Speed Control for PMSM with Fast Variable-Speed Sliding Mode Control via High-Gain Disturbance Observer
Abstract
1. Introduction
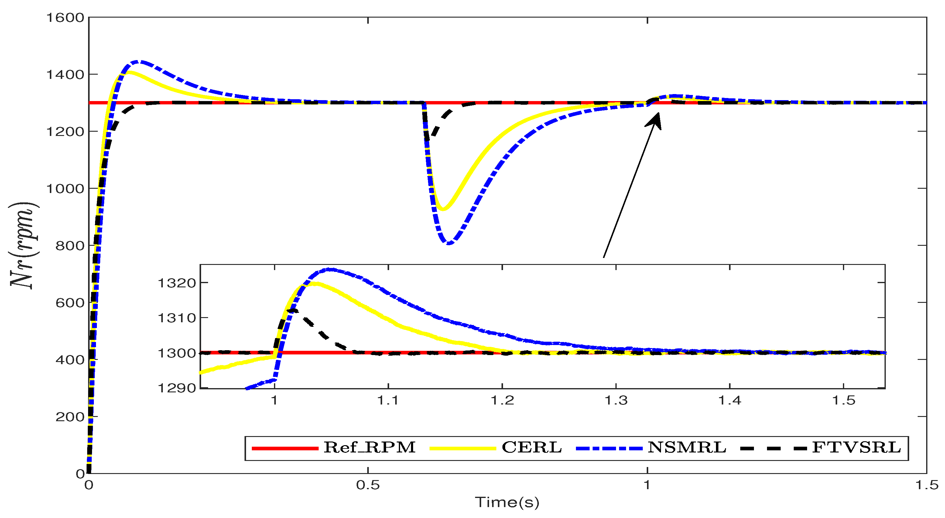
- An FVSRL was built to handle the contradiction between responding quickly and over-shooting, as far as embedded system certification is concerned.
- There was coordination between the HGDO and the FVSSMC, which aimed at doing 78 feedforward compensation.
- From the aspect of anti-interference, when applying the fast variable reaching law, the FVSSMC had good anti-interference ability.
- This was done through comparing with other similar models—namely, CERL and NSMRL—in order to substantiate the ease of use and accuracy of the FVSRL. Detailed comparative and quantitative analyses of the simulation results were conducted, using integrated square error (ISE), integral time square error (ITSE), integrated absolute error (IAE), and integral time absolute error (ITAE).
2. PMSM Modeling
- and are the d-axis and q-axis voltages, respectively.
- R is the stator resistance.
- and are the d-axis and q-axis currents, respectively.
- and are the d-axis and q-axis inductances, respectively.
- p is the number of pole pairs.
- is the mechanical angular velocity of the motor.
- is the flux linkage of the permanent magnet.
3. Disturbance Estimation with High-Gain Disturbance Observer
3.1. Design of High-Gain Disturbance Observer
3.2. Observer Stability Analysis
4. Controller Design
4.1. Design of Fast Terminal Variable Speed Reaching Law
4.2. Sliding Mode Control Controller Design
5. Simulation
6. Conclusions
Author Contributions
Funding
Data Availability Statement
Conflicts of Interest
References
- Zhang, Z.; Yang, X.; Wang, W.; Chen, K.; Cheung, N.C.; Pan, J. Enhanced sliding mode control for PMSM speed drive systems using a novel adaptive sliding mode reaching law based on exponential function. IEEE Trans. Ind. Electron. 2024. [Google Scholar] [CrossRef]
- Shi, T.; Wang, Z.; Xia, C. Speed measurement error suppression for PMSM control system using self-adaption Kalman observer. IEEE Trans. Ind. Electron. 2014, 62, 2753–2763. [Google Scholar] [CrossRef]
- Xu, W.; Junejo, A.K.; Liu, Y.; Islam, M.R. Improved continuous fast terminal sliding mode control with extended state observer for speed regulation of PMSM drive system. IEEE Trans. Veh. Technol. 2019, 68, 10465–10476. [Google Scholar] [CrossRef]
- Sun, X.; Cao, J.; Lei, G.; Guo, Y.; Zhu, J. A composite sliding mode control for SPMSM drives based on a new hybrid reaching law with disturbance compensation. IEEE Trans. Transp. Electrif. 2021, 7, 1427–1436. [Google Scholar] [CrossRef]
- Sheng, L.; Li, W.; Wang, Y.; Fan, M.; Yang, X. Sensorless control of a shearer short-range cutting interior permanent magnet synchronous motor based on a new sliding mode observer. IEEE Access 2017, 5, 18439–18450. [Google Scholar] [CrossRef]
- Zhang, X.; Sun, L.; Zhao, K.; Sun, L. Nonlinear speed control for PMSM system using sliding-mode control and disturbance compensation techniques. IEEE Trans. Power Electron. 2012, 28, 1358–1365. [Google Scholar] [CrossRef]
- Kung, Y.S.; Tsai, M.H. FPGA-based speed control IC for PMSM drive with adaptive fuzzy control. IEEE Trans. Power Electron. 2007, 22, 2476–2486. [Google Scholar] [CrossRef]
- Liu, X.; Deng, Y.; Cao, H.; Wang, J.; Li, H.; Lee, C.H. Modified ADRC based on quasi-resonant fixed-time-convergent extended state observer for PMSM current regulation. IEEE Trans. Transp. Electrif. 2024. [Google Scholar] [CrossRef]
- Chen, Y.; Wang, X.; Xiao, D.; Ma, D.; Yang, X.; Wang, Z. Model predictive control of five-level open-end winding PMSM drives. IEEE Trans. Transp. Electrif. 2024. [Google Scholar] [CrossRef]
- Zwerger, T.; Mercorelli, P. Optimal control strategies for PMSM with a decoupling super twisting SMC and inductance estimation in the presence of saturation. J. Frankl. Inst. 2024, 361, 106934. [Google Scholar] [CrossRef]
- Sun, X.; Cao, J.; Lei, G.; Guo, Y.; Zhu, J. Speed sensorless control for permanent magnet synchronous motors based on finite position set. IEEE Trans. Ind. Electron. 2019, 67, 6089–6100. [Google Scholar] [CrossRef]
- Bai, C.; Yin, Z.; Zhang, Y.; Liu, J. Multiple-Models Adaptive Disturbance Observer-Based Predictive Control for Linear Permanent-Magnet Synchronous Motor Vector Drive. IEEE Trans. Power Electron. 2022, 37, 9596–9611. [Google Scholar] [CrossRef]
- Zheng, L.; Wu, C.; Shentu, F.; Wu, C. An Accurate Full-Speed Position Estimation for Permanent Magnet Synchronous Motors with a DC-Bus Current Sensor. IEEE Trans. Power Electron. 2024. [Google Scholar] [CrossRef]
- Shtessel, Y.; Edwards, C.; Fridman, L.; Levant, A. Sliding Mode Control and Observation; Springer: Berlin/Heidelberg, Germany, 2014; Volume 10. [Google Scholar]
- Ma, H.; Wu, J.; Xiong, Z. A novel exponential reaching law of discrete-time sliding-mode control. IEEE Trans. Ind. Electron. 2017, 64, 3840–3850. [Google Scholar] [CrossRef]
- Ma, Y.; Li, D.; Li, Y.; Yang, L. A novel discrete compound integral terminal sliding mode control with disturbance compensation for PMSM speed system. IEEE/ASME Trans. Mechatronics 2021, 27, 549–560. [Google Scholar] [CrossRef]
- Yang, J.; Li, S.; Su, J.; Yu, X. Continuous nonsingular terminal sliding mode control for systems with mismatched disturbances. Automatica 2013, 49, 2287–2291. [Google Scholar] [CrossRef]
- Gao, W.; Hung, J.C. Variable structure control of nonlinear systems: A new approach. IEEE Trans. Ind. Electron. 1993, 40, 45–55. [Google Scholar]
- Hou, Q.; Ding, S. Finite-time extended state observer-based super-twisting sliding mode controller for PMSM drives with inertia identification. IEEE Trans. Transp. Electrif. 2022, 8, 1918–1929. [Google Scholar] [CrossRef]
- Bartoszewicz, A.; Leśniewski, P. New switching and nonswitching type reaching laws for SMC of discrete time systems. IEEE Trans. Control Syst. Technol. 2016, 24, 670–677. [Google Scholar] [CrossRef]
- Ren, J.; Ye, Y.; Xu, G.; Zhao, Q.; Zhu, M. Uncertainty-and-disturbance-estimator-based current control scheme for PMSM drives with a simple parameter tuning algorithm. IEEE Trans. Power Electron. 2016, 32, 5712–5722. [Google Scholar] [CrossRef]
- Hou, Q.; Ding, S.; Yu, X. Composite super-twisting sliding mode control design for PMSM speed regulation problem based on a novel disturbance observer. IEEE Trans. Energy Convers. 2020, 36, 2591–2599. [Google Scholar] [CrossRef]
- Zhang, X.; Hou, B.; Mei, Y. Deadbeat predictive current control of permanent-magnet synchronous motors with stator current and disturbance observer. IEEE Trans. Power Electron. 2016, 32, 3818–3834. [Google Scholar] [CrossRef]
- Wu, Y.j.; Li, G.f. Adaptive disturbance compensation finite control set optimal control for PMSM systems based on sliding mode extended state observer. Mech. Syst. Signal Process. 2018, 98, 402–414. [Google Scholar] [CrossRef]
- Zhang, D.; Zhang, H.; Li, X.; Zhao, H.; Zhang, Y.; Wang, S.; Ahmad, T.; Liu, T.; Shuang, F.; Wu, T. A PMSM control system for electric vehicle using improved exponential reaching law and proportional resonance theory. IEEE Trans. Veh. Technol. 2023, 72, 8566–8578. [Google Scholar] [CrossRef]











| Parameters | Value | Unit | 
|---|---|---|
| Resistance | 2.875 | |
| Inductance | 8.5 | |
| Flux linkage | 0.175 | |
| Inertia J | 0.0003 | |
| Damping coefficient | 0.0008 | |
| Pole pairs | 4 | 
| Parameters | Value | 
|---|---|
| 15 | |
| 9 | |
| 0.0005 | 
| Controller | Value | 
|---|---|
| ERL | |
| NSMRL | |
| FVSRL | 
| Disclaimer/Publisher’s Note: The statements, opinions and data contained in all publications are solely those of the individual author(s) and contributor(s) and not of MDPI and/or the editor(s). MDPI and/or the editor(s) disclaim responsibility for any injury to people or property resulting from any ideas, methods, instructions or products referred to in the content. | 
© 2024 by the authors. Licensee MDPI, Basel, Switzerland. This article is an open access article distributed under the terms and conditions of the Creative Commons Attribution (CC BY) license (https://creativecommons.org/licenses/by/4.0/).
Share and Cite
Wang, H.; Zhang, G.; Liu, X. Speed Control for PMSM with Fast Variable-Speed Sliding Mode Control via High-Gain Disturbance Observer. Mathematics 2024, 12, 2036. https://doi.org/10.3390/math12132036
Wang H, Zhang G, Liu X. Speed Control for PMSM with Fast Variable-Speed Sliding Mode Control via High-Gain Disturbance Observer. Mathematics. 2024; 12(13):2036. https://doi.org/10.3390/math12132036
Chicago/Turabian StyleWang, Hengqiang, Guangming Zhang, and Xiaojun Liu. 2024. "Speed Control for PMSM with Fast Variable-Speed Sliding Mode Control via High-Gain Disturbance Observer" Mathematics 12, no. 13: 2036. https://doi.org/10.3390/math12132036
APA StyleWang, H., Zhang, G., & Liu, X. (2024). Speed Control for PMSM with Fast Variable-Speed Sliding Mode Control via High-Gain Disturbance Observer. Mathematics, 12(13), 2036. https://doi.org/10.3390/math12132036
 
        


 
       