Next Article in Journal
On the Soliton Solutions for the Stochastic Konno–Oono System in Magnetic Field with the Presence of Noise
Previous Article in Journal
Random “Decision and Experienced Utility”, Adaptive “Consumer Memory and Choice”: The Impact of Mind Fluctuations and Cognitive Biases on Consumption and Classification
 
 
Font Type:
Arial Georgia Verdana
Font Size:
Aa Aa Aa
Line Spacing:
Column Width:
Background:
Article

Effect of Significant Parameters on Squeeze Film Characteristics in Pathological Synovial Joints

1
School of Computational & Integrative Sciences, Jawaharlal Nehru University, New Delhi 110067, India
2
Department of Information System, College of Computer and Information Sciences, Majmaah University, Majmaah 11952, Saudi Arabia
3
ISILC, Victoria University, Melbourne 80309, Australia
*
Author to whom correspondence should be addressed.
Mathematics 2023, 11(6), 1468; https://doi.org/10.3390/math11061468
Submission received: 18 January 2023 / Revised: 19 February 2023 / Accepted: 23 February 2023 / Published: 17 March 2023

Abstract

Synovial joints are unique biological tribo-systems that allow for efficient mobility. Most of the synovial joint activities in the human body are accomplished due to the presence of synovial fluid. As a biological lubricant, synovial fluid lubricates the articular cartilage to minimize wear and friction. The key components of synovial fluid that give it its lubricating ability are lubricin, hyaluronic acid (HA), and surface-active phospholipids. Due to age and activities, synovial fluid and articular cartilages lose their properties, restricting synovial joint mobility and resulting in articular cartilage degradation, leading to the pathological synovial joint, which is a major cause of disability. In this context, synovial joint research remains significant. Even though synovial joint lubrication has been investigated, several problems linked to squeeze film lubrication need greater attention. The Newtonian model of squeeze film lubrication in synovial joints must be studied more extensively. This work aims to investigate squeeze film lubrication in diseased synovial joints. The lubrication and other properties of synovial fluid and the flow of synovial fluid in a diseased human knee joint are investigated theoretically in this work. We have investigated the effect of the synovial fluid viscosity and the effects of permeability and thickness of articular cartilage on squeeze film properties. Moreover, we have also investigated the effect of squeeze velocity and film thickness on the characteristics of the squeeze film formed between the articular cartilages of a diseased human knee joint. In this work, the articular cartilages were treated as a rough, porous material, and the geometry was approximated as parallel rectangular plates, while the synovial fluid flow is modeled as a viscous, incompressible, and Newtonian fluid. The modified Reynolds equation is obtained using the principles of hydrodynamic lubrication and continuum mechanics, and it is solved using the appropriate boundary conditions. The expressions for pressure distribution, load-bearing capacity, and squeezing time are then determined, and theoretical analysis for various parameters is conducted. Pressure is increased by squeeze velocity and viscosity, while it is decreased by permeability and film thickness, leading to an unhealthy knee joint and a reduction in knee joint mobility. The load capacity of the knee joint decreases with permeability and increases with viscosity and squeezing velocity, resulting in a reduction in the load-carrying capacity of the knee joint in diseased conditions. Synovial knee joint illness is indicated by increased pressure and squeeze time. The squeeze film properties of synovial joints are important for maintaining joint health and function. Joint diseases such as osteoarthritis, rheumatoid arthritis, and gout can affect the composition and production of synovial fluid, leading to changes in squeeze film properties and potentially causing joint damage and pain. Understanding these relationships can help in the development of effective treatments for joint diseases.

1. Introduction

The synovial joint is a specific type of joint in the human body and has an extremely complicated structure. This joint is very important and responsible for the movement of the human body. Synovial joints are the anatomical structures in charge of mobility, which is one of the essential functions of the human body. These weight-bearing joints are made up of two mating bones that have a round shape and are covered by layers of a sponge-like poroelastic substance that is known as articular cartilage. There is a cavity that can be noticed in the gap between these articular cartilages, and this cavity is filled with a clear fluid that resembles egg white or has a yellowish tint to it. This fluid is known as synovial fluid. Synovial fluid is responsible for nearly every aspect of the functioning of a synovial joint, but it is primarily responsible for three key aspects of that functioning. It performs the functions of a lubricant, a shock absorber under situations of instantaneous loading, and a transport medium for nutrients. Synovial fluid provides lubrication to the synovial joint to reduce the wear and friction between the mating bones and both articular cartilages during motion. This helps to enhance the mechanical functioning of the synovial joint. Additionally, synovial fluid is responsible for transporting nutrients and waste products to the avascular articular cartilage and subchondral bone cells, which do not have a direct blood supply. Synovial fluid is a polymeric fluid that is an ultra-filtrate of blood plasma and is modified by the contents that are produced by the tissues that make up a significant part of the synovial joint [1,2,3,4,5]. In its most basic form, synovial fluid may be described as a dialysate of blood plasma that also contains a long-chain polymer known as hyaluronic acid. The viscosity of the synovial fluid is caused by hyaluronic acid, and if the whole of the hyaluronic acid is removed from the fluid using acetic acid precipitation, the viscosity of the fluid will be reduced to that of water [6]. The synovial fluid may be considered a combination of viscous and ideal fluids that are incompressible. The viscous portion of this combination is mostly composed of hyaluronic acid and macromolecular protein complexes, whereas the remaining portion consists of water and small solutes. Only the ideal part of the synovial fluid flows through the pores of the articular cartilage, forming a synovial gel film. According to this asymptotic model, cartilage filtration is intense, the fluid film is rapidly depleted, and a synovial gel layer forms over most of the contact area in a step-loaded joint; this gel may function as a boundary lubricant [7,8,9].
Researchers have given substantial attention to the study of the mechanics of human movement, such as the knee and hip joints [10]. Recent research on synovial joints has concentrated on two areas: investigating the underlying lubricating mechanisms that occur in natural joints and developing artificial, replacement joints. The purpose of mathematical models of human joints is to predict parameters that are difficult to measure experimentally and to mimic changes in physiological circumstances. Various researchers have been engaged in the modelling of the mechanics of joint lubrication, with a focus on the synovial joint, offering sophisticated models that use complicated numerical techniques to obtain the required answer [11,12,13]. Cartilage is essentially a two-phase, elastic, porous substance that may absorb or release fluid due to a pressure difference generated by either the squeeze film action of synovial fluid or consolidation of the solid matrix by tissue deformation. Clarke [14], Mow and Lai [15] have shown that cartilage is a three-layered porous medium with a superficial tangential zone, a middle zone, and a deep zone. Nigam et al. [16] explored the impact of the variation of porosity in the uppermost layer of cartilage, which, according to them, plays a major part in the self-adjusting nature of the human joint, using a three-layered porous medium. Tandon and Jaggi [17] investigated the process of lubrication in knee joint replacements with limited movement. The squeeze film phenomenon is the result of two lubricated surfaces approaching each other at a normal velocity and exhibiting a certain behavior. Due to the film’s viscous lubricant resistance, it cannot be instantly squeezed out. Conway and Lee [18] study the squeezing film characteristic between a spherical and a flat plate. Bujurke et al. [19] investigated the influence of surface roughness on squeeze film poroelastic bearings, with particular emphasis on synovial joints. Recent research by Naduvinamani and Savitramma [20] examined the micropolar fluid squeeze film lubrication between rough anisotropic poroelastic rectangular plates, with a focus on synovial joint lubrication. Tichy et al. [21] sought to investigate inertial concerns in parallel circular squeeze film bearings. Qvale et al. [22] observed that the coefficient of friction might be greatly decreased or increased for a given geometry, load, and film thickness if the viscosity changes in the direction perpendicular to the direction of motion. Shukla et al. [23] developed an extended version of the Reynolds equation for fluid lubrication by considering the effects of viscosity fluctuation in the film and slip at the bearing surfaces. Additionally, they introduced the notion of multi-layer lubrication. Tandon et al. [24] examined temperature control in synovial joints and found that the increase in temperature is greater in diseased synovial joints than in healthy ones. Naduvinamani et al. [25] examined the combined impact of unidirectional surface roughness and lubricant additives on the performance parameters of porous squeeze film lubrication between two rectangular plates with limited dimensions. Bali and Sharma [26] presented a realistic model to understand the temperature distribution and its relation to the viscosity of synovial fluid and lubrication mechanism in knee joints. Bali et al. [27] suggested a non-linear model for lubrication in synovial joints, modeling cartilage as a combination of two separate constituents, namely an incompressible fluid phase and an incompressible porous solid phase for the evaluation of static and dynamic features of porous bearings. Bełdowski et al. [28] studied the bonding between phospholipids and glycosaminoglycan present in the synovial fluid by performing molecular dynamic simulations to understand the lubrication mechanism at the nanoscale level. Fathima et al. [29] developed a generic dynamic Reynolds equation for sliding–squeezing surfaces with coupled stress fluids. Their research indicated that the impacts of pair stresses increase both steady-state and dynamic stiffness and damping properties. Savitramma and Naduvinamani [30] studied the effects of surface roughness and poroelasticity on the micropolar squeeze film behavior between rectangular plates and discovered that the influence of surface roughness has significant implications on the synovial joint lubrication mechanism. Al Atawi et al. [31] presented a synovial joint study recently and investigated the effect of different parameters such as the porosity and viscoelasticity of articular cartilages on the flow of steady convective diffusion in synovial joint by utilizing the finite volume method combined with the Beavers and Joseph conditions. Kumar et al. [32] developed a mathematical model to examine the effect of magnetic fields on cartilaginous cells of synovial joint and nutrient flow to articular cartilage to establish the importance of cartilage nutrition in joint mobility.
Research has been conducted on lubrication in human synovial joints, particularly the knee joint, which is essential for weight bearing and movement. The knee joint plays a critical role in maintaining balance and performing basic physical activities such as standing, walking, and playing sports. Therefore, understanding the process of joint lubrication is important. Lubrication in the synovial knee joint is responsible for reducing friction and wear between articular cartilage surfaces during movement. Synovial fluid is crucial for the lubrication process as it creates a protective film that separates and smooths the surfaces of the cartilage. The absence of proper lubrication would result in the surfaces rubbing against each other, leading to joint damage. In studies on the lubrication of synovial joints, the hydrodynamic lubrication mechanism is the squeeze film lubrication mechanism. The process of squeeze film lubrication occurs when two lubricating surfaces approach each other vertically to generate pressure and support the load. The viscous lubricant existing between the surfaces cannot be instantly squeezed out as they move toward each other, creating a cushioning effect. In the case of synovial joints, squeezing film lubrication produces a fluid film by the movement of the synovial fluid between the surfaces of the articular cartilage. The viscosity and movement of the synovial fluid affect frictional forces in hydrodynamic lubrication. The pressure created by the flow of synovial fluid between the articular cartilages defines squeeze film lubrication and impacts the joint’s ability to support the weight. Hays [33] conducted a theoretical analysis of the squeeze films between rectangular plates and studied the effect of surface curvature on the squeeze film generation and its properties. Using load capacity curves and pressure distributions, a theoretical study was performed on the conventional method of flat and curved rectangular plates separated by a thin layer of lubricant. Gould [34] explored the parallel surface squeeze films and studied high-pressure squeeze films between constant-velocity flat discs with the lubricant’s viscosity depending on fluid temperature and pressure. Wu [35] theoretically analyzed the squeeze films between rough, porous rectangular plates and derived the modified Reynolds equation to investigate the squeeze film between two rectangular plates, one of which had a porous face. He discovered that the influence of porous facing on squeeze film properties is substantial. Bali et al. [36] investigated the theoretical articular contact mechanics of an artificial knee joint with biphasic cartilage layers under restricted motion during normal walking and suggested that porous implants with a viscoelastic fluid lubricant may provide better implantation in comparison to cement or rigid materials, as the load-carrying capacity increases with increasing viscoelastic parameters, similar to the concentration of hyaluronic acid molecules in synovial fluid. Bali and Sharma [37] presented a two-region flow model for the investigation of lubrication mechanism in the synovial joint in the presence of the magnetic field by considering two porous cartilage surfaces separated by a non-Newtonian lubricant. This study explored the possibility of the improvement in the efficiency of joint lubrication with the help of magnetic fields. Naduvinamanni et al. [38] investigated the effect of surface roughness on the squeeze film lubrication of finite poroelastic partial journal bearings lubricated with a couple stress fluid with a focus on the lubrication mechanism of the human hip joint. They developed a simple mathematical model to understand the combined effect of surface roughness and couple stress on the squeeze film behavior of the hip joint as a particular case by considering articular cartilage as a poroelastic biphasic material and synovial fluid as a couple stress fluid. Using the deterministic theory of hydrodynamic lubrication, Kumar et al. [39] developed a theoretical model to examine the influence of surface roughness on the squeezing film of spherical bearings. Radulescue et al. [40] investigated the properties of squeeze film between non-parallel circular surfaces by evaluating the performance of Newtonian fluid from a theoretical and experimental standpoint using the two-dimensional modified Reynolds equation. Hanumagowda et al. [41] conducted a theoretical investigation of the combined influence of couple stress, convective inertial forces, and magnetohydrodynamics on squeeze film characteristics.
After reviewing the relevant literature, we have determined that there is no mathematical formulation describing the effect of synovial fluid parameters on the squeeze film characteristics of the synovial knee joint. In addition, squeeze film characteristics have not been examined in relation to articular cartilage properties. There is some research on the squeeze film properties, although the majority is limited to journal bearings. In these investigations, the behavior of synovial fluid was modeled as a non-Newtonian fluid, a micropolar fluid, or a couple stress fluid, and the influence of the factors linked to the fluid’s micropolar and couple stress nature was explored. In the existing research, the effects of the viscosity of synovial fluids, the permeability of articular cartilage, the thickness of the fluid film, and the squeeze velocity have not been studied. The behavior of the synovial fluid is Newtonian in pathological conditions, and most of the existing studies are based on the consideration of the synovial fluid as a non-Newtonian fluid. In relation to the properties of the synovial fluid and articular cartilage, it is still necessary to gain insight into the pathological conditions of the synovial joints. In this study, the effect of synovial fluid and articular cartilage properties on the characteristics of the squeeze film of synovial joints has been investigated. The viscosity of the synovial fluid and the permeability of the articular cartilage influence the behavior of the synovial joint’s squeeze film; consequently, it is essential to examine these effects. In addition to the viscosity of the synovial fluid and the permeability of the articular cartilage, the squeezing velocity and fluid film thickness also affect these properties. The synovial joint system is very complicated, and it is challenging to consider all the components involved in the synovial joint all at once. As a result, this study only considers the most basic physical situations, and the squeezing of cartilage surfaces lubricated by synovial fluid has been modeled mathematically. Articular cartilage has been investigated with a scenario in which the upper cartilage is moving toward the lower cartilage, treating the synovial fluid as a Newtonian fluid, and treating the articular cartilage as a porous material. The purpose of this study is to construct a mathematical model for investigating the properties of the squeezing film in the synovial joint and how these properties are impacted by the changes in the synovial fluid and articular cartilage. The primary objective of our work is to establish a relation between the properties of the synovial fluid and articular cartilage with squeeze film characteristics in pathological conditions. This aim is accomplished by deriving an analytical expression for the pressure distribution, load-bearing capacity, and squeezing time. The most essential aspect of our work is establishing a relationship between these characteristics, the parameters of the synovial fluid and articular cartilage, and how these changes affect the status of the synovial joint. Our objective is to identify the characteristics that might lead to synovial joint disease. Pressure, load-bearing capacity, and squeeze time are important parameters of the synovial joint squeeze film and are helpful for comprehending diseased synovial joints by considering synovial fluid and articular cartilage properties. This article can contribute to the early identification of synovial joint disease and implant development with the help of the presented model. Therefore, this study has academic and practical significance. The current article has four sections. The first section contains the problem’s context, introduction, literature review, and limitations. In the second section, the mathematical model has been presented in detail. In section three, we have reviewed the model’s outcomes. This part contains the results in the form of graphs and their conclusions. In this part, we have described in detail what we have achieved, why it was important to undertake this research, and what its outcomes would be. Section four reports the conclusion of this study.

2. Mathematical Model

In the present study, we have considered the synovial fluid flow in diseased human knee joints as they are being loaded. The schematic representation of the synovial joint is shown in Figure 1. The foundation of this work is the concepts of biofluid dynamics and lubrication theory. Walker et al. [42] noted that the load-carrying area of the knee joint is minimal. Hence under high-loading situations, the two surfaces may be assumed to be parallel. The parallel plate approximation is a simplification of the knee joint that assumes the two articular surfaces of the joint are parallel to each other, like two plates. Figure 2 shows the simple geometrical representation of the synovial joint. This approximation is commonly used in computational models of the knee joint because it simplifies the complex geometry of the joint, making it easier to analyze and simulate. The parallel plate approximation is preferred over a more complex representation for modeling the knee joint for several reasons. It simplifies the geometry, allowing for more efficient computation, and provides a good approximation for joint contact forces and pressures. Moreover, it can be used to study a range of loading conditions and is useful for understanding the effects of interventions. Overall, the parallel plate approximation is a useful tool for studying knee joint mechanics and is widely used in the field of biomechanics. Therefore, it is proposed that two rectangular parallel plates may model the shape of the knee joint. The shape of the human knee joint is comparable to the parallel plate model, and articular cartilages have been viewed as porous materials with substantially longer lengths in comparison to the widths. The parallel plate representation of the synovial joint is shown in Figure 3. Squeeze-film lubrication occurs when the bearing surfaces are moving perpendicular to one another. The pressure in the fluid layer is generated by the movement of perpendicular articular surfaces. As the opposing surfaces approach each other, the fluid film is squeezed away from the point of approaching contact. The viscosity of the fluid in the space between the surfaces generates pressure, forcing the lubricant out. The pressure resulting from the viscosity of the fluid keeps the surface apart. This kind of lubrication is optimal for heavy loads that are applied for a short period of time. This system is capable of transporting heavy loads for short durations. We have assumed that the squeeze film lubrication occurs in the synovial joint during loading conditions [43].
We have taken into consideration that the human knee joint has two zones, the fluid film, and articular cartilage. To find out the velocity in both regions, a symmetric case of the human knee joint has been considered. This means that we have considered the upper articular cartilage and upper half of the synovial cavity in which synovial fluid is filled as our system of study. The governing equations for the flow of synovial fluid in the fluid film region are derived from the well-known Navier–Stokes equations. The Navier–Stokes equations for the flows of Newtonian fluids will be used to obtain the governing equations for the flow of synovial fluid in the fluid film zone by applying restrictions based on the physical environment. The fluid flow in porous materials is governed by Darcy’s law for flow in the porous medium. The synovial fluid flow in articular cartilage is governed by Brinkman’s equations, which is an extension of Darcy’s law [44]. The viscous, incompressible, and Newtonian nature of the synovial fluid is well established, and we also have considered this fact in this study. In most cases, synovial fluid’s shear thinning behavior may be described as non-Newtonian. However, when subjected to high shear rates, the viscosity of synovial fluid reaches a constant value that is not very much greater than that of water [9]. As a result of this, a Newtonian lubricant model is often used for simulating synovial fluid in lubrication modeling [45]. Viscosity is decreased in osteoarthritis, especially at low shear rates, whereas it is lowered even more in rheumatoid arthritis. This indicates that as disease severity increases, viscosity decreases and becomes less reliant on shear rate. In light of the above studies, we can treat the synovial fluid as a Newtonian fluid during the modeling of synovial joints. Therefore, in this investigation, the synovial fluid was considered to be a Newtonian fluid. We have considered the usual assumption of incompressible and viscous flow without external forces and the synovial fluid is considered as a viscous, incompressible, and Newtonian fluid. The most general form of the momentum balance equation in vector form can be written as follows,
ρ D V D t = μ 2 V + ρ g p
where V is the velocity vector of the fluid, ρ is the density of the fluid, and μ is the viscosity of the synovial fluid. The expression p denotes the pressure gradient and D D t denotes the material derivative. This derivative is the time derivative of a physical quantity. By using the definition of the total derivative, the expression of material derivative can be written as follows,
D V D t = V t + V · V
Now, putting the above expression in Equation (1), this equation takes the following form
ρ ( V t + ( V · ) V ) = μ 2 V + ρ g p
The above equation is the momentum balance equation, by using which we will find the equations governing the fluid flow in squeeze film by applying the suitable assumptions. The following assumptions can be made for the derivation of the modified Reynolds equation for hydrodynamic squeeze film lubrication.
The lubricant is considered to be incompressible, non-conducting, and non-magnetic with constant density and viscosity. The flow of the fluid is laminar, and a moderate velocity combined with a high kinematic viscosity gives rise to a low Reynolds number at which flow essentially remains laminar. All the body forces are neglected, indicating that there are no external forces acting on the fluid. However, external forces are always present, but their effect is small in comparison to the viscous force, so these are neglected. The fluid flow is considered steady, which means that the change in any property of the fluid with respect to time is zero. The most important and fundamental assumption of hydrodynamic lubrication is that the thickness of the fluid film is very small, resulting in negligible inertia and pressure variation along the fluid film. This assumption also leads to the fact that the velocity gradient across the fluid film predominates in comparison to the plan. By applying all these assumptions, we obtain the required equations governing the fluid flow.

2.1. Governing Equations

Most hydrodynamic lubrication may be represented quantitatively using an equation developed by Reynolds and usually referred to as the Reynolds equation. This equation may be derived using several different methods. As it is a simplification of the Navier–Stokes momentum and continuity equation, it may be derived from it. It is often obtained, however, by adopting a standard engineering technique and evaluating the equilibrium of a liquid element exposed to viscous shear and the continuity of flow concept. Only when two surfaces are moving relative to one another with sufficient velocity for a load-carrying lubricating layer to be produced can hydrodynamic lubrication occur. In most applications, governing processes are too complex to be precisely characterized by mathematical equations. Several simplifying approximations must be made in hydrodynamics prior to deriving a mathematical representation of the basic underlying processes. For the calculation of the governing equations, all simplifying assumptions required for the derivation of the modified Reynolds equation for squeezing film in a diseased synovial joint are examined. It is assumed that synovial fluid is Newtonian, incompressible, and has a constant density. Additionally, the body and other forces acting on the synovial fluid are considered minimal. The synovial fluid flow is believed to be laminar, and no-slip is assumed at the boundary of the articular cartilage. By considering the equilibrium of an element and the continuity of flow, and the other assumptions of synovial fluid, the simplified version of the Navier–Stokes equation for deriving the modified Reynolds equation for pressure distribution in the squeeze film of the pathological synovial joint is as follows:
Region I: 
Fluid Film Region  0     y     h
μ 2 u 1 y 2 p x = 0
μ 2 v 1 y 2 p z = 0
p y = 0
The above Equation (4) is derived from the Navier–Stokes equation by applying the assumptions we have mentioned. This equation gives the velocity of the synovial fluid in the axial direction, and there is no change in pressure along the fluid film thickness.
Here, u 1   and v 1 are the velocities of the synovial fluid in the fluid film region in the x-direction and z-direction, respectively. The viscosity of the synovial fluid is denoted by the symbol μ , and p denotes the pressure in both the regions in the x-direction and z-direction. The thickness of the fluid film is denoted by h .
Region II: 
Cartilage Region  h y h + H
The Brinkman equation attempts to describe low Reynolds number flow in the porous medium with non-zero velocity gradients. The equation entails transforming the usual Darcy law by adding a viscosity component whose coefficient is normally linked with pure fluid viscosity. The Darcy–Brinkman equation, often known as the Brinkman equation, is a governing equation for flow through a porous medium that contains an extra Laplacian known as viscous or Brinkman factor. The equation has been widely used to evaluate porous media with high porosity. The equation is as follows:
μ 2 u 2 y 2 μ φ 1 u 2 p x = 0
μ 2 v 2 y 2 μ φ 2 v 2 p z = 0
p y = 0
The above Equation (5) is an extended version of the well-known Darcy law, and these equations give the velocity of the synovial fluid in articular cartilages of the synovial joint in axial directions.
Here,     u 2 and v 2 are the velocities of the synovial fluid in articular cartilage in the x-direction and z-direction, respectively. The symbol μ denotes the apparent viscosity of the synovial fluid, whereas φ 1 and φ 2 and are the permeability of the articular cartilage in the x-direction and z-direction. The thickness of the articular cartilage is denoted by H .

2.2. Boundary and Matching Conditions

The boundary conditions for the flow of synovial fluid in the fluid film region and articular cartilage are defined by,
u 1 y = 0 at y = 0 v 1 y = 0 at y = 0
u 2 = 0 at y = h + H v 2 = 0 at y = h + H
Equation (6) gives the boundary conditions for the fluid film region, whereas Equation (7) gives them for articular cartilage.
Considering our assumption of no-slip boundary condition, the velocity of synovial fluid in the fluid film and articular cartilage at the interface, where the articular cartilage and the fluid film meet, must be identical. Thus, the matching condition for velocities at the interface may be described as follows:
u 1 = u 2 = V x                 and           v 1 = v 2 = V z                       at                       y = h
where V x and V z are the interface velocity in the x-direction and z-direction, respectively.
Shear stresses at the interface are also the same. Therefore, the following matching condition applies to shear stresses at the interface
μ 2 u 1 y 2 = μ   2 v 1 y 2                         at                         y = h  
  μ 2 u 2 y 2 = μ 2 v 2 y 2                           at                         y = h

2.3. Solution of the Problem

Now, solving Equation (4) with the help of the boundary condition given in Equation (6) and the matching condition given in (8), we obtain the velocity of synovial fluid in the fluid film region in both the x-direction and z-direction.
The velocity of synovial fluid in the fluid film region in the x-direction and z-direction is given by,
u 1 = 1 2 μ p x y 2 h 2 + V x
v 1 = 1 2 μ p z y 2 h 2 + V z
We solve Equation (5) using boundary condition (7) and matching condition (8) to obtain the velocity of synovial fluid in articular cartilage in the x-direction and z-direction, respectively.
The velocity of synovial fluid in articular cartilage in the x-direction and z-direction is given by,
u 2 = φ 1 μ p x 1 sinh M x H sinh M x h + H y sinh M x h y sinh M x H + V x sinh     M x h + H y sinh M x H
v 2 = φ 2 μ p z 1 sinh M z H sinh M z h + H y sinh M z h y sinh M z H + V z sinh M z h + H y sinh M z H
The velocity at the interface, the region at which fluid film and articular cartilage meet each other, can be found by using the matching conditions for shear stress given in Equations (9) and (10).
The velocity at the interface in the x- and z-directions are given by,
V x = φ 1 μ p x tan h M x H tan h M x H 2 M x h
V z = φ 2 μ p z tan h M z H tan h M z H 2 M z h
The expressions for M x and M z are given by,
M x = μ μ φ 1 and M z = μ μ φ 2
The flow of volume of a fluid per unit of time through a surface, known as the volumetric flow rate, can be calculated by integrating the velocity over the maximum thickness of the fluid film and the thickness of the articular cartilage. Therefore, the synovial fluid flux in both directions can be calculated by integration of velocity with respect to y from 0 to h + H . Synovial fluid flux in the x-direction is given by,
Q x = 0 h u 1   d y + h h + H u 2   d y
Q x = 0 h 1 2 μ p x y 2 h 2 + V x d y   + h h + H V x sinh M x h + H y sinh M x H d y + h h + H φ 1 μ p x 1 sinh M x H sinh M x h + H y sinh M x h y sinh M x H d y
Q x = p x 1 M x 3 μ tanh M x H M x h tanh M x H 2 2 + M x H + 2 tanh M x H 2 + h 3 3 μ
Q x = p x F x
where Q x is the synovial fluid flux in the x-direction in the synovial cavity and articular cartilage.
The expression for F x is given by,
F x = 1 M x 3 μ tanh M x H M x h tanh M x H 2 2 + M x H + 2 tanh M x H 2 + h 3 3 μ
The synovial fluid flux in the z-direction is given by,
Q z = 0 h v 1   d y + h h + H v 2   d y
Q z = 0 h 1 2 μ p z y 2 h 2 + V z d y + h h + H V z sinh M z h + H y sinh M z H d y + h h + H φ 2 μ p z 1 sinh M z H sinh M z h + H y sinh M z h y sinh M z H d y
Q z = p z 1 M z 3 μ tanh M z H M z h tanh M z H 2 2 + M z H + 2 tanh M z H 2 + h 3 3 μ
Q z = p z F z
where Q z is the synovial fluid flux in the z-direction in synovial cavity and articular cartilage.
The expression for F z is given by,
F z = 1 M z 3 μ tanh M z H M z h tanh M z H 2 2 + M z H + 2 tanh M z H 2 + h 3 3 μ
The general continuity equation is given by,
u x + v z + w y = 0
where   u , v ,   w are the velocity of the fluid in axial directions. This means that u , v ,   w   are the velocity of the fluid in x ,   y ,   and   z directions, respectively. The above continuity equation in integrated form can be written in the following manner,
Q x x + Q z z + w 1 y = 0
where w 1 is the velocity of the synovial fluid along the fluid film that means along the y-direction. We integrate the above equation across the fluid film and using the boundary condition w 1 = 0 at y = 0 and w 1 = V s at y = h . The symbol V s represents the squeezing velocity which means the velocity by which the upper articular cartilage is moving toward the lower cartilage and
From Equations (21) and (26), we have
Q x = p x F x and Q z = p z F z
Now, using the value of Q x and Q z from the above equation into Equation (29), we obtain the following expression
x F x p x + z F z p z = V s
The above equation is the modified Reynolds equation for squeezing film between articular cartilages to obtain the pressure in the fluid film. We have studied the flow of synovial fluid in fluid film and articular cartilage in the z-direction and computed the pressure and other parameters in the same direction. In this case, we have considered the flow of synovial fluid in such a way that there is no change in pressure in the x-direction. Therefore, the rate of change of pressure in this direction will be zero, we have p x = 0 , and the modified Reynolds equation converts into the following equation,
z F z p z = V s
The boundary condition for the pressure is given by
p = o at z = o p z = o at z = L z
where L z denotes the width of the articular cartilage.
Solving Equation (32) with the help of the above boundary conditions given in (33), we obtain the following expression for the pressure
p z = V s 2 F z L z z z 2
The load capacity can be obtained by integrating the pressure given in the above expression along with the breadth of articular cartilage,
W z = 0 L z p z   d z
W z = 0 L z V s 2 F z L z z z 2   d z
The expression of load capacity in the squeeze film between the articular cartilages in the z-direction is given by
W z = V s 12 F z L z 3
Now, it is quite evident that the squeezing velocity is given by the rate of change of film thickness with respect to time with a negative sign due to the movement of cartilages in the negative direction. Therefore, we have V s = d h d t and the expression for the time to reduce the film thickness from h 1 to h 2 is given by
T z = h 2 h 1 L z 3 12 F z W z d h
where h 1 and h 2 denotes the initial and final fluid film thickness of the squeeze film and d h d t is the rate of change of fluid film thickness with respect to time.
To obtain the dimensionless expression for pressure, load capacity, and squeeze time, we have the following dimensionless variables,
z ¯ = z L z h ¯ = h L z H ¯ = H L z φ 2 ¯ = φ 2 L z 2 μ ¯ = μ μ V s ¯ = V s μ L z F z ¯ = F z L z 3 μ W z ¯ = W z L z 3 μ T z ¯ = T z μ L z W z
where the variables with over-bar are the dimensionless variables. Using the above dimensionless variables, we can write down the expression of dimensionless pressure, dimensionless load capacity, and dimensionless squeeze time. Therefore, dimensionless pressure, dimensionless load capacity, and dimensionless squeeze time in the z-direction are given by:
p z ¯ = V s ¯   μ 2 2 F z ¯ z ¯ z ¯ 2
W z ¯ = V s ¯   μ 2 12 F z ¯ L z
T z ¯ = h 2 h 1 1 12   F z ¯ d h ¯
where F z ¯ and M z ¯ are given by,
F z ¯ = L z 3 M z ¯ 3 μ ¯   μ   tanh M z ¯   H ¯     M z ¯   h ¯ tanh M z ¯   H ¯ 2 2 + M z ¯   H ¯ + 2 tanh M z ¯   H ¯ 2 + h ¯ 3 3 μ M z ¯ = 1 L z 1 μ ¯     φ 2 ¯ 1 2
The functionality of the synovial joint is reliant upon its state. The performance of the synovial joint depends on the condition of the synovial joint. It is better in normal conditions in comparison to pathological conditions. There are a number of factors that affect the performance of the synovial joint, but the most important are changes in the biochemistry and biomechanics of the synovial joint. The best approach to investigate this effect is to look at the synovial joint’s operative lubrication mechanism. The lubrication process in the synovial joint is determined by the loading conditions and irregularities in the articular cartilage, which traps hyaluronic acid and lubricin to form a fluid film across the articular surfaces. The fluid film lubrication mechanism is an essential lubrication mechanism in the synovial joint. A thin fluid film provides separation of joint surfaces in this sort of lubrication mechanism. The synovial joint has several kinds of fluid film lubrication mechanisms, but the most significant type of lubrication mechanism that happens in the synovial joint under loading situations or during motion is squeeze film lubrication. The squeeze film’s most important feature is the pressure produced in the fluid film by the movement of the articular surfaces. This pressure is produced by the viscosity of the synovial fluid and is responsible for articular cartilage separation. The load capacity and squeezing time, which are both derived from the expression of pressure, are also important properties of the squeeze film in the synovial joint. As a result, investigating the features of the squeeze film in the synovial joint can aid in the early detection of pathological conditions. The pressure in the squeeze film, load capacity of the squeeze film, and squeezing time are key squeeze film parameters. All these properties are determined by the condition of the synovial fluid and articular cartilage. Changes in synovial fluid and articular cartilages cause changes in the characteristics of the squeezing film, which can lead to pathological conditions in the synovial joint. Thus, the features of the synovial squeeze film are directly connected to the state of the synovial joint. As a result, studying pressure, load capacity, and squeezing duration can help you understand the state of the synovial joint.

3. Numerical Results and Discussions

In the present study, we looked at the properties of the squeezing film that forms between the articular cartilages of the human knee joints in the diseased condition. We have established the modified form of the Reynolds equation for squeeze films to examine the properties of the squeeze film, from which we then determined the expressions for pressure, load-bearing capacity, and squeezing time.
Moreover, we obtained the dimensionless equations for pressure, load capacity, and squeeze time using the dimensionless variables. The squeeze time is the amount of time needed to go from an initial value of film thickness to another specific value. In our case, the squeeze time has been considered as the period of time needed to squeeze the film thickness to zero so that the articular cartilages can rub against one another. We looked at how different parameters affected the pressure distribution in the squeeze film, the load capacity, and the squeeze time. The effects of permeability, viscosity, squeeze velocity, and fluid film thickness on pressure variation are investigated. The effect of permeability, squeeze velocity, and viscosity on the load capacity of squeeze film also have been explored. On the other hand, we also have examined the role of viscosity, the sole parameter that influences the squeeze time, in our problem. We have illustrated the fluctuations of the dimensionless with dimensionless axial distance for various values of fluid film thickness, synovial fluid viscosity, articular cartilage permeability, and squeeze velocity. The variation of dimensionless load capacity versus dimensionless fluid film thickness for different values of articular cartilage permeability and synovial fluid viscosity has also been shown. Finally, we have plotted the variation of the dimensionless squeeze time against the dimensionless articular cartilage length and thickness for various values of synovial fluid viscosity. The values of the expression for dimensionless pressure, dimensionless load capacity, and dimensionless squeeze time are calculated using the computational software MATLAB, and values of the parameters are taken from the available literature. The following Table 1 gives the values of the parameters that we have used in this study.
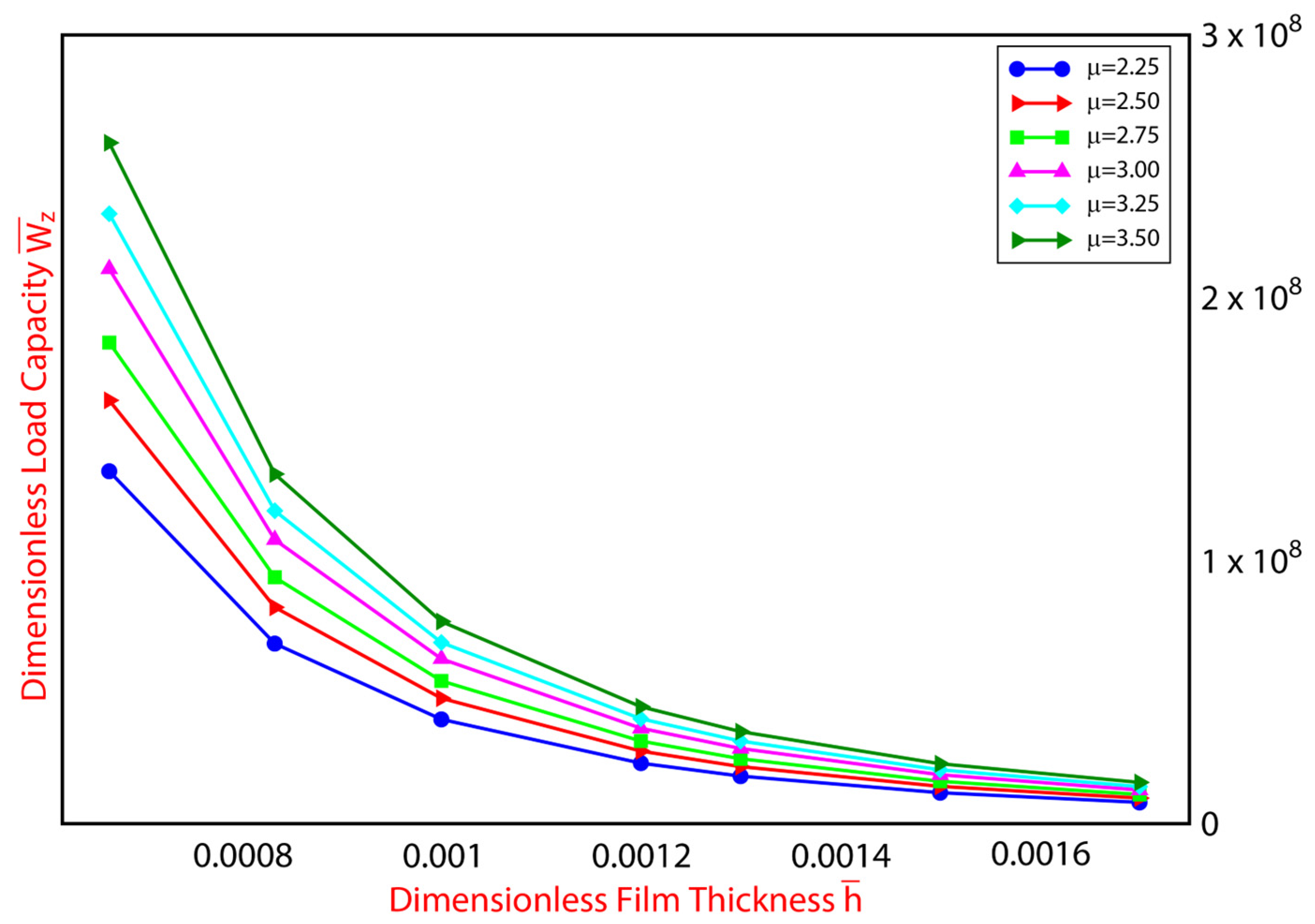
Figure 4, Figure 5, Figure 6 and Figure 7 depict the relationship between dimensionless pressure p ¯ z and dimensionless axial distance z ¯ . It demonstrates how dimensionless pressure varies in relation to the dimensionless axial distance for different values of involved parameters. Figure 8, Figure 9 and Figure 10 depict the relationship between dimensionless load capacity W z ¯ with dimensionless fluid film thickness h ¯ , whereas Figure 11 and Figure 12 depict the relationship between dimensionless squeeze time T z ¯ with dimensionless cartilage thickness H ¯ for different values of earlier mentioned parameters which significantly affect the properties of squeeze film. The profile for dimensionless pressure, denoted by p ¯ z , has a parabolic shape, and the value of pressure increases up to a specific point before retreating to its starting position for all of the modelling parameters. When the value of dimensionless permeability φ 2 ¯ and dimensionless fluid film thickness h ¯ increases, the pressure p ¯ z in the fluid film decreases. On the other hand, the pressure p ¯ z in the synovial fluid film increases when the value of dimensionless squeeze velocity V s ¯ and the viscosity μ of the synovial fluid increases. In general, the value of dimensionless load capacity W z ¯ decreases as the dimensionless fluid film thickness h ¯ increases. On the other hand, the value of dimensionless load capacity W z ¯ increases when the value of viscosity μ , dimensionless squeezing velocity V s ¯ and the dimensionless permeability φ 2 ¯ of the articular cartilage increases. The variation of dimensionless squeeze time T z ¯ with dimensionless cartilage length L z ¯ and dimensionless cartilage thickness H ¯ is shown in Figure 11 and Figure 12 for various values of the viscosity μ of synovial fluid. Both the length and the thickness of the articular cartilage influence the squeeze time, which is reduced as the cartilage becomes longer and wider. This indicates that the squeezing time reduces when the thickness and length of the articular cartilage increase. When there is an increase in the viscosity μ of synovial fluid, there is a corresponding decrease in the value of squeeze time.
The figures for pressure variation show the relationship between dimensionless pressure in the squeeze film and axial distance for various values of viscosity, dimensionless permeability, dimensionless fluid film thickness, and dimensionless squeezing velocity. The pressure in the fluid film rises during the first half of the axial distance and begins to decline during the second half of the axial distance. It can also be seen from the same figures that as the values of viscosity and dimensionless squeeze velocity increase, so does the pressure in the fluid film, but whereas the dimensionless values of cartilage permeability and dimensionless fluid film thickness increase, the pressure in the fluid film decreases significantly. The figures depict the relationship between dimensionless fluid film thickness and dimensionless load capacity for different values of viscosity, dimensionless permeability, and dimensionless squeezing velocity. The load capacity has been shown to decrease as the dimensionless fluid film thickness increases, as shown by the variation profile in the figures. Additionally, it is evident from the same figures that as the viscosity and dimensionless squeezing velocity increase, so does the load capacity. However, when the value of dimensionless permeability increases, the load capacity decreases. Furthermore, it has been shown that the thickness of the articular cartilages in the knee joint and the viscosity of the synovial fluid affect the squeeze time significantly. The squeeze time decreases as the articular cartilage length and width increase, but when the articular cartilage thickness increases, the squeezing time increases as well. We may obtain important insights into the diseased human knee joint based on the findings in this study. The human knee joint goes through several biochemical and biomechanical changes when in a diseased condition. In pathological situations, the viscosity of synovial fluid reduces, and the permeability of articular cartilage increases. Exercise and disease-related situations result in higher squeeze film pressure in the knee joint than in comparison to resting or under normal circumstances. Elevated squeeze film pressure is a sign of chronic joint illness due to the fact that free radicals are produced in the knee joint as a result of this increased pressure, and hypoxia reperfusion damages articular cartilage tissue. The changes in the concentration of the constituents of synovial fluid lead to pathological conditions and degraded articular cartilage by altering the cartilage properties [46]. The amount of hyaluronic acid, lubricin, phospholipids, and proteoglycans present in the synovial fluid, responsible for lubrication, is reduced in the pathological conditions [46]. The viscosity of the synovial fluid depends upon these components and is reduced during disease. Due to the reduced amount of these components, the articular cartilage also loses some properties: particularly, its permeability is increased. It has been established that the lubrication properties of the synovial fluid are affected by the interaction of these components, particularly increased phospholipids related to osteoarthritis [28]. The interaction of hyaluronic acid and phospholipids is responsible for the repairment of the surfaces of articular cartilage. The modeling and simulation of such interactions can be helpful in further understanding the pathological conditions of the synovial joint, and the properties of the squeeze film in the synovial joint are significant for the formulation of bio-tribological surgical advancements [28,47]. As we have just seen in the results presented above, the pressure increases when activity and disease states are present and when squeezing velocity and viscosity increase as well. We already observed that pressure increases when squeezing velocity and viscosity increases, which clearly shows that during movement and disease, pressure increases. On the other hand, pressure decreases when film thickness and permeability increase, which also verifies the diseased and mobility condition. Therefore, we can conclude that the mobility of the human knee joint decreases in the diseased condition due to an increase in pressure. The diseased and mobility condition is also confirmed by the fact that pressure decreases as film thickness and permeability increase. As a result, we may draw the conclusion that an increase in pressure causes the diseased situation, and the human knee joint becomes less mobile. Additionally, it may be deduced that the human knee joint’s capacity to support loads declines in diseased states and increases during activity, since diseased conditions have higher permeability and lower viscosity, whereas activity has higher squeezing velocities. The squeeze time increases in diseased joints while decreasing with articular cartilage thickness and synovial fluid viscosity, and both of these variables decrease in the diseased state of the human knee joint. This suggests that the squeeze time is shorter in healthy joints and greater in diseased joints because larger values of thickness and length of articular cartilage result in a shorter squeeze time.

4. Conclusions

In the present paper, we have studied the synovial fluid flow in diseased human knee joints. The modified Reynolds equation has been derived to study the characteristics of the squeeze film formed between the articular cartilages of the diseased human knee joint by considering the articular cartilages as parallel plates. Then, further, we have studied the effect of some significant properties of synovial fluid and articular cartilage on the squeeze film. We have investigated the effects of the viscosity of the synovial fluid, the permeability of articular cartilages, and the thickness of the synovial fluid film on the pressure distribution in fluid film, the load-carrying capacity of the squeeze film, and the squeeze time. The synovial fluid viscosity, articular cartilage permeability, fluid film thickness, and the squeezing velocity of articular cartilage significantly influence the characteristics of the squeeze film. To better understand the squeeze film mechanism and investigate the effect of model parameters on the characteristics of squeeze film, we have shown the obtained results using graphs.
It has been shown that when the synovial fluid’s viscosity and the squeeze velocity of articular cartilages increases, the pressure in the squeeze film also increases. On the other hand, when the articular cartilage permeability and the thickness of the fluid layer between cartilages increase, the pressure in the squeeze film is reduced. The load-carrying capacity or capability to support/bear weight increases with synovial fluid viscosity and squeezing velocity, and it decreases with an increase in articular cartilage permeability. The thickness and length of the articular cartilage affect the amount of time it takes to squeeze. These two properties of the articular cartilage have an inverse relationship with the squeezing time. When the viscosity of the synovial fluid is higher, the squeezing time of the articular cartilage is shorter.
The hydrodynamic squeeze plays an essential role in the load-carrying capacity and time of approach. Each of them plays a major role in changing the value of film thickness. The squeeze film characteristics are the important parameters for the state of the synovial joint. These characteristics might play a crucial role in the identification of the diseased conditions of synovial joint. These squeeze film properties also may be helpful in the development of artificial synovial fluid and implant. The correct and early diagnosis of the pathological conditions in the synovial joint is necessary and through in vivo studies of synovial fluid and articular cartilage, it is possible to validate these findings. Studying the properties of synovial fluid and articular cartilage can aid in the early detection of joint disease and help with the development of biomedical implants. Changes in squeeze film properties can indicate joint disease, with decreased synovial fluid viscosity suggesting osteoarthritis and changes in synovial fluid composition indicating rheumatoid arthritis. Changes in these properties can affect squeeze film lubrication, leading to joint damage. Biomedical implants are related to these properties, and researchers try to mimic them in implant design to optimize performance. Studying normal and pathological synovial fluid can help with artificial synovial fluid formation. Therefore, investigating these properties can provide insight into joint disease and improve implant performance.
The current model is not unique and may be refined/changed by articulating new hypotheses and assumptions. Due to the computational complexities, we have considered the one-dimensional case of the modified Reynolds equation. As experience reveals, the complexity of the initial data used in mathematical models does not necessarily lead to a more accurate representation of the topic or modeling process, which is explained by a lack of correct knowledge about their true state and change. The form of articular surfaces, cartilage properties, and synovial fluid parameters vary greatly depending on many conditions; therefore, the friction coefficient in synovial joints, measured in vivo, cannot be identified in vitro.
This prohibits synovial joint models from being developed with specified precision. The exact geometry of the synovial joint is not the same as the parallel plates. In an actual scenario, the geometrical shape of the synovial joint may be approximated by considering the articular cartilages as cylindrical surfaces rather than parallel plates. Assessments of the interaction of the cylindrical geometry and synovial fluid as a biological lubricant on the pressure distribution, load capacity of squeeze film, and squeezing time of the articular cartilage become an important part of future studies.

Author Contributions

Conceptualization, M.S., S.R.S. and S.M.N.I.; Methodology, M.S., S.R.S. and S.K.S.; Software, M.S. and S.R.S.; Validation, M.S., S.M.N.I., S.R.S. and S.K.S.; Formal Analysis, M.S., S.R.S. and S.M.N.I.; Investigation, M.S. and S.R.S.; Resources, M.S. and S.R.S.; Data Curation, M.S., S.R.S. and S.K.S.; Writing—Original Draft Preparation, M.S., S.R.S. and S.M.N.I.; Writing—Review and Editing, M.S., S.R.S., S.M.N.I. and S.K.S.; Visualization, M.S. and S.R.S.; Supervision, S.M.N.I. and S.R.S.; Project Administration, S.R.S., S.M.N.I. and S.K.S.; Funding Acquisition, S.K.S. All authors have read and agreed to the published version of the manuscript.

Funding

This research received funding from Deanship of Scientific Research at Majmaah University for supporting this work under Project Number No. R-2023-156.

Institutional Review Board Statement

Not applicable.

Informed Consent Statement

Not applicable.

Data Availability Statement

Any supporting data related to this research may be available upon request to the corresponding or any author of this article.

Acknowledgments

Sunil Kumar Sharma would like to thank Deanship of Scientific Research at Majmaah University for supporting this work under Project Number No. R-2023-156. We thank the School of Computational and Integrative Sciences, Jawaharlal Nehru University, New Delhi-110067 (India), for providing necessary facilities in pursuing this research work.

Conflicts of Interest

The authors declare no conflict of interest.

Nomenclature

u 1 ,     v 1 Velocity of Synovial Fluid in Fluid Film
u 2 ,   v 2 Velocity of Synovial Fluid in Cartilage
V x ,   V z Velocity of Synovial Fluid at Interface
φ 1 ,   φ 2 Permeability of Articular Cartilage
Q x ,   Q z Synovial Fluid Flux
x ,   y ,   z Cartesian Co-ordinate
p ¯ z Dimensionless Pressure
W z ¯ Dimensionless Load Capacity
T z ¯ Dimensionless Squeeze Time
h Fluid Film Thickness
H Articular Cartilage Thickness
w Velocity of Synovial Fluid along Film Thickness
V s Squeeze Velocity
L z Width of Articular Cartilage

References

  1. Ogston, A.G.; Stanier, J.E. The Physiological Function of Hyaluronic Acid in Synovial Fluid; Viscous, Elastic and Lubricant Properties. J. Physiol. 1953, 119, 244–252. [Google Scholar] [CrossRef] [PubMed]
  2. Ogston, A.G.; Stanier, J.E. On the State of Hyaluronic Acid in Synovial Fluid. Biochem. J. 1950, 46, 364–376. [Google Scholar] [CrossRef]
  3. Linn, F.C. Lubrication of Animal Joints. J. Biomech. 1968, 1, 193–205. [Google Scholar] [CrossRef]
  4. Rubenstein, D.A.; Yin, W.; Frame, M.D. Lubrication of Joints and Transport in Bone. In Biofluid Mechanics; Elsevier: Amsterdam, The Netherlands, 2015; pp. 375–401. ISBN 978-0-12-800944-4. [Google Scholar]
  5. Chandra, P. Synovial Joint Lubrication. Ph.D. Thesis, Indian Institute of Technology, Kanpur, India, 1980. [Google Scholar]
  6. Dumbleton, J.H. The Lubrication of Natural Joints. In Tribology of Natural and Artificial Joints; Tribology Series 3; Elsevier: Amsterdam, The Netherlands, 1981; Volume 1, ISBN 978-0-08-087567-5. [Google Scholar]
  7. Ruggiero, A.; Gòmez, E.; D’Amato, R. Approximate Analytical Model for the Squeeze-Film Lubrication of the Human Ankle Joint with Synovial Fluid Filtrated by Articular Cartilage. Tribol. Lett. 2011, 41, 337–343. [Google Scholar] [CrossRef]
  8. Hlaváček, M. Lubrication of the Human Ankle Joint in Walking. J. Tribol. 2010, 132, 011201. [Google Scholar] [CrossRef]
  9. Cooke, A.F.; Dowson, D.; Wright, V. The Rheology of Synovial Fluid and Some Potential Synthetic Lubricants for Degenerate Synovial Joints. Eng. Med. 1978, 7, 66–72. [Google Scholar] [CrossRef]
  10. Rao, P.S.; Srivathsa, B.; Murthy, P.N. A Numerical Scheme for Hydrodynamic Lubrication of Synovial Fluid. Indian J. Pure Appl. Math. 1995, 26, 831–835. [Google Scholar]
  11. Goldsmith, A.A.J.; Hayes, A.; Clift, S.E. Application of Finite Elements to the Stress Analysis of Articular Cartilage. Med. Eng. Phys. 1996, 18, 89–98. [Google Scholar] [CrossRef]
  12. Hlaváček, M.; Vokoun, D. Elastohydrodynamic Lubrication of Cylinders with Soft Incompressible Coatings Firmly Bonded to the Substrate. Wear 1996, 197, 1–8. [Google Scholar] [CrossRef]
  13. Hlaváček, M. Squeeze-Film Lubrication of the Human Ankle Joint Subjected to the Cyclic Loading Encountered in Walking. J. Tribol. 2005, 127, 141–148. [Google Scholar] [CrossRef]
  14. Clarke, I.C. Articular Cartilage: A Review and Scanning Electron Microscope Study. II. The Territorial Fibrillar Architecture. J. Anat. 1974, 118, 261–280. [Google Scholar] [CrossRef] [PubMed]
  15. Mow, V.C.; Lai, W.M.; Redler, I. Some Surface Characteristics of Articular Cartilage—I. A Scanning Electron Microscopy Study and a Theoretical Model for the Dynamic Interaction of Synovial Fluid and Articular Cartilage. J. Biomech. 1974, 7, 449–456. [Google Scholar] [CrossRef] [PubMed]
  16. Nigam, K.M.; Manohar, K.; Jaggi, S. Micropolar Fluid Film Lubrication between Two Parallel Plates with Reference to Human Joints. Int. J. Mech. Sci. 1982, 24, 661–671. [Google Scholar] [CrossRef]
  17. Tandon, P.N.; Jaggi, S. A Model for the Lubrication Mechanism in Knee Joint Replacements. Wear 1979, 52, 275–284. [Google Scholar] [CrossRef]
  18. Conway, H.D.; Lee, H.C. Impact of a Lubricated Surface by a Sphere. J. Lubr. Technol. 1975, 97, 613–615. [Google Scholar] [CrossRef]
  19. Bujurke, N.M.; Kudenatti, R.B.; Awati, V.B. Effect of Surface Roughness on Squeeze Film Poroelastic Bearings with Special Reference to Synovial Joints. Math. Biosci. 2007, 209, 76–89. [Google Scholar] [CrossRef]
  20. Naduvinamani, N.B.; Savitramma, G.K. Squeeze Film Lubrication between Rough Poroelastic Rectangular Plates with Micropolar Fluid: A Special Reference to the Study of Synovial Joint Lubrication. ISRN Tribol. 2013, 2013, 1–9. [Google Scholar] [CrossRef]
  21. Tichy, J.A.; Winer, W.O. Inertial Considerations in Parallel Circular Squeeze Film Bearings. J. Lubr. Technol. 1970, 92, 588–592. [Google Scholar] [CrossRef]
  22. Qvale, E.B.; Wiltshire, F.R. The Performance of Hydrodynamic Lubricating Films with Viscosity Variations Perpendicular to the Direction of Motion. J. Lubr. Technol. 1972, 94, 44–48. [Google Scholar] [CrossRef]
  23. Shukla, J.B. A New Theory of Lubrication for Rough Surfaces. Wear 1978, 49, 33–42. [Google Scholar] [CrossRef]
  24. Tandon, P.N.; Bali, R. A Study on Temperature Regulation in Synovial Joints. Tribol. Lett. 1997, 3, 209–213. [Google Scholar] [CrossRef]
  25. Naduvinamani, N.B.; Fathima, S.T.; Hiremath, P.S. On the Squeeze Effect of Lubricants with Additives between Rough Porous Rectangular Plates. ZAMM 2004, 84, 825–834. [Google Scholar] [CrossRef]
  26. Bali, R.; Sharma, S.K. A Model for Intra-Articular Heat Exchange in a Knee Joint. Tribol. Lett. 2011, 41, 379–386. [Google Scholar] [CrossRef]
  27. Bali, R.; Shukla, A.K. A Biphasic Model for Hip-Joint Replacement. Tribol. Lett. 2002, 13, 187–195. [Google Scholar] [CrossRef]
  28. Jung, S.; Petelska, A.; Beldowski, P.; Augé, W.K.; Casey, T.; Walczak, D.; Lemke, K.; Gadomski, A. Hyaluronic Acid and Phospholipid Interactions Useful for Repaired Articular Cartilage Surfaces—A Mini Review toward Tribological Surgical Adjuvants. Colloid Polym. Sci. 2017, 295, 403–412. [Google Scholar] [CrossRef]
  29. Fathima, S.T.; Naduvinamani, N.B.; Hanumagowda, B.N.; Kumar, J.S. Modified Reynolds Equation for Different Types of Finite Plates with the Combined Effect of MHD and Couple Stresses. Tribol. Trans. 2015, 58, 660–667. [Google Scholar] [CrossRef]
  30. Savitramma, G.K.; Naduvinamani, N.B. Micropolar Fluid Squeeze Film Lubrication between Rough Anisotropic Poroelastic Rectangular Plates: Special Reference to Synovial Joint Lubrication. Tribol.-Mater. Surf. Interfaces 2012, 6, 174–182. [Google Scholar] [CrossRef]
  31. Al-Atawi, N.O.; Mashat, D.S. Synovial Joint Study. Am. J. Comput. Math. 2022, 12, 7–24. [Google Scholar] [CrossRef]
  32. Kumar, B.R.; Vijayakumar, R.; Rani, A.J. A Model for the Generalised Dispersion of Synovial Fluids on Nutritional Transport with Joint Impacts of Electric and Magnetic Field. Math. Comput. Appl. 2022, 28, 3. [Google Scholar] [CrossRef]
  33. Hays, D.F. Squeeze Films for Rectangular Plates. J. Basic Eng. 1963, 85, 243–246. [Google Scholar] [CrossRef]
  34. Gould, P. Parallel Surface Squeeze Films: The Effect of the Variation of Viscosity with Temperature and Pressure. J. Lubr. Technol. 1967, 89, 375–380. [Google Scholar] [CrossRef]
  35. Wu, H. An Analysis of the Squeeze Film Between Porous Rectangular Plates. J. Lubr. Technol. 1972, 94, 64–68. [Google Scholar] [CrossRef]
  36. Bali, R.; Shukla, A.K.; Shrma, S.K. A Bi-Phasic Model for Artificial Replacement. Int. J. Appl. Mech. Eng. 2009, 14, 633–643. [Google Scholar]
  37. Bali, R.; Sharma, S.K. Effect of Magnetic Field in Lubrication of Synovial Joints. Tribol. Lett. 2005, 19, 281–287. [Google Scholar] [CrossRef]
  38. Naduvinamani, N.B.; Savitramma, G.K. Effect of Surface Roughness on the Squeeze Film Lubrication of Finite Poroelastic Partial Journal Bearings with Couple Stress Fluids: A Special Reference to Hip Joint Lubrication. ISRN Tribol. 2014, 2014, 1–13. [Google Scholar] [CrossRef]
  39. Kumar, J.V.; Rao, R.R. Effects of Surface Roughness in Squeeze Film Lubrication of Spherical Bearings. Procedia Eng. 2015, 127, 955–962. [Google Scholar] [CrossRef]
  40. Radulescu, A.V.; Radulescu, I. Analysis of Squeeze Film Process between Non-Parallel Circular Surfaces. IOP Conf. Ser. Mater. Sci. Eng. 2017, 174, 012038. [Google Scholar] [CrossRef]
  41. Hanumagowda, B.N.; Siddangouda, A.; Nagarajappa, C.S.; Kumar, J.S. Squeeze Film Lubrication Between Hydromagnetic Porous Parallel Stepped Plates. IOSR J. Eng. 2018, 8, 87–95. [Google Scholar]
  42. Walker, P.S.; Hajek, J.V. The load-bearing area in the knee joint. J. Biomech. 1972, 5, 581–589. [Google Scholar] [CrossRef]
  43. Dowson, D. Paper 12: Modes of Lubrication in Human Joints. Proc. Inst. Mech. Eng. Conf. Proc. 1966, 181, 45–54. [Google Scholar] [CrossRef]
  44. Brinkman, H.C. A Calculation of the Viscous Force Exerted by a Flowing Fluid on a Dense Swarm of Particles. Flow Turbul. Combust. 1949, 1, 27–34. [Google Scholar] [CrossRef]
  45. Dowson, D.; Jin, Z.-M. Micro-Elastohydrodynamic Lubrication of Synovial Joints. Eng. Med. 1986, 15, 63–65. [Google Scholar] [CrossRef] [PubMed]
  46. Bełdowski, P.; Mazurkiewicz, A.; Topoliński, T.; Małek, T. Hydrogen and Water Bonding between Glycosaminoglycans and Phospholipids in the Synovial Fluid: Molecular Dynamics Study. Materials 2019, 12, 2060. [Google Scholar] [CrossRef] [PubMed]
  47. Bełdowski, P.; Gadomski, A. A Quest to Extend Friction Law into Multiscale Soft Matter: Experiment Confronted with Theory—A Review. J. Phys. Appl. Phys. 2022, 55, 483002. [Google Scholar] [CrossRef]
Figure 1. Synovial Joint.
Figure 1. Synovial Joint.
Mathematics 11 01468 g001
Figure 2. Geometry of Synovial Joint (Symmetric Case).
Figure 2. Geometry of Synovial Joint (Symmetric Case).
Mathematics 11 01468 g002
Figure 3. Parallel Plate Geometry of Synovial Joint.
Figure 3. Parallel Plate Geometry of Synovial Joint.
Mathematics 11 01468 g003
Figure 4. Pressure Variation with Axial Distance for Different Values of Fluid Film Thickness.
Figure 4. Pressure Variation with Axial Distance for Different Values of Fluid Film Thickness.
Mathematics 11 01468 g004
Figure 5. Pressure Variation with Axial Distance for Different Values of Articular Cartilage Permeability.
Figure 5. Pressure Variation with Axial Distance for Different Values of Articular Cartilage Permeability.
Mathematics 11 01468 g005
Figure 6. Pressure Variation with Axial Distance for Different Values of Squeeze Velocity.
Figure 6. Pressure Variation with Axial Distance for Different Values of Squeeze Velocity.
Mathematics 11 01468 g006
Figure 7. Pressure Variation with Axial Distance for Different Values of Synovial Fluid Viscosity.
Figure 7. Pressure Variation with Axial Distance for Different Values of Synovial Fluid Viscosity.
Mathematics 11 01468 g007
Figure 8. Variation of Load Capacity with Fluid Film Thickness for Different Values of Squeeze Velocity.
Figure 8. Variation of Load Capacity with Fluid Film Thickness for Different Values of Squeeze Velocity.
Mathematics 11 01468 g008
Figure 9. Variation of Load Capacity with Fluid Film Thickness for Different Values of Synovial Fluid Viscosity.
Figure 9. Variation of Load Capacity with Fluid Film Thickness for Different Values of Synovial Fluid Viscosity.
Mathematics 11 01468 g009
Figure 10. Variation of Load Capacity with Fluid Film Thickness for Different Values of Permeability.
Figure 10. Variation of Load Capacity with Fluid Film Thickness for Different Values of Permeability.
Mathematics 11 01468 g010
Figure 11. Variation of Squeeze Time with Articular Cartilage Length for Different Values Synovial Fluid Viscosity.
Figure 11. Variation of Squeeze Time with Articular Cartilage Length for Different Values Synovial Fluid Viscosity.
Mathematics 11 01468 g011
Figure 12. Variation of Squeeze Time with Articular Cartilage Thickness for Different Values Synovial Fluid Viscosity.
Figure 12. Variation of Squeeze Time with Articular Cartilage Thickness for Different Values Synovial Fluid Viscosity.
Mathematics 11 01468 g012
Table 1. Numerical values of the parameters.
Table 1. Numerical values of the parameters.
ParameterValues
Viscosity ( μ )1.0–3.5 poise
Apparent Viscosity ( μ )0.5–2.0 poise
Cartilage Thickness H 0.1–0.7 cm
Fluid Film Thickness h 0–5 × 10 3 cm
Squeeze Velocity V s 0.1–0.6 cm/s
Permeability in x-direction ( φ 1 )
Permeability in z-direction ( φ 2 )
1–8 × 10 16 cm/N-S
2–8 × 10 15 cm/N-S
Cartilage Length L x 3–5 cm
Cartilage Width ( L z )2–3.5 cm
Pressure Gradient p z 0.02–0.774 Pas/cm
Disclaimer/Publisher’s Note: The statements, opinions and data contained in all publications are solely those of the individual author(s) and contributor(s) and not of MDPI and/or the editor(s). MDPI and/or the editor(s) disclaim responsibility for any injury to people or property resulting from any ideas, methods, instructions or products referred to in the content.

Share and Cite

MDPI and ACS Style

Sadique, M.; Shah, S.R.; Sharma, S.K.; Islam, S.M.N. Effect of Significant Parameters on Squeeze Film Characteristics in Pathological Synovial Joints. Mathematics 2023, 11, 1468. https://doi.org/10.3390/math11061468

AMA Style

Sadique M, Shah SR, Sharma SK, Islam SMN. Effect of Significant Parameters on Squeeze Film Characteristics in Pathological Synovial Joints. Mathematics. 2023; 11(6):1468. https://doi.org/10.3390/math11061468

Chicago/Turabian Style

Sadique, Mo, Sapna Ratan Shah, Sunil Kumar Sharma, and Sardar M. N. Islam. 2023. "Effect of Significant Parameters on Squeeze Film Characteristics in Pathological Synovial Joints" Mathematics 11, no. 6: 1468. https://doi.org/10.3390/math11061468

APA Style

Sadique, M., Shah, S. R., Sharma, S. K., & Islam, S. M. N. (2023). Effect of Significant Parameters on Squeeze Film Characteristics in Pathological Synovial Joints. Mathematics, 11(6), 1468. https://doi.org/10.3390/math11061468

Note that from the first issue of 2016, this journal uses article numbers instead of page numbers. See further details here.

Article Metrics

Back to TopTop