Abstract
An anisotropic foundation pit steady-state seepage field under a suspended waterproof curtain support considering the position of the free surface is studied analytically, and an analytical solution for the free surface position is given. The head distribution in the three zones is expressed as a series solution using the separation of variables method, and the explicit solution for the extent of the seepage field in each zone is obtained by combining the continuity condition between zones and the series orthogonality condition. The free surface position is determined according to the condition that the total head of the free surface is equal to the position head. A comparison of the calculation results of the analytical method and the indoor test and finite element analysis results verifies the correctness of the analytical solution, and the analytical method has more calculation efficiency than the finite element numerical method. Employing the aforementioned methods to analyze the influence parameters of the free surface position, the results show that drawdown increases as the ratio of the vertical permeability coefficient to the horizontal permeability coefficient increases; the greater the ratio of pit width to depth, the more significant the drawdown, but when the ratio continues to exceed 1.5, the drawdown is negligible.
Keywords:
foundation pit; waterproof curtain; seepage anisotropy; free surface; two-dimensional steady-state seepage; analytical solution MSC:
76S05
1. Introduction
Pit excavation can lead to groundwater redistribution, and changes in water pressure caused by improper groundwater treatment can lead to a series of hydrological accidents. Due to the change in the head difference between inside and outside the pit, the groundwater near the pit excavation area undergoes intense flow, which will adversely affect the stability of the soil around the pit []. Waterproof curtains are widely used in foundation pit engineering. Since naturally deposited soils exhibit seepage anisotropy during groundwater seepage, it is necessary to study the seepage anisotropy of soils under the support of waterproof curtains considering the free surface position. Currently, most of the solutions to pit seepage problems are based on fixed-head pit models or pressurized water models with head recharge in the vicinity of the pit [,,,], while less research has been carried out on pit models that consider a free surface with water recharge only at an infinite distance, and the key to such problems lies in the determination of the free surface position.
A free surface or water table is the interface between the saturated and unsaturated zone in aquifers and hydrotechnic constructions (dams, embankments, liners, to name few). A common approach to studying seepage modeling is to control the head through the Laplace equation. For pit models where free boundaries exist, it is very difficult to determine the free surface position using conventional methods. Common methods used by scholars to study free surfaces include numerical, experimental, and analytical methods. The numerical methods have been used to solve the subsurface seepage field problem of foundation pits. Commonly used methods include the boundary element method [], finite element method [,,,], and mesh analysis method []. The above methods usually introduce penalty functions or kinematic boundary conditions or make assumptions regarding the boundary conditions based on the variational principle. Then, the grid is divided, and the seepage field is solved iteratively. Most of these methods need to be solved in this manner. Some scholars determined the actual free surface position through experiments, and Zhang [] designed an indoor test system to simulate the steady-state groundwater seepage in a foundation pit and derived the groundwater seepage field law in accordance with the foundation pit engineering conditions. Zhang Qinxi et al. [] designed an indoor groundwater seepage model experiment to study the effect of curtain insertion depth on parameters such as the amount of water surging from the foundation pit. Experimental methods are often costly and time-consuming, making them difficult to implement in large field projects.
Compared with numerical methods, an analytical method can directly represent the head situation at each point of the seepage field in the form of a function, which is intuitive and easy to study. Alawi [] generalized Outman’s extended Dupuit–Forchheimer free surface flow formulation and used it to calculate the head of vertically stratified porous media for a dam model. Sun [] applied Boussinesq’s basic differential equation and nonconstant seepage boundary conditions to derive a formula for calculating the free surface level at a reservoir when there is a water level drop. This researcher obtained a simplified formula for engineering applications using polynomial fitting and used this formula for stability analysis of a classic landslide case in the Three Gorges reservoir area. Zheng, Shi and Kong [] obtained a simplified formula for the free surface position within the slope of a reservoir when the water level dropped based on the Boussinesq differential equation for unsteady seepage by the positive and inverse Laplace transformations. This scholar used the simplified formula to determine the hydrostatic pressure at the boundary of the soil strip. Most of the above analytical methods are used to simplify the differential equations by making assumptions, and then the analytical solutions or simplified solutions of the water-head position equations are obtained by methods such as conformal mapping or positive and inverse Laplace transformations.
In this paper, a two-dimensional seepage model is developed for half of a symmetric homogeneous seepage anisotropic rectangular pit. The seepage field around the pit is divided into three zones, and the anisotropic soil seepage control equation is transformed into the form of Laplace’s equation by means of coordinate transformation. The water-head distribution of the three zones is represented in the form of a series solution by using the separation of variables method. Then, the explicit solution of the steady-state seepage field of the pit is solved according to the boundary continuity condition and the series orthogonality condition between zones. Based on the analytical solution, the calculation method of the steady-state free surface position of seepage anisotropic soil is proposed. We compare the solution of the analytic method, the experimental results, the results of the finite element method, and the finite difference method for free surface position calculations under different water-head position difference conditions. To verify the correctness of the analytical solution, the water-head position calculation results of the analytical solution are compared with the indoor test results and the calculation results of the finite element software PLAXIS v8.5 (Delft University of Technology, Delft, The Netherlands). Finally, the influence of anisotropy, the ratio of water-head position inside and outside the pit, the ratio of the half-width of the pit, and the difference of water-head position inside and outside the pit on the position of the free surface and the influence of the ratio of the drop height of the free surface to the initial thickness of the aquifer on the accuracy of the calculation results are analyzed by the analytical solution method. The method can be extended to the study of seepage fields in stratified land layers, and the relevant conclusions are beneficial for practical engineering.
2. Computational Model and Basic Assumptions
The extent of the seepage field at the interface parallel to the width of a narrow pit, whose length is much greater than its width, can be approximated by a plane seepage model []. According to the symmetry of the seepage of the pit, half of the cross-section of the pit is taken for analysis. In order to simplify the calculation, the centerline of the waterproof curtain was taken as the axis to establish the two-dimensional seepage model of the foundation pit. The size of the model is shown in Figure 1.

Figure 1.
Two-dimensional seepage model for foundation pit.
It is assumed that the soil in the upper part of the confining stratum is homogeneous, the seepage is anisotropic, and the horizontal permeability coefficient is kh. The vertical permeability coefficient is kv. The suspended waterproof curtain is impermeable, the confining stratum is below the pit model, and the bottom of the pit is the fixed water head h2. The right side of the model can be regarded as an impermeable boundary due to the symmetry of the pit. The free surface is above the area on the left side of the waterproof curtain. The infinite distal water level on the outside of the foundation pit is h1, and the inner water level is h2. The water-head difference between the inside and outside of the pit is Δh. Drawdown of the water head of width b is Δ. Half-width of pit is c. The distance from the bottom of the waterproof curtain to the confining stratum is a, and the depth of waterproof curtain insertion into the pit is d.
It is assumed that the soil satisfies Darcy’s law, i.e., the two-dimensional seepage in the pit satisfies the basic equation for steady-state seepage. Due to the inconsistency of the upper and lower boundary conditions of the waterproof curtain, the solution cannot be directly determined by the separation of variables method in the entire zone. The pit is divided into three areas according to the plane where the waterproof curtain is located and the bottom of the waterproof curtain, as shown in Figure 1. The boundary in each zone is uniformly continuous and can be solved separately by the separation of variables method. The water-head equation for each zone satisfies the following equation:
where Hi is the total water-head function of the seepage field in region i. Since the upper boundary of area ① is the phreatic surface boundary, which is a special boundary with an uncertain location, based on seepage theory [], it is known that the phreatic surface conditions in anisotropic soil conditions are as follows:
where W is the upper supplemental water volume, and μd is the effective aquifer recharge degree.
Since Equation (3) is a nonlinear equation, it is very difficult to satisfy Equations (2) and (3) at the same time. Considering two-dimensional anisotropic pit steady-state seepage without upper recharge, , W is zero, ignoring the higher-order terms in the solution. The free surface descent height ∆ is generally smaller than the initial thickness of the aquifer [], which can be approximated by satisfying the following equation at z = h1:
Based on assumptions, the boundary conditions of the two-dimensional seepage model of the foundation pit are as follows:
The boundary conditions of zone ① are as follows: upper boundary is impermeable in the z-direction, (z = h1); left boundary maintains a constant head h1, H1 = h1 (x = −b); and right boundary is impermeable in the x-direction, (x = 0).
The boundary conditions of zone ② are as follows: upper boundary maintains a constant head h2, H2 = h2 (z = h2); right boundary is impermeable in the x-direction, (x = c); and left boundary is impermeable in the x-direction, (x = 0).
The boundary conditions of zone ③ are as follows: lower boundary is impermeable in the z-direction, (z = 0); right boundary is impermeable in the x-direction, (x = c); and left boundary maintains a constant head h1, H3 = h1 (x = −b).
The continuity conditions for zone ① and zone ③ are as follows:
The continuity conditions for zone ② and zone ③ are as follows:
3. Analytical Solution
Equation (1) is transformed to:
where α is the ratio of kv to kh.
The seepage control Equation (7) in the x-y coordinate system is transformed by Equation (8) into Equation (9) in the u-v coordinate system to be solved using the separation of variables method [].
According to the boundary conditions after coordinate transformation in each zone, the total water head is written in the form of a sum of progressions using the separation of variables method for each of the three zones.
For zone ① of the total water head, by Equation (9), using the separation of variables method combined with the boundary conditions, the water head H1 is set by the separation variable form solution:
Combining Equations (9) and (10), we obtain the following:
where λ is the separation constant. From Equation (11), we obtain:
Combining the boundary conditions after the transformation of zone ①, when λ ≠ 0 and λ = 0, the solutions of Equation (12) are:
where An is the parameter to be found in the water-head solution, .
Integrating Equations (13) and (14) yields the general solution of the series form of the water-head distribution in zone ①:
Similarly, combining the respective boundary conditions, the form of the water-head solution for zones ② and ③ can be obtained as shown in the following equation:
where B10 and Bm are the parameters to be found in the water-head solution, .
where Ci are the parameters to be found in the water-head solution, .
The coordinate transformation of Equations (15)–(17) by Equation (8) yields the water-head solution for each zone in the x-y coordinate system:
According to the continuity condition at the boundary Equations (5) and (6), we obtain:
The constant term B10 is determined by integrating Equation (22) from 0 to c:
Multiplying both sides of the two equations in Equation (22) by cosχnx and cosγmx and integrating over (−b,0) and (0,c):
Multiplying both sides of the two equations in Equation (21) by cosηi(x − c) and integrating over (−b,c):
To solve for the above parameters, the number of series in the formula is infinite. To solve for the unknown terms, the series need to be truncated at N. Assuming that each water-head equation is taken before the N terms, for Equations (23)–(26), Matlab2017a (MathWork Inc., Natick, MA, USA) is used to solve the matrix to find unknown terms B10, An, Bm, and Ci. When the series term is truncated at N, the number of unknown variables and equations are both 3N + 1.
B10, An, Bm, and Ci are inserted into the water-head equation, and Equations (18)–(20) can be derived from the total water-head distribution inside and outside the pit.
The free surface can be determined from Equation (2), i.e.,
Equation (27) is the implicit equation, which can be programmed iteratively to find the corresponding z, which is the value of the free surface coordinates. The free surface can be obtained by plotting each coordinate as a curve.
According to Darcy’s law, the base pit excavation surface of the influx of water Q calculation formula is as follows:
where Q is the amount of water surge (m3/s); S is the area of the seepage cross-section (m2); vq is the seepage rate (m/s); and i is the hydraulic gradient.
The hydraulic gradient i at any point of the seepage surface of the pit can be obtained by Equation (19) as follows:
Based on the symmetry of the pit, the seepage rate is also symmetrical about the central axis, so the base of the influx of water Q calculation formula is:
where w is the width of the pit.
The amount of water seepage per unit time in the pit can be calculated by Equation (30).
4. Analysis Solution Verification
To verify the correctness of the analytical solution, this section is divided into three aspects of the analysis: seepage field water head, free surface, and water inflow. The calculated results of the analytical solution are compared with indoor test results and finite element software results. Taking α as 0.47 in the seepage field water-head verification, the free surface and pit water inflow verification degraded to an isotropic model in which α was 1 for verification.
4.1. Comparison and Verification of Analytical Solutions for the Water Head
The calculation model is shown in Figure 1, and the pit parameters are taken according to the parameters of the indoor test [], as shown in Table 1, and the water-head difference Δh is 0.8 m. The results of the analytical calculations are compared with the results of indoor experiments and finite element software PLAXIS calculations. The determination of the number of infinite series expansions N must satisfy the requirements of smoothness of the contact surface of the zone, accuracy, and computational efficiency at the same time. After trial calculations, when N ≥ 50, the maximum error of the seepage field water head is less than 0.4%, and the results meet the above requirements. The following calculations are taken as N = 50. When N = 50, the program calculation speed is very fast, with a commonly used office computer requiring only a few seconds to obtain the results. Compared with numerical methods such as a finite element calculation, this method is more efficient, and uses a two-dimensional plane model, i.e., a PLAXIS model, based on Figure 1 and the modeling data in Table 1. The comparison of the results is shown in Figure 2. A 15-node triangular cell is used for grid encryption, with the results exhibited in Figure 2. The calculation results of the seepage field are in good agreement with the indoor test and finite element software results, which verifies the accuracy of this method.

Table 1.
Indoor test model [] parameter selection.

Figure 2.
The solution of the analytic method is compared with the solution of the foundation pit seepage model experiment and the solution of the finite element software water head H [].
4.2. Comparison and Verification of the Analytical Solutions for Free Surfaces
The calculation model is shown in Figure 1, and the pit parameters are taken according to the indoor test [], i.e., parameters a = 0.4 m, b = 1.5 m, c = 0.8 m, h2 = 0.9 m, and kv/kh = 1. The free surfaces at four different water-head differences of Δh = 0.2 m, Δh = 0.4 m, Δh = 0.6 m, and Δh = 0.8 m are calculated, and the calculated results are compared with the results of indoor tests [], finite element software PLAXIS calculations, and finite difference method [] calculations. The calculation method of the solution and PLAXIS model settings are the same as those in Section 4.1, the parameters of the finite difference model are selected as in Table 1, and the comparison results are shown in Figure 3. The free surface calculation results solved by using the analytic method are in good agreement with the indoor test, finite element software, and finite difference results, indicating that the calculation results are accurate.

Figure 3.
Comparison of the free surface with different water head [].
The calculation model is shown in Figure 1, and the pit parameters are taken according to numerical model [], i.e., parameters b = 99 m, c = 21 m, h1 = 21 m, h2 = 12 m, and kv/kh = 1. The depth of insertion of the water-stop curtain is taken as 9 m and 12 m for calculation, respectively. The results of the analytical calculations are shown in Figure 4, and the results of the comparison with finite elements are shown in the Table 2.

Figure 4.
Analytical calculations of the free surface with different insertion depth of curtain.

Table 2.
The results of the comparison with finite elements.
The comparison shows a small error between the analytical and numerical solutions. The research indicates that in Zhu’s numerical model [], the water level within the foundation pit is managed through the use of dewatering wells. Due to the proximity of these wells to the cutoff wall, a drawdown funnel is formed at the dewatering wells inside the pit. This contrasts with the constant water-head condition at the bottom of the pit in the model discussed in this paper. It is hypothesized that the computational error stems from this difference.
4.3. Comparison and Verification of the Analytical Solutions for Pit Water Inflow
Taking Zhang’s [] suspended water-stop indoor model experiment as an example, the experimental model box is made of 19 mm thick tempered glass, and the size (length, width, and height) is 3 m × 0.7 m × 1.5 m. The right side of the excavated part of the soil is used to simulate the inside of the pit, and the pit size (length, width, and height) is 0.7 m × 0.5 m × 0.5 m. The model is abstracted as a two-dimensional pit, taking the symmetry axis side into consideration. The calculation model is shown in Figure 1. The model parameters are selected according to Table 3, without special instructions.

Table 3.
Zhang’s [] suspended water-stop indoor model [] parameter selection.
Referring to the boundary conditions of the model in Figure 1, the calculation parameters are taken according to the parameters of the indoor test, and the insertion depth d of the curtain is set at 70 cm, 80 cm, 90 cm, 100 cm, and 110 cm to calculate the amount of water influx in the pit. The analytical solution results are compared with the experimental results, and the results are shown in Figure 5.

Figure 5.
Comparison chart of water inflow at different curtain insertion depths [].
Figure 5 shows the analytical solution of the equation calculated by the pit surge and the experimental results of the maximum relative error of only 8.6%. Although the experimental model size is small and there are boundary effects and size effects brought about by error, the results are considered to be in good agreement. Foundation pit water inflow with the curtain insertion depth increases and decreases, and the solution can effectively guide the processing of foundation excavation project seepage problems.
5. Parameter Analysis
In the foundation pit project, the stability of the pit is studied, the location of the free surface is determined, the infiltration force and the influx of water and a series of other factors are calculated, and the position of the free surface is determined, which is a core task. This section analyses the influence of α (ratio of vertical permeability coefficient to horizontal permeability coefficient), h2/h1, and c/(h1 − h2) on the location of the free surface and the influence of ∆/h1 (ratio of the height of the free surface drop to the initial thickness of the aquifer) on the calculation accuracy.
5.1. Analysis of the Influence of α (Ratio of the Vertical Permeability Coefficient to the Horizontal Permeability Coefficient) on the Position of the Free Surface
After trial calculations, when b is more than 100 m, the water head can be regarded as a constant. At this time, to meet the assumption of a constant water head at infinity, the calculations take b as 100 m for analysis.
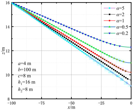
The calculation model is shown in Figure 1, and the pit parameters are taken as follows: a = 4 m, b = 100 m, c = 8 m, h1 = 16 m, and h2 = 8 m. The free surface positions are calculated when α is 0.2, 0.5, 1, 2, and 5. The calculation results are shown in Figure 6.

Figure 6.
Influence of α on the free surface.
The analysis of Figure 6 reveals that the depth of the free surface decreases with an increasing ratio of the vertical permeability coefficient to the horizontal permeability coefficient α. Under the pit parameters used in this paper, when α = 1/5, the free surface drop height ∆ is only 0.224 m, accounting for only 1.4% of the permeable layer height. When α = 1, ∆ is 1.728 m, accounting for 10.8% of the permeable layer height, and when α = 5, ∆ is 3.768 m, accounting for 23.55% of the permeable layer thickness. Combined with Equation (27), it can be seen that the location of the free surface is not related to the specific value of the permeability coefficient but only to α, and α has a more significant effect on groundwater seepage.
5.2. Influence of h2/h1 on the Position of the Free Surface
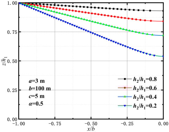
The calculation model is shown in Figure 1. The model parameters a = 3 m, b = 100 m, c = 5 m, α = 0.5, and h2/h1 are taken as 0.2, 0.4, 0.6, and 0.8, respectively. The relationship between the position of the free surface and h2/h1 is investigated, and the calculation results are shown in Figure 7.

Figure 7.
Influence of h2/h1 on the free surface.
Analysis of Figure 7 shows that the smaller h2/h1 is, the lower the free surface position is. In the process of decreasing h2/h1 from 0.8 to 0.2 by 0.2, ∆/h1 is 0.07, 0.16, 0.282, and 0.461. When the water-head difference inside and outside the pit increases linearly, the decline rate of the free surface position (the ratio of the height of the free surface decline to the thickness of the permeable layer h1) is 9%, 12.2%, and 17.9%, and the decline rate of the free surface gradually increases. The above results show that increasing the water-head difference has a significant effect on the free surface position, and the larger the absolute value of the water-head difference is, the more obvious the effect.
5.3. Influence of c/(h1 − h2) on the Position of the Free Surface
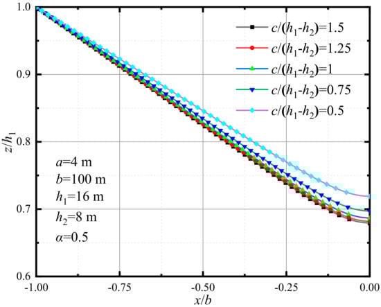
The calculation model is shown in Figure 1, and the model parameters are a = 4 m, b = 100 m, h1 = 16 m, h2 = 8 m, α = 0.5, and the c/(h1 − h2) values are 0.5, 0.75, 1, 1.25, and 1.5. The relationship between the free surface position and c/(h1 − h2) is studied, and the calculation results are shown in Figure 8.

Figure 8.
Influence of c/(h1 − h2) on the free surface.
Analysis of Figure 8 shows that the larger c/(h1 − h2) is, the lower the free surface position, corresponding to the larger pit size, and the lower free surface position. When c/(h1 − h2) increases from 0.5 to 0.75, the free surface decreases by 0.352 m and when c/(h1 − h2) increases from 1.25 to 1.5, the free surface decreases by only 0.04 m. When c/(h1 − h2) reaches 1.5, the pit size increases by 2 m, and the free surface position decreases by less than 0.25%, so the effect of pit size on the free surface can basically be ignored.
5.4. Influence of ∆/h1 (Ratio of Free Surface Descent Height to Initial Aquifer Thickness) on Calculation Accuracy
The free surface under anisotropic soil conditions satisfies Equations (2) and (3) and, in this paper, Equation (3) is simplified when the free surface drop height ∆ is compared with the initial thickness of aquifer h1. In addition, the free surface equation is obtained based on the simplification of Equation (4). In this section, the influence of the ratio of the free surface drop height ∆ to the initial aquifer thickness h1 on the accuracy of the calculation is analyzed.
In the case of a constant water-head difference, the ratio of the water-head drop ∆ to h1 is changed by changing the width of the lower overwater section a. The analytical method is used for trial calculations, and the results are compared with the finite element results. The trial model is shown in Figure 1, the model parameters are selected as in Table 4, and the trial results are shown in Table 5.

Table 4.
Model parameter selection.

Table 5.
Comparison of the experimental results.
The following table shows the values of the validation model parameters.
The comparison results are as follows in Table 5.
According to the calculation results, it can be seen that the smaller the ∆/h1 is, the higher the calculation accuracy of the method, but even if ∆/h1 is more than 1/3, the maximum relative error with the finite element calculation results is only 6.56%, which is completely acceptable in practical engineering applications. This indicates that the method can obtain more accurate results when the ratio of the water-head drop to the initial thickness of the aquifer is less than 1/3.
6. Conclusions
We use symmetry to take half of a pit and divide the seepage field of the groundwater steady-state pit into three zones. Using the separation of variables method, combined with boundary continuity conditions and free surface assumptions, Fourier level orthogonality is employed to construct a nonsimultaneous linear equation system to solve, and the analytical solution of the homogeneous anisotropic soil pit seepage field is obtained. According to the analytical solution, the water-head equation combined with the total water head of the free surface, which is equal to the condition of the position of the water head, is utilized to calculate the free surface position equation and the amount of water influx in the pit. In addition, a comparison of the calculation results with the experimental results, finite element numerical results, etc., is conducted, and the following conclusions are obtained:
- (1)
- The water-head results and free surface positions calculated by the analytical method are in good agreement with the finite element software calculation results and experimental data results, which verifies the correctness of the analytical solution.
- (2)
- The location of the free surface is not related to the specific value of the permeability coefficient but only to the ratio of the vertical permeability coefficient to the horizontal permeability coefficient α, and α has a more significant effect on groundwater seepage. The location of the free surface decreases with increasing α.
- (3)
- With decreasing h2/h1, the relative position of the free surface gradually decreases, and the rate of decrease gradually accelerates. With increasing c/(h1 − h2), the free surface position gradually decreases. c/(h1 − h2) has a more obvious effect on the free surface when it is less than 1, but when c/(h1 − h2) is more than 1.5, the effect of pit size on the free surface position is negligible.
- (4)
- The smaller the ∆/h1 is, the higher the accuracy of the calculation of the proposed method. When the ratio of the water-head drop to the initial thickness of the aquifer is less than 1/3, the assumptions made in this paper can be considered valid, and the method can be used to obtain more accurate results.
However, there are still some deficiencies in this study paper that need to be further investigated: the effect of complex ground conditions on the free surface is not considered; this model is a two-dimensional pit model, and the three-dimensional boundary effect is not considered; and the effect of the thickness of the water-stopping curtain on the free surface is not considered.
Author Contributions
Conceptualization, J.Y.; methodology, J.Y. and D.L.; software, J.Y. and J.Z.; validation, Y.Z.; formal analysis, Y.Z.; investigation, Y.Z.; resources, Y.Z.; data curation, D.L.; writing—original draft preparation, J.Y. and D.L.; writing—review and editing, J.Z.; visualization, J.Z.; supervision, J.Y.; and project administration, Y.Z. All authors have read and agreed to the published version of the manuscript.
Funding
This research received no external funding.
Data Availability Statement
All data, models, and code generated or used during this study appear in the submitted article.
Conflicts of Interest
The authors declare no conflicts of interest.
Nomenclature
The following symbols are used in this paper:
x | horizontal coordinate |
z | vertical coordinate |
a | the distance from the bottom of the waterproof curtain to the confining stratum |
b | the distance from the outside of the waterproof curtain to the calculated boundary |
c | Half-width of the pit |
d | the waterproof curtain insertion depth |
h1 | the water-head value at the distance b from the waterproof curtain |
h2 | the water head at the bottom of the pit |
Δh | the water-head difference between the inside and outside of the pit |
kh | the horizontal permeability coefficient |
kv | the vertical permeability coefficient |
α | the ratio of kv to kh |
Δ | drawdown of the water head |
Hi | the total water-head distribution function of the seepage field in zone i (i = 1,2,3) |
W | the upper supplemental water volume |
μd | the effective aquifer recharge degree |
u | horizontal coordinate in u-v coordinate system |
v | vertical coordinate in u-v coordinate system |
U | function with u as the independent variable |
V | function with v as the independent variable |
λ | the separation constant |
, , | are sequence number |
Q | the amount of water surge (m3/s) |
S | the area of the seepage cross-section (m2) |
vq | the seepage rate (m/s) |
i | the hydraulic gradient |
w | the width of the pit |
References
- Desai, C.S. Seepage analysis of earth banks under drawdown. J. Soil Mech. Found. Div. 1972, 98, 1143–1162. [Google Scholar] [CrossRef]
- Cao, C.; Shi, C. Analytical procedure for massive water-sealing barriers used in deep excavations considering seepage effect and its application. J. Cent. South Univ. 2022, 29, 2033–2048. [Google Scholar] [CrossRef]
- Huang, D.; Xie, K.; Ying, H. Semi-analytical solution for two-dimensional steady seepage around foundation pit in soil layer with anisotropic permeability. J. Zhejiang Univ. Eng. Sci. 2014, 48, 1802–1808. [Google Scholar]
- Li, Y.; Chen, D.; Liu, X.; Liu, X.; Tong, X.; Zhang, J. Simplified calculation method of decompression dewatering for deep excavation with suspended waterproof curtain. Rock Soil Mech. 2021, 42, 826–832+862. [Google Scholar]
- Liu, G.; Wang, H. Influence of the pressure water in shallow silty sand in Shanghai on excavation. Chin. J. Geotech. Eng. 2002, 6, 790–792. [Google Scholar]
- Rafiezadeh, K.; Ataie-Ashtiani, B. Transient free-surface seepage in three-dimensional general anisotropic media by BEM. Eng. Anal. Bound. Elem. 2014, 46, 51–66. [Google Scholar] [CrossRef]
- Chen, H.; Tang, H.; Xiao, S. Global Composite Element Iteration to Solve Seepage Free Surface. Appl. Math. Mech. 1999, 10, 7. [Google Scholar]
- Huang, G.H.; Wang, H.; Adoko, A.C. Dam Phreatic Line Simulation on FLAC3D: A Case Study. Appl. Mech. Mater. 2013, 353–356, 407–410. [Google Scholar] [CrossRef]
- Jiang, X.; Zong, J. Three-dimensional finite element analysis of seepage fields in foundation pit. Chin. J. Geotech. Eng. 2006, 5, 564–568. [Google Scholar]
- Jie, Y.X.; Jie, G.Z.; Guang-Xin, L.I. Seepage analysis by boundary-fitted coordinate transformation method. Chin. J. Geotech. Eng. 2004, 26, 52–56. [Google Scholar] [CrossRef]
- Wang, X.; Shi, A.; Zheng, X.; Jia, J. Adaptive mesh refinement technique for seepage flow field in groundwater source heat pump system. J. Drain. Irrig. Mach. Eng. 2012, 30, 621–626. [Google Scholar]
- Zhang, B. Study on the Characteristics of Groundwater Seepage Field in Foundation Pit Engineering. Master’s Thesis, China Academy of Building Research, Changsha, China, 2014. [Google Scholar]
- Zhang, Q.; Yan, J.; Wang, C.; Zhang, Z. Study on Indoor Model Test of Suspended Water Curtain. J. Northeast. Univ. 2020, 41, 1640–1645. [Google Scholar]
- Alawi, A.J.; Rahi, K.A. Defining Phreatic Surface for Heterogeneous Aquifers. J. Irrig. Drain. Eng. 1988, 114, 713–716. [Google Scholar] [CrossRef]
- Sun, G.; Yang, Y.; Cheng, S.; Zheng, H. Phreatic line calculation and stability analysis of slopes under the combined effect of reservoir water level fluctuations and rainfall. Can. Geotech. J. 2017, 54, 631–645. [Google Scholar] [CrossRef]
- Zheng, Y.; Shi, W.; Kong, W. Calculation of see page forces and phreatic surface under draw down conditions. Chin. J. Rock Mech. Eng. 2004, 23, 3203–3210. [Google Scholar]
- Madanayaka, T.A.; Sivakugan, N. Simple solutions for square and rectangular cofferdam seepage problems. Can. Geotech. J. 2019, 56, 730–745. [Google Scholar] [CrossRef]
- Bear, J. Dynamics of Fluids in Porous Media; American Elsevier Publishing Company: Amsterdam, The Netherlands, 1988. [Google Scholar]
- Neuman, S.P. Effect of partial penetration on flow in unconfined aquifers considering delayed gravity response. Water Resour. Res. 1974, 10, 303–312. [Google Scholar] [CrossRef]
- Zhang, C. Anisotropic Mathematical Physics and Complex Special Functions; Scholastic Paperbacks: Beijing, China, 2014. [Google Scholar]
- Zhu, W.D.; Han, T.C. Numerical annlysis of inserted depth of suspended impervious curtain. Water Resour. Hydropower Eng. 2009, 40, 19–21. [Google Scholar]
Disclaimer/Publisher’s Note: The statements, opinions and data contained in all publications are solely those of the individual author(s) and contributor(s) and not of MDPI and/or the editor(s). MDPI and/or the editor(s) disclaim responsibility for any injury to people or property resulting from any ideas, methods, instructions or products referred to in the content. |
© 2024 by the authors. Licensee MDPI, Basel, Switzerland. This article is an open access article distributed under the terms and conditions of the Creative Commons Attribution (CC BY) license (https://creativecommons.org/licenses/by/4.0/).