Adaptive Graph Convolutional Recurrent Network with Transformer and Whale Optimization Algorithm for Traffic Flow Prediction
Abstract
1. Introduction
- We propose an adaptive graph convolutional recurrent network with the transformer algorithm. This network infers the interdependencies between traffic sequences and integrates the transformer technique to capture both long and short-term temporal dependencies.
- We propose utilizing whale optimization algorithms to design an optimal network structure that aligns with the transportation domain, thereby aiming to significantly enhance the accuracy of traffic flow prediction.
- The feasibility and advantages of the proposed network model are validated using four real datasets. The results from experiments on these datasets affirm the effectiveness of our method. In PEMS03, our model reduces MAE by 2.6% and RMSE by 1.4%. In PEMS04, improvements are 1.6% in MAE and 1.4% in RMSE. In PEMS07, a 4.1% MAE improvement and 2.2% in RMSE is exhibited. Moreover, in PEMS08, our model surpasses the baseline with a 3.4% MAE improvement and 1.6% in RMSE.
- We effectively address the challenge of long-range time dependence and significantly improve the performance of the network model compared to several baseline methods, including the most recent state-of-the-art approaches.
2. Related Work
2.1. Spatio-Temporal Prediction
2.2. Graph Convolution Networks
2.3. Swarm Intelligence Optimization Algorithm
3. Methodology
3.1. Problem Statement and Preliminaries
3.2. The Proposed Algorithm
3.2.1. Adaptive Graph Convolutional Recurrent Network
3.2.2. Adaptive Graph Convolutional Recurrent Network Based on Transformer
3.2.3. Whale Optimization Algorithm
- (1)
- Development stage
- (2)
- Exploration stage
3.2.4. WOA-Optimized AGCRTN Method (WOA-AGCRTN)
4. Experiment
4.1. Datasets
4.2. Baseline Methods
4.3. Experiment Settings
- In the first stage, we determine the parameter combinations to search for the optimal number of layers and neural units in the GRU hidden layers, the number of transformer layers, and the number of heads in the multi-headed attention mechanism, as well as the parameters of learning rate and learning rate decay within the structure of the AGCRTN network model. After conducting several experiments, we determined the range of search parameter combinations for the PEMS04 and PEMS08 datasets as [1, 20, 1, 1, 0.2, 0.002] to [2, 90, 6, 8, 0.6, 0.006]. Due to the relatively large size of PEMS07 and equipment limitations, the range for the PEMS07 dataset was set as [1, 20, 1, 1, 0.2, 0.002] to [1, 60, 2, 4, 0.6, 0.006]. For the PEMS03 dataset, the range of search parameter combinations was determined as [1, 20, 1, 1, 0.2, 0.002] to [2, 78, 6, 8, 0.6, 0.006]. The number of epochs for all four datasets was set to 200, and 15 early stopping mechanisms were employed for certain parameters. The batch size was set to 64 for PEMS03, PEMS04, and PEMS08, and to 32 for PEMS07. The embedding matrix dimension was set to 10 for the PEMS03, PEMS04, and PEMS07 datasets, thereby following the parameters of the AGCRN model; meanwhile, for the PEMS08 dataset, it was set to 2. WOA-AGCRTN was trained using the Adam optimizer with a decaying learning rate, and the L1 loss function was employed.
- In the second stage, the WOA is employed to search for the optimal combination of parameters within the network structure search space, with the L1 loss on the validation set serving as the fitness function. The performance of the obtained optimal network structure was assessed based on three evaluation metrics: the mean absolute error (MAE), the root mean square error (RMSE), and the mean absolute percentage error (MAPE). Assume that is the real traffic flow data for all nodes at time step i, is the predicted value, and N is the number of samples observed. These indicators are defined as Equations (24)–(26):
4.4. Experiment Results and Analysis
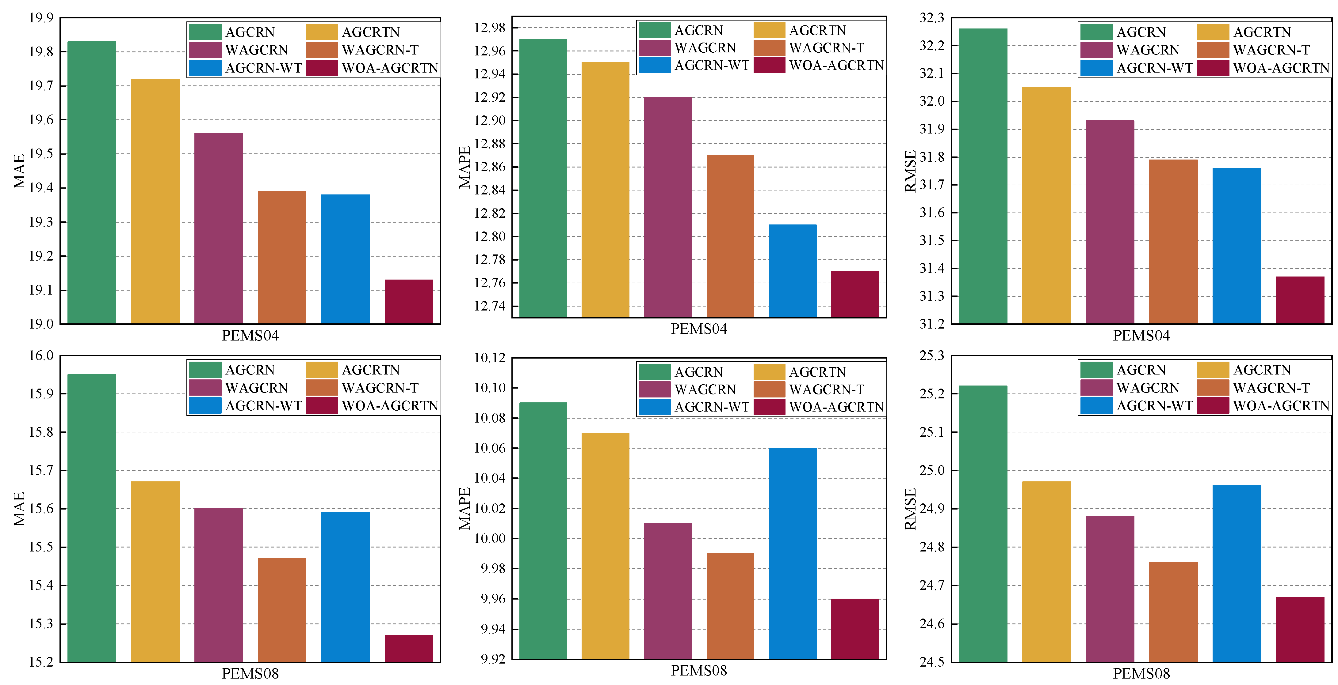
4.5. Ablation Study
- AGCRN: This replaces the traditional GCN with NAPL, DAGG, and then integrates the NAPL-DAGG-GCN module with GRU to capture the temporal and spatial correlations.
- AGCRTN: Compared to WOA-AGCTRN, the WOA is not present, and specific parameters are set according to experience.
- WAGCRN: Compared to WOA-AGCRTN, the transformer layer is removed and WOA is used to only optimize the Rnn-num-units, Rnn-num-layers, Lr-init, and Lr-decay-rate mechanisms of the AGCRN module.
- WAGCRN-T: Compared to WOA-AGCRTN, WOA’s optimization of the transformer module is removed, i.e., WOA only optimizes the Rnn-num-units, Rnn-num-layers, Lr-init, and Lr-decay-rate mechanisms of the AGCRN module.
- AGCRN-WT: On the basis of WOA-AGCRTN, the optimization of the AGCRN module by WOA is removed, and WOA only optimizes the Transformer-num-layers Transformer-num-layers, Lr-init, and Lr-decay-rate mechanisms of the transformer module.
- WOA-AGCRTN: The WOA-AGCRTN model employs the transformer algorithm and WOA to capture the global dependencies, thus effectively optimizing the model parameters to attain the optimal combination for the network model’s performance.
- The AGCRTN model demonstrated a superior overall performance compared to AGCRN, thereby highlighting the effectiveness of the transformer algorithm in capturing global temporal dependencies. In contrast, GRU was primarily used to capture the short-term temporal dependencies. However, by integrating GRU with the transformer algorithm to model both long- and short-range temporal dimensions, the prediction performance was further improved.
- The WAGCRN model consistently outperformed AGCRN, thus highlighting the necessity of employing WOA for neural network architecture searches.
- The WAGCRN-T model exhibited a superior performance compared to AGCRTN and WAGCRN. By leveraging the search capability of WOA to enhance the parameter training process of AGCRTN and integrating it with the transformer module, the indispensability of both WOA and the transformer modules in the overall model was demonstrated.
- The AGCRN-WT model demonstrated an overall superior performance compared to AGCRTN and WAGCRN. By leveraging the search capability of WOA to enhance the parameter training process of the transformer module, the indispensability of both WOA and the transformer modules for the entire model was demonstrated.
- The overall performance of the WOA-AGCRTN model was optimized compared to WAGCRN-T and AGCRN-WT. This optimization was achieved by utilizing the search capability of WOA to enhance the parameter training process of both AGCRN and the transformer algorithm, thus resulting in an improved prediction accuracy. These results demonstrate the synergistic nature of GRU and the transformer algorithm, and they also underscore the significance of WOA in optimizing the parameters of both GRU and the transformer algorithm for model performance.
4.6. WOA Optimizes the Iterations of the Different Modules
5. Conclusions
Author Contributions
Funding
Data Availability Statement
Conflicts of Interest
Abbreviations
| Graph with a set of vertices (V), edges (E), and an adjacency matrix (A) | |
| Traffic sensor nodes (observation points) | |
| The observed value at the time step t | |
| The number of feature channels | |
| A function of learning historical traffic flow sequence information | |
| The node-embedding matrix | |
| The weight pool | |
| The learnable node embedding | |
| The output of GRU | |
| The queries, keys, and values of all nodes | |
| , | Queries of dimension, and the keys and values of dimension |
| ,, | The projection matrices to be learned |
| The input for the prediction layer | |
| The ratio in WOA | |
| linearly decreases from 2 to 0 | |
| Random vector | |
| The distance between and after scaling by | |
| X*(t) | The leading whale in the WOA |
| The whale requiring position update | |
| The whale‘s updated position | |
| The distance between and | |
| A constant typically set to 1 | |
| A randomly generated number in the range of 0 to 1 | |
| Randomly chosen to guide the position update of |
References
- Jiang, W.; Luo, J. Graph neural network for traffic forecasting: A survey. Expert Syst. Appl. 2022, 207, 117921. [Google Scholar] [CrossRef]
- Wu, Z.; Pan, S.; Chen, F.; Long, G.; Zhang, C.; Yu, P.S. A comprehensive survey on graph neural networks. IEEE Trans. Neural Netw. Learn. Syst. 2020, 32, 4–24. [Google Scholar] [CrossRef]
- Shahriari, S.; Ghasri, M.; Sisson, S.A.; Rashidi, T. Ensemble of ARIMA: Combining parametric and bootstrapping technique for traffic flow prediction. Transp. A Transp. Sci. 2020, 16, 1552–1573. [Google Scholar] [CrossRef]
- Lu, Z.; Zhou, C.; Wu, J.; Jiang, H.; Cui, S. Integrating granger causality and vector auto-regression for traffic prediction of large-scale WLANs. KSII Trans. Internet Inf. Syst. (TIIS) 2016, 10, 136–151. [Google Scholar]
- Wan Ahmad, W.K.A.; Ahmad, S. Arima model and exponential smoothing method: A comparison. AIP Conf. Proc. 2013, 1522, 1312–1321. [Google Scholar]
- Jeong, Y.-S.; Byon, Y.-J.; Castro-Neto, M.M.; Easa, S.M. Supervised weighting-online learning algorithm for short-term traffic flow prediction. IEEE Trans. Intell. Transp. Syst. 2013, 14, 1700–1707. [Google Scholar] [CrossRef]
- Van Lint, J.W.C.; Van Hinsbergen, C. Short-term traffic and travel time prediction models. Artif. Intell. Appl. Crit. Transp. Issues 2012, 22, 22–41. [Google Scholar]
- Ma, X.; Tao, Z.; Wang, Y.; Yu, H.; Wang, Y. Long short-term memory neural network for traffic speed prediction using remote microwave sensor data. Transp. Res. Part C Emerg. Technol. 2015, 54, 187–197. [Google Scholar] [CrossRef]
- Fu, R.; Zhang, Z.; Li, L. Using LSTM and GRU neural network methods for traffic flow prediction. In Proceedings of the 2016 31st Youth Academic Annual Conference of Chinese Association of Automation (YAC), Wuhan, China, 11–13 November 2016; IEEE: Piscataway, NJ, USA, 2016; pp. 324–328. [Google Scholar]
- Zhang, J.; Zheng, Y.; Qi, D. Deep spatio-temporal residual networks for citywide crowd flows prediction. In Proceedings of the AAAI Conference on Artificial Intelligence, San Francisco, CA, USA, 4–9 February 2017; Volume 31. [Google Scholar]
- Gori, M.; Monfardini, G.; Scarselli, F. A new model for learning in graph domains. In Proceedings of the 2005 IEEE International Joint Conference on Neural Networks, Montreal, QC, Canada, 31 July–August 2005; IEEE: Piscataway, NJ, USA, 2005; Volume 2, pp. 729–734. [Google Scholar]
- Bruna, J.; Zaremba, W.; Szlam, A.; LeCun, Y. Spectral networks and locally connected networks on graphs. arXiv 2013, arXiv:1312.6203. [Google Scholar]
- Veličković, P.; Cucurull, G.; Casanova, A.; Romero, A.; Liò, P.; Bengio, Y. Graph attention networks. arXiv 2017, arXiv:1710.10903. [Google Scholar]
- Li, Y.; Yu, R.; Shahabi, C.; Liu, Y. Diffusion convolutional recurrent neural network: Data-driven traffic forecasting. arXiv 2017, arXiv:1707.01926. [Google Scholar]
- Chen, W.; Chen, L.; Xie, Y.; Cao, W.; Gao, Y.; Feng, X. Multi-range attentive bicomponent graph convolutional network for traffic forecasting. In Proceedings of the AAAI Conference on Artificial Intelligence, New York, NY, USA, 7–12 February 2020; Volume 34, pp. 3529–3536. [Google Scholar]
- Pan, Z.; Liang, Y.; Wang, W.; Yu, Y.; Zheng, Y.; Zhang, J. Urban traffic prediction from spatio-temporal data using deep meta learning. In Proceedings of the 25th ACM SIGKDD International Conference on Knowledge Discovery & Data Mining, Anchorage, AK, USA, 4–8 August 2019; pp. 1720–1730. [Google Scholar]
- Cui, Z.; Henrickson, K.; Ke, R.; Wang, Y. Traffic graph convolutional recurrent neural network: A deep learning framework for network-scale traffic learning and forecasting. IEEE Trans. Intell. Transp. Syst. 2019, 21, 4883–4894. [Google Scholar] [CrossRef]
- Yu, B.; Yin, H.; Zhu, Z. Spatio-temporal graph convolutional networks: A deep learning framework for traffic forecasting. arXiv 2017, arXiv:1709.04875. [Google Scholar]
- Guo, S.; Lin, Y.; Feng, N.; Song, C.; Wan, H. Attention based spatial-temporal graph convolutional networks for traffic flow forecasting. In Proceedings of the AAAI Conference on Artificial Intelligence, Honolulu, HI, USA, 27 January 2019; Volume 33, pp. 922–929. [Google Scholar]
- Song, C.; Lin, Y.; Guo, S.; Wan, H. Spatial-temporal synchronous graph convolutional networks: A new framework for spatial-temporal network data forecasting. In Proceedings of the AAAI Conference on Artificial Intelligence, New York, NY, USA, 7–12 February 2020; Volume 34, pp. 914–921. [Google Scholar]
- Wang, X.; Ma, Y.; Wang, Y.; Jin, W.; Wang, X.; Tang, J.; Jia, C.; Yu, J. Traffic flow prediction via spatial temporal graph neural network. In Proceedings of the Web Conference 2020, New York, NY, USA, 20–24 April 2020; pp. 1082–1092. [Google Scholar]
- Vaswani, A.; Shazeer, N.; Parmar, N.; Uszkoreit, J.; Jones, L.; Gomez, A.N.; Kaiser, Ł.; Polosukhin, I. Attention is all you need. In Advances in Neural Information Processing Systems 30, Proceedings of the NIPS 2017, Long Beach, CA, USA, 4–9 December 2017; MIT Press: Cambridge, MA, USA, 2017. [Google Scholar]
- Li, M.; Zhu, Z. Spatial-temporal fusion graph neural networks for traffic flow forecasting. In Proceedings of the AAAI Conference on Artificial Intelligence, Palo Alto, CA, USA, 2–9 February 2021; Volume 35, pp. 4189–4196. [Google Scholar]
- Bai, L.; Yao, L.; Li, C.; Wang, X.; Wang, C. Adaptive graph convolutional recurrent network for traffic forecasting. In Advances in Neural Information Processing Systems 33, Proceedings of the 34th Conference on Neural Information Processing Systems (NeurIPS 2020), Vancouver, BC, Canada 6–12 December 2020; MIT Press: Cambridge, MA, USA, 2020; pp. 17804–17815. [Google Scholar]
- Wu, J.; Fu, J.; Ji, H.; Liu, L. Graph convolutional dynamic recurrent network with attention for traffic forecasting. Appl. Intell. 2023, 53, 22002–22016. [Google Scholar] [CrossRef]
- Huang, X.; Jiang, Y.; Tang, J. MAPredRNN: Multi-attention predictive RNN for traffic flow prediction by dynamic spatio-temporal data fusion. Appl. Intell. 2023, 53, 19372–19383. [Google Scholar] [CrossRef]
- Wu, Z.; Pan, S.; Long, G.; Jiang, J.; Zhang, C. Graph wavenet for deep spatial-temporal graph modeling. arXiv 2019, arXiv:1906.00121. [Google Scholar]
- Lan, S.; Ma, Y.; Huang, W.; Wang, W.; Yang, H.; Li, P. Dstagnn: Dynamic spatial-temporal aware graph neural network for traffic flow forecasting. In Proceedings of the International Conference on Machine Learning, Baltimore, MD, USA, 17–23 July 2022; PMLR: Baltimore, MD, USA, 2022; pp. 11906–11917. [Google Scholar]
- Fang, Z.; Long, Q.; Song, G.; Xie, K. Spatial-temporal graph ode networks for traffic flow forecasting. In Proceedings of the 27th ACM SIGKDD Conference on Knowledge Discovery & Data Mining, Singapore, 14–18 August 2021; pp. 364–373. [Google Scholar]
- Defferrard, M.; Bresson, X.; Vandergheynst, P. Convolutional neural networks on graphs with fast localized spectral filtering. In Advances in Neural Information Processing Systems 29, Proceedings of the 30th Conference on Neural Information Processing Systems (NIPS 2016), Barcelona, Spain, 5–10 December 2016; MIT Press: Cambridge, MA, USA, 2016. [Google Scholar]
- Kipf, T.N.; Welling, M. Semi-supervised classification with graph convolutional networks. arXiv 2016, arXiv:1609.02907. [Google Scholar]
- Micheli, A. Neural network for graphs: A contextual constructive approach. IEEE Trans. Neural Netw. 2009, 20, 498–511. [Google Scholar] [CrossRef] [PubMed]
- Hamilton, W.; Ying, Z.; Leskovec, J. Inductive representation learning on large graphs. In Advances in Neural Information Processing Systems 30, Proceedings of the NIPS 2017, Long Beach, CA, USA, 4–9 December 2017; MIT Press: Cambridge, MA, USA, 2017. [Google Scholar]
- Mirjalili, S.; Lewis, A. The whale optimization algorithm. Adv. Eng. Softw. 2016, 95, 51–67. [Google Scholar] [CrossRef]
- Kennedy, J.; Eberhart, R. Particle swarm optimization. In Proceedings of the ICNN’95-International Conference on Neural Networks, Perth, WA, Australia, 27 November–1 December 1995; IEEE: Piscataway, NJ, USA, 1995; Volume 4, pp. 1942–1948. [Google Scholar]
- Rashedi, E.; Nezamabadi-Pour, H.; Saryazdi, S. GSA: A gravitational search algorithm. Inf. Sci. 2009, 179, 2232–2248. [Google Scholar] [CrossRef]
- Mirjalili, S.; Mirjalili, S. Genetic algorithm. In Evolutionary Algorithms and Neural Networks: Theory and Applications; Springer: Cham, Switzerland, 2019; pp. 43–55. [Google Scholar]
- Mirjalili, S.; Mirjalili, S.M.; Lewis, A. Grey wolf optimizer. Adv. Eng. Softw. 2014, 69, 46–61. [Google Scholar] [CrossRef]
- Dorigo, M.; Birattari, M.; Stutzle, T. Ant colony optimization. IEEE Comput. Intell. Mag. 2006, 1, 28–39. [Google Scholar] [CrossRef]
- Xu, X.; Liu, C.; Zhao, Y.; Lv, X. Short-term traffic flow prediction based on whale optimization algorithm optimized BiLSTM_Attention. Concurr. Comput. Pract. Exp. 2022, 34, e6782. [Google Scholar] [CrossRef]
- Pham, Q.-V.; Mirjalili, S.; Kumar, N.; Alazab, M.; Hwang, W.-J. Whale optimization algorithm with applications to resource allocation in wireless networks. IEEE Trans. Veh. Technol. 2020, 69, 4285–4297. [Google Scholar] [CrossRef]
- Bhesdadiya, R.; Jangir, P.; Jangir, N.; Trivedi, I.N.; Ladumor, D. Training multi-layer perceptron in neural network using whale optimization algorithm. Indian J. Sci. Technol. 2016, 9, 28–36. [Google Scholar]
- Chen, C.; Petty, K.; Skabardonis, A.; Varaiya, P.; Jia, Z. Freeway performance measurement system: Mining loop detector data. Transp. Res. Rec. 2001, 1748, 96–102. [Google Scholar] [CrossRef]
- Lea, C.; Flynn, M.D.; Vidal, R.; Reiter, A.; Hager, G.D. Temporal convolutional networks for action segmentation and detection. In Proceedings of the IEEE Conference on Computer Vision and Pattern Recognition, Honolulu, HI, USA, 21–26 July 2017; pp. 156–165. [Google Scholar]
- Chen, Y.; Segovia, I.; Gel, Y.R. Z-GCNETs: Time zigzags at graph convolutional networks for time series forecasting. In Proceedings of the International Conference on Machine Learning, Virtual, 18–24 July 2021; PMLR: Baltimore, MD, USA, 2021; pp. 1684–1694. [Google Scholar]








| Datasets | Nodes | Edges | Time Steps | Time Range | Missing Rate |
|---|---|---|---|---|---|
| PEMS03 | 358 | 547 | 26,208 | 1/9/2018–11/30/2018 | 0.672% |
| PEMS04 | 307 | 340 | 16,992 | 1/1/2018–2/28/2018 | 3.182% |
| PEMS07 | 883 | 866 | 28,224 | 5/1/2017–8/31/2017 | 0.452% |
| PEMS08 | 170 | 295 | 17,856 | 7/1/2016–8/31/2016 | 0.696% |
| PEMS03 | PEMS04 | PEMS07 | PEMS08 | |
|---|---|---|---|---|
| Parameters | Values | Values | Values | Values |
| Lr-init | 0.0060 | 0.0021 | 0.0020 | 0.0060 |
| Lr-decay-rate | 0.2417 | 0.3315 | 0.6000 | 0.5689 |
| Rnn-num-layers | 1 | 1 | 1 | 2 |
| Rnn-num-untis | 30 | 65 | 41 | 69 |
| Transformer-num-layers | 3 | 6 | 2 | 2 |
| Transformer-num-heads | 4 | 4 | 4 | 6 |
| Methods | PEMS03 | PEMS04 | PEMS07 | PEMS08 | ||||||||
|---|---|---|---|---|---|---|---|---|---|---|---|---|
| MAE | RMSE | MAPE | MAE | RMSE | MAPE | MAE | RMSE | MAPE | MAE | RMSE | MAPE | |
| VAR | 23.65 | 38.26 | 24.51% | 24.54 | 38.61 | 17.24% | 50.22 | 75.63 | 32.22% | 19.19 | 29.81 | 27.88% |
| SVR | 21.97 | 35.29 | 21.51% | 28.7 | 44.56 | 19.20% | 32.49 | 50.22 | 14.26% | 23.25 | 36.16 | 14.64% |
| LSTM | 21.33 | 35.11 | 23.33% | 26.77 | 40.65 | 18.23% | 29.98 | 45.94 | 13.20% | 23.09 | 35.17 | 14.99% |
| TCN | 19.32 | 33.55 | 19.93% | 23.22 | 37.26 | 15.59% | 32.72 | 42.23 | 14.26% | 22.72 | 35.79 | 14.03% |
| DCRNN | 17.99 | 30.31 | 18.34% | 21.22 | 33.44 | 14.17% | 25.22 | 38.61 | 11.82% | 16.82 | 26.36 | 10.92% |
| STGCN | 17.55 | 30.42 | 17.34% | 21.16 | 34.89 | 13.83% | 25.33 | 39.34 | 11.21% | 17.50 | 27.09 | 11.29% |
| ASTGCN | 17.34 | 29.66 | 17.24% | 22.93 | 35.22 | 16.56% | 24.05 | 37.97 | 10.92% | 18.25 | 28.06 | 11.64% |
| STSGCN | 17.48 | 29.21 | 16.78% | 21.19 | 33.65 | 13.90% | 24.26 | 39.03 | 10.21% | 17.13 | 26.80 | 10.96% |
| AGCRN | * 15.98 | * 28.25 | * 15.23% | * 19.88 | * 32.27 | * 13.03% | * 22.26 | * 36.47 | * 9.16% | * 15.97 | * 25.25 | * 10.13% |
| STFGNN | 16.77 | 28.34 | 16.30% | 19.83 | 31.88 | 13.02% | 22.07 | 35.80 | 9.21% | 16.64 | 26.22 | 10.60% |
| STGODE | 16.50 | 27.84 | 16.69% | 20.84 | 32.82 | 13.77% | 22.59 | 37.54 | 10.14% | 16.81 | 25.97 | 10.62% |
| Z-GCNETs | * 16.64 | * 28.15 | * 16.39% | * 19.67 | * 31.86 | * 12.91% | * 21.79 | * 35.15 | * 9.27% | * 16.03 | * 25.28 | * 10.39% |
| DSTAGNN | * 15.57 | * 27.21 | * 14.68% | * 19.44 | * 31.83 | * 12.82% | * 21.46 | * 34.82 | * 9.12% | * 15.81 | * 25.08 | * 9.98% |
| WOA-AGCRTN | 15.17 | 26.83 | 14.48% | 19.13 | 31.37 | 12.77% | 20.57 | 34.06 | 8.74% | 15.27 | 24.67 | 9.96% |
| PEMS04 | WAGCRN | WAGCRN-T | AGCRN-WT | WOA-AGCRTN | |
| Parameters | Values | Values | Values | Values | |
| Lr-init | 0.0049 | 0.0036 | 0.0027 | 0.0021 | |
| Lr-decay-rate | 0.5976 | 0.4026 | 0.2204 | 0.3315 | |
| Rnn-num-layers | 2 | 1 | - | 1 | |
| Rnn-num-untis | 55 | 75 | - | 65 | |
| Transformer-num-layers | - | - | 4 | 6 | |
| Transformer-num-heads | - | - | 2 | 4 | |
| Best loss | 19.55 | 19.10 | 19.17 | 18.93 |
| PEMS08 | WAGCRN | WAGCRN-T | AGCRN-WT | WOA-AGCRTN | |
| Parameters | Values | Values | Values | Values | |
| Lr-init | 0.0027 | 0.0039 | 0.0026 | 0.0060 | |
| Lr-decay-rate | 0.3004 | 0.2659 | 0.3895 | 0.5689 | |
| Rnn-num-layers | 1 | 2 | - | 2 | |
| Rnn-num-untis | 85 | 76 | - | 69 | |
| Transformer-num-layers | - | - | 5 | 2 | |
| Transformer-num-heads | - | - | 3 | 6 | |
| Best loss | 16.01 | 15.83 | 15.96 | 15.73 |
Disclaimer/Publisher’s Note: The statements, opinions and data contained in all publications are solely those of the individual author(s) and contributor(s) and not of MDPI and/or the editor(s). MDPI and/or the editor(s) disclaim responsibility for any injury to people or property resulting from any ideas, methods, instructions or products referred to in the content. |
© 2024 by the authors. Licensee MDPI, Basel, Switzerland. This article is an open access article distributed under the terms and conditions of the Creative Commons Attribution (CC BY) license (https://creativecommons.org/licenses/by/4.0/).
Share and Cite
Zhang, C.; Wu, Y.; Shen, Y.; Wang, S.; Zhu, X.; Shen, W. Adaptive Graph Convolutional Recurrent Network with Transformer and Whale Optimization Algorithm for Traffic Flow Prediction. Mathematics 2024, 12, 1493. https://doi.org/10.3390/math12101493
Zhang C, Wu Y, Shen Y, Wang S, Zhu X, Shen W. Adaptive Graph Convolutional Recurrent Network with Transformer and Whale Optimization Algorithm for Traffic Flow Prediction. Mathematics. 2024; 12(10):1493. https://doi.org/10.3390/math12101493
Chicago/Turabian StyleZhang, Chen, Yue Wu, Ya Shen, Shengzhao Wang, Xuhui Zhu, and Wei Shen. 2024. "Adaptive Graph Convolutional Recurrent Network with Transformer and Whale Optimization Algorithm for Traffic Flow Prediction" Mathematics 12, no. 10: 1493. https://doi.org/10.3390/math12101493
APA StyleZhang, C., Wu, Y., Shen, Y., Wang, S., Zhu, X., & Shen, W. (2024). Adaptive Graph Convolutional Recurrent Network with Transformer and Whale Optimization Algorithm for Traffic Flow Prediction. Mathematics, 12(10), 1493. https://doi.org/10.3390/math12101493

