Next Article in Journal
Graph-Based Hotspot Detection of Socio-Economic Data Using Rough-Set
Previous Article in Journal
Sensorless Control of Surface-Mount Permanent-Magnet Synchronous Motors Based on an Adaptive Super-Twisting Sliding Mode Observer
Previous Article in Special Issue
Measurement and Forecasting of Systemic Risk: A Vine Copula Grouped-CoES Approach
 
 
Font Type:
Arial Georgia Verdana
Font Size:
Aa Aa Aa
Line Spacing:
Column Width:
Background:
Article

Transient Analysis for a Queuing System with Impatient Customers and Its Applications to the Pricing Strategy of a Video Website

School of Science, Nanjing University of Posts and Telecommunications, Nanjing 210023, China
Mathematics 2024, 12(13), 2030; https://doi.org/10.3390/math12132030
Submission received: 31 May 2024 / Revised: 21 June 2024 / Accepted: 25 June 2024 / Published: 29 June 2024

Abstract

In this paper, we consider a queuing system with impatient customers, which includes infinite servers and two types of customers. During the service process, Type-1 customers may leave the system or upgrade to be Type-2 customers due to their impatience. By solving the partial differential equations, we obtain the generating functions of the transient distribution of the queue length, and many stationary performance measures are further derived. Then, as an application, we formulate an expected profit function for a video website, and maximize it by determining the optimal pricing strategy. Finally, numerical examples are provided to demonstrate the impacts of parameters on the optimal website profit.
MSC:
60K30; 68M20; 90B22

1. Introduction

Queuing systems with impatient customers have been studied extensively, and have applications in a wide range of areas, such as call centers. In such systems, customers may become impatient and leave the system during their waiting time or service processes. Barrer [1,2] firstly considered customers’ psychology in queuing systems. He analyzed M / M / 1 and M / M / c queuing systems with constant impatience time, and obtained the stationary distributions of the queue length, respectively. Since then, more and more scholars have focused on the queuing systems with impatient customers. Phung-Duc [3] studied an Markovian multi-server retrial queue, in which a blocked customer has two opportunities for abandonment. The tail asymptotics formulae for the joint stationary distribution of the number of customers in the system and for those in the orbit are obtained. Kim and Kim [4] studied a single queuing system in which customers wait for service for a fixed time, and if the time is expired, customers leave the system instantly. By constructing the age process, they derived the stationary distribution of the queue length, the loss probability and the waiting time distribution. Adan et al. [5] investigated a queuing system with two classes of impatient customers, and obtained system performance measures by introducing a virtual waiting time process instead of a queue length process. These systems with impatient customers are exemplified by studies like [6,7,8,9] and others.
With the development of technology, many stochastic service systems in real life operates with large service capacity so that all customers in the system can access to service immediately upon their arrival. Such service systems are regarded as the queuing systems with an infinite number of servers and are investigated in many studies. Jackson and Aspden [10] studied a finite number of M / M / queues in series and proposed a novel method to derive the time dependent solution of a multistage nonqueuing process. Sato et al. [11] constructed an M / D / queuing model to characterize a direct-sequence spread spectrum multiple access unslotted ALOHA with fixed packet length. Shi et al. [12] took the online service as a background, and considered a queuing system with free experience service. The closed form of the expected numbers of informed and uninformed customers in steady-state are derived by solving nonhomogeneous linear partial differential equations. Hassin and Ravner [13] studied the probabilistic properties of a queuing system with infinite servers by considering the overflows from subsystems with finite servers.
Recently, scholars prefer to study from an economic perspective rather than classical queuing system performance analyses. Game theory and pricing theory are two main problems in economic queuing studies. Burnetas and Economou [14] discussed customers’ equilibrium strategies in an Markovian queue model with four different levels of system information. Economou and Kanta [15] studied the equilibrium balking strategies in an observable M / M / 1 queuing system with breakdowns and repairs. Recently, more studies about the equilibrium strategies in queuing models can be found in [16,17,18,19,20]. Additionally, the pricing problem is an important research subject in economic queuing. Lee and Ward [21] considered how to jointly set the static price and capacity to maximize the steady state mean profit in a G I / G I / 1 queue with a high rate of prospective customer arrivals. Bai et al. [22] proposed a queuing model with server sharing and determine an optimal admission policy to maximize managers’ profit function.
However, few papers focus on the pricing problem of two-sided markets based on the queuing theory. Rochet and Tirole [23], Armstrong [24] studied the pricing strategy for a two-sided market from the point of externality. Most studies are developed and explored based on these two papers. Zeithammer and Thomadsen [25] analyzed price and quality competition in a vertically differentiated duopoly in which consumers have a preference for variety. See references [26,27,28,29] for more knowledge about two-sided markets. In this paper, we take the video website as an application to analyze the profit function of website and maximize it by determining optimal pricing strategy.
The rest of this paper is organized as follows. The transient and steady state probability generating function of the queue length and several stationary performance measures are derived in Section 2. Then, we study the optimal pricing strategy of a website profit function in Section 3, and discuss the impacts of the customers’ potential value and advertisement negative effect on the optimal pricing strategy. Finally, numerical examples are provided to illustrate the impacts of parameters, such as advertising time and membership reward gaps, on the optimal website profit in Section 4.

2. Transient and Stationary State Analysis

We first describe the basic setting of our queuing system, the working mechanism of which is presented in Figure 1.
  • Arrival: There are two types of customers, Type-1 and Type-2, and they arrive the system according to the Possion processes with rate λ 1 and λ 2 , respectively.
  • Service: Infinite severs are provided for each type customers, and the service time of Type-1 (Type-2) customers is assumed to be an exponential random variable with mean value 1 / μ 1 ( 1 / μ 2 ).
  • Impatience: A Type-1 customer may become impatient during their service process, and the time between two successive impatience events are supposed to follow the exponential distribution with mean value 1 / α . The impatient customer leaves the system directly with probability p, or otherwise upgrades to be a Type-2 customer.
From the description of the model, the state of the system at time t can be described by the stochastic process { ( N 1 ( t ) , N 2 ( t ) ) , t 0 } , where N k ( t ) is the number of Type-k customers in the system at time t, k = 1 , 2 . The corresponding state space is given by
Ω = 0 , 1 , 2 × 0 , 1 , 2 .
Define the following joint probabilities that there are i Type-1 customers and j Type-2 customers in the system at time t,
P i , j ( t ) = P { N 1 ( t ) = i , N 2 ( t ) = j } ,
where i , j { 0 , 1 , 2 } .
According to the forward and backward Kolmogorov differential equations, we have:
  • N 2 ( t ) = 0 ,
    P 0 , 0 ( t ) = ( λ 1 + λ 2 ) P 0 , 0 ( t ) + ( μ 1 + α p ) P 1 , 0 ( t ) + μ 2 P 0 , 1 ( t ) ,
    P i , 0 ( t ) = ( λ 1 + λ 2 + i μ 1 + i α ) P i , 0 ( t ) + λ 1 P i 1 , 0 ( t ) + ( i + 1 ) ( μ 1 + α p ) P i + 1 , 0 ( t ) + μ 2 P i , 1 ( t ) ,
    where i = 1 , 2 , .
  • N 2 ( t ) = j ,   j = 1 , 2 , ,
    P 0 , j ( t ) = ( j μ 2 + λ 1 + λ 2 ) P 0 , j ( t ) + λ 2 P 0 , j 1 ( t ) + α p ¯ P 1 , j 1 ( t ) + ( μ 1 + α p ) P 1 , j ( t ) + ( j + 1 ) μ 2 P 0 , j + 1 ( t ) ,
    P i , j ( t ) = ( j μ 2 + λ 1 + λ 2 + i μ 1 + i α ) P i , j ( t ) + λ 2 P i , j 1 ( t ) + ( i + 1 ) α p ¯ P i + 1 , j 1 ( t ) + λ 1 P i 1 , j ( t ) + ( i + 1 ) ( μ 1 + α p ) P i + 1 , j ( t ) + ( j + 1 ) μ 2 P i , j + 1 ( t ) ,
    where i = 1 , 2 , .
We define the partial generating functions as follows:
g j ( x , t ) = i = 0 P i , j ( t ) x i , j = 0 , 1 , 2 , ,
G ( x , y , t ) = j = 0 g j ( x , t ) y j .
Multiplying (3) by x i , summing over all possible values of i, and combining with (2), we obtain the following result:
g 0 ( x , t ) t = ( λ 1 + λ 2 λ 1 x ) g 0 ( x , t ) + ( μ 1 + α p α x μ 1 x ) g 0 ( x , t ) x + μ 2 g 1 ( x , t ) .
Multiplying (5) by x i , summing over all possible values of i, and combining with (4), we arrive at
g j ( x , t ) t = ( j μ 2 + λ 1 + λ 2 λ 1 x ) g j ( x , t ) + λ 2 g j 1 ( x , t ) + ( j + 1 ) μ 2 g j + 1 ( x , t ) + α p ¯ g j 1 ( x , t ) x + ( μ 1 + α p α x μ 1 x ) g j ( x , t ) x ,
where j = 1 , 2 , .
Multiplying (9) by y j and summing over all j, together with (8), we have
( λ 1 + λ 2 λ 1 x λ 2 y ) G ( x , y , t ) = G ( x , y , t ) t + μ 2 ( 1 y ) G ( x , y , t ) y + ( μ 1 + α p α x μ 1 x + α p ¯ y ) G ( x , y , t ) x .
Equation (10) is a first-order linear partial differential equation. Its characteristic equations are given by
d t 1 = d x μ 1 + α p α x μ 1 x + α p ¯ y = d y μ 2 ( 1 y ) = d G ( x , y , t ) ( λ 1 + λ 2 λ 1 x λ 2 y ) G ( x , y , t )
Deriving from the first three items in (11), we have
ξ = ( 1 y ) e μ 2 t ,
η = x 1 α p ¯ μ 2 μ 1 α ( 1 y ) e ( μ 1 + α ) t .
Putting (12) and (13) into (10), we have the following equation related to ξ and η :
G ( ξ , η , t ) t = λ 1 η e ( μ 1 + α ) t + α p ¯ μ 2 μ 1 α ξ e μ 2 t λ 2 ξ e μ 2 t G ( ξ , η , t ) .
Integrating the above equation leads to
G ( ξ , η , t ) = C ( ξ , η ) e x p α p ¯ λ 1 μ 2 ( μ 2 μ 1 α ) λ 2 μ 2 ξ e μ 2 t + λ 1 μ 1 + α η e ( μ 1 + α ) t ,
where C is an undefined binary function and C ( ξ , η ) is the function value when ξ and η are taken as the independent variables.
According to the boundary condition G ( x , y , 0 ) = x k y b , which means that there are k customers of Type-1 and b customers of Type-2 in the system at the beginning, we obtain
C ϑ , γ exp λ 2 μ 2 + λ 1 α p ¯ μ 2 μ 2 μ 1 α ϑ + λ 1 μ 1 + α γ = x k y b ,
where ϑ and γ are the values when t = 0 in ( 12 ) and ( 13 ) , i.e.,
ϑ = 1 y ,
γ = x 1 α p ¯ μ 2 μ 1 α ( 1 y ) .
Then, we have the formula for the function C,
C ( ϑ , γ ) = ( 1 ϑ ) b ( γ + 1 + α p ¯ μ 2 μ 1 + α ϑ ) k × exp λ 2 μ 2 λ 1 α p ¯ μ 2 μ 2 μ 1 + α ϑ λ 1 μ 1 + α γ ,
and
C ( ξ , η ) = ( 1 ξ ) b ( η + 1 + α p ¯ μ 2 μ 1 + α ξ ) k × exp λ 2 μ 2 λ 1 α p ¯ μ 2 μ 2 μ 1 + α ξ λ 1 μ 1 + α η .
Thus,
G ( x , y , t ) = C ( ξ , η ) exp λ 2 μ 2 α p ¯ λ 1 μ 2 ( μ 1 + α ) ( 1 y ) + λ 1 μ 1 + α ( x 1 ) .
Theorem 1.
The probability generating function of the two-dimensional Markov chain { ( N 1 ( t ) , N 2 ( t ) ) , t 0 } , in the transient state is
G ( x , y , t ) = C ( ξ , η ) exp λ 2 μ 2 α p ¯ λ 1 μ 2 ( μ 1 + α ) ( 1 y ) + λ 1 μ 1 + α ( x 1 ) ,
where
C ( ξ , η ) = ( 1 ξ ) b ( η + 1 + α p ¯ μ 2 μ 1 + α ξ ) k × exp λ 2 μ 2 λ 1 α p ¯ μ 2 μ 2 μ 1 + α ξ λ 1 μ 1 + α η .
Furthermore, noting that there are always enough servers for arriving customers, and there is no congestion and waiting, this queuing system is always stable. Let t in (2)–(5). We can obtain steady-state equations and compute the probability generating function with the normalization condition, which is provided by the following theorems.
Theorem 2.
The probability generating function of the two-dimensional Markov chain { ( N 1 ( t ) , N 2 ( t ) ) , t 0 } in the steady state is
Q ( x , y ) = exp α p ¯ λ 1 μ 2 ( μ 1 + α ) + λ 2 μ 2 ( 1 y ) λ 1 μ 1 + α ( 1 x ) .
Theorem 3.
The stationary distribution of this model is given as follows:
π i , j = a i i ! b j j ! exp α p ¯ λ 1 μ 2 ( μ 1 + α ) λ 2 μ 2 λ 1 μ 1 + α ,
where a i = λ 1 μ 1 + α i , b j = α p ¯ λ 1 μ 2 ( μ 1 + α ) + λ 2 μ 2 j .
Corollary 1.
There are i Type-1 customers in the system with probability P 1 i ,
P 1 i = a i i ! exp λ 1 μ 1 + α .
There are j Type-2 customers in the system with probability P 2 j ,
P 2 j = b j j ! exp α p ¯ λ 1 μ 2 ( μ 1 + α ) λ 2 μ 2 .
There are no customers in the system with probability P 00 ,
P 00 = exp α p ¯ λ 1 μ 2 ( μ 1 + α ) λ 2 μ 2 λ 1 μ 1 + α .
Corollary 2.
The mean number of Type-1 customers in the system is
E 1 = λ 1 μ 1 + α .
The mean number of Type-2 customers in the system is
E 2 = α p ¯ λ 1 μ 2 ( μ 1 + α ) + λ 2 μ 2 .
Remark 1.
E 1 can be seen as the mean queue length of an M / M / queue with arrival rate λ 1 and service rate μ 1 + α . E 2 can be explained by two terms: the first term is the average number of customers who are transferred from impatient Type-1 customers, and the second term means the mean queue length of an M / M / queue with arrival rate λ 2 and service rate μ 2 .

3. Application: The Optimal Pricing Strategy of a Video Website

For a video website, viewers can be divided into two types, free memberships and premium memberships, which correspond to Type-1 and Type-2 in the queuing system. The viewing time is supposed to be customers’ service time. Seeing that free memberships need to watch advertisements in addition to programs, we assume μ 1 < μ 2 . Annoyed by advertisements and other factors, free memberships may leave the system or upgrade to be premium memberships.
We formulate the profit function of a website based on the queuing system performances, and study the pricing strategy to optimize the profit function. Specifically, the website collects membership fees from premium memberships, who can watch the program directly, and charges advertisement fees from advertisers. Collections from membership fees are related to both the population of premium memberships and membership fees, so too high a membership fee with a small number of premium memberships or too low a membership fee with a large population may both lead to the deviation from the maximal website profit. For the price charged for advertisers, a high price may block the entry of advertisers, while a low price goes against the purpose of maximizing website profit. Thus, an appropriate pricing strategy should be designed to maximize the overall profit of the video website.
We first define some parameters as follows:
  • P: the price charged from advertisers per unit time.
  • s: the price charged from per premium member, i.e., the membership fee.
  • R k : the utility obtained by a Type-k customer when they leave the system with service completed.
  • θ : the degree of each customer’s satisfaction for the website content.
  • δ : the cost of the negative effect on a Type-1 customer per unit advertising time.
  • β : the potential value of each Type-1 customer for advertisers.
  • c k : the service cost per type-k customer.
When customers are going to enter the website, the expected utility functions of Type-1 and Type-2 customers are assumed to be
u 1 = θ R 1 δ 1 μ 1 1 μ 2 ,
u 2 = θ R 2 s ,
where 1 μ 1 1 μ 2 is the average advertising time.
Additionally, the utility is assumed to be zero for balking customers. In order to describing the customers’ comment heterogeneity, we assume that θ is a uniform random variable in [0, 1]. In Figure 2, when the preference for website content is θ 1 , customers are indifference to balking or visiting the website. Similarly, there is no difference between having a free or premium membership for a customer with the preference value θ 2 for the website content.
Thus, we have the following equations for θ 1 and θ 2 :
θ 1 R 1 δ 1 μ 1 1 μ 2 = 0 ,
θ 2 R 1 δ 1 μ 1 1 μ 2 = θ 2 R 2 s ,
and solving the above equations yields
θ 1 = δ 1 μ 1 1 μ 2 R 1 ,
θ 2 = s δ 1 μ 1 1 μ 2 R 2 R 1 .
Thus, a new visitor may balk with probability θ 1 , visit as a free membership with probability θ 2 θ 1 and obtain a premium membership with probability 1 θ 2 . That is to say, when the total potential visitors arrive following a Poisson process with rate λ , the Type-1 and Type-2 customers arrive following a Poisson process with rate λ 1 = ( θ 2 θ 1 ) λ , λ 2 = ( 1 θ 2 ) λ , respectively.
The utility function of advertisers is as follows:
u a d = β E 1 P 1 μ 1 1 μ 2 .
Then, we have the profit function of this video website,
max s , P W = P + s λ 2 c 1 E 1 c 2 E 2 , subject to 0 θ 1 θ 2 1 , β E 1 P 1 μ 1 1 μ 2 0 .
Furthermore, the optimal pricing strategy can be obtained by solving problem (33).
Theorem 4.
For the profit function model (33),
min s , P W = P + A s 2 B s C , subject to P k 1 s + b 1 0 , ( k 2 s + b 2 ) + θ 1 0 , k 2 s + b 2 1 0 ,
the optimal pricing strategy ( s * , P * ) is given by
s * = B + k 1 2 A , P * = k 1 B + k 1 2 A + b 1 ,
where
A = k 2 λ , B = λ ( 1 b 2 ) c 1 k 2 λ μ 1 + α c 2 α p ¯ k 2 λ μ 2 ( μ 1 + α ) + c 2 k 2 λ μ 2 , C = λ c 1 μ 1 + α c 2 α p ¯ λ μ 2 ( μ 1 + α ) ( b 2 θ 1 ) c 2 λ μ 2 ( 1 b 2 ) , k 1 = β λ μ 1 + α μ 1 μ 2 μ 2 μ 1 k 2 , b 1 = β λ μ 1 + α μ 1 μ 2 μ 2 μ 1 b 2 , k 2 = 1 R 2 R 1 , b 2 = δ R 2 R 1 ( 1 μ 1 1 μ 2 ) .
Proof. 
According to the Karush–Kuhn–Tucker condition, we have the following Lagrange function and necessary conditions for the optimal solution:
L = ( P + A s 2 B s C ) + γ 1 ( P k 1 s + b 1 ) + γ 2 ( ( k 2 s + b 2 ) + θ 1 ) + γ 3 ( k 2 s + b 2 1 ) ,
s L = 2 A s B γ 1 k 1 γ 2 k 2 + γ 3 k 2 = 0 ,
P L = 1 + γ 1 = 0 ,
γ 1 ( P k 1 s + b 1 ) = 0 ,
γ 2 ( ( k 2 s + b 2 ) + θ 1 ) = 0 ,
γ 3 ( k 2 s + b 2 1 ) = 0 .
It is easy to see that γ 1 = 1 and P = k 1 s b 1 from Equations (36) and (37). Then, we discussed the KKT point in the following situations:
(1) When γ 2 = 0 and γ 3 = 0 , solving Equations (35)–(39) yields the following possible optimal solution:
s 1 = B + k 1 2 A , P 1 = k 1 B + k 1 2 A b 1 .
(2) When γ 2 = 0 and k 2 s + b 2 1 = 0 , combining with the KKT condition, we obtain an alternative optimal solution:
s 2 = 1 b 2 k 2 , P 2 = k 1 1 b 2 k 2 b 1 .
(3) When ( k 2 s + b 2 ) + θ 1 = 0 and γ 3 = 0 , another optional optimal solution is given by
s 3 = θ 1 b 2 k 2 , P 3 = k 1 θ 1 b 2 k 2 b 1 .
Next, we need to find the optimal solution from three candidates. According to condition (37), we have P = k 1 s b 1 , and substituting it into the profit function, we obtain
W = A s 2 + ( B + k 1 ) s + C b 1 ,
based on which it is obvious that the optimal solution for this profit function model is ( s 1 , P 1 ) . □
Corollary 3.
s * δ = 1 2 1 μ 1 1 μ 2 > 0 , s * β = λ k 2 2 A > 0 .
Remark 2.
It follows from Corollary 3 that when the negative effect on free memberships becomes larger, the membership fee increases. This implies that when customers become more annoyed with advertisements and more prone to skip them, the website will exploit this to charge a higher membership fee.
When the potential value of a free membership for advertisers increases, the website tends to increase the membership fee. The reason is that the website can provide more free memberships for advertisers with a higher membership fee, and optimize its profit by charging a high price for advertisers.
Corollary 4.
P * δ = k 1 2 1 μ 1 1 μ 2 + β λ ( R 2 R 1 ) ( μ 1 + α ) > 0 , P * β = λ μ 1 μ 2 k 2 s * ( μ 1 + α ) ( μ 2 μ 1 ) + k 1 2 λ μ 1 μ 2 b 2 ( μ 1 + α ) ( μ 2 μ 1 ) > 0 .
Remark 3.
When the negative effect on free memberships becomes larger, the website will increase the cost of advertisers to protect memberships’ utilities. With the increasing potential value of a free membership, the website will set a higher price of advertisement to maximize their own revenue.
Corollary 5.
The optimal profit W * is a quadratic function with respect to both δ and β, the symmetry axes of which are on the right and left side of the origin, respectively. The relationship of advertising negative effect (free memberships’ potential value) and optimal website profit is shown in Figure 3 (Figure 4).
Remark 4.
According to Corollary 5, it is easy to observe that the website profit is a convex function in terms of advertising’s negative effect on free memberships, which means that when δ is small, as the advertising negative effect increases, the number of free memberships decreases, and then the website profit decreases. However, when δ reaches a certain value, more and more viewers may choose to be premium members with an increasing negative advertising effect, thus the website gains more from membership fees and the website profit increases. In addition, the increasing of free memberships’ potential value leads to a higher price for advertisements, thus the website’s profit increases.

4. Numerical Examples

In this section, we will present the impacts of parameters on the optimal website profit using figures, and try to give some management insights.
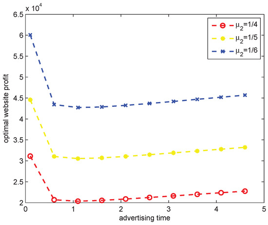
Recall our basic setting, where 1 / μ 2 is the average program time, and 1 / μ 1 is the average program and advertising time; thus, we suppose that 1 / μ 1 1 / μ 2 is the average advertising time. In Figure 5, when the advertising time is short, the optimal website profit declines quickly, as the advertising time becomes longer. We find that a sharp decline in the number of free memberships, resulting from the increasing advertising time, leads to the decrease in advertising fees and website profits. When the profit hits the bottom, it rebounds. As the advertising time increases, the number of premium memberships grows gradually, which results in an increase in website profit.
Figure 6 shows the impact of the reward gap between free and premium memberships on the website’s profit. It is clear that what mainly affects the optimal profit is the difference between the two rewards instead of the specific value of the two rewards. When there is little difference between the two rewards, viewers prefer free memberships, and advertising revenue is a major part of website profit. As the gap increases, the number of free memberships declines rapidly and the advertising revenue falls, as well as the website profit. When the reward gap reaches a certain value, it is worthy for viewers to upgrade to be premium memberships at some appropriate membership fee. Thus, the membership fee becomes the major part of website profit, which rebounds and grows with the increasing reward gap.
The impact of the impatience rate on the optimal website profit is provided by Figure 7. With the impatience rate increasing, the number of free memberships decreases, which leads to a fall in the price for advertisers and a slight growth in the number of premium memberships. In addition, from Figure 7, for a fixed impatience rate, a larger arrival rate λ corresponds to a larger optimal website profit, which implies more potential viewers and means more profit.
Observing Figure 8, we find that when the service cost gap is small, the optimal website profit decreases with the increasing service cost gap. While the gap increases, the number of premium memberships and the corresponding service costs should be controlled to maximize website profit. Thus, a higher membership fee leads to more free memberships and a high price for advertisers. And then, as shown in Figure 8, the optimal website profit grows with the increasing service cost gap, when the gap is more than a certain value.

5. Conclusions

In this paper, we investigated a queuing system with two types of customers and infinite servers. Transient and steady state probability generation functions are obtained, based on which several performance measures are derived. As an application of the queuing system, we build an optimal price decision model for a video website based on the system performances. The impacts of negative advertising effects and customers’ potential value on the optimal pricing strategy are investigated, and numerical examples are presented to illustrate the impacts of parameters, such as advertising time and reward gap, on the optimal website profit. To obtain the optimal profit of the website, the prices for the advertisers and premium members need to be designed delicately. The optimal profit is very sensitive when the advertising time is short, and as the time gets longer, the optimal profit increases steadily. Increasing the reward gap between the two types of customers is helpful for obtaining high profits from the website. The optimal pricing for video websites is very complex, and what we worked out in this paper is limited, and there are many problems can be further discussed. For example, we can consider the pricing problem in a system where the serving devices have limited service capacity, then more congestion and complex impatient problems should be included for investigation. Moreover, the service for the free memberships can be discussed more finely, which means the service time can be divided into two parts, namely the advertising time and the video time.

Funding

This research was funded by NUPTSF (No. NY220160).

Data Availability Statement

All data required for this research are included within the paper.

Conflicts of Interest

The authors declare no conflicts of interest.

References

  1. Barrer, D.Y. Queueing with impatient customers and indifferent clerks. Oper. Res. 1957, 5, 644–649. [Google Scholar] [CrossRef]
  2. Barrer, D.Y. Queueing with impatient customers and ordered service. Oper. Res. 1957, 5, 650–656. [Google Scholar] [CrossRef]
  3. Phung-Duc, T. Asymptotic analysis for Markovian queues with two types of nonpersistent retrial customers. Appl. Math. Comput. 2015, 265, 768–784. [Google Scholar] [CrossRef]
  4. Kim, B.; Kim, J. A single server queue with Markov modulated service rates and impatient customers. Perform. Eval. 2015, 83, 1–15. [Google Scholar] [CrossRef]
  5. Adan, I.; Hathaway, B.; Kulkarni, V.G. On first-come, first-served queues with two classes of impatient customers. Queueing Syst. 2019, 91, 113–142. [Google Scholar] [CrossRef]
  6. Vijayashree, K.; VAmbika, K. An M/M/1 queue subject to differentiated vacation with partial interruption and customer impatience. Qual. Technol. Quant. Manag. 2021, 17, 657–682. [Google Scholar]
  7. Dong, J.; Ibrahim, R. SRPT scheduling discipline in many-server queues with impatient customers. Manag. Sci. 2021, 67, 7708–7718. [Google Scholar] [CrossRef]
  8. Yin, M.; Yan, M.; Guo, Y.; Liu, M. Analysis of a Pre-Emptive Two-Priority Queuing System with Impatient Customers and Heterogeneous Servers. Mathematics 2023, 11, 3878. [Google Scholar] [CrossRef]
  9. Dudin, A.N.; Chakravarthy, S.R.; Dudin, S.A.; Dudina, O.S. Queueing system with server breakdowns and individual customer abandonment. Qual. Technol. Quant. Manag. 2024, 21, 441–460. [Google Scholar] [CrossRef]
  10. Jackson, R.R.P.; Aspden, P. A transient solution to the multistage Poisson queueing system with infinite servers. Oper. Res. 1980, 28, 618–622. [Google Scholar] [CrossRef][Green Version]
  11. Sato, T.; Okada, H.; Yamazato, T.; Katayama, M.; Ogawa, A. Throughput analysis of DS/SSMA unslotted ALOHA system with fixed packet length. IEEE J. Sel. Areas Commun. 1996, 14, 750–756. [Google Scholar] [CrossRef]
  12. Shi, Y.; Li, X.; Fan, P. Optimization of an M/M/ queueing system with free experience service. Asia-Pac. J. Oper. Res. 2016, 33, 1650051. [Google Scholar] [CrossRef]
  13. Hassin, R.; Ravner, L. Delay-Minimizing Capacity Allocation in an Infinite Server-Queueing System. Stoch. Syst. 2019, 9, 27–46. [Google Scholar] [CrossRef]
  14. Burnetas, A.; Economou, A. Equilibrium customer strategies in a single server Markovian queue with setup times. Queueing Syst. 2007, 56, 213–228. [Google Scholar] [CrossRef]
  15. Economou, A.; Kanta, S. Equilibrium balking strategies in the observable single-server queue with breakdowns and repairs. Oper. Res. Lett. 2008, 36, 696–699. [Google Scholar] [CrossRef]
  16. Sun, W.; Li, S.; Cheng, E. Equilibrium and optimal balking strategies of customers in Markovian queues with multiple vacations and N-policy. Appl. Math. Model. 2016, 40, 284–301. [Google Scholar] [CrossRef]
  17. Yu, S.; Liu, Z.; Wu, J. Equilibrium strategies of the unobservable M/M/1 queue with balking and delayed repairs. Appl. Math. Comput. 2016, 290, 56–65. [Google Scholar] [CrossRef]
  18. Economou, A.; Manou, A. Strategic behavior in an observable fluid queue with an alternating service process. Eur. J. Oper. Res. 2016, 254, 148–160. [Google Scholar] [CrossRef]
  19. Hassin, R.; Roet-Green, R. Cascade equilibrium strategies in a two-server queueing system with inspection cost. Eur. J. Oper. Res. 2018, 267, 1014–1026. [Google Scholar] [CrossRef]
  20. Lee, D.H. Equilibrium balking strategies in Markovian queues with a single working vacation and vacation interruption. Qual. Technol. Quant. Manag. 2019, 16, 355–376. [Google Scholar] [CrossRef]
  21. Lee, C.; Ward, A.R. Optimal pricing and capacity sizing for the GI/GI/1 queue. Oper. Res. Lett. 2014, 42, 527–531. [Google Scholar] [CrossRef]
  22. Bai, J.; So, K.C.; Tang, C. A queueing model for managing small projects under uncertainties. Eur. J. Oper. Res. 2016, 253, 777–790. [Google Scholar] [CrossRef][Green Version]
  23. Rochet, J.C.; Tirole, J. Platform competition in two-sided markets. J. Eur. Econ. Assoc. 2003, 1, 990–1029. [Google Scholar] [CrossRef]
  24. Armstrong, M.; Wright, J. Two-Sided Markets with Multihoming and Exclusive Dealing. Idei Working Paper Diw. 2004. Available online: https://www.diw.de/documents/dokumentenarchiv/17/42281/2004-480-v01.pdf (accessed on 1 July 2004).
  25. Zeithammer, R.; Thomadsen, R. Vertical differentiation with variety-seeking consumers. Manag. Sci. 2013, 59, 390–401. [Google Scholar] [CrossRef]
  26. Manuszak, M.D.; Krzysztof, K. The Impact of Price Controls in Two-Sided Markets: Evidence from US Debit Card Interchange Fee Regulation. 2017. Available online: https://doi.org/10.17016/FEDS.2017.074 (accessed on 4 July 2017).
  27. Rochet, J.C.; Tirole, J. Two-sided markets: A progress report. Rand J. Econ. 2006, 37, 645–667. [Google Scholar] [CrossRef]
  28. Armstrong, M.; Wright, J. Two-sided markets, competitive bottlenecks and exclusive contracts. Econ. Theory 2007, 32, 353–380. [Google Scholar] [CrossRef]
  29. Wang, S.; Chen, H.; Wu, D. Regulating platform competition in two-sided markets under the O2O era. Int. J. Prod. Econ. 2019, 215, 131–143. [Google Scholar] [CrossRef]
Figure 1. Working mechanism of this system.
Figure 1. Working mechanism of this system.
Mathematics 12 02030 g001
Figure 2. The degree of satisfaction.
Figure 2. The degree of satisfaction.
Mathematics 12 02030 g002
Figure 3. The optimal website profit versus advertising negative effect.
Figure 3. The optimal website profit versus advertising negative effect.
Mathematics 12 02030 g003
Figure 4. The optimal website profit versus free membership’s potential value.
Figure 4. The optimal website profit versus free membership’s potential value.
Mathematics 12 02030 g004
Figure 5. The optimal website profit versus advertising time for λ = 50 , α = 0.6 , p = 0.5 , δ = 0.2 , β = 1 , c 1 = 4 , c 2 = 6 , R 1 = 1 , R 2 = 2 .
Figure 5. The optimal website profit versus advertising time for λ = 50 , α = 0.6 , p = 0.5 , δ = 0.2 , β = 1 , c 1 = 4 , c 2 = 6 , R 1 = 1 , R 2 = 2 .
Mathematics 12 02030 g005
Figure 6. The optimal website profit versus reward gap for λ = 50 , μ 1 = 1 , μ 2 = 5 , α = 0.6 , p = 0.5 , δ = 0.2 , β = 1 , c 1 = 1 , c 2 = 4 .
Figure 6. The optimal website profit versus reward gap for λ = 50 , μ 1 = 1 , μ 2 = 5 , α = 0.6 , p = 0.5 , δ = 0.2 , β = 1 , c 1 = 1 , c 2 = 4 .
Mathematics 12 02030 g006
Figure 7. The optimal website profit versus impatience rate for μ 1 = 1 , μ 2 = 3 , p = 0.5 , δ = 0.2 , β = 1 , c 1 = 4 , c 2 = 6 , R 1 = 1 , R 2 = 2 .
Figure 7. The optimal website profit versus impatience rate for μ 1 = 1 , μ 2 = 3 , p = 0.5 , δ = 0.2 , β = 1 , c 1 = 4 , c 2 = 6 , R 1 = 1 , R 2 = 2 .
Mathematics 12 02030 g007
Figure 8. The optimal website profit versus cost gap between two memberships for λ = 50 , μ 1 = 3 , μ 2 = 5 , α = 0.6 , p = 0.5 , δ = 0.2 , β = 1 , R 1 = 1 , R 2 = 2 .
Figure 8. The optimal website profit versus cost gap between two memberships for λ = 50 , μ 1 = 3 , μ 2 = 5 , α = 0.6 , p = 0.5 , δ = 0.2 , β = 1 , R 1 = 1 , R 2 = 2 .
Mathematics 12 02030 g008
Disclaimer/Publisher’s Note: The statements, opinions and data contained in all publications are solely those of the individual author(s) and contributor(s) and not of MDPI and/or the editor(s). MDPI and/or the editor(s) disclaim responsibility for any injury to people or property resulting from any ideas, methods, instructions or products referred to in the content.

Share and Cite

MDPI and ACS Style

Bu, Q. Transient Analysis for a Queuing System with Impatient Customers and Its Applications to the Pricing Strategy of a Video Website. Mathematics 2024, 12, 2030. https://doi.org/10.3390/math12132030

AMA Style

Bu Q. Transient Analysis for a Queuing System with Impatient Customers and Its Applications to the Pricing Strategy of a Video Website. Mathematics. 2024; 12(13):2030. https://doi.org/10.3390/math12132030

Chicago/Turabian Style

Bu, Qihui. 2024. "Transient Analysis for a Queuing System with Impatient Customers and Its Applications to the Pricing Strategy of a Video Website" Mathematics 12, no. 13: 2030. https://doi.org/10.3390/math12132030

APA Style

Bu, Q. (2024). Transient Analysis for a Queuing System with Impatient Customers and Its Applications to the Pricing Strategy of a Video Website. Mathematics, 12(13), 2030. https://doi.org/10.3390/math12132030

Note that from the first issue of 2016, this journal uses article numbers instead of page numbers. See further details here.

Article Metrics

Back to TopTop