Recovery Model and Maintenance Optimization for Urban Road Networks with Congestion
Abstract
1. Introduction
1.1. Background
1.2. Relevant Work
1.3. Novelty and Contribution
- Considering the complex characteristics of the traffic network, this paper studies intra-regional congestion by means of partition management. This behavior helps to timely identify congested roads so that traffic managers can make decisions.
- For the diversity of road congestion, this paper establishes a maintenance model to match multi-skilled workers and multi-demand roads.
- For different forms of congestion, this paper develops both a single MC scheduling and MCs’ joint scheduling to adapt to single-area and multi-area congestion.
1.4. Structure
2. Methods
2.1. Congestion Model
- An intelligent car suddenly broke down on the road causing traffic jams. Maintenance skill: Promptly handle faulty vehicles and drag them off the road.
- With the increase in the number of uses and the passage of time, intelligent vehicles cannot accurately perceive the surrounding environment and collide with other vehicles. Maintenance skill: Handle accidents and evacuate congestion caused by accidents in time.
- Insufficient road capacity or insufficient design leads to road congestion. Maintenance skill: Arrange vehicles to leave orderly to ease congestion.
2.2. Recovery Model
2.2.1. Model for Scheme 1
- Skill constraints
- 2.
- Time constraints
- 3.
- Constraints model
2.2.2. Model for Scheme 2
2.3. Algorithm for Maintenance Optimization
- Initialize the populationThe proposed model initializes the number of failed edges, traffic workers, types of skills, and road failed types. Set the maximum evolution algebra to G. An initial population has NP individuals. The feasible solution in the single MC scheduling is obtained by the following:In Equation (38), the -dimensional decision vector consists of genes. represents the recovery time in a region. A gene represents the time for a traffic worker to repair failed roads, which includes [,……].
- Crossover and mutationThe proposed model adopts the sequential crossover method. GA pairs individuals from the population NP (t). Exchange genes between individuals with crossover probability Pc. For the sequence of traffic workers and skill types, the exchange mutation method is adopted. Select two gene positions in the parent chromosomes and exchange their gene values. For example, exchanging and , the gene becomes [,……].
- Fitness function and selectionThe recovery time of repairing failed edges is used as the fitness of the chromosome. . The binary trophy selection method is used to choose the operator. The probability of the individual being chosen is:In Equation (39), denotes the fitness of individual . NP is the population size.
- Algorithm termination conditionIf , . Turn to Step 2. G is set to 50, 100, 150, and 500 in models. If , the feasible solution with the maximum fitness obtained in the evolution process is output as the optimal recovery time. The calculation is terminated.
3. Case Study
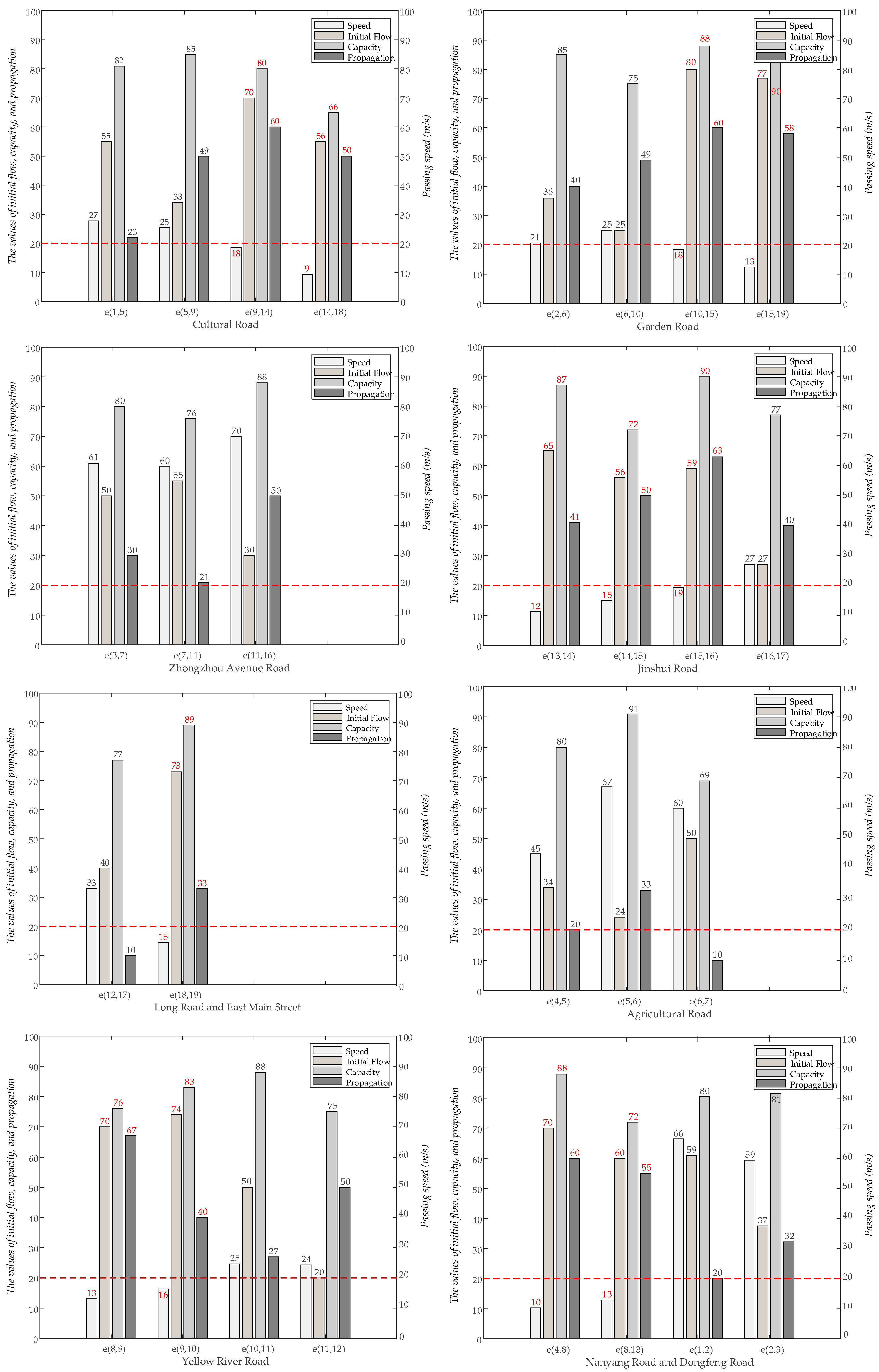
3.1. Congestion Analysis
3.2. Scheme 1
3.3. Scheme 2
4. Conclusions
Author Contributions
Funding
Data Availability Statement
Conflicts of Interest
References
- Olayode, I.O.; Tartibu, L.K.; Okwu, M.O.; Uchechi, U.F. Intelligent transportation systems, un-signalized road intersections and traffic congestion in Johannesburg: A systematic review. Procedia CIRP 2020, 91, 844–850. [Google Scholar] [CrossRef]
- Zheng, Z.J.; Wang, Z.L.; Zhu, L.Y.; Jiang, H. Determinants of the congestion caused by a traffic accident in urban road networks. Accid. Anal. Prev. 2020, 136, 105327. [Google Scholar] [CrossRef] [PubMed]
- Shen, Y.; Song, G.H.; Song, H.L.; Xie, Y.C. Model of node traffic recovery behavior and cascading congestion analysis in networks. Phys. A Stat. Mech. Appl. 2020, 545, 123422. [Google Scholar] [CrossRef]
- Nagy, A.M.; Simon, V. Traffic congestion propagation identification method in smart cities. Infocommun. J. 2021, 13, 45–57. [Google Scholar] [CrossRef]
- Liu, Q.C.; Liu, T.; Cai, Y.F.; Xiong, X.X.; Jiang, H.B.; Wang, H.; Hu, Z.N. Explanatory prediction of traffic congestion propagation mode: A self-attention-based approach. Phys. A Stat. Mech. Appl. 2021, 573, 125940. [Google Scholar] [CrossRef]
- Chen, B.K.; Sun, D.; Zhou, J.; Wong, W.F.; Ding, Z.J. A future intelligent traffic system with mixed autonomous vehicles and human-driven vehicles. Inf. Sci. 2020, 529, 59–72. [Google Scholar] [CrossRef]
- Tang, W.M.; Yiu, K.F.C.; Chan, K.Y.; Zhang, K. Conjoining congestion speed-cycle patterns and deep learning neural network for short-term traffic speed forecasting. Appl. Soft Comput. 2023, 138, 110154. [Google Scholar] [CrossRef]
- Nagy, A.M.; Simon, V. Improving traffic prediction using congestion propagation patterns in smart cities. Adv. Eng. Inf. 2021, 50, 101343. [Google Scholar] [CrossRef]
- Jafari, S.; Shahbazi, Z.; Byun, Y.C. Improving the road and traffic control prediction based on fuzzy logic approach in multiple intersections. Mathematics 2022, 10, 2832. [Google Scholar] [CrossRef]
- Zhang, J.; Wang, Z.; Wang, S.; Shao, W.; Liu, W. Vulnerability assessments of weighted urban rail transit networks with integrated coupled map lattices. Reliab. Eng. Syst. Saf. 2021, 214, 107707. [Google Scholar] [CrossRef]
- Dui, H.Y.; Chen, S.S.; Wang, J. Failure-oriented maintenance analysis of nodes and edges in network systems. Reliab. Eng. Syst. Saf. 2021, 215, 107879. [Google Scholar] [CrossRef]
- Zhang, C.; Xu, X.; Dui, H.Y. Analysis of network cascading failure based on the cluster aggregation in cyber-physical systems. Reliab. Eng. Syst. Saf. 2020, 202, 106963. [Google Scholar] [CrossRef]
- Dui, H.; Yang, Y.; Zhang, Y.A.; Zhu, Y. Recovery analysis and maintenance priority of metro networks based on importance measure. Mathematics 2022, 10, 3989. [Google Scholar] [CrossRef]
- Morozov, V.; Shepelev, V.; Kostyrchenko, V. Modeling the operation of signal-controlled intersections with different lane occupancy. Mathematics 2022, 10, 4829. [Google Scholar] [CrossRef]
- Zhang, M.Y.; Yang, X.J.; Zhang, J.; Li, G. Post-earthquake resilience optimization of a rural “road-bridge” transportation network system. Reliab. Eng. Syst. Saf. 2022, 225, 108570. [Google Scholar] [CrossRef]
- Almeida, L.S.; Goerlandt, F.; Pelot, R. Trends and gaps in the literature of road network repair and restoration in the context of disaster response operations. Socio-Econ. Plan. Sci. 2022, 84, 101398. [Google Scholar] [CrossRef]
- Chang, K.H.; Chen, T.L.; Yang, F.H.; Chang, T.Y. Simulation optimization for stochastic casualty collection point location and resource allocation problem in a mass casualty incident. Eur. J. Oper. Res. 2023; in press. [Google Scholar] [CrossRef]
- Hamed Moghadam, H.; Zheng, N.; Li, D.Q.; Vu, H.L. Percolation-based dynamic perimeter control for mitigating congestion propagation in urban road networks. Transp. Res. Part C Emerg. Technol. 2022, 145, 103922. [Google Scholar] [CrossRef]
- Chen, Y.T.; Mao, J.N.; Zhang, Z.; Huang, H.; Lu, W.K.; Yan, Q.P.; Liu, L. A quasi-contagion process modeling and characteristic analysis for real-world urban traffic network congestion patterns. Phys. A Stat. Mech. Appl. 2022, 603, 127729. [Google Scholar] [CrossRef]
- Mohammed Almatar, K. Traffic congestion patterns in the urban road network: (Dammam metropolitan region). Ain Shams Eng. J. 2023, 14, 101886. [Google Scholar] [CrossRef]
- Chowdhury, F.R.; Wang, P.R.; Li, P.F. Congestion-aware heterogeneous connected automated vehicles cooperative scheduling problems at intersections. J. Intell. Transp. Syst. Technol. Plann. Oper. 2023, 27, 111–126. [Google Scholar] [CrossRef]
- Chellapilla, H.; Sivanandan, R.; Chilukuri, B.R.; Rajendran, C. A trade-off between user-equilibrium and system optimal traffic assignments for congestion mitigation in city networks. Transp. Res. Procedia 2023, 69, 384–391. [Google Scholar] [CrossRef]
- Alkhatib, A.A.A.; Maria, K.A.; AlZu’bi, S.; Maria, E.A. Smart traffic scheduling for crowded cities road networks. Egypt. Inform. J. 2022, 23, 163–176. [Google Scholar] [CrossRef]
- Stupin, A.; Kazakovtsev, L.; Stupina, A. Control of traffic congestion by improving the rings and optimizing the phase lengths of traffic lights with the help of any logic. Transp. Res. Procedia 2022, 63, 1104–1113. [Google Scholar] [CrossRef]
- Lin, C.; Han, G.J.; Du, J.X.; Xu, T.T.; Shu, L.; Lv, Z.H. Spatiotemporal congestion-aware path planning toward intelligent transportation systems in software-defined smart city IoT. IEEE Internet Things J. 2020, 7, 8012–8024. [Google Scholar] [CrossRef]
- Nguyen, V.L.; Hwang, R.H.; Lin, P.C. Controllable path planning and traffic scheduling for emergency services in the Internet of vehicles. IEEE Trans. Intell. Transp. Syst. 2022, 23, 12399–12413. [Google Scholar] [CrossRef]
- Kammouh, O.; Gardoni, P.; Cimellaro, G.P. Probabilistic framework to evaluate the resilience of engineering systems using Bayesian and dynamic Bayesian networks. Reliab. Eng. Syst. Saf. 2020, 198, 106813. [Google Scholar] [CrossRef]
- Jiang, S.; Yang, L.; Cheng, G.; Gao, X.; Feng, T.; Zhou, Y. A quantitative framework for network resilience evaluation using Dynamic Bayesian Network. Comput. Commun. 2022, 194, 387–398. [Google Scholar] [CrossRef]
- Dui, H.Y.; Chen, S.; Zhou, Y.J.; Wu, S.M. Maintenance analysis of transportation networks by the traffic transfer principle considering node idle capacity. Reliab. Eng. Syst. Saf. 2022, 221, 108386. [Google Scholar] [CrossRef]
- Motter, A.E.; Lai, Y.C. Cascade-based attacks on complex networks. Phys. Rev. E Stat. Nonlinear Soft Matter Phys. 2002, 66, 065102. [Google Scholar] [CrossRef]
- Bowly, S. A genetic algorithm hybridization scheme for effective use of parallel workers. In Proceedings of the 2019 Genetic and Evolutionary Computation Conference, GECCO 2019, Prague, Czech Republic, 13–17 July 2019; pp. 745–752. [Google Scholar]
- Wang, C.L.; Shi, H.Y.; Zuo, X.Q. A multi-objective genetic algorithm-based approach for dynamical bus vehicles scheduling under traffic congestion. Swarm Evol. Comput. 2020, 54, 100667. [Google Scholar] [CrossRef]







| Nodes | Position Coordinates |
|---|---|
| (113.671839, 34.805507) | |
| (113.687505, 34.802662) | |
| (113.713089, 34.798156) | |
| (113.648699, 34.792465) | |
| (113.673276, 34.792465) | |
| (113.689949, 34.792465) | |
| (113.714095, 34.792821) | |
| (113.656173, 34.780251) | |
| (113.673276, 34.780725) | |
| (113.690203, 34.780725) | |
| (113.717832, 34.780369) | |
| (113.747872, 34.783808) | |
| (113.663359, 34.770644) | |
| (113.673426, 34.770763) | |
| (113.688368, 34.769695) | |
| (113.714167, 34.768865) | |
| (113.750818, 34.769577) | |
| (113.688009, 34.758545) | |
| (113.712874, 34.754156) |
| Roads | Skill 1 | Skill 2 | Skill 3 |
|---|---|---|---|
| e (9, 14) | 1 | 1 | 0 |
| e (9, 10) | 1 | 2 | 1 |
| e (8, 4) | 0 | 1 | 3 |
| e (8, 13) | 1 | 2 | 0 |
| e (8, 9) | 2 | 3 | 0 |
| e (13, 14) | 0 | 2 | 2 |
| Traffic Workers | Skill 1 | Skill 2 | Skill 3 |
|---|---|---|---|
| 1 | 1 | 1 | 0 |
| 2 | 1 | 0 | 1 |
| 3 | 0 | 1 | 1 |
| 4 | 1 | 0 | 1 |
| 5 | 1 | 1 | 0 |
| 6 | 0 | 1 | 1 |
| Iteration Times | Traffic Workers | Maintenance Sequences |
|---|---|---|
| 50 times | Task sequence | |
| 1 | ||
| 2 | ||
| 3 | ||
| 100 times | Task sequence | |
| 1 | ||
| 2 | ||
| 3 | ||
| 150 times | Task sequence | |
| 1 | ||
| 2 | ||
| 3 | ||
| 500 times | Task sequence | |
| 1 | ||
| 2 | ||
| 3 |
| Iteration Times | Traffic Workers | Maintenance Sequences |
|---|---|---|
| 50 times | Task sequence | |
| 1 | ||
| 2 | ||
| 3 | ||
| 100 times | Task sequence | |
| 1 | ||
| 2 | ||
| 3 | ||
| 150 times | Task sequence | |
| 1 | ||
| 2 | ||
| 3 | ||
| 500 times | Task sequence | |
| 1 | ||
| 2 | ||
| 3 |
| Roads | Skill 1 | Skill 2 | Skill 3 |
|---|---|---|---|
| e(18, 19) | 1 | 1 | 0 |
| e(15, 10) | 1 | 2 | 1 |
| e(15, 14) | 0 | 1 | 3 |
| e(15, 16) | 1 | 2 | 0 |
| e(15, 19) | 2 | 3 | 0 |
| e(14, 9) | 0 | 2 | 2 |
| e(14, 13) | 0 | 4 | 1 |
| e(14, 18) | 3 | 1 | 1 |
| e(14, 15) | 2 | 0 | 1 |
| e(9, 8) | 1 | 0 | 1 |
| e(9, 10) | 1 | 3 | 1 |
| e(9, 14) | 2 | 0 | 1 |
| e(8, 4) | 1 | 2 | 0 |
| e(8, 13) | 1 | 0 | 1 |
| Traffic Workers | Maintenance Sequences |
|---|---|
| 1 | |
| 2 | |
| 3 | |
| 4 | |
| 5 | |
| 6 |
Disclaimer/Publisher’s Note: The statements, opinions and data contained in all publications are solely those of the individual author(s) and contributor(s) and not of MDPI and/or the editor(s). MDPI and/or the editor(s) disclaim responsibility for any injury to people or property resulting from any ideas, methods, instructions or products referred to in the content. |
© 2023 by the authors. Licensee MDPI, Basel, Switzerland. This article is an open access article distributed under the terms and conditions of the Creative Commons Attribution (CC BY) license (https://creativecommons.org/licenses/by/4.0/).
Share and Cite
Dui, H.; Zhang, Y.; Zhang, S.; Zhang, Y.-A. Recovery Model and Maintenance Optimization for Urban Road Networks with Congestion. Mathematics 2023, 11, 2004. https://doi.org/10.3390/math11092004
Dui H, Zhang Y, Zhang S, Zhang Y-A. Recovery Model and Maintenance Optimization for Urban Road Networks with Congestion. Mathematics. 2023; 11(9):2004. https://doi.org/10.3390/math11092004
Chicago/Turabian StyleDui, Hongyan, Yulu Zhang, Songru Zhang, and Yun-An Zhang. 2023. "Recovery Model and Maintenance Optimization for Urban Road Networks with Congestion" Mathematics 11, no. 9: 2004. https://doi.org/10.3390/math11092004
APA StyleDui, H., Zhang, Y., Zhang, S., & Zhang, Y.-A. (2023). Recovery Model and Maintenance Optimization for Urban Road Networks with Congestion. Mathematics, 11(9), 2004. https://doi.org/10.3390/math11092004

