Stylized Model of Lévy Process in Risk Estimation
Abstract
1. Introduction
2. Model Setting
2.1. Nested Simulation
2.2. Stylized Model in Lévy Process
- Outer simulation: Given the vector of risk factors , simulate n risk factors at time from the Lévy process, denoted as the design points.
- Inner simulation: For each , simulate m risk factors at time T from Lévy process, denoted asFor each path , we calculate the portfolio losswhere and . For instance, if a portfolio only contains one European call option and the risk factor is the underlying stock price, we have , where is the jth stock price observation simulated from the Lévy process, given stock price at time .The estimated portfolio loss for each path iswhere
- Estimate the risk measure in Equation (2) by
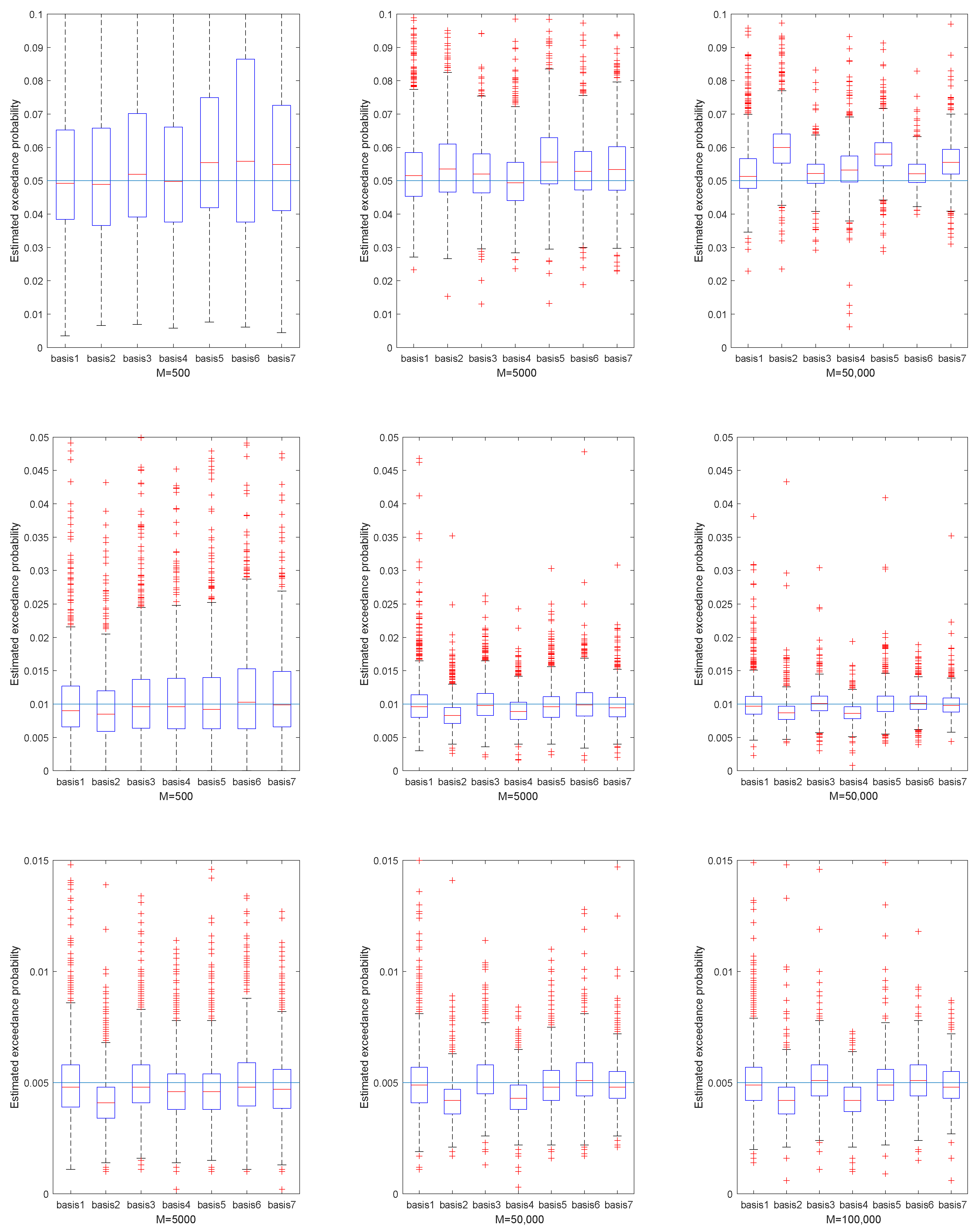
- Basis 1: 1, (Stylized model)
- Basis 2: 1, , (Polynomials)
- Basis 3: 1, , ,
- Basis 4: 1, , ,
- Basis 5: 1, , , (Polynomial + Payoff)
- Basis 6: 1, , , , , (Polynomial + Payoff + Stylized model)
- Basis 7: 1, , , , ,
3. Numerical Examples
4. Conclusions
Author Contributions
Funding
Data Availability Statement
Acknowledgments
Conflicts of Interest
References
- Ho, W.; Zheng, T.; Yildiz, H.; Talluri, S. Supply chain risk management: A literature review. Int. J. Prod. Res. 2015, 53, 5031–5069. [Google Scholar] [CrossRef]
- Gurtu, A.; Johny, J. Supply chain risk management: Literature review. Risks 2021, 9, 16. [Google Scholar] [CrossRef]
- de Araújo Lima, P.F.; Crema, M.; Verbano, C. Risk management in SMEs: A systematic literature review and future directions. Eur. Manag. J. 2020, 38, 78–94. [Google Scholar] [CrossRef]
- Hopper, G.P. Value At Risk: A New Methodology for Measuring Portfolio Risk. Business Review, July 1996, pp. 19–31. Available online: https://www.philadelphiafed.org/-/media/frbp/assets/economy/articles/business-review/1996/july-august/brja96gh.pdf (accessed on 19 February 2023).
- Glasserman, P.; Heidelberger, P.; Shahabuddin, P. Portfolio value-at-risk with heavy-tailed risk factors. Math. Financ. 2002, 12, 239–269. [Google Scholar] [CrossRef]
- Heckmann, I.; Comes, T.; Nickel, S. A critical review on supply chain risk–Definition, measure and modeling. Omega 2015, 52, 119–132. [Google Scholar] [CrossRef]
- Hosseini, S.; Ivanov, D. Bayesian networks for supply chain risk, resilience and ripple effect analysis: A literature review. Expert Syst. Appl. 2020, 161, 113649. [Google Scholar] [CrossRef] [PubMed]
- Emmer, S.; Kratz, M.; Tasche, D. What is the best risk measure in practice? A comparison of standard measures. J. Risk 2015, 18, 31–60. [Google Scholar] [CrossRef]
- Yamai, Y.; Yoshiba, T. Value-at-risk versus expected shortfall: A practical perspective. J. Bank. Financ. 2005, 29, 997–1015. [Google Scholar] [CrossRef]
- Schlüter, F.; Hetterscheid, E.; Henke, M. A simulation-based evaluation approach for digitalization scenarios in smart supply chain risk management. J. Ind. Eng. Manag. Sci. 2019, 2019, 179–206. [Google Scholar]
- Hong, L.J.; Hu, Z.; Liu, G. Monte Carlo methods for value-at-risk and conditional value-at-risk: A review. ACM Trans. Model. Comput. Simul. (TOMACS) 2014, 24, 1–37. [Google Scholar] [CrossRef]
- Gordy, M.B.; Juneja, S. Nested Simulation in Portfolio Risk Measurement. Manag. Sci. 2010, 56, 1833–1848. [Google Scholar] [CrossRef]
- Lee, S.H.; Glynn, P.W. Computing the distribution function of a conditional expectation via Monte Carlo: Discrete conditioning spaces. ACM Trans. Model. Comput. Simul. (TOMACS) 2003, 13, 238–258. [Google Scholar] [CrossRef]
- Broadie, M.; Du, Y.; Moallemi, C.C. Efficient risk estimation via nested sequential simulation. Manag. Sci. 2011, 57, 1172–1194. [Google Scholar] [CrossRef]
- Hong, L.J.; Juneja, S.; Liu, G. Kernel smoothing for nested estimation with application to portfolio risk measurement. Oper. Res. 2017, 65, 657–673. [Google Scholar] [CrossRef]
- Broadie, M.; Du, Y.; Moallemi, C.C. Risk Estimation via Regression. Oper. Res. 2015, 63, 1077–1097. [Google Scholar] [CrossRef]
- Jiang, G.; Hong, L.J.; Nelson, B.L. Online risk monitoring using offline simulation. INFORMS J. Comput. 2020, 32, 356–375. [Google Scholar] [CrossRef]
- Cakmak, S.; Wu, D.; Zhou, E. Solving Bayesian risk optimization via nested stochastic gradient estimation. IISE Trans. 2021, 53, 1081–1093. [Google Scholar] [CrossRef]
- Jagannathan, R.; Ma, T. Risk reduction in large portfolios: Why imposing the wrong constraints helps. J. Financ. 2003, 58, 1651–1683. [Google Scholar] [CrossRef]
- Callot, L.; Caner, M.; Önder, A.Ö.; Ulaşan, E. A nodewise regression approach to estimating large portfolios. J. Bus. Econ. Stat. 2021, 39, 520–531. [Google Scholar] [CrossRef]
- Glasserman, P. Monte Carlo Methods in Financial Engineering; Springer: New York, NY, USA, 2004; Volume 53. [Google Scholar]
- Schoutens, W. Lévy Processes in Finance: Pricing Financial Derivatives; Wiley Online Library: New York, NY, USA, 2003. [Google Scholar]
- Shen, H.; Hong, L.J.; Zhang, X. Enhancing stochastic kriging for queueing simulation with stylized models. IISE Trans. 2018, 50, 943–958. [Google Scholar] [CrossRef]
- Hull, J.C. Options, Futures, and Other Derivatives; Pearson Education: New York, NY, USA, 2015. [Google Scholar]





| Initial Asset Price | Strike Price | T | r | ||
|---|---|---|---|---|---|
| Portfolio 1 | 1 | 0.25 | 2% | ||
| Portfolio 2 | 1 | 0.25 | 2% | ||
| Portfolio 3 | 1 | 0.25 | 2% | ||
| Portfolio 4 | 1 | 0.25 | 2% |
| Underlying Assets | Lévy Process | Parameters | |
|---|---|---|---|
| Asset 1 | VG | ||
| Portfolio 1 | Asset 2 | VG | |
| Asset 3 | VG | ||
| Asset 1 | VG | ||
| Portfolio 2 | Asset 2 | VG | |
| Asset 3 | VG | ||
| Asset 1 | NIG | ||
| Portfolio 3 | Asset 2 | NIG | |
| Asset 3 | NIG | ||
| Asset 1 | NIG | ||
| Portfolio 4 | Asset 2 | NIG | |
| Asset 3 | NIG |
| Basis 1 (%) | Basis 2 (%) | Basis 3 (%) | Basis 4 (%) | Basis 5 (%) | Basis 6 (%) | Basis 7 (%) | |
|---|---|---|---|---|---|---|---|
| 0.95 | 0.096 | 0.286 | 0.099 | 0.154 | 0.088 | 0.087 | 0.087 |
| 0.99 | 0.134 | 0.328 | 0.127 | 0.146 | 0.169 | 0.130 | 0.143 |
| 0.995 | 0.163 | 0.302 | 0.157 | 0.163 | 0.212 | 0.160 | 0.172 |
| Basis 1 (%) | Basis 2 (%) | Basis 3 (%) | Basis 4 (%) | Basis 5 (%) | Basis 6 (%) | Basis 7 (%) | |
|---|---|---|---|---|---|---|---|
| 0.95 | 0.099 | 0.221 | 0.099 | 0.187 | 0.100 | 0.095 | 0.099 |
| 0.99 | 0.144 | 0.345 | 0.140 | 0.201 | 0.177 | 0.144 | 0.161 |
| 0.995 | 0.171 | 0.348 | 0.169 | 0.204 | 0.218 | 0.174 | 0.190 |
| Basis 1 (%) | Basis 2 (%) | Basis 3 (%) | Basis 4 (%) | Basis 5 (%) | Basis 6 (%) | Basis 7 (%) | |
|---|---|---|---|---|---|---|---|
| 0.95 | 0.468 | 0.470 | 0.183 | 0.266 | 0.398 | 0.204 | 0.319 |
| 0.99 | 0.331 | 0.337 | 0.311 | 0.355 | 0.331 | 0.262 | 0.267 |
| 0.995 | 0.500 | 0.410 | 0.402 | 0.382 | 0.392 | 0.382 | 0.304 |
| Basis 1 (%) | Basis 2 (%) | Basis 3 (%) | Basis 4 (%) | Basis 5 (%) | Basis 6 (%) | Basis 7 (%) | |
|---|---|---|---|---|---|---|---|
| 0.95 | 0.122 | 0.389 | 0.118 | 0.241 | 0.121 | 0.104 | 0.123 |
| 0.99 | 0.163 | 0.333 | 0.168 | 0.301 | 0.149 | 0.147 | 0.150 |
| 0.995 | 0.190 | 0.395 | 0.192 | 0.311 | 0.182 | 0.171 | 0.185 |
Disclaimer/Publisher’s Note: The statements, opinions and data contained in all publications are solely those of the individual author(s) and contributor(s) and not of MDPI and/or the editor(s). MDPI and/or the editor(s) disclaim responsibility for any injury to people or property resulting from any ideas, methods, instructions or products referred to in the content. |
© 2023 by the authors. Licensee MDPI, Basel, Switzerland. This article is an open access article distributed under the terms and conditions of the Creative Commons Attribution (CC BY) license (https://creativecommons.org/licenses/by/4.0/).
Share and Cite
Yun, X.; Ye, Y.; Liu, H.; Li, Y.; Lai, K.-K. Stylized Model of Lévy Process in Risk Estimation. Mathematics 2023, 11, 1414. https://doi.org/10.3390/math11061414
Yun X, Ye Y, Liu H, Li Y, Lai K-K. Stylized Model of Lévy Process in Risk Estimation. Mathematics. 2023; 11(6):1414. https://doi.org/10.3390/math11061414
Chicago/Turabian StyleYun, Xin, Yanyi Ye, Hao Liu, Yi Li, and Kin-Keung Lai. 2023. "Stylized Model of Lévy Process in Risk Estimation" Mathematics 11, no. 6: 1414. https://doi.org/10.3390/math11061414
APA StyleYun, X., Ye, Y., Liu, H., Li, Y., & Lai, K.-K. (2023). Stylized Model of Lévy Process in Risk Estimation. Mathematics, 11(6), 1414. https://doi.org/10.3390/math11061414

