; Zhang, Q. Multiobjective Optimization Problems with Complicated Pareto Sets, MOEA/D and NSGA-II. IEEE Trans. Evol. Comput. 2009, 13, 284–302. [Google Scholar] [CrossRef]
- Lin, C.C.; Liu, W.Y.; Peng, Y.C.; Lee, T.K. Altruistic production and distribution planning in the multilayer dual-channel supply chain: Using an improved NSGA-II with lion pride algorithm. Comput. Ind. Eng. 2023, 176, 108884. [Google Scholar] [CrossRef]
- Xie, Y.; Tang, W.; Zhang, F.; Pan, B.; Yue, Y.; Feng, M. Optimization of Variable Blank Holder Force Based on a Sharing Niching RBF Neural Network and an Improved NSGA-II Algorithm. Int. J. Precis. Eng. Manuf. 2019, 20, 285–299. [Google Scholar] [CrossRef]
- Chen, Y.; Liu, C.; Zhou, A. A Multiobjective Pan-sharpening Method for Remote Sensing Images. In Proceedings of the 2019 IEEE Congress on Evolutionary Computation, Wellington, New Zealand, 10–13 June 2019. [Google Scholar]
- Scarpa, G.; Ciotola, M. Full-Resolution Quality Assessment for Pansharpening. Remote Sens. 2022, 14, 1808. [Google Scholar] [CrossRef]
- Masoudi, R.; Kabiri, P. New intensity-hue-saturation pan-sharpening method based on texture analysis and genetic algorithm-adaption. J. Appl. Remote Sens. 2014, 8, 083640. [Google Scholar] [CrossRef]
- Chen, Y.; Chen, Y.; Liu, C. Joint AIHS and particle swarm optimization for Pan-sharpening. Acta Geod. Cartogr. Sin. 2019, 48, 1296–1304. [Google Scholar]
















| ERGAS | QAVE | RASE | RMSE | SAM | SID | ||
|---|---|---|---|---|---|---|---|
| Reference Value | 0 | 1 | 0 | 0 | 0 | 0 | |
| Figure 8 | AIHS | 4.1293 | 0.9410 | 16.4973 | 25.4539 | 2.3498 | 0.1313 |
| Wavelet | 4.1358 | 0.8050 | 16.5123 | 25.4772 | 3.9679 | 0.1441 | |
| PCA | 5.8106 | 0.8514 | 23.3085 | 35.9630 | 3.0627 | 0.1418 | |
| EIHS1 (1000) | 4.0197 | 0.9426 | 16.0363 | 24.7427 | 2.2802 | 0.1287 | |
| EIHS2 (5000) | 3.8880 | 0.9465 | 15.5056 | 23.9238 | 2.1764 | 0.1214 | |
| EIHS3 (10,000) | 2.1211 | 0.9634 | 8.4647 | 13.0603 | 1.6253 | 0.1125 | |
| PAIHS | 1.4040 | 0.9468 | 5.6097 | 8.6552 | 2.8472 | 0.1041 | |
| MMCMOO | 0.8983 | 0.9794 | 3.5899 | 5.0544 | 0.8721 | 0.1469 | |
| ERGAS | QAVE | RASE | RMSE | SAM | SID | ||
|---|---|---|---|---|---|---|---|
| Reference Value | 0 | 1 | 0 | 0 | 0 | 0 | |
| Figure 9 | AIHS | 8.3631 | 0.9246 | 33.3907 | 22.9081 | 2.6158 | 0.0697 |
| Wavelet | 7.9938 | 0.9163 | 31.8892 | 21.8780 | 3.7401 | 0.0696 | |
| PCA | 12.0097 | 0.8552 | 47.8852 | 32.852 | 3.8125 | 0.0643 | |
| EIHS1 (1000) | 4.9393 | 0.9466 | 19.7056 | 13.5193 | 2.2462 | 0.0480 | |
| EIHS2 (5000) | 4.9020 | 0.9488 | 19.5648 | 13.4227 | 2.0716 | 0.056 | |
| EIHS3 (10,000) | 3.2076 | 0.9470 | 12.7992 | 8.7810 | 2.3369 | 0.0388 | |
| PAIHS1 (100) | 2.8285 | 0.9515 | 11.2728 | 7.7339 | 2.1948 | 0.0452 | |
| PAIHS5 (300) | 2.9351 | 0.9497 | 11.6978 | 8.0254 | 2.3005 | 0.0491 | |
| PAIHS6 (500) | 2.9351 | 0.9497 | 11.6978 | 8.0254 | 2.3005 | 0.0491 | |
| MMCMOO | 1.7718 | 0.9635 | 7.0693 | 4.8500 | 1.5149 | 0.0319 | |
| ERGAS | QAVE | RASE | RMSE | SAM | SID | ||
|---|---|---|---|---|---|---|---|
| Reference Value | 0 | 1 | 0 | 0 | 0 | 0 | |
| Figure 10 | AIHS | 3.9224 | 0.95191 | 15.6166 | 23.9507 | 2.7416 | 0.08410 |
| Wavelet | 3.7478 | 0.85830 | 14.9068 | 22.8621 | 4.2613 | 0.0993 | |
| PCA | 4.6546 | 0.91414 | 18.6862 | 28.6585 | 2.5035 | 0.0873 | |
| EIHS | 2.4843 | 0.96839 | 9.8839 | 15.1586 | 1.9190 | 0.0670 | |
| PAIHS | 2.1789 | 0.96988 | 8.6727 | 13.3010 | 1.8901 | 0.0695 | |
| MMCMOO | 1.7400 | 0.97513 | 6.9235 | 10.6184 | 1.6184 | 0.0611 | |
| ERGAS | QAVE | RASE | RMSE | SAM | SID | ||
|---|---|---|---|---|---|---|---|
| Reference Value | 0 | 1 | 0 | 0 | 0 | 0 | |
| Figure 11 | AIHS | 4.1293 | 0.94097 | 16.4973 | 25.4539 | 2.3498 | 0.13125 |
| Wavelet | 4.1358 | 0.80501 | 16.5123 | 25.4772 | 3.9679 | 0.14411 | |
| PCA | 5.8106 | 0.85143 | 23.3085 | 35.9630 | 3.0627 | 0.14183 | |
| EIHS | 3.8880 | 0.94651 | 15.5056 | 23.9238 | 2.1764 | 0.12140 | |
| PAIHS | 1.4040 | 0.94678 | 5.6097 | 8.6552 | 2.8472 | 0.10405 | |
| MMCMOO | 0.9320 | 0.97462 | 3.7205 | 5.7404 | 1.0968 | 0.09875 | |
| ERGAS | QAVE | RASE | RMSE | SAM | SID | ||
|---|---|---|---|---|---|---|---|
| Reference Value | 0 | 1 | 0 | 0 | 0 | 0 | |
| Figure 12 | AIHS | 3.2720 | 0.93385 | 13.0914 | 16.3520 | 3.1089 | 0.089752 |
| Wavelet | 3.2293 | 0.86038 | 12.8932 | 16.1044 | 5.0228 | 0.084185 | |
| PCA | 6.5749 | 0.83364 | 26.3658 | 32.9326 | 3.7781 | 0.086307 | |
| EIHS | 2.7306 | 0.94131 | 10.9116 | 13.6293 | 2.6999 | 0.083147 | |
| PAIHS | 2.1474 | 0.94707 | 8.5740 | 10.7095 | 2.5835 | 0.081710 | |
| MMCMOO | 1.9968 | 0.95330 | 7.9779 | 9.9649 | 2.1563 | 0.075920 | |
| Method | Time |
|---|---|
| AIHS | 0.0528 |
| Wavelet | 0.0172 |
| PCA | 0.0071 |
| EIHS | 88.4305 |
| PAIHS | 2024.9153 |
| MMCMOO | 8983.5701 |
Disclaimer/Publisher’s Note: The statements, opinions and data contained in all publications are solely those of the individual author(s) and contributor(s) and not of MDPI and/or the editor(s). MDPI and/or the editor(s) disclaim responsibility for any injury to people or property resulting from any ideas, methods, instructions or products referred to in the content. |
© 2024 by the authors. Licensee MDPI, Basel, Switzerland. This article is an open access article distributed under the terms and conditions of the Creative Commons Attribution (CC BY) license (https://creativecommons.org/licenses/by/4.0/).
Share and Cite
Chen, Y.; Xu, Y. MMCMOO: A Novel Multispectral Pansharpening Method. Mathematics 2024, 12, 2255. https://doi.org/10.3390/math12142255
Chen Y, Xu Y. MMCMOO: A Novel Multispectral Pansharpening Method. Mathematics. 2024; 12(14):2255. https://doi.org/10.3390/math12142255
Chicago/Turabian StyleChen, Yingxia, and Yingying Xu. 2024. "MMCMOO: A Novel Multispectral Pansharpening Method" Mathematics 12, no. 14: 2255. https://doi.org/10.3390/math12142255
APA StyleChen, Y., & Xu, Y. (2024). MMCMOO: A Novel Multispectral Pansharpening Method. Mathematics, 12(14), 2255. https://doi.org/10.3390/math12142255

