Study on the Mechanical Behavior and Constitutive Model of Layered Sandstone under Triaxial Dynamic Loading
Abstract
1. Introduction
2. Sample Preparation and Test System
2.1. Sample Preparation
2.2. Test Equipment
2.3. Test Scheme and Data Processing
3. Results Analysis
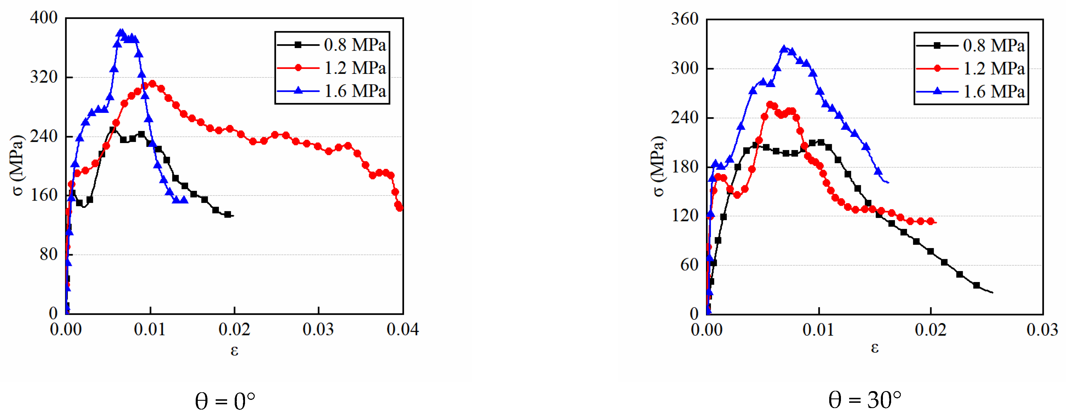
3.1. Stress–Strain Curve
3.2. Strength Characteristics
3.3. Deformation Characteristics
3.4. Failure Characteristics
3.5. Energy Evolution
3.6. Constitutive Model
3.7. Model Verification
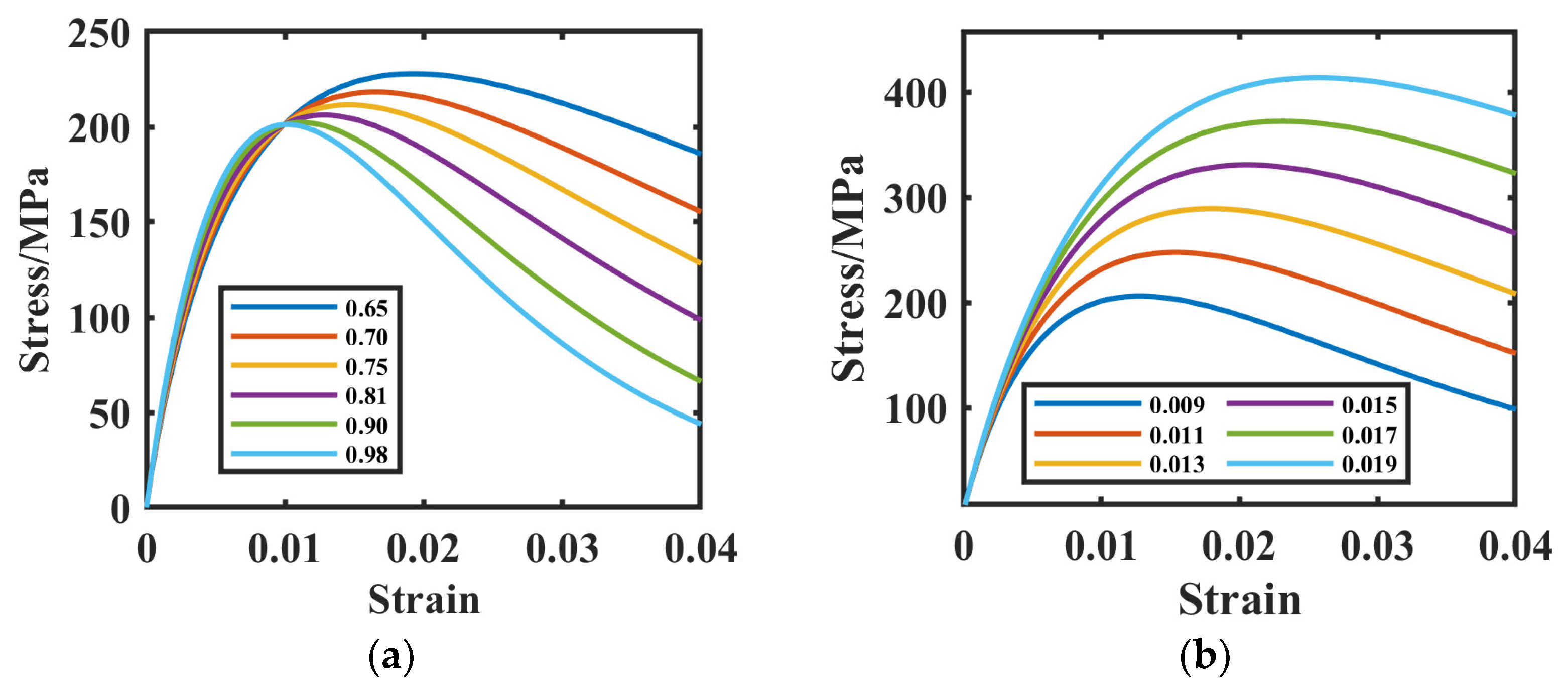
3.8. Influence of the Constitutive Parameters on Rock Mechanical Behavior
4. Conclusions
- (1)
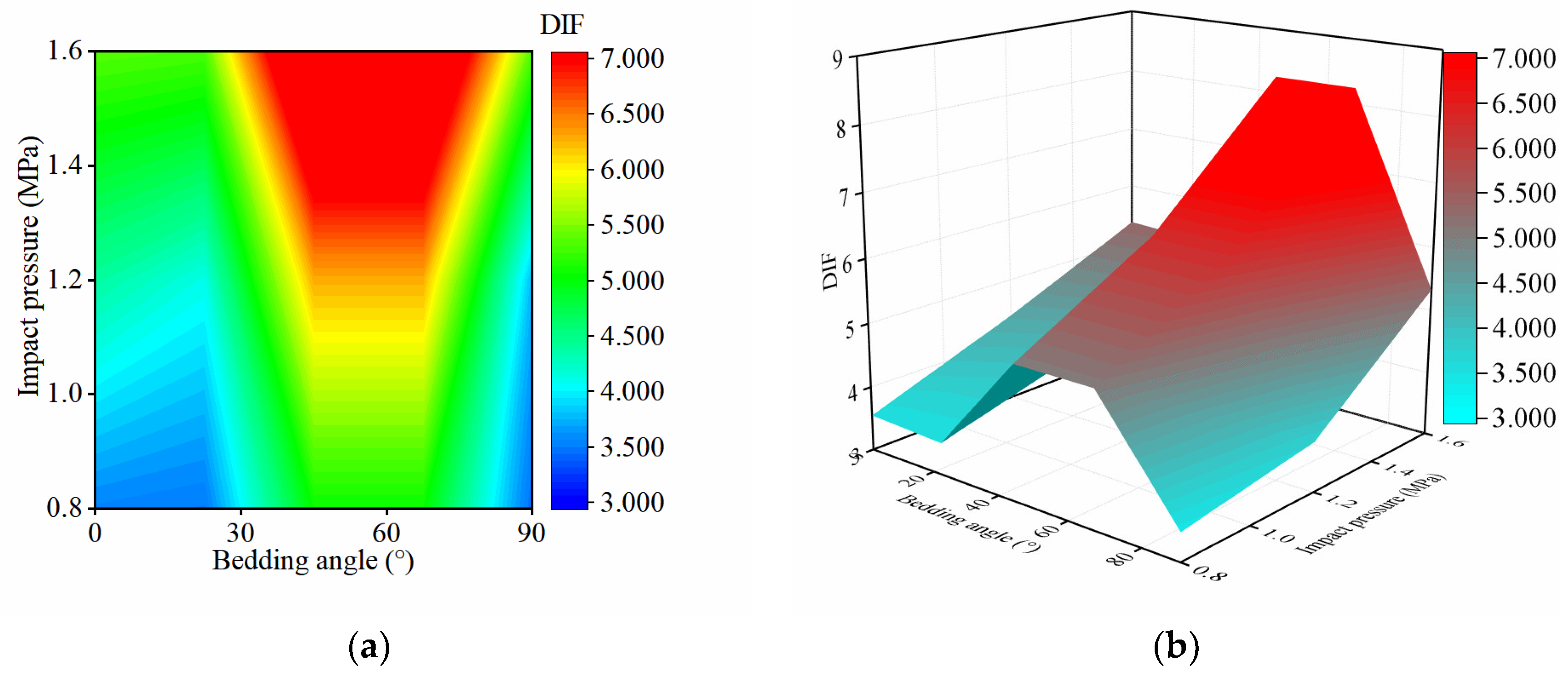
- A high initial static load greatly enhanced the ductility of sandstone. With the increasing bedding angle, the coupling and dynamic strengths of sandstone first decreased and later rose. As the bedding angle rose, the sandstone’s dynamic strength growth factor first was reduced and later rose.
- (2)
- With an enhancement of the impact pressure, the load time of the rock became shorter, and the dynamic growth factor of sandstone increased gradually. The anisotropy coefficients of sandstone under three-dimensional dynamic compression were quite different from those under uniaxial loading. With an increasing bedding angle, there was no obvious rule for the peak strain. The peak strain basically followed a progressive pattern of increase as the impact pressure was enhanced.
- (3)
- The bedding angles and dynamic loads markedly influenced the failure pattern of the laminated sandstone. Under an impact pressure of 1.2 MPa, the 0° and 45° bedding angle sandstone showed failure along the bedding planes, while the 30°, 60°, and 90° sandstone failure fragments had a typical circular-table shape. Under an impact pressure of 1.6 MPa, sandstone with bedding angles of 0°, 30°, 45°, and 60° showed typical round-table fragments.
- (4)
- The proportion of reflected energy in the sandstone rose progressively as the impact pressure increased. A constitutive model of the rock under the combined effect of triaxial dynamic and static loads and the bedding plane was developed and verified. The constitutive model can accurately describe the dynamic behavior of rock under this condition.
Author Contributions
Funding
Data Availability Statement
Conflicts of Interest
References
- Hou, S.; Liang, S.; Liu, D. Study on dynamic mechanical properties and constitutive model of granite under constant strain rate loading. Constr. Build. Mater. 2023, 363, 129975. [Google Scholar] [CrossRef]
- Zhou, Z.; Cai, X.; Ma, D.; Chen, L.; Wang, S.; Tan, L. Dynamic tensile properties of sandstone subjected to wetting and drying cycles. Constr. Build. Mater. 2018, 182, 215–232. [Google Scholar] [CrossRef]
- Cai, X.; Zhou, Z.; Du, X. Water-induced variations in dynamic behavior and failure characteristics of sandstone subjected to simulated geo-stress. Int. J. Rock Mech. Min. Sci. 2020, 130, 104339. [Google Scholar] [CrossRef]
- Hao, X.; Du, W.; Zhao, Y.; Sun, Z.; Zhang, Q.; Wang, S.; Qiao, H. Dynamic tensile behaviour and crack propagation of coal under coupled static-dynamic loading. Int. J. Min. Sci. Technol. 2020, 30, 659–668. [Google Scholar] [CrossRef]
- Ke, B.; Zhang, J.; Deng, H.; Yang, X. Dynamic Characteristics of Sandstone under Coupled Static-Dynamic Loads after Freeze-Thaw Cycles. Appl. Sci. 2020, 10, 3351. [Google Scholar] [CrossRef]
- Tan, L.; Ren, T.; Yang, X.; He, X. A numerical simulation study on mechanical behaviour of coal with bedding planes under coupled static and dynamic load. Int. J. Min. Sci. Technol. 2018, 28, 791–797. [Google Scholar] [CrossRef]
- Wang, Z.L.; Hao, S.Y.; Zheng, J.; Tian, N.C.; Zha, F.S.; Shi, H. Study on energy properties and failure behaviors of heat-treated granite under static and dynamic compression. Mech. Adv. Mater. Struct. 2019, 27, 462–472. [Google Scholar] [CrossRef]
- Zhou, Z.; Cai, X.; Li, X.; Cao, W.; Du, X. Dynamic Response and Energy Evolution of Sandstone Under Coupled Static–Dynamic Compression: Insights from Experimental Study into Deep Rock Engineering Applications. Rock Mech. Rock Eng. 2019, 53, 1305–1331. [Google Scholar] [CrossRef]
- Gong, F.-Q.; Si, X.-F.; Li, X.-B.; Wang, S.-Y. Dynamic triaxial compression tests on sandstone at high strain rates and low confining pressures with split Hopkinson pressure bar. Int. J. Rock Mech. Min. Sci. 2019, 113, 211–219. [Google Scholar] [CrossRef]
- Luo, N.; Fan, X.; Cao, X.; Zhai, C.; Han, T. Dynamic mechanical properties and constitutive model of shale with different bedding under triaxial impact test. J. Pet. Sci. Eng. 2022, 216, 110758. [Google Scholar] [CrossRef]
- Li, Y.; Zhai, Y.; Wang, C.; Meng, F.; Lu, M. Mechanical properties of Beishan granite under complex dynamic loads after thermal treatment. Eng. Geol. 2020, 267, 105481. [Google Scholar] [CrossRef]
- Xu, Y.; Chen, B.; Wu, B.; Chen, Z.; Yang, L.; Li, P. Influence of freeze–thaw cycling on the dynamic compressive failure of rocks subjected to hydrostatic pressure. Bull. Eng. Geol. Environ. 2022, 81, 276. [Google Scholar] [CrossRef]
- Zhou, T.; Zhu, J.; Xie, H. Mechanical and Volumetric Fracturing Behaviour of Three-Dimensional Printing Rock-like Samples Under Dynamic Loading. Rock Mech. Rock Eng. 2020, 53, 2855–2864. [Google Scholar] [CrossRef]
- Zhou, Y.; Su, S.; Li, P.; Xu, G. Mechanical Behavior, Energy Release, and Crack Distribution Characteristics of Water-Saturated Phyllite under Triaxial Cyclic Loading. Adv. Civ. Eng. 2021, 2021, 3681439. [Google Scholar] [CrossRef]
- Wang, S.; Xiong, X.; Liu, Y.; Zhou, J.; Du, K.; Cui, Y.; Khandelwal, M. Stress–strain relationship of sandstone under confining pressure with repetitive impact. Geomech. Geophys. Geo-Energy Geo-Resour. 2021, 7, 39. [Google Scholar] [CrossRef]
- Barton, N. Shear strength criteria for rock, rock joints, rockfill and rock masses: Problems and some solutions. J. Rock Mech. Geotech. Eng. 2013, 5, 249–261. [Google Scholar] [CrossRef]
- Si, X.; Gong, F.; Li, X.; Wang, S.; Luo, S. Dynamic Mohr–Coulomb and Hoek–Brown strength criteria of sandstone at high strain rates. Int. J. Rock Mech. Min. Sci. 2019, 115, 48–59. [Google Scholar] [CrossRef]
- Singh, M.; Raj, A.; Singh, B. Modified Mohr–Coulomb criterion for non-linear triaxial and polyaxial strength of intact rocks. Int. J. Rock Mech. Min. Sci. 2011, 48, 546–555. [Google Scholar] [CrossRef]
- Du, H.-B.; Dai, F.; Liu, Y.; Xu, Y.; Wei, M.-D. Dynamic response and failure mechanism of hydrostatically pressurized rocks subjected to high loading rate impacting. Soil Dyn. Earthq. Eng. 2020, 129, 105927. [Google Scholar] [CrossRef]
- Du, H.-B.; Dai, F.; Xu, Y.; Yan, Z.; Wei, M.-D. Mechanical responses and failure mechanism of hydrostatically pressurized rocks under combined compression-shear impacting. Int. J. Mech. Sci. 2020, 165, 105219. [Google Scholar] [CrossRef]
- Du, H.; Dai, F.; Wei, M.; Li, A.; Yan, Z. Dynamic Compression–Shear Response and Failure Criterion of Rocks with Hydrostatic Confining Pressure: An Experimental Investigation. Rock Mech. Rock Eng. 2020, 54, 955–971. [Google Scholar] [CrossRef]
- Yao, W.; Li, X.; Xia, K.; Hokka, M. Dynamic flexural failure of rocks under hydrostatic pressure: Laboratory test and theoretical modeling. Int. J. Impact Eng. 2021, 156, 103946. [Google Scholar] [CrossRef]
- Yao, W.; Xu, Y.; Wang, C.; Xia, K.; Hokka, M. Dynamic Mode Ⅱ fracture behavior of rocks under hydrostatic pressure using the short core in compression (SCC) method. Int. J. Min. Sci. Technol. 2021, 31, 927–937. [Google Scholar] [CrossRef]
- Feng, X.-T.; Tian, M.; Yang, C.; He, B. A testing system to understand rock fracturing processes induced by different dynamic disturbances under true triaxial compression. J. Rock Mech. Geotech. Eng. 2023, 15, 102–118. [Google Scholar] [CrossRef]
- Xie, H.; Zhu, J.; Zhou, T.; Zhao, J. Novel Three-dimensional Rock Dynamic Tests Using the True Triaxial Electromagnetic Hopkinson Bar System. Rock Mech. Rock Eng. 2021, 54, 2079–2086. [Google Scholar] [CrossRef]
- Zhao, G.; Li, X.; Xu, Y.; Xia, K. A modified triaxial split Hopkinson pressure bar (SHPB) system for quantifying the dynamic compressive response of porous rocks subjected to coupled hydraulic-mechanical loading. Geomech. Geophys. Geo-Energy Geo-Resour. 2022, 8, 29. [Google Scholar] [CrossRef]
- You, W.; Dai, F.; Liu, Y.; Du, H.; Jiang, R. Investigation of the influence of intermediate principal stress on the dynamic responses of rocks subjected to true triaxial stress state. Int. J. Min. Sci. Technol. 2021, 31, 913–926. [Google Scholar] [CrossRef]
- Gong, H.; Luo, Y.; Zhou, J.; Zhao, C.; Li, X. Fracture Behaviors and Damage Evolution Anisotropy of Granite Under Coupling of Multiaxial Confinement and Dynamic Loading. Rock Mech. Rock Eng. 2023, 56, 2515–2534. [Google Scholar] [CrossRef]
- Luo, Y.; Gong, H.; Huang, J.; Wang, G.; Li, X.; Wan, S. Dynamic cumulative damage characteristics of deep-buried granite from Shuangjiangkou hydropower station under true triaxial constraint. Int. J. Impact Eng. 2022, 165, 104215. [Google Scholar] [CrossRef]
- Wu, G.; Liu, K.; Hu, W.R.; Li, J.C.; Dehkhoda, S.; Zhang, Q.B. Quantification of dynamic damage and breakage in granite under confined indentation. Int. J. Rock Mech. Min. Sci. 2021, 144, 104763. [Google Scholar] [CrossRef]
- Liu, K.; Zhang, Q.B.; Wu, G.; Li, J.C.; Zhao, J. Dynamic Mechanical and Fracture Behaviour of Sandstone under Multiaxial Loads Using a Triaxial Hopkinson Bar. Rock Mech. Rock Eng. 2019, 52, 2175–2195. [Google Scholar] [CrossRef]
- Liu, K.; Zhao, J. Progressive Damage Behaviours of Triaxially Confined Rocks under Multiple Dynamic Loads. Rock Mech. Rock Eng. 2021, 54, 3327–3358. [Google Scholar] [CrossRef]
- Hu, W.R.; Liu, K.; Potyondy, D.O.; Salmi, E.F.; Sellers, E.J.; Zhang, Q.B. Grain-based modelling of dynamic shear rupture of heterogeneous rock using a coupled continuum-discrete model. Int. J. Impact Eng. 2023, 172, 104420. [Google Scholar] [CrossRef]
- Hu, W.R.; Liu, K.; Potyondy, D.O.; Zhang, Q.B. 3D continuum-discrete coupled modelling of triaxial Hopkinson bar tests on rock under multiaxial static-dynamic loads. Int. J. Rock Mech. Min. Sci. 2020, 134, 104448. [Google Scholar] [CrossRef]
- Niu, C.; Zhu, Z.; Wang, F.; Ying, P.; Deng, S. Effect of Water Content on Dynamic Fracture Characteristic of Rock under Impacts. KSCE J. Civ. Eng. 2020, 25, 37–50. [Google Scholar] [CrossRef]
- Chang, X.; Zhang, X.; Qian, L.Z.; Chen, S.H.; Yu, J. Influence of bedding anisotropy on the dynamic fracture behavior of layered phyllite. Eng. Fract. Mech. 2022, 260, 108183. [Google Scholar] [CrossRef]
- Dong, S.; Han, B.; Yu, X.; Ou, J. Dynamic impact behaviors and constitutive model of super-fine stainless wire reinforced reactive powder concrete. Constr. Build. Mater. 2018, 184, 602–616. [Google Scholar] [CrossRef]
- Zhang, H.; Wang, L.; Zheng, K.; Bakura, T.J.; Totakhil, P.G. Research on compressive impact dynamic behavior and constitutive model of polypropylene fiber reinforced concrete. Constr. Build. Mater. 2018, 187, 584–595. [Google Scholar] [CrossRef]
- Huang, Y.-J.; Guo, F.-Q.; Zhang, H.; Yang, Z.-J. An efficient computational framework for generating realistic 3D mesoscale concrete models using micro X-ray computed tomography images and dynamic physics engine. Cem. Concr. Compos. 2022, 126, 104347. [Google Scholar] [CrossRef]
- Huang, Y.; Yang, Z.; Ren, W.; Liu, G.; Zhang, C. 3D meso-scale fracture modelling and validation of concrete based on in-situ X-ray Computed Tomography images using damage plasticity model. Int. J. Solids Struct. 2015, 67–68, 340–352. [Google Scholar] [CrossRef]
- Huang, Y.J.; Yang, Z.J.; Chen, X.W.; Liu, G.H. Monte Carlo simulations of meso-scale dynamic compressive behavior of concrete based on X-ray computed tomography images. Int. J. Impact Eng. 2016, 97, 102–115. [Google Scholar] [CrossRef]






















| Impact Pressure/MPa | Bedding Angle/° | Peak Strength/MPa | Coupled Strength/MPa |
|---|---|---|---|
| 0.8 | 0 | 249 | 259 |
| 1.2 | 0 | 311 | 321 |
| 1.6 | 0 | 381 | 391 |
| 0.8 | 30 | 210 | 220 |
| 1.2 | 30 | 249 | 259 |
| 1.6 | 30 | 324 | 334 |
| 0.8 | 45 | 172 | 182 |
| 1.2 | 45 | 216 | 226 |
| 1.6 | 45 | 287 | 297 |
| 0.8 | 60 | 207 | 217 |
| 1.2 | 60 | 229 | 239 |
| 1.6 | 60 | 332 | 342 |
| 0.8 | 90 | 230 | 240 |
| 1.2 | 90 | 254 | 264 |
| 1.6 | 90 | 363 | 373 |
| Impact Pressure/MPa | Bedding Plane/° | Peak Strain |
|---|---|---|
| 0.8 | 0 | 0.0055 |
| 1.2 | 0 | 0.0099 |
| 1.6 | 0 | 0.0063 |
| 0.8 | 30 | 0.0047 |
| 1.2 | 30 | 0.0058 |
| 1.6 | 30 | 0.0073 |
| 0.8 | 45 | 0.0049 |
| 1.2 | 45 | 0.012 |
| 1.6 | 45 | 0.0085 |
| 0.8 | 60 | 0.0034 |
| 1.2 | 60 | 0.0096 |
| 1.6 | 60 | 0.0086 |
| 0.8 | 90 | 0.0040 |
| 1.2 | 90 | 0.0091 |
| 1.6 | 90 | 0.0084 |
| P/MPa | Failure Characteristics | ||||
|---|---|---|---|---|---|
| 0° | 30° | 45° | 60° | 90° | |
| 0.8 | ![]() | ![]() | ![]() | ![]() | ![]() |
| 1.2 | ![]() | ![]() | ![]() | ![]() | ![]() |
| 1.6 | ![]() | ![]() | ![]() | ![]() | ![]() |
| P (MPa) | Bedding Angle | n | E0 (GPa) | E2 (GPa) | α | β | Φ2 |
|---|---|---|---|---|---|---|---|
| 0.8 | 0° | 0.8529 | 8955 | 3105 | 159.3 | 10.66 | −414.7 |
| 1.2 | 0° | 0.8794 | 5467 | 3506 | 168.4 | 9.86 | 848.2 |
| 1.6 | 0° | 1.279 | 1015 | 4301 | 263.2 | 11.6 | −326.4 |
| 0.8 | 30° | 1.482 | 5635 | 1463 | −33.8 | −163.8 | −128.8 |
| 1.2 | 30° | 0.9721 | 8480 | 2630 | 137.1 | 10.81 | 949.2 |
| 1.6 | 30° | 1.112 | 8922 | 3072 | 196.2 | 11.52 | −796.5 |
| 0.8 | 45° | 0.7106 | 6662 | 1282 | 31.46 | 11.38 | 0.0458 |
| 1.2 | 45° | 1.085 | 5091 | 1408 | −220 | −1190 | 358.8 |
| 1.6 | 45° | 1.003 | 7258 | 8117 | 98.28 | 10.9 | −998.9 |
| 0.8 | 60° | 1.474 | 5165 | 1885 | −26.82 | 741.3 | −2449 |
| 1.2 | 60° | 0.8137 | 5859 | 3520 | −86.78 | 227.1 | −135.9 |
| 1.6 | 60° | 0.9299 | 7735 | 3953 | 141.6 | 11.42 | −76.66 |
| 0.8 | 90° | 0.6729 | 8952 | 2745 | 129.9 | 10 | 61.52 |
| 1.2 | 90° | 0.9019 | 5598 | 3102 | −128.1 | 284.8 | 1085 |
| 1.6 | 90° | 1.001 | 8595 | 7932 | 204.5 | 11.73 | −110.3 |
Disclaimer/Publisher’s Note: The statements, opinions and data contained in all publications are solely those of the individual author(s) and contributor(s) and not of MDPI and/or the editor(s). MDPI and/or the editor(s) disclaim responsibility for any injury to people or property resulting from any ideas, methods, instructions or products referred to in the content. |
© 2023 by the authors. Licensee MDPI, Basel, Switzerland. This article is an open access article distributed under the terms and conditions of the Creative Commons Attribution (CC BY) license (https://creativecommons.org/licenses/by/4.0/).
Share and Cite
Fan, W.; Zhang, J.; Yang, Y.; Zhang, Y.; Dong, X.; Xing, Y. Study on the Mechanical Behavior and Constitutive Model of Layered Sandstone under Triaxial Dynamic Loading. Mathematics 2023, 11, 1959. https://doi.org/10.3390/math11081959
Fan W, Zhang J, Yang Y, Zhang Y, Dong X, Xing Y. Study on the Mechanical Behavior and Constitutive Model of Layered Sandstone under Triaxial Dynamic Loading. Mathematics. 2023; 11(8):1959. https://doi.org/10.3390/math11081959
Chicago/Turabian StyleFan, Wenbing, Junwen Zhang, Yang Yang, Yang Zhang, Xukai Dong, and Yulong Xing. 2023. "Study on the Mechanical Behavior and Constitutive Model of Layered Sandstone under Triaxial Dynamic Loading" Mathematics 11, no. 8: 1959. https://doi.org/10.3390/math11081959
APA StyleFan, W., Zhang, J., Yang, Y., Zhang, Y., Dong, X., & Xing, Y. (2023). Study on the Mechanical Behavior and Constitutive Model of Layered Sandstone under Triaxial Dynamic Loading. Mathematics, 11(8), 1959. https://doi.org/10.3390/math11081959
















