Ergodicity and Related Bounds for One Particular Class of Markovian Time—Varying Queues with Heterogeneous Servers and Customer’s Impatience
Abstract
1. Introduction
2. Model Description
3. Ergodicity Bounds
3.1. Null Ergodicity
3.2. Weak Ergodicity
4. Perturbation and Truncation Bounds
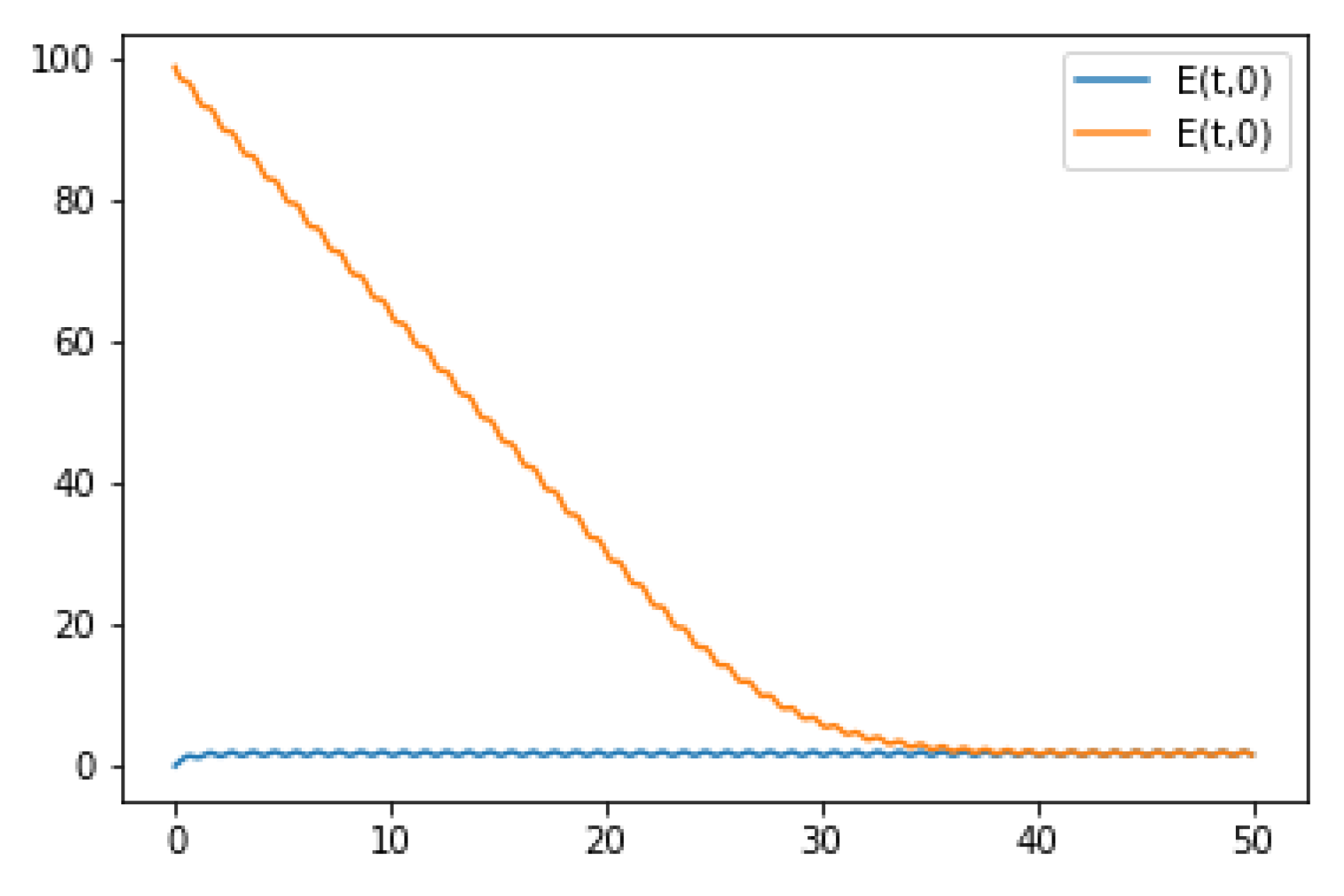
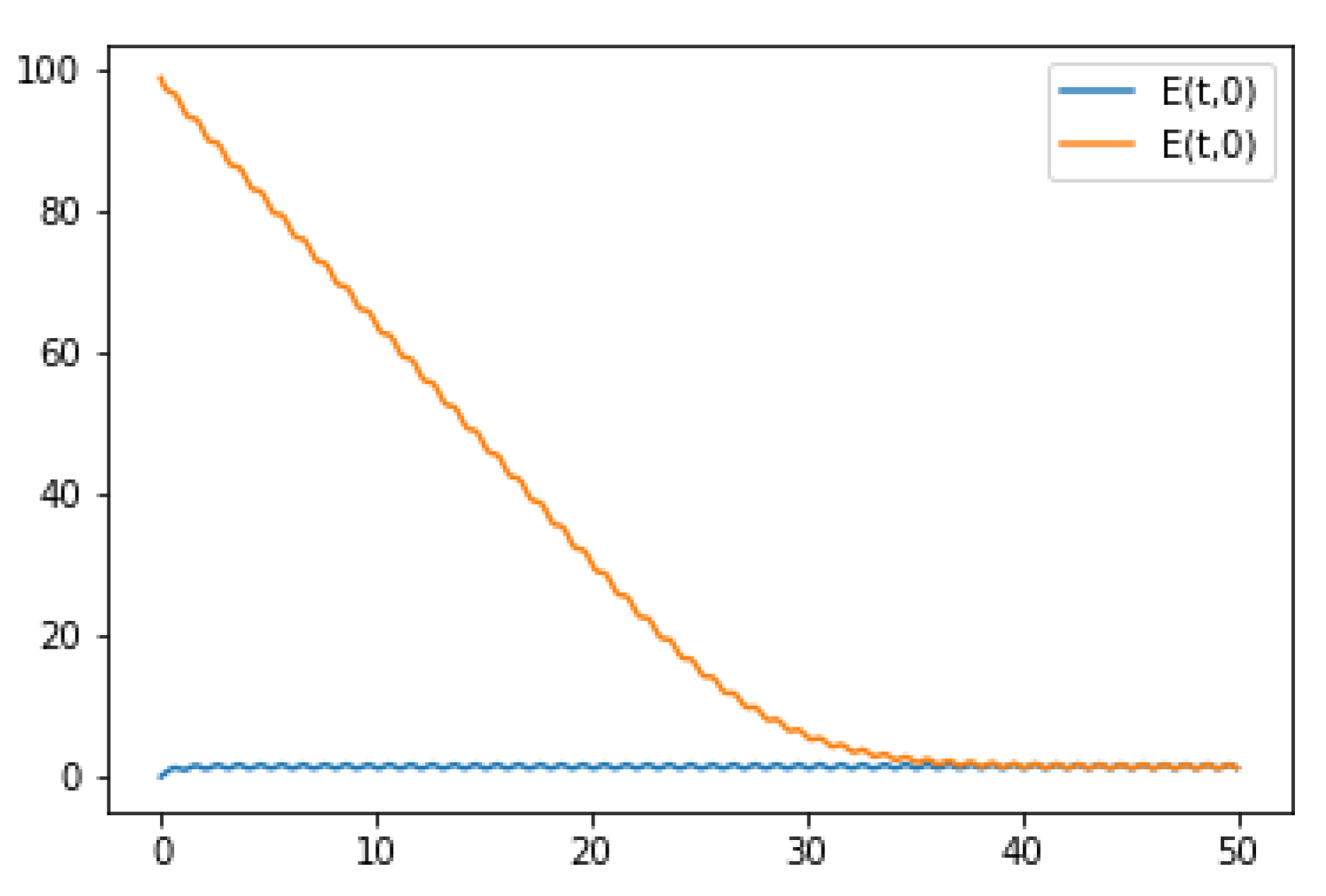
5. Examples
6. Conclusions
Author Contributions
Funding
Data Availability Statement
Conflicts of Interest
References
- Haight, F.A. Queueing with reneging. Metrika 1959, 2, 186–197. [Google Scholar] [CrossRef]
- Hasenbein, J.; Perry, D. Introduction: Queueing systems special issue on queueing systems with abandonments. Queueing Syst. 2013, 75, 111–113. [Google Scholar] [CrossRef]
- Van Ommeren, J.K.; Baer, N.; Mishra, N.; Roy, D. Batch service systems with heterogeneous servers. Queueing Syst. 2020, 95, 251–269. [Google Scholar] [CrossRef]
- Klimenok, V.; Dudin, A.; Vishnevsky, V. Priority Multi-Server Queueing System with Heterogeneous Customers. Mathematics 2020, 8, 1501. [Google Scholar] [CrossRef]
- Harchol-Balter, M.; Osogami, T.; Scheller-Wolf, A.; Wierman, A. Multi-Server Queueing Systems with Multiple Priority Classes. Queueing Syst. 2005, 51, 331–360. [Google Scholar] [CrossRef]
- Jouini, O.; Roubos, A. On multiple priority multi-server queues with impatience. J. Oper. Res. Soc. 2014, 65, 616–632. [Google Scholar] [CrossRef]
- Puha, A.L.; Ward, A.R. Scheduling an Overloaded Multiclass Many-Server Queue with Impatient Customers. In Operations Research & Management Science in the Age of Analytics; INFORMS TutORials: New York, NY, USA, 2019; pp. 189–217. [Google Scholar] [CrossRef]
- Dong, J.; Ibrahim, R. SRPT Scheduling Discipline in Many-Server Queues with Impatient Customers. Manag. Sci. 2021, 67, 7708–7718. [Google Scholar] [CrossRef]
- Efrosinin, D.; Stepanova, N.; Sztrik, J. Algorithmic Analysis of Finite-Source Multi-Server Heterogeneous Queueing Systems. Mathematics 2021, 9, 2624. [Google Scholar] [CrossRef]
- Kumar, R.; Sharma, S. Transient analysis of a Markovian queuing model with multiple-heterogeneous servers, and customers’ impatience. Opsearch 2021, 58, 540–556. [Google Scholar] [CrossRef]
- Melikov, A.Z.; Ponomarenko, L.A.; Mekhbaliyeva, E.V. Analyzing the Models of Systems with Heterogeneous Servers. Cybern. Syst. Anal. 2020, 56, 89–99. [Google Scholar] [CrossRef]
- Dudin, A.; Dudina, O.; Dudin, S.; Samouylov, K. Analysis of Multi-Server Queue with Self-Sustained Servers. Mathematics 2021, 9, 2134. [Google Scholar] [CrossRef]
- Bhati, A.; Pillai, S.R.B.; Vaze, R. On the Age of Information of a Queuing System with Heterogeneous Servers. In Proceedings of the National Conference on Communications (NCC), Kanpur, India, 27–30 July 2021; pp. 1–6. [Google Scholar] [CrossRef]
- Zeifman, A.; Satin, Y.; Kovalev, I.; Razumchik, R.; Korolev, V. Facilitating Numerical Solutions of Inhomogeneous Continuous Time Markov Chains Using Ergodicity Bounds Obtained with Logarithmic Norm Method. Mathematics 2021, 9, 42. [Google Scholar] [CrossRef]
- Arns, M.; Buchholz, P.; Panchenko, A. On the numerical analysis of inhomogeneous continuous-time Markov chains. Informs J. Comput. 2010, 22, 416–432. [Google Scholar] [CrossRef]
- Schwarz, J.A.; Selinka, G.; Stolletz, R. Performance analysis of time-dependent queueing systems: Survey and classification. Omega 2016, 63, 170–189. [Google Scholar] [CrossRef]
- Sidje, R.B.; Burrage, K.; Macnamara, S. Inexact uniformization method for computing transient distributions of Markov chains. Siam J. Sci. Comput. 2007, 29, 2562–2580. [Google Scholar] [CrossRef]
- Zapreev, I.S.; Katoen, J.-P. Safe on-the-fly steady-state detection for time-bounded reachability. In Proceedings of the 3rd International Conference on the Quantitative Evaluation of Systems, Riverside, CA, USA, 11–14 September 2006. [Google Scholar] [CrossRef]
- Down, D.; Meyn, S.P.; Tweedie, R.L. Exponential and Uniform Ergodicity of Markov Processes. Ann. Probab. 1995, 23, 1671–1691. [Google Scholar] [CrossRef]
- Meyn, S.P.; Tweedie, R.L. Markov Chains and Stochastic Stability; Springer Science & Business Media: Berlin/Heidelberg, Germany, 2012. [Google Scholar]
- Zeifman, A.; Satin, Y.; Kiseleva, K.; Korolev, V. On the Rate of Convergence for a Characteristic of Multidimensional Birth-Death Process. Mathematics 2019, 7, 477. [Google Scholar] [CrossRef]
- Masuyama, H. Error bounds for augmented truncations of discrete-time block-monotone Markov chains under geometric drift conditions. Adv. Appl. Probab. 2015, 47, 83–105. [Google Scholar] [CrossRef]
- Tweedie, R.L. Truncation approximations of invariant measures for Markov chains. J. Appl. Probab. 1998, 35, 517–536. [Google Scholar] [CrossRef]
- Burak, M.R.; Korytkowski, P. Inhomogeneous CTMC Birth-and-Death Models Solved by Uniformization with Steady-State Detection. Acm Trans. Model. Comput. Simul. (Tomacs) 2020, 30, 1–18. [Google Scholar] [CrossRef]
- Zeifman, A.I. Upper and lower bounds on the rate of convergence for nonhomogeneous birth and death processes. Stoch. Process. Their Appl. 1995, 59, 157–173. [Google Scholar] [CrossRef]
- Granovsky, B.L.; Zeifman, A. Nonstationary Queues: Estimation of the Rate of Convergence. Queueing Syst. 2004, 46, 363–388. [Google Scholar] [CrossRef]
- Gumbel, H. Waiting Lines with Heterogeneous Servers. Oper. Res. 1960, 8, 504–511. [Google Scholar] [CrossRef]
- Cooper, R.B. Queues with ordered servers that work at different rates. Opsearch 1976, 13, 69–78. [Google Scholar]
- Nawijn, W.M. A note on many-server queueing systems with ordered entry with applications to conveyor theore. J. Appl. Probab. 1983, 20, 144–152. [Google Scholar] [CrossRef]
- Razumchik, R.; Zaryadov, I. Stationary Blocking Probability in Multi-server Finite Queuing System with Ordered Entry and Poisson Arrivals. In Distributed Computer and Communication Networks, Proceedings of the DCCN 2015—Communications in Computer and Information Science, Moscow, Russia, 19–22 October 2016; Vishnevsky, V., Kozyrev, D., Eds.; Springer: Cham, Switzerland, 2016; Volume 601, pp. 344–357. [Google Scholar] [CrossRef]
- Meykhanadzhyan, L.; Matyushenko, S.; Pyatkina, D.; Razumchik, R. Revisiting joint stationary distribution in two finite capacity queues operating in parallel. Inform. Primen. 2017, 11, 106–112. [Google Scholar] [CrossRef]
- Baxley, R.V.N. The Multiple-Server Queue with Heterogeneous Service Times. Ph.D. Thesis, Georgia Institute of Technology, Atlanta, GA, USA, 1973. [Google Scholar]
- Yu, O.S.; Neuts, M.F. The steady state solution of a heterogeneous-server queue with Erlang service times. Tims Stud. Manag. Sci. 1977, 7, 199–213. [Google Scholar]
- Grassmann, W.K.; Zhao, Y.Q. Heterogeneous Multiserver Queues with General Input. Infor Inf. Syst. Oper. Res. 1997, 35, 208–224. [Google Scholar] [CrossRef]
- Zeifman, A.; Razumchik, R.; Satin, Y.; Kovalev, I. Ergodicity Bounds for the Markovian Queue with Time-Varying Transition Intensities, Batch Arrivals and One Queue Skipping Policy. Appl. Math. Comput. 2021, 395, 125846. [Google Scholar] [CrossRef]
- Zeifman, A.I.; Korolev, V.Y.; Razumchik, R.V.; Satin, Y.A.; Kovalev, I.A. Limiting Characteristics of Queueing Systems with Vanishing Perturbations. Dokl. Math. 2022, 106, 375–379. [Google Scholar] [CrossRef]
- Zeifman, A.; Korolev, V.; Satin, Y. Two approaches to the construction of perturbation bounds for continuous-time Markov chains. Mathematics 2020, 8, 253. [Google Scholar] [CrossRef]
- Satin, Y.A.; Razumchik, R.V.; Zeifman, A.I.; Kovalev, I.A. Upper bound on the rate of convergence and truncation bound for non-homogeneous birth and death processes on Z. Appl. Math. Comput. 2022, 423, 127009. [Google Scholar] [CrossRef]









Disclaimer/Publisher’s Note: The statements, opinions and data contained in all publications are solely those of the individual author(s) and contributor(s) and not of MDPI and/or the editor(s). MDPI and/or the editor(s) disclaim responsibility for any injury to people or property resulting from any ideas, methods, instructions or products referred to in the content. |
© 2023 by the authors. Licensee MDPI, Basel, Switzerland. This article is an open access article distributed under the terms and conditions of the Creative Commons Attribution (CC BY) license (https://creativecommons.org/licenses/by/4.0/).
Share and Cite
Satin, Y.; Razumchik, R.; Kovalev, I.; Zeifman, A. Ergodicity and Related Bounds for One Particular Class of Markovian Time—Varying Queues with Heterogeneous Servers and Customer’s Impatience. Mathematics 2023, 11, 1979. https://doi.org/10.3390/math11091979
Satin Y, Razumchik R, Kovalev I, Zeifman A. Ergodicity and Related Bounds for One Particular Class of Markovian Time—Varying Queues with Heterogeneous Servers and Customer’s Impatience. Mathematics. 2023; 11(9):1979. https://doi.org/10.3390/math11091979
Chicago/Turabian StyleSatin, Yacov, Rostislav Razumchik, Ivan Kovalev, and Alexander Zeifman. 2023. "Ergodicity and Related Bounds for One Particular Class of Markovian Time—Varying Queues with Heterogeneous Servers and Customer’s Impatience" Mathematics 11, no. 9: 1979. https://doi.org/10.3390/math11091979
APA StyleSatin, Y., Razumchik, R., Kovalev, I., & Zeifman, A. (2023). Ergodicity and Related Bounds for One Particular Class of Markovian Time—Varying Queues with Heterogeneous Servers and Customer’s Impatience. Mathematics, 11(9), 1979. https://doi.org/10.3390/math11091979

