Abstract
This paper investigates robust constrained cooperative control for multiple trains, taking into account disturbances, velocity and control input constraints, and nonlinear operation resistances. A robust constrained cooperative control algorithm is employed, utilizing position information from neighboring trains to ensure each train operates within the desired formation. The effects of external disturbances are examined through multiple transformations and the convexity of stochastic matrices, resulting in an error bound for the final relative positions. This error boundary is correlated with the parameters of the system matrix, initial state conditions, and disturbance amplitudes. The theoretical findings are substantiated with a numerical example.
Keywords:
multiple trains systems; robust constrained cooperative control; velocity and control input constraints; disturbances MSC:
93A16
1. Introduction
Railways play an important role in modern transportation []. Numerous research efforts have been dedicated to improving train control systems. Early works on train control primarily focused on cruise control for single trains. For instance, mixed control [], a robust adaptive control algorithm [], adaptive iterative learning control [], and velocity difference control [] were derived for high-speed trains to study cruise control problems.
The control of multi-agent systems has been extensively studied. The multi-agent model was introduced to address the coordinated cruise control problem for multiple trains [,]. In [], cooperative control was used in multiple train systems. In [], the proposed event-triggered communication mechanism can reduce the effects of time delay on the coordinated control of multiple trains effectively. Under a moving block signaling mechanism, the adaptive control method was introduced to realize the coordinated control of multiple trains in []. Based on the model in [], the braking distance and redundant safe distance were considered in []. Moreover, in [], the robust constrained cooperative control problem for trains was transformed into an optimization problem that can be solved by the related optimization algorithms.
Additionally, addressing the cooperative control issue for multiple high-speed trains with constraints, [] proposed a cooperative control strategy that considers constraints. In addition, there has been work focusing on energy-saving problems of coordinated control for multiple train systems in [,] and the discussion of cooperative time in [].
However, most of the above results assumed that each train operates under ideal conditions without considering constraints and disturbances, which may lead to the poor performances of those algorithms under actual scenarios. In [,,], constraints were addressed, but the results were given in the absence of external disturbances and uncertainties. As high-speed railways extend for hundreds of kilometers, the movement of high-speed trains is inevitably affected by complex environments []. Real-world factors, such as operational resistance, sensor measurement errors, and environmental disturbances like wind and rain, impact the control performance. In [,,,,], external disturbances and uncertainties were studied, but it was assumed that the trains are not subjected to the constraints of states and inputs. There are few works that address the coexistence of constraints and external disturbances simultaneously. Motivated by these practical challenges, we investigate robust constrained cooperative control for multiple train systems considering disturbances, velocity and control input constraints, and nonlinear operation resistances.
Our work extends the approach in [] by incorporating external disturbances. The robust constrained cooperative control algorithm using information from neighboring trains can guarantee that each train runs in the desired formation. The effects of external disturbances are studied by using multiple transformations and the convexity of stochastic matrices, based on which an error bound is given for the final relative positions, which are correlated with the parameters of the system matrix, initial state conditions, and disturbance maximums. The main contribution is the simultaneous consideration of four different kinds of nonlinearities and the provision of an explicit upper bound for the effects of external disturbances on robust constrained cooperative control of multiple train systems. This consideration enhances the robustness and reliability of train control systems in practical scenarios.
2. Problem Description
In this section, we present the problem description of a multi-train system, considering disturbances, resistance, and constraints on velocity and control inputs.
2.1. Graph Theory
Let be a directed graph composed of n nodes, where and denotes the edge set. Edge if node i can obtain node j’s information. Each edge weight satisfies that for some constant if and otherwise. The neighbor set of node i is denoted by .
The Laplacian matrix of is defined as and for all . A path is composed of a series of edges such as where . A strongly connected graph is one in which there is a directed path between every node []. The non-negative matrix is stochastic if [].
2.2. Model
Suppose a multiple train system with n trains. Each train is considered as one node in graph and is assumed to have the following dynamics
where are the position, velocity and control input for train i, , , and represent the different disturbances, such as uncertainty in the system parameters, sensor measurement errors, and uncertainty in air resistance, denotes the operation resistance, k is the time index, and T represents the sampling period. These disturbances affect the position, velocity, and control input of the trains, respectively. Usually, the operation resistance consists of aerodynamic drag, and mechanical resistance is assumed to have the following form, as in [],
where the coefficients are , , and . The first two terms represent the mechanical resistance, and the third term is the aerodynamic drag. For simplicity, we use “” instead of “” in the following when no confusion can arise.
In actual situations, the velocity and input for all trains usually satisfy some constraints due to the equipment restrictions. To this end, it is assumed that and for all trains, where denotes the maximum velocity, denotes the maximum braking acceleration, and denotes the maximum forward acceleration, respectively.
Let [·] represents the saturation operator for a set , such that
The system (1) with constraints is expressed as
According to reference [], the operation resistance is far less than the maximum braking acceleration and forward acceleration for trains. For simplicity of discussion, the following assumption is given.
Assumption 1.
Suppose that , for some constant .
Our objective of this paper is to analyze the effects of the disturbances in an explicit manner when the trains move in the desired formation, i.e.,
for all i and j. From reference [], can be regarded as for all , where and are two constants.
3. Main Results
3.1. Robust Constrained Cooperative Control Algorithm
For all trains, the algorithm proposed in [] is adopted as
where is a constant. It is assumed here that the desired velocity is known to all trains because of the high requirements of safety.
is used to counteract for all trains, and is used to ensure all trains move in a desired formation by tracking the desired velocity .
3.2. Model Transformations
In this subsection, we introduce transformations and scaling factors to handle constraints and resistance.
3.2.1. Constraint Set Transformations
In system (4), due to input constraints, cannot compensate the operation resistance directly. Here, we introduce the following equivalent transformations.
Let
From reference [,], it follows that .
From the definitions of and , we have and if . Define
Then, we have . From (2) and Assumption 1, we have
Similarly, if , we have and .
3.2.2. Model Transformations
Define , and
It follows that
To remove the constraint operator , the following scaling factors and are introduced for all i and ,
and
where , . According to the definition of , we have . Note that and . It follows that . Analogously, we have .
Applying algorithm (6), system (4) can be expressed as
where . In system (12), the constraints of the velocities and the inputs are removed by introducing and . However, there still exists an integral relationship between the states and , which makes the system analysis hard to be proceeded. To this end, a further model transformation needs to be made.
Let
where is a constant. It follows that
Let , and with
where denotes a block diagonal matrix with as the ith diagonal matrix block for all . Let , , Q = with =, =, = and =, , , , and .
Write system (14) in a matrix form:
where = , and ⊗ denotes the Kronecker product.
3.3. Convergence Analysis
In this subsection, we analyze the convergence of the robust constrained cooperative control algorithm for train systems.
Before the main analysis, some results are presented.
Assumption 2.
Suppose that , ,
, and for all i and , where . Let ; it is clear that .
Lemma 1.
Under Assumptions 1 and 2,
and
Proof.
Since and , it is clear that , , and . □
Therefore, we have
for all i and . Also, from the definition of , if , and if . Note that ; therefore, we have .
Hence,
for all i.
Lemma 2.
Under Assumptions 1 and 2, the system matrix is a stochastic matrix with all nonzero elements larger than a positive constant.
Proof.
Under Assumptions 1 and 2, from Lemma 1, we have . It is found that and
Consider that . It is found that
Note that if . Thus, all elements of are non-negative. Also, note that the sum of each row in is 1 and . It follows that . Therefore, is a stochastic matrix with all nonzero elements larger than a positive constant. □
3.4. The Effects of External Disturbances
In this subsection, we discuss the system in the presence of external disturbances, i.e., and . By considering disturbance models, we assessed the algorithm’s robustness and its ability to ensure that the trains reach a desired formation with bounded relative position errors despite external disturbances.
Let , and . Let . System (16) is equivalent to
for all .
Lemma 3.
Under Assumptions 1 and 2, for all i and the system matrix is a stochastic matrix with all nonzero elements larger than a positive constant for .
Proof.
Under Assumptions 1 and 2, according to Lemma 2, is a stochastic matrix. It follows that , and we have , similar to Lemmas 2, is a stochastic matrix with all nonzero elements larger than . By analogy, for all i and is a stochastic matrix with all nonzero elements larger than for . □
Theorem 1.
Consider that is strongly connected and . Under Assumptions 1 and 2, applying control algorithm (6), all trains finally run in a desired formation with some certain relative position errors, i.e., .
Proof.
From Lemma 3, for all i, and is a stochastic matrix with all nonzero elements larger than for . It is proven that is a stochastic matrix and from [reference [], Lemma 2], we have
for all . It follows that
Note that .
Construct a Lyapunov function as
As a consequence,
Then,
□
It follows that , and is a stochastic matrix with all nonzero elements larger than . is also a stochastic matrix with all elements larger than . Similar to (27)–(29), it can be proven that .
Note that when , . When , from the stochasticity of , under Assumption 2, and . is a stochastic matrix with all nonzero elements larger than .
By analogy, , and is a stochastic matrix with all nonzero elements larger than for all i and . We have and . By analogy, it can be proven that , where . Hence, . Finally, from the relationship of , , and , it follows that for all .
4. Simulation
Consider a multiple train system with four trains. Suppose that the communication graph is as given in Figure 1, where the weight of each edge is . The maximum velocity of the trains, denoted as , is . The control input parameters and are set according to selection rule given by Assumption 2. The control input constraint set is . The coefficients of are , and . The desired relative positions of all trains are set as . The sampling time T is . The initial states of four trains are given by , , , , and and . The feedback gain is .

Figure 1.
The directed communication graph.
Based on Theorem 1, when the controller coefficients are determined, the amplitude of disturbances needs to establish for any . Accordingly, suppose that the disturbances are , , , , , , , , , , , and .
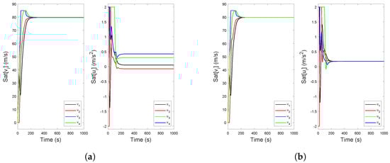
Figure 2 and Figure 3 show the states and control inputs of all trains. The distances between neighboring trains are shown in Figure 4 and Figure 5. The results indicate that all trains will finally move in a desired formation with some certain relative position errors. By calculation, . The original relative position of 8000 m plus the maximum potential error of 7694 m, resulting in a total distance of 15,694 m, is acceptable because it meets the current safety requirements based on practical scheduling guidelines.

Figure 2.
The position trajectories of all trains (a) in the presence of disturbances and (b) in the absence of disturbances.

Figure 3.
The velocity and control input trajectories of all trains (a) in the presence of disturbances and (b) in the absence of disturbances.

Figure 4.
Relative position trajectories between neighboring trains (a) in the presence of disturbances and (b) in the absence of disturbances.

Figure 5.
The error trajectories (a) in the presence of disturbances and (b) in the absence of disturbances.
By taking disturbances into consideration, we assessed the algorithm’s robustness and its ability to ensure that the trains reach a desired formation with bounded relative position errors despite external disturbances. The simulation results indicate that trains successfully keep the desired formation with bounded relative position errors despite external disturbances, demonstrating its effectiveness in disturbance scenarios.
5. Conclusions
This paper studied robust constrained cooperative control for multiple train systems with disturbances. A robust constrained cooperative control algorithm using position information of neighboring trains is employed to guarantee that all trains can run in a desired formation. The effects of disturbances on robust cooperative control, input constraints, and velocity constraints for multiple train systems were considered, based on which an explicit upper bound is given for the final relative positions, which are related to the initial state conditions and the disturbance maximums. This work might be the first effort to identify the specific impact boundaries for multiple train systems under the influence of external disturbances. This paper demonstrates that the robust constrained cooperative control method enables the safe operation of multiple trains systems under these nonlinearities, enhancing the robustness and reliability of train control systems in practical scenarios. Future work could be directed to consider communication delays and collision avoidance.
Author Contributions
Conceptualization, Q.H. and X.F.; methodology, Q.H. and X.F.; software, Q.H.; validation, Q.H.; formal analysis, Q.H. and X.F.; investigation, Q.H.; resources, Q.H., X.F., and Y.W.; data curation, Q.H.; writing—original draft preparation, Q.H.; writing—review and editing, X.F. and Y.W.; visualization, Q.H.; supervision, X.F.; project administration, X.F.; funding acquisition, X.F. All authors have read and agreed to the published version of the manuscript.
Funding
This research was funded in part by the National Natural Science Foundation of China under grant 62203475, and in part by the Natural Science Foundation of Hunan Province of China under grant 2023JJ40766.
Data Availability Statement
Dataset available on request from the authors.
Conflicts of Interest
The authors declare no conflicts of interest.
References
- Lin, P.; Tian, Y.; Gui, G.; Yang, C. Cooperative control for multiple train systems: Self-adjusting zones, collision avoidance and constraints. Automatica 2022, 144, 110470. [Google Scholar] [CrossRef]
- Yang, C.D.; Sun, Y.P. Mixed H2/H∞ cruise controller design for high speed train. Int. J. Control 2001, 74, 905–920. [Google Scholar] [CrossRef]
- Song, Q.; Song, Y.D.; Tang, T.; Ning, B. Computationally inexpensive tracking control of high-speed trains with traction/braking saturation. IEEE Trans. Intell. Transp. Syst. 2011, 12, 1116–1125. [Google Scholar] [CrossRef]
- Ji, H.; Hou, Z.; Zhang, R. Adaptive iterative learning control for high-speed trains with unknown speed delays and input saturations. IEEE Trans. Autom. Sci. Eng. 2016, 13, 260–273. [Google Scholar] [CrossRef]
- Pan, D.; Zheng, Y.; Qiu, J.; Zhao, L. Synchronous control of vehicle following behavior and distance under the safe and efficient steady-following state: Two case studies of high-Speed train following control. IEEE Trans. Intell. Transp. Syst. 2018, 19, 1445–1456. [Google Scholar] [CrossRef]
- Li, S.; Yang, L.; Gao, Z. Coordinated cruise control for high-speed train movements based on a multi-agent model. Transp. Res. C Emerg. Technol. 2015, 56, 281–292. [Google Scholar] [CrossRef]
- Bai, W.; Lin, Z.; Dong, H.; Ning, B. Distributed cooperative cruise control of multiple high-Speed trains under a state-dependent information transmission topology. IEEE Trans. Intell. Transp. Syst. 2019, 20, 2750–2763. [Google Scholar] [CrossRef]
- Zhao, Y.; Wang, T.; Karimi, H.R. Distributed cruise control of high-speed trains. J. Frankl. Inst. 2017, 354, 6044–6061. [Google Scholar] [CrossRef]
- Bai, W.; Dong, H.; Lü, J.; Li, Y. Event-triggering communication based distributed coordinated control of multiple high-speed trains. IEEE Trans. Veh. Technol. 2021, 70, 8556–8566. [Google Scholar] [CrossRef]
- Dong, H.; Gao, S.; Ning, B. Cooperative control synthesis and stability analysis of multiple trains under moving signaling systems. IEEE Trans. Intell. Transp. Syst. 2016, 17, 2730–2738. [Google Scholar] [CrossRef]
- Gao, S.; Dong, H.; Ning, B.; Zhang, Q. Cooperative prescribed performance tracking control for multiple high-speed trains in moving block signaling system. IEEE Trans. Intell. Transp. Syst. 2019, 20, 2740–2749. [Google Scholar] [CrossRef]
- Li, S.; Yang, L.; Gao, Z. Distributed optimal control for multiple high-speed train movement: An alternating direction method of multipliers. Automatica 2020, 112, 108646. [Google Scholar] [CrossRef]
- Tian, Y.; Lin, P. Cooperative control for multiple high-speed trains with constraints and acceleration zone under moving block system. Int. J. Robust Nonlinear Control 2022, 32, 3662–3673. [Google Scholar] [CrossRef]
- Yan, X.; Cai, B.; Ning, B.; ShangGuan, W. Online distributed cooperative model predictive control of energy-saving trajectory planning for multiple high-speed train movements. Transp. Res. C Emerg. Technol. 2016, 69, 60–78. [Google Scholar] [CrossRef]
- Su, S.; Tang, T.; Roberts, C. A cooperative train control model for energy saving. IEEE Trans. Intell. Transp. Syst. 2015, 16, 622–631. [Google Scholar] [CrossRef]
- Zhang, Z.; Song, H.; Wang, H.; Wang, X.; Dong, H. Cooperative multi-scenario departure control for virtual coupling trains: A fixed-time approach. IEEE Trans. Veh. Technol. 2021, 70, 8545–8555. [Google Scholar] [CrossRef]
- Lin, P.; Huang, Y.; Zhang, Q.; Yuan, Z. Distributed velocity and input constrained tracking control of high-speed train systems. IEEE Trans. Syst. Man Cybern. Syst. 2021, 51, 7882–7888. [Google Scholar] [CrossRef]
- Sun, X.; Zeng, M.; Lin, P. Distributed constrained control for multi-train systems with multiple cars. Int. J. Robust. Nonlinear Control 2024, 34, 2315–2332. [Google Scholar] [CrossRef]
- Wang, X.; Zhu, L.; Wang, H.; Tang, T.; Li, K. Robust distributed cruise control of multiple high-speed trains based on disturbance observer. IEEE Trans. Intell. Transp. Syst. 2021, 22, 267–279. [Google Scholar] [CrossRef]
- Yao, X.; Wu, L.; Guo, L. Disturbance-observer-based fault tolerant control of high-speed trains: A Markovian jump system model approach. IEEE Trans. Syst. Man Cybern. Syst. 2020, 50, 1476–1485. [Google Scholar] [CrossRef]
- Tang, H.; Wang, Q.; Feng, X. Robust stochastic control for high-speed trains with nonlinearity, parametric uncertainty, and multiple time-varying delays. IEEE Trans. Intell. Transp. Syst. 2018, 19, 1027–1037. [Google Scholar] [CrossRef]
- Xi, W.; Hu, M.; Wang, H.; Dong, H.; Ying, Z. Formation control for virtual coupling trains with parametric uncertainty and unknown disturbances. IEEE Trans. Circuits Syst. II-Express Briefs 2023, 70, 3429–3433. [Google Scholar] [CrossRef]
- Wang, D.; Su, S.; Han, L.; Li, D. Finite-time distributed adaptive coordinated control for multiple traction units of high-speed trains. IEEE Trans. Intell. Transp. Syst. 2024, 1–15. [Google Scholar] [CrossRef]
- Godsil, C.; Royle, G.F. Algebraic Graph Theory; Springer: Berlin/Heidelberg, Germany, 2001; Volume 207. [Google Scholar]
- Horn, R.A.; Johnson, C.R. Matrix Analysis; Cambridge University Press: Cambridge, UK, 2012. [Google Scholar]
- Davis, W.J. The tractive resistance of electric locomotives and cars. Gen. Electr. Rev. 1926, 29, 685–707. [Google Scholar]
- Lin, P.; Ren, W.; Yang, C.; Gui, W. Distributed consensus of second-order multiagent systems with nonconvex velocity and control input constraints. IEEE Trans. Autom. Control 2018, 63, 1171–1176. [Google Scholar] [CrossRef]
- Lin, P.; Ren, W.; Gao, H. Distributed velocity-constrained consensus of discrete-time multi-agent systems with nonconvex constraints, switching topologies, and delays. IEEE Trans. Autom. Control 2017, 62, 5788–5794. [Google Scholar] [CrossRef]
Disclaimer/Publisher’s Note: The statements, opinions and data contained in all publications are solely those of the individual author(s) and contributor(s) and not of MDPI and/or the editor(s). MDPI and/or the editor(s) disclaim responsibility for any injury to people or property resulting from any ideas, methods, instructions or products referred to in the content. |
© 2024 by the authors. Licensee MDPI, Basel, Switzerland. This article is an open access article distributed under the terms and conditions of the Creative Commons Attribution (CC BY) license (https://creativecommons.org/licenses/by/4.0/).