Image Feature Extraction Using Symbolic Data of Cumulative Distribution Functions
Abstract
1. Introduction
2. Cumulative Distribution Function for Image Feature Extraction
2.1. Image Features Represented by Pixel Intensity Values
2.2. The Empirical Cumulative Distribution Function (ECDF)
2.3. Symbolic Data
2.4. Distribution Function of Distribution Values (DFDV)
2.5. Goodness of Fit: Kolmogorov–Smirnov Test
3. Applications and Theoretical Results
3.1. Research Data and Pre-Processing
3.2. Results of ECDF Application
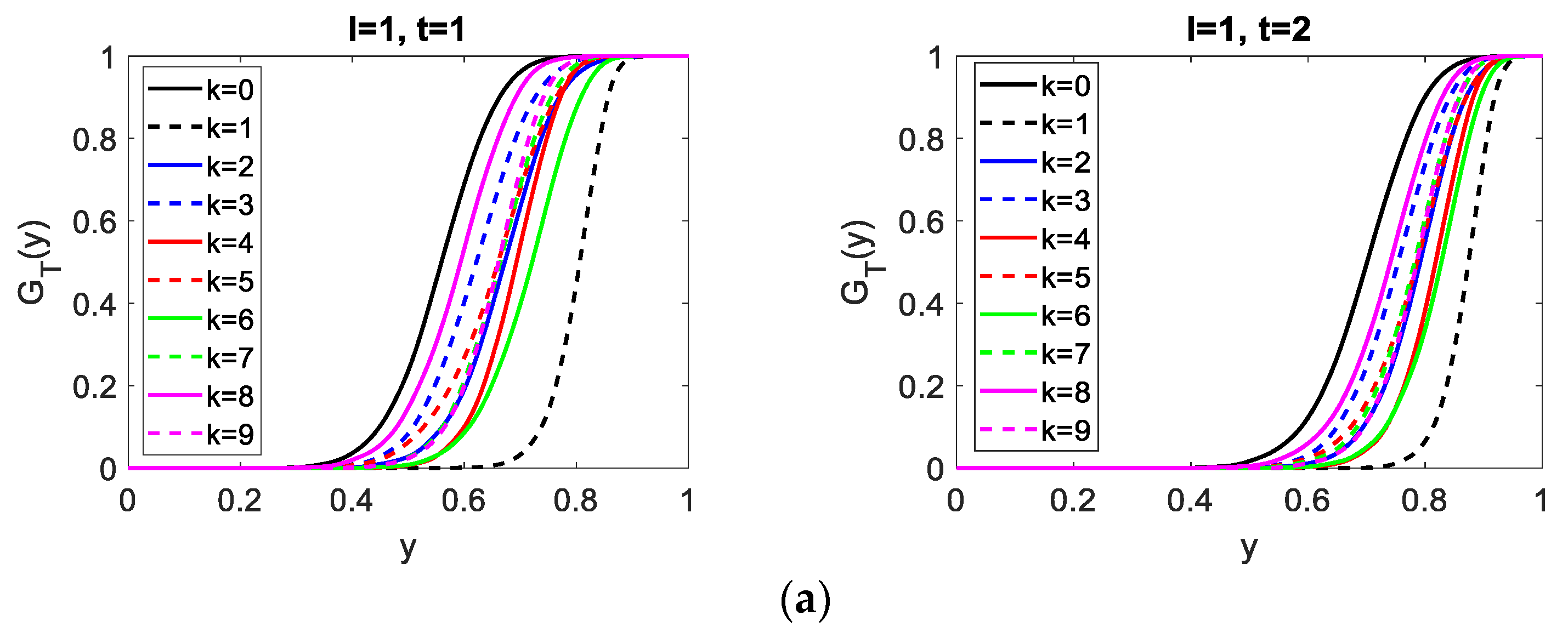
3.3. Theoretical Results and DFDV Application
- 1.
- The function is monotonically increasing, which implies that if then.
- 2.
- As approaches negative infinity, the limit of the distribution function, denoted as is equal to zero:
- 3.
- As approaches positive infinity, the limit of the distribution function, denoted as , is equal to:
- 4.
- The distribution functions of distribution values is right-continuous: .
- Given that , our objective is to demonstrate that . According to the definition, , whereas . Given that , we can conclude that the set of values for which is a subset of the set of values for which . Simply expressed, . Given that the likelihood of a set being a subset of another set can never exceed the probability of the larger set, we can conclude that . This expression represents .
- Consider the series , which consists of real integers that are infinitely negative and decreasing. We observe that when when . Define the set for each . Put simply, is the set in the sample space where the value of is smaller than or equal to . Consider as the sample space that encompasses all the values of the random variable , and let represent one of the possible values of . Given that is a decreasing sequence, if , then there exists a set . Put simply, every set includes all the components found in set . Given that is a superset of , we can conclude that the intersection . Therefore . Given that it applies to every sequence , in whatever order, we may deduce that when , concluded .
- Idem for point 2.
- A function is considered to be right-continuous if . Consider a sequence of real numbers that is decreasing. As , then . For every value of , there exists a set }, such that . Further is defined as the intersection of all sets , denoted as . Therefore, . Given that it applies to every sequence regardless of the order, we can deduce that as , the limit as for all values of . Therefore, exhibits the right continuity. □
3.4. Results of the Kolmogorov–Smirnov Goodness of Fit Test
4. Discussion
5. Conclusions
Author Contributions
Funding
Data Availability Statement
Acknowledgments
Conflicts of Interest
References
- Nixon, M.S.; Aguado, A.S. Feature Extraction and Image Processing for Computer Vision; Academic Press Elsevier: Amsterdam, The Netherlands, 2019. [Google Scholar]
- Bishop, C.M. Pattern Recognition and Machine Learning; Springer: New York, NY, USA, 2006. [Google Scholar]
- Ranjan, R.; Patel, V.M.; Chellappa, R. HyperFace: A Deep Multi-Task Learning Framework for Face Detection, Landmark Localization, Pose Estimation, and Gender Recognition. IEEE Trans. Pattern Anal. Mach. Intell. 2019, 41, 121–135. [Google Scholar] [CrossRef] [PubMed]
- Seo, Y.; Shin, K. Hierarchical convolutional neural networks for fashion image classification. Expert Syst. Appl. 2019, 116, 328–339. [Google Scholar] [CrossRef]
- Liu, L.; Wang, X. Plant diseases and pests detection based on deep learning: A review. Plant Methods 2021, 17, 22. [Google Scholar] [CrossRef] [PubMed]
- Yamashita, T.K.; Nishio, M.; Do, R.K.G. Convolutional neural networks: An overview and application in radiology. Insights Imaging 2018, 9, 611–629. [Google Scholar] [CrossRef] [PubMed]
- Kalantari, L.; Gader, P.; Graves, S.; Bohlman, S.A. One-Class Gaussian Process for Possibilistic Classification Using Imaging Spectroscopy. IEEE Geosci. Remote Sens. Lett. 2016, 13, 967–971. [Google Scholar] [CrossRef]
- Zhao, Z.; Liao, G. Imaging Hyperspectral Feature Fusion for Estimation of Rapeseed Pod’s Water Content and Recognition of Pod’s Maturity Level. Mathematics 2024, 12, 1693. [Google Scholar] [CrossRef]
- Qu, Y.; Fu, K.; Wang, L.; Zhang, Y.; Wu, H.; Liu, Q. Hypergraph-Based Multitask Feature Selection with Temporally Constrained Group Sparsity Learning on fMRI. Mathematics 2024, 12, 1733. [Google Scholar] [CrossRef]
- Naeem, A.; Anees, T.; Khalil, M.; Zahra, K.; Naqvi, R.A.; Lee, S.W. SNC_Net: Skin Cancer Detection by Integrating Handcrafted and Deep Learning-Based Features Using Dermoscopy Images. Mathematics 2024, 12, 1030. [Google Scholar] [CrossRef]
- Zhu, W.; Zhang, X.; Zhu, Z.; Fu, W.; Liu, N.; Zhang, Z. A Rapid Detection Method for Coal Ash Content in Tailings Suspension Based on Absorption Spectra and Deep Feature Extraction. Mathematics 2024, 12, 1685. [Google Scholar] [CrossRef]
- Lin, X.; Chen, R.; Feng, C.; Chen, Z.; Yang, X.; Cui, H. Automatic Evaluation Method for Functional Movement Screening Based on a Dual-Stream Network and Feature Fusion. Mathematics 2024, 12, 1162. [Google Scholar] [CrossRef]
- Fei-Fei, L.; Deng, J.; Li, K. ImageNet: Constructing a large-scale image database. J. Vis. 2010, 9, 8. [Google Scholar] [CrossRef]
- Lecun, Y.; Bengio, Y.; Hinton, G. Deep learning. Nature 2015, 521, 436–444. [Google Scholar] [CrossRef]
- Zhang, Z.; Sabuncu, M.R. Generalized cross entropy loss for training deep neural networks with noisy labels. Adv. Neural Inf. Process. Syst. 2018, 2018, 8778–8788. [Google Scholar]
- Billard, L.; Diday, E. From the statistics of data to the statistics of knowledge: Symbolic data analysis. J. Am. Stat. Assoc. 2003, 98, 470–487. [Google Scholar] [CrossRef]
- Billard, L.; Diday, E. Symbolic Data Analysis: Conceptual Statistics and Data Mining; John Wiley & Sons, Ltd.: Hoboken, NJ, USA, 2007. [Google Scholar]
- Vrac, M.; Chédin, A.; Diday, E. Clustering a global field of atmospheric profiles by mixture decomposition of copulas. J. Atmos. Ocean. Technol. 2005, 22, 1445–1459. [Google Scholar] [CrossRef]
- Vrac, M.; Billard, L.; Diday, E.; Chédin, A. Copula analysis of mixture models. Comput. Stat. 2012, 27, 427–457. [Google Scholar] [CrossRef]
- Winarni, S.; Indratno, S.W.; Sari, K.N. Pemodelan Gambar Menggunakan Copula Gaussian Dengan Metode Partisi. Stat. J. Theor. Stat. Appl. 2021, 21, 37–43. [Google Scholar] [CrossRef]
- Winarni, S.; Indratno, S.W.; Sari, K.N. Character of images development on gaussian copula model using distribution of cumulative distribution function. Commun. Math. Biol. Neurosci. 2021, 2021, 86. [Google Scholar] [CrossRef]
- Gonzalez, R.C.; Richard, E.W. Digital Image Processing; Pearson: New York, NY, USA, 1980. [Google Scholar]
- Nixon, M.S.; Aguado, A.S. Basic image processing operations. In Feature Extraction & Image Processing for Computer Vision; Elsevier: Amsterdam, The Netherlands, 2012; pp. 83–136. [Google Scholar] [CrossRef]
- Awad, A.I.; Hassaballah, M. Studies in Computational Intelligence 630. In Image Feature Detectors and Descriptors, Foundations and Applications; Springer: Berlin/Heidelberg, Germany, 2016. [Google Scholar]
- Castro, R. Introduction and the Empirical CDF. 2013, pp. 1–10. Available online: https://www.win.tue.nl/~rmcastro/AppStat2013/files/lecture1.pdf (accessed on 23 August 2021).
- Diday, E.; Vrac, M. Mixture decomposition of distributions by copulas in the symbolic data analysis framework. Discrete Appl. Math. 2005, 147, 27–41. [Google Scholar] [CrossRef]
- Gibbons, J.D.; Chakraborti, S. Nonparametric Statistical Inference; Marcel Dekker AG: Basel, Switzerland, 2010. [Google Scholar]
- Chaki, J.; Dey, N. A Beginner’s Guide to Image Preprocessing Techniques; Taylor & Francis Group: Abingdon, UK, 2019. [Google Scholar]
- Henderi, H. Comparison of Min-Max normalization and Z-Score Normalization in the K-nearest neighbor (kNN) Algorithm to Test the Accuracy of Types of Breast Cancer. IJIIS Int. J. Inform. Inf. Syst. 2021, 4, 13–20. [Google Scholar] [CrossRef]
- Duong, J.E.C.T. Multivariate Kernel Smoothing and Its Applications; Taylor & Francis Group: Abingdon, UK, 2018. [Google Scholar]
- Beranger, B.; Lin, H.; Sisson, S. New models for symbolic data analysis. Adv. Data Anal. Classif. 2023, 17, 659–699. [Google Scholar] [CrossRef]
- Sun, Z.; Zhang, K.; Zhu, Y.; Ji, Y.; Wu, P. Unlocking Visual Attraction: The Subtle Relationship between Image Features and Attractiveness. Mathematics 2024, 12, 1005. [Google Scholar] [CrossRef]
- Salinas-Gutiérrez, R.; Hernández-Aguirre, A.; Rivera-Meraz, M.J.J.; Villa-Diharce, E.R. Using Gaussian Copulas in supervised probabilistic classification. Stud. Comput. Intell. 2010, 318, 355–372. [Google Scholar] [CrossRef]
- Bansal, R.; Hao, X.; Liu, J.; Peterson, B.S. Using Copula distributions to support more accurate imaging-based diagnostic classifiers for neuropsychiatric disorders. Magn. Reson. Imaging 2014, 32, 1102–1113. [Google Scholar] [CrossRef] [PubMed]
- Stitou, Y.; Lasmar, N.; Berthoumieu, R. Copulas based multivariate gamma modeling for texture classification. In Proceedings of the 2009 IEEE International Conference on Acoustics, Speech and Signal Processing, Taipei, Taiwan, 19–24 April 2009; pp. 1045–1048. [Google Scholar] [CrossRef]
- Lasmar, N.E.; Berthoumieu, Y. Gaussian copula multivariate modeling for texture image retrieval using wavelet transforms. IEEE Trans. Image Process. 2014, 23, 2246–2261. [Google Scholar] [CrossRef]
- Bauer, A.; Czado, C.; Klein, T. Pair-copula constructions for non-Gaussian DAG models. Can. J. Stat. 2012, 40, 86–109. [Google Scholar] [CrossRef]
- Li, C.; Huang, Y.; Xue, Y. Dependence structure of Gabor wavelets based on copula for face recognition. Expert Syst. Appl. 2019, 137, 453–470. [Google Scholar] [CrossRef]










| 0 | 0.0152 | 0.0511 | 0.0152 | 0.0731 | 0.0166 | 0.1048 | 0.0166 | 0.0997 |
| 1 | 0.0081 | 0.0504 | 0.0067 | 0.0502 | 0.0094 | 0.0502 | 0.0081 | 0.0505 |
| 2 | 0.0145 | 0.0852 | 0.0124 | 0.0537 | 0.0193 | 0.1910 | 0.0179 | 0.0903 |
| 3 | 0.0151 | 0.0741 | 0.0137 | 0.0506 | 0.0165 | 0.1347 | 0.0151 | 0.0751 |
| 4 | 0.0125 | 0.0545 | 0.0110 | 0.0529 | 0.0152 | 0.0830 | 0.0139 | 0.0561 |
| 5 | 0.0169 | 0.0685 | 0.0140 | 0.0503 | 0.0167 | 0.0973 | 0.0141 | 0.1069 |
| 6 | 0.0138 | 0.0534 | 0.0110 | 0.0593 | 0.0166 | 0.1490 | 0.0166 | 0.1475 |
| 7 | 0.0137 | 0.0597 | 0.0110 | 0.0567 | 0.0109 | 0.0037 | 0.0096 | 0.0010 |
| 8 | 0.0152 | 0.0632 | 0.0138 | 0.0546 | 0.0152 | 0.0765 | 0.0138 | 0.0751 |
| 9 | 0.0124 | 0.0575 | 0.0110 | 0.0059 | 0.0138 | 0.0560 | 0.0124 | 0.0154 |
Disclaimer/Publisher’s Note: The statements, opinions and data contained in all publications are solely those of the individual author(s) and contributor(s) and not of MDPI and/or the editor(s). MDPI and/or the editor(s) disclaim responsibility for any injury to people or property resulting from any ideas, methods, instructions or products referred to in the content. |
© 2024 by the authors. Licensee MDPI, Basel, Switzerland. This article is an open access article distributed under the terms and conditions of the Creative Commons Attribution (CC BY) license (https://creativecommons.org/licenses/by/4.0/).
Share and Cite
Winarni, S.; Indratno, S.W.; Arisanti, R.; Pontoh, R.S. Image Feature Extraction Using Symbolic Data of Cumulative Distribution Functions. Mathematics 2024, 12, 2089. https://doi.org/10.3390/math12132089
Winarni S, Indratno SW, Arisanti R, Pontoh RS. Image Feature Extraction Using Symbolic Data of Cumulative Distribution Functions. Mathematics. 2024; 12(13):2089. https://doi.org/10.3390/math12132089
Chicago/Turabian StyleWinarni, Sri, Sapto Wahyu Indratno, Restu Arisanti, and Resa Septiani Pontoh. 2024. "Image Feature Extraction Using Symbolic Data of Cumulative Distribution Functions" Mathematics 12, no. 13: 2089. https://doi.org/10.3390/math12132089
APA StyleWinarni, S., Indratno, S. W., Arisanti, R., & Pontoh, R. S. (2024). Image Feature Extraction Using Symbolic Data of Cumulative Distribution Functions. Mathematics, 12(13), 2089. https://doi.org/10.3390/math12132089

