Exploring the Extended Beta-Logarithmic Function: Matrix Arguments and Properties
Abstract
1. Introduction and Preliminaries
2. The Extended Beta-Logarithmic Matrix Function
2.1. Convergence Property
- a-
- b-
- c-
- d-
- For with and let Then, the extended logarithmic mean of a matrix argument is defined by
- e-
- f-
- g-
2.2. Partial Derivative Formulas
3. Some Analytic Characteristics
4. The Beta-Logarithmic Distribution: Matrix Arguments
5. Numerical and Graphical Representations
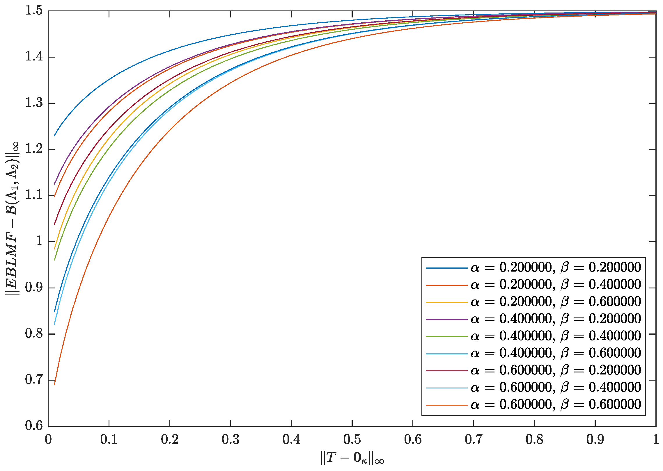
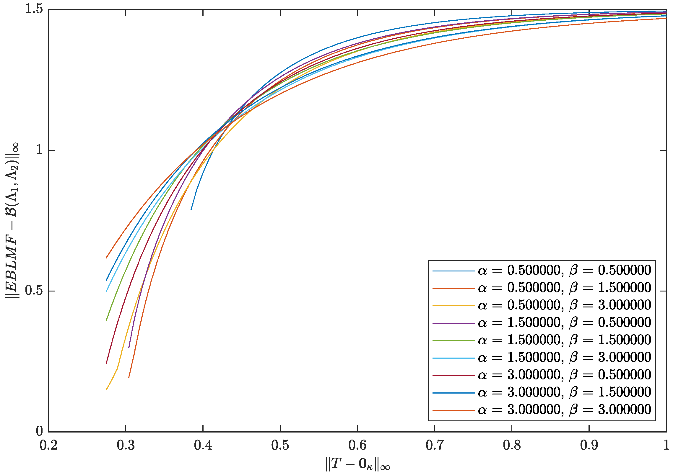
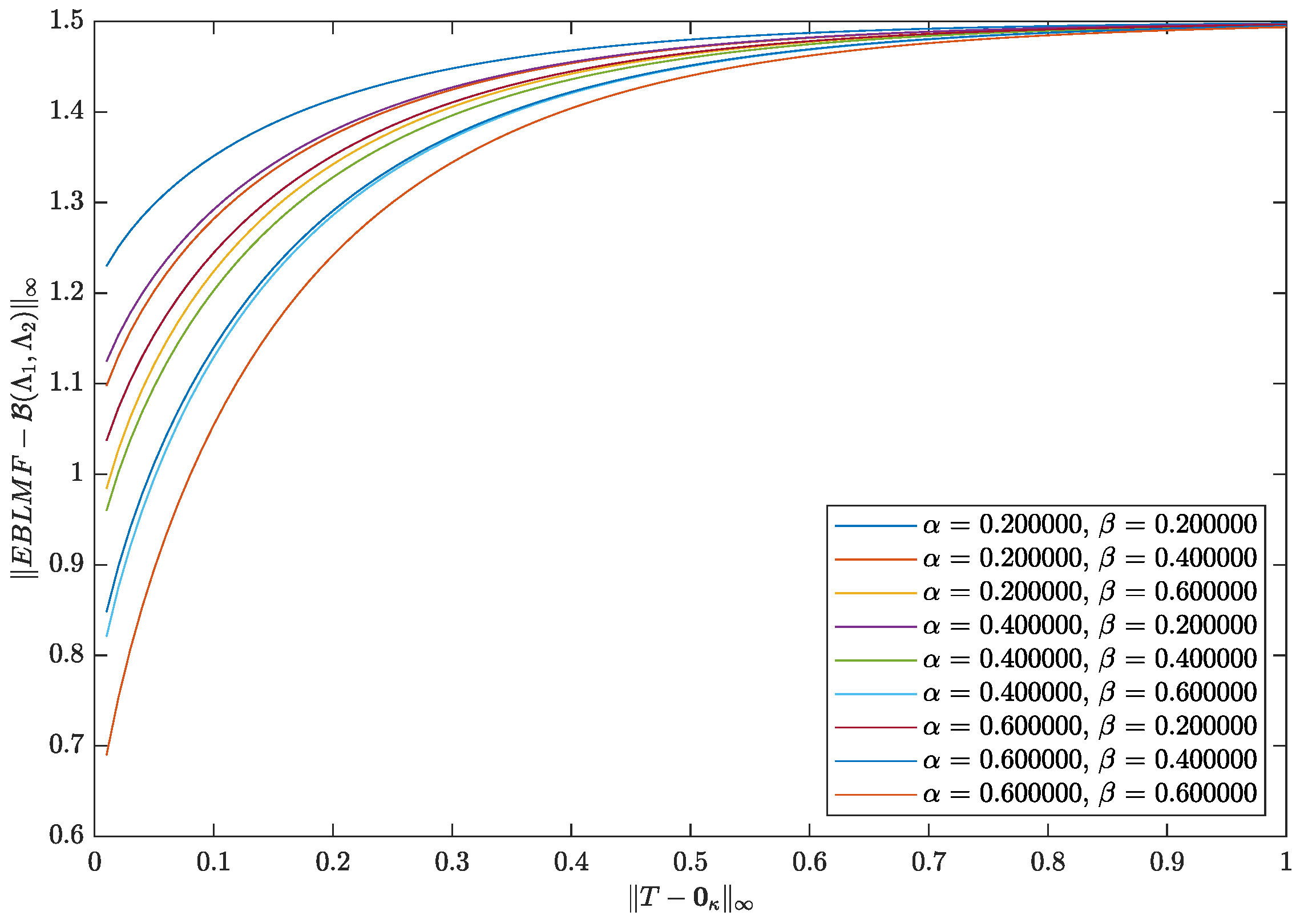
5.1. Numerical Illustration Examples
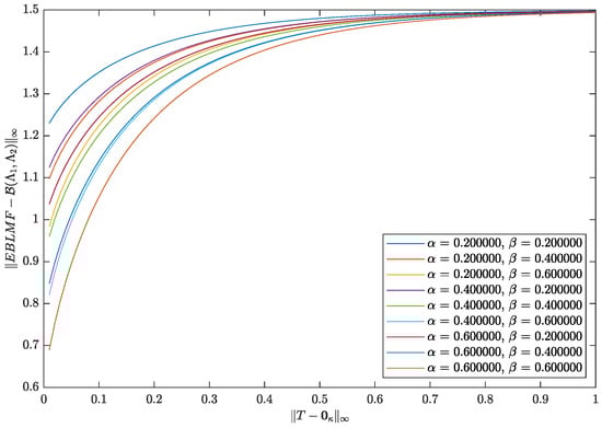
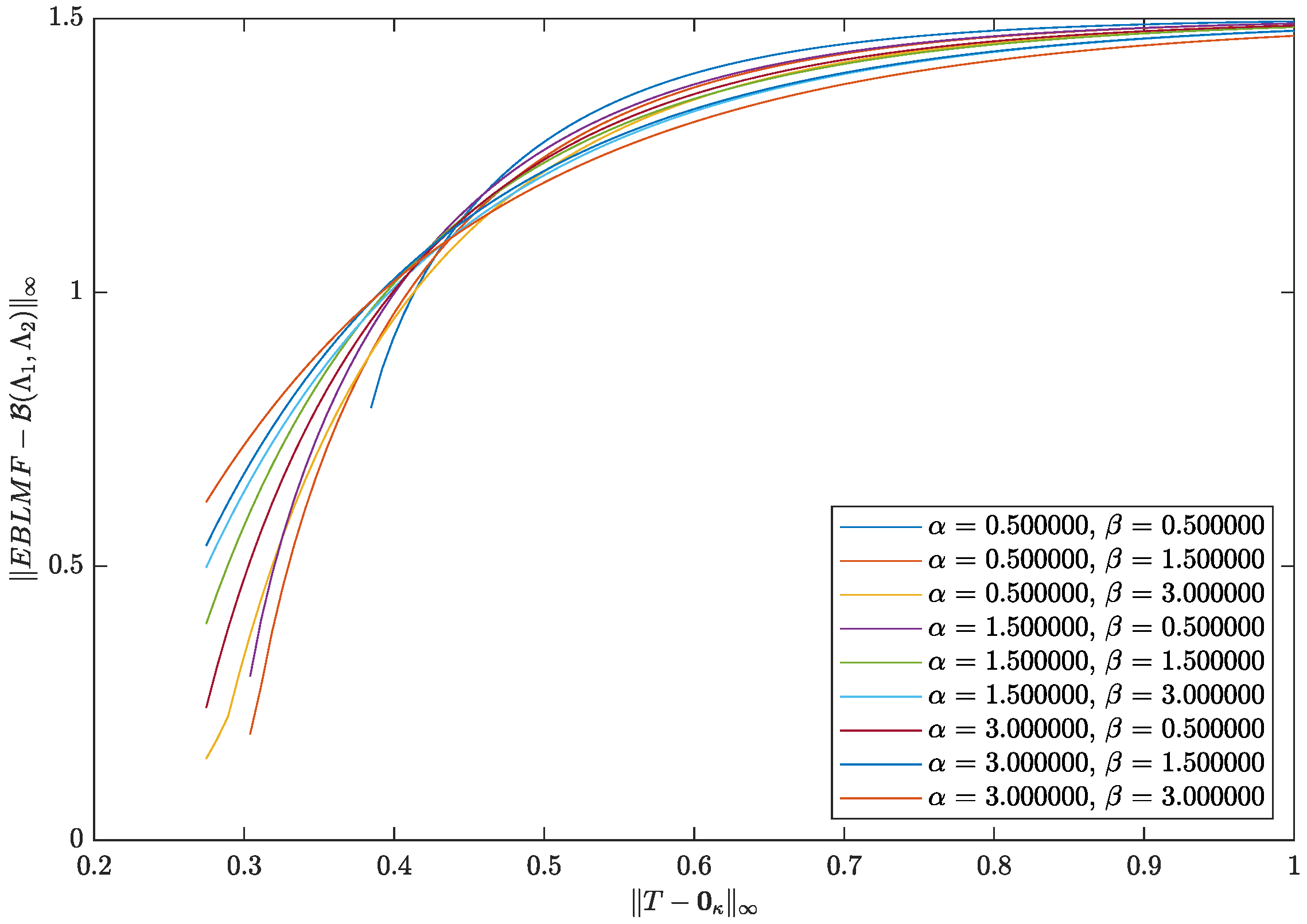
5.2. Graphical Representations
6. Conclusions
Funding
Data Availability Statement
Acknowledgments
Conflicts of Interest
References
- Agarwal, P.; Agarwal, R.P.; Ruzhansky, M. Special Functions and Analysis of Differential Equations; CRC Press: Boca Raton, FL, USA, 2020. [Google Scholar]
- Akhmedova, V.; Akhmedov, E.T. Selected Special Functions for Fundamental Physics; Springer: Cham, Switzerland, 2019. [Google Scholar]
- Andrews, G.E.; Askey, R.; Roy, R. Special Functions, Encyclopedia of Mathematics and Its Applications; Cambridge University Press: Cambridge, UK; London, UK; New York, NY, USA, 1999; Volume 71. [Google Scholar]
- Abdalla, M. Special matrix functions: Characteristics, achievements and future directions. Linear Multilinear Algebra 2020, 68, 1–28. [Google Scholar] [CrossRef]
- Abdalla, M.; Akel, M.; Choi, J. Certain matrix Riemann-Liouville fractional integrals associated with functions involving generalized Bessel matrix polynomials. Symmetry 2021, 13, 622. [Google Scholar] [CrossRef]
- Abd-Elmageed, H.; Hidan, M.; Abdalla, M. Investigation for the k-analogue of τ-Gauss hypergeometric matrix functions and associated fractional calculus. Linear Multilinear Algebra 2024, 72, 737–750. [Google Scholar] [CrossRef]
- Hidan, M.; Akel, M.; El-mageed, H.A.; Abdalla, M. Some matrix families of the Hurwitz-Lerch ζ-functions and associated fractional kinetic equations. Fractals 2022, 30, 2240027. [Google Scholar] [CrossRef]
- He, F.; Bakhet, A.; Hidan, M.; Abdalla, M. Two variables Shivley’s matrix polynomials. Symmetry 2019, 11, 151. [Google Scholar] [CrossRef]
- Cuchta, T.; Grow, D.; Wintz, N. Divergence criteria for matrix generalized hypergeometric series. Proc. Am. Math. Soc. 2022, 150, 1235–1240. [Google Scholar] [CrossRef]
- Abdalla, M.; Bakhet, A. Extension of Beta matrix function. Asian J. Math. Comput. Res. 2016, 9, 253–264. [Google Scholar]
- Khammash, G.; Agarwal, P.; Choi, J. Extended k-gamma and k-beta functions of matrix arguments. Mathematics 2020, 8, 1715. [Google Scholar] [CrossRef]
- Abdalla, M.; Bakhet, A. Extended Gauss hypergeometric matrix functions. Iran. J. Sci. Technol. Trans. Sci. 2018, 42, 1465–1470. [Google Scholar] [CrossRef]
- Verma, A.; Yadav, K.S.; Sharan, B.; Suthar, D.L. Some properties of ψ-gamma, ψ-beta and ψ-hypergeometric matrix functions. Analysis 2024. [Google Scholar] [CrossRef]
- Maa, X.; Bakhetb, A.; He, F.; Abdalla, M. The incomplete matrix beta function and its application to first Appell hypergeometric matrix function. Linear Multilinear Algebra 2023, 1–19. [Google Scholar] [CrossRef]
- Brualdi, R.; Cvetkvić, D. A Combinatorial Approach to Matrix Theory and Its Applications; Chapman and Hall/CRC: New York, NY, USA, 2009. [Google Scholar]
- Johnson, C.R. Positive definite matrices. Am. Math. Mon. 1970, 77, 259–264. [Google Scholar] [CrossRef]
- Golud, G.H.; Loan, C.F.V. Matrix Computations; The Johns Hopkins Press Ltd.: London, UK, 1996. [Google Scholar]
- Jeffrey, A.; Dai, H.H. Handbook of Mathematical Formulas and Integrals, 4th ed.; Academic Press: Amsterdam, The Netherlands, 2008. [Google Scholar]
- Srivastava, H.M.; Choi, J. Zeta and q-Zeta Functions and Associated Series and Integrals; Elsevier Science Publishers: Amsterdam, The Netherlands; London, UK; New York, NY, USA, 2012. [Google Scholar]
- Jódar, L.; Cortés, J. Some properties of gamma and beta matrix functions. Appl. Math. Lett. 1998, 11, 89–93. [Google Scholar] [CrossRef]
- Chaudhry, M.A.; Qadir, A.; Rafique, M.; Zubair, S.M. Extension of Euler’s beta function. J. Comput. Appl. Math. 1997, 78, 19–32. [Google Scholar] [CrossRef]
- Abdalla, M.; Idris, S.A.; Mekawy, I. Some results on the extended hypergeometric matrix functions and related functions. J. Math. 2021, 2021, 2046726. [Google Scholar] [CrossRef]
- Choi, B.J.; Kim, S. Logarithmic mean of positive invertible operators. Banach J. Math. Anal. 2023, 17, 20. [Google Scholar] [CrossRef]
- Nussbaum, R.D.; Cohen, J.E. The arithmetic-geometric mean and its generalizations for noncommuting linear operators. Ann. Sc. Norm. Super. Pisa Cl. Sci. Sér. Tome. 1988, 15, 239–308. [Google Scholar]
- Raïssouli, M.; Chergui, M. On a new parametrized beta functions. Proc. Inst. Math. Mech. Natl. Acad. Sci. Azerbaijan 2022, 48, 132–139. [Google Scholar]
- Alqarni, M.Z.; Abdalla, M. Analytic properties and numerical representations for constructing the extended beta function using logarithmic mean. Aims Math. 2024, 9, 12072–12089. [Google Scholar] [CrossRef]
- Protter, M.H.; Morrey, C.B. Intermediate Calculus, 2nd ed.; Springer: New York, NY, USA, 1985. [Google Scholar]
- Chaudhry, M.A.; Zubair, S.M. On a Class of Incomplete Gamma Functions with Applications; Chapman and Hall/CRC: Boca Raton, FL, USA, 2002. [Google Scholar]
- Pishro-Nik, H. Introduction to Probability, Statistics, and Random Processes; Kappa Research LLC: Sunderland, MA, USA, 2014. [Google Scholar]
- Dell’Accio, F.; Tommaso, F.D.; Guessab, A.; Nudo, F. A unified enrichment approach of the standard three-node triangular element. Appl. Numer. Math. 2023, 187, 1–23. [Google Scholar] [CrossRef]




Disclaimer/Publisher’s Note: The statements, opinions and data contained in all publications are solely those of the individual author(s) and contributor(s) and not of MDPI and/or the editor(s). MDPI and/or the editor(s) disclaim responsibility for any injury to people or property resulting from any ideas, methods, instructions or products referred to in the content. |
© 2024 by the author. Licensee MDPI, Basel, Switzerland. This article is an open access article distributed under the terms and conditions of the Creative Commons Attribution (CC BY) license (https://creativecommons.org/licenses/by/4.0/).
Share and Cite
Alqarni, M.Z. Exploring the Extended Beta-Logarithmic Function: Matrix Arguments and Properties. Mathematics 2024, 12, 1674. https://doi.org/10.3390/math12111674
Alqarni MZ. Exploring the Extended Beta-Logarithmic Function: Matrix Arguments and Properties. Mathematics. 2024; 12(11):1674. https://doi.org/10.3390/math12111674
Chicago/Turabian StyleAlqarni, Mohammed Z. 2024. "Exploring the Extended Beta-Logarithmic Function: Matrix Arguments and Properties" Mathematics 12, no. 11: 1674. https://doi.org/10.3390/math12111674
APA StyleAlqarni, M. Z. (2024). Exploring the Extended Beta-Logarithmic Function: Matrix Arguments and Properties. Mathematics, 12(11), 1674. https://doi.org/10.3390/math12111674
