An Age of Infection Kernel, an Formula, and Further Results for Arino–Brauer A, B Matrix Epidemic Models with Varying Populations, Waning Immunity, and Disease and Vaccination Fatalities
Abstract
1. Introduction
- Closed models, with no demography.
- Models in which the total population may be kept constant, by balancing births and deaths. These models are easier to study, often admit a single endemic equilibrium point, and typically obey the “ alternative”—see [33] for a review. However, as death is an essential factor of epidemics, the assumption of a constant population size (clearly an approximation that holds in the short term or for very-large populations) deserves a comment
- Finally, we arrive at the object of our paper: models with varying total populations. This introduces several challenges, the first being that varying populations typically lead to multiple endemic equilibrium points. This literature reveals the possibility of bi-stability when (absent from the previous models), even in simple examples [34,35,36] (thus, for an initial number of "infectives" being high, the trajectory may lie in the basin of attraction of a stable endemic point instead of being eradicated, a discrepancy from what is expected, which suggests that in this range, the deterministic model may be inappropriate). Despite further remarkable works—see, for example, [37,38,39,40,41,42], the literature studies on models with varying total populations, unlike the two preceding streams, have not yet reached general results. Our paper seems to be the first exception.
2. Arino–Brauer Matrix Models with Demography, Waning Immunity, Vaccination, and One Susceptible Class
- is a row vector whose components model a set of disease states/classes.
- is the set of individuals susceptible to being infected.
- is a row vector whose components model a set of recovered states (or classes), each accounting for individuals who recover from the infection. In what follows, we will focus on the case of one recovered class.
- B is an matrix, where each entry represents the force of infection of the disease class i onto class j. We will denote by b the vector containing the sum of the entries in each row of B, namely, .
- A is an Markovian sub-generator matrix (i.e., a Markovian generator matrix for which the sum of at least one row is strictly negative), where each off-diagonal entry , , satisfies and describes the rate of transition from disease class i to disease class j; while each diagonal entry satisfies and describes the rate at which individuals in the disease class i leave toward non-infectious compartments. Alternatively, is a non-singular M-matrix [1,50]. (An M-matrix is a real matrix V with having eigenvalues whose real parts are non-negative [51]).
- are column vectors, giving the death rates in the disease and recovered compartments caused by the epidemic (and possible vaccinations), respectively.
- is a column vector describing the rates at which individuals lose immunity (i.e., transition from recovered states to susceptible states).
- is a vector describing the rates at which individuals are vaccinated (immunized).
- W is an matrix whose entries model the rates at which individuals in the disease states transfer to recovered or dead states. In what follows, we assume that the matrix satisfies (namely, the sum of the entries in each row is equal to 0), which implies mass conservation.
- 1.
- Note the factorization of the first equation for the diseased compartments , which must appear in any epidemic model, to ensure the existence of a fixed point where these compartments vanish. Furthermore, this equation has two conceptual parts: the first, sometimes called “new infections”, contains all interactions of with other compartments, and the second, , contains all of the remaining terms.
- 2.
- Note that when , then W is a column vector, which completes the matrix with negative row sums A to a matrix with zero row sums. Therefore, where the last notation is standard in the theory of phase-type distributions.
- 3.
- A particular but revealing case is that when and matrix B has rank 1, the form , where is a probability row vector whose components represent the fractions of susceptibilities entering into the disease compartment j, when infection occurs. We will call this SIR-PH, following Riano [50], who emphasized its probabilistic interpretation, i.e., a SIR model where the exponential infection time is replaced by a PH-type distribution. (Some authors, including [52], similarly replace the exponential latency time in class E of SEIR by a PH-type distribution, but this is conceptually unnecessary, since all of the disease classes, may be grouped together in one group, whose phase-type will be determined by those of the components (via Kronecker product operations).). See also [53] for such models, and see Section 3 below on recent connections to the class of non-Markovian epidemic models.However, the SIR–PH model in previous works precluded important interactions between S and R, such as waning immunity and vaccination, and we amended its definition to include these interactions.
3. The Semi-Groups and Age of Infection Kernels Associated with SIR–PH–FA Models with of Rank One
- 1.
- Note that (11) is a SI system with satisfying a distributed delay (DD) equation. Such equations have been a constant preoccupation in mathematical epidemiology since the founding paper [10], see for example [55]. This is quite natural since susceptibilities become infectious only after a time after their contact. If is assumed to be a known constant, then the second equation of the SI model would involve a Dirac kernel ; however, since this is not the case, it is natural to replace the Dirac kernel by a continuous one. The fact that DD systems can be approximated by ODE systems has long been exploited in epidemic literature, under the name of “linear chain trick” (which is called Erlangization in queuing theory and mathematical finance)—see [7,9,56] for recent contributions and further references. The opposite direction, i.e., the solution of the exercise in [6] of identifying the kernels associated with ODE models, was not resolved in this generality, prior to our paper.
- 2.
- 3.
- As well-known, for DD models, the kernel may be factored as the product of with the density of the age of infection of the “intrinsic generating interval” [8,9,57]. may, thus, be obtained by integrating the kernelwith –see also (2.3) in reference [8] and (5.9) in reference [7]. A second direct proof of (12), without appealing to the first equality above (note that the kernel may be interpreted as an average time-dependent total infectivity; the fact that the disease-free equilibrium stability threshold has an integral representation that was first proved in [30]) is provided in Proposition 2 below.
- 4.
- Finally, the “intrinsic generation-interval density” is —see (2.6) in reference [8].
The Eigenstructure of the Jacobian for the Scaled Model (3)
4. Stability Results for the SIR–PH Model
4.1. The Basic Replacement Number for SIR–PH via the Next-Generation Matrix Method [28,30]
- 1.
- (a)
- When , the unique DFE is .
- (b)
- When , exclude the case . Then, there exists a unique DFE , where satisfies the second-order equationand is given by
- 2.
- The weak alternative holds for the threshold parameter,where are defined in (21), and denotes the (dominant) Perron–Frobenius eigenvalue.
- 3.
- For rank 1, and , we further have
- (a)
- (b)
- If , and if the perturbation from linearity defined in (A3) is nonnegative, then the scalar combinationis a Lyapunov function for the DFE.
- The disease-free system (with ) reduces toFor the fixed points, depending on , we must solve either a quadratic or a linear equationOne rootis always in and will be denoted by .The other root in the quadratic caseis strictly negative, unlessin which case it yields a second DFE point with , which we exclude (in order to apply the next-generation matrix method).
- It is enough to show here the conditions of Theorem 2 in reference [29] hold, with respect to the infectious set , and a certain splitting.The DFE and its local stability for the disease-free system are easy to check.We provide a splitting for the infectious equations:(where ). The corresponding gradients at the DFE areWe note that F has non-negative elements and that V is an M-matrix; therefore, exists and has non-negative elements, . We may check that the conditions (A2) are satisfied.For example, the last non-negativity condition in (A2)is a consequence of being an M-matrix, which implies component-wise.
- (a)
- Now if , or if has rank 1, and , the matrix F in (21) is the product of a column vector and a row vector, the dimension of its image is one, and the same holds for . Equivalently, . The “rank-nullity theorem" [58] implies that of the eigenvalues of are zero, and the Perron–Frobenius eigenvalue is the remaining one. This latter one must be equal to the trace of , which may be checked to equal . Finally, the linearity is obvious.
- (b)
- This is a particular case of [59] since the Perron–Frobenius eigenvector in our rank-one case may be taken as b.
4.2. The Classic/Pedagogical SIRS-FA Model
- 1.
- 2.
- If , then the pedagogical system (23) has a unique second fixed point within its forward-invariant set. This endemic fixed point is such that is an eigenvalue of the matrix .In the SIR–PH case, it must satisfyThe disease component satisfy:( is a Perron–Frobenius eigenvector of the matrix M related to the next-generation matrix).
- 3.
- The normalization of is given by (30) below. When , this becomes:
- 4.
- The disease-free equilibrium is locally asymptotically stable if and is unstable if .
- 5.
- When , the critical vaccination defined by solving with respect to is given by
- Either and solvingfor yields the unique DFE (it may be shown by induction that the determinant is negative). Or,
- The determinant of the resulting homogeneous linear system for must be 0, which implies that satisfiesNote now that is an invertible matrix. Using , (28) may be written asDividing then by yields the characteristic polynomial of a matrixIn the SIR–PH case, noting that the rank one matrix has eigenvalues equal to zero, we conclude that the inverse of the susceptible fraction of an endemic state must equal the Perron–Frobenius eigenvalue . Note that follows from our assumption on . The other coordinates are determined starting with , which must be proportional to a Perron–Frobenius nonnegative eigenvector.
- Recall the systemSince , and is known up to the proportionality constant , it only remains to solve the last equation in (30) below:This equation may be solved numerically. When the last formula yieldsWhen , this yields (26).
- This follows from Theorem 2.1 in reference [59] (it is a consequence of the fact that a linear function proportional to the associated Perron eigenvector is a Lyapunov function when ).
- The result is immediate by solving with respect to , where is defined in (15).
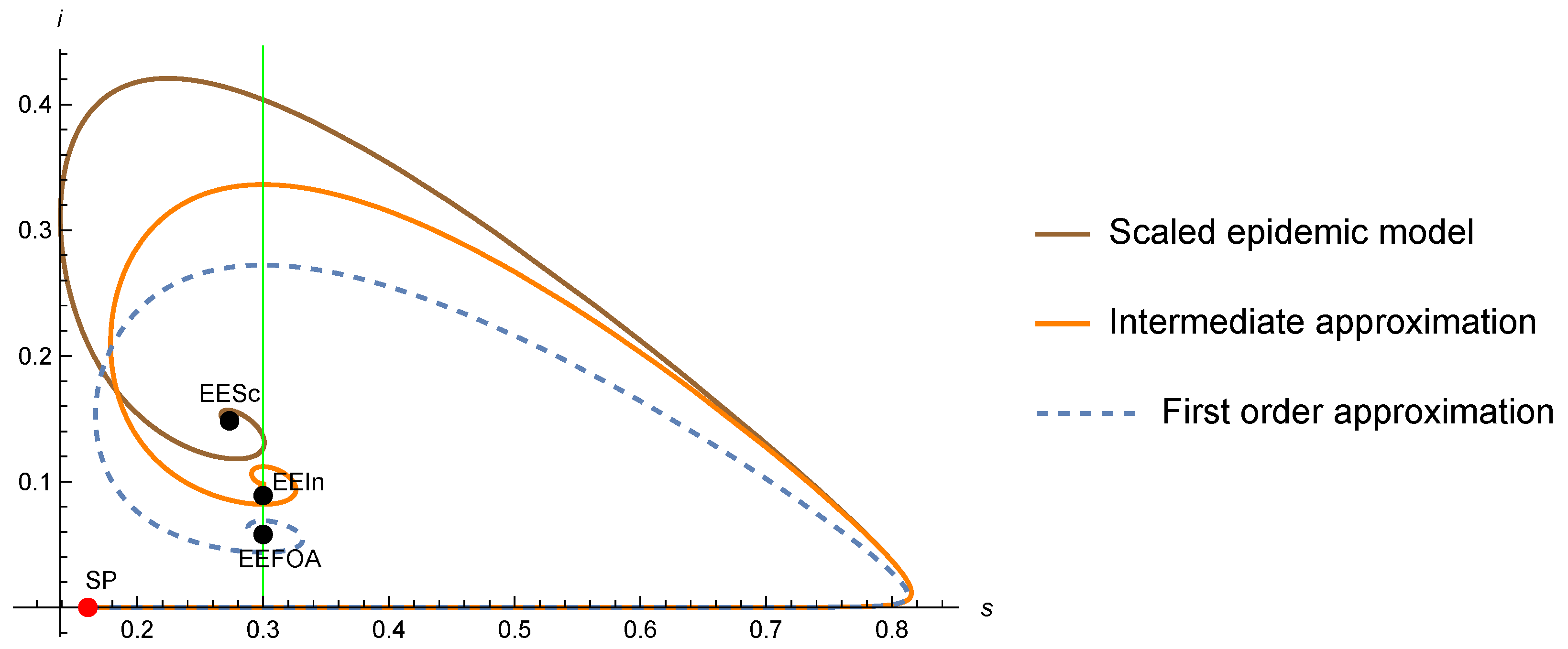
4.3. A Glimpse of the Intermediate Approximation Model for Matrix SIRS, with
- (a)
- The DFE points of the scaled, intermediate approximation, and FA are equal, with
- (b)
- In the SIR–PH case with scalar, they all reduce to (18).
- (c)
- The endemic point is unique. It satisfies , is an eigenvector of the matrix for the eigenvalue 0, andand it satisfies the normalization
- (a)
- The equations determining the three DFEs coincide.
- (b)
- When is scalar, we find
- (c)
- We haveby substitution, we have
5. Conclusions and Further Work
- (A, B), for which matrix B has a rank bigger than 1;
- for matrix models involving two or more susceptible classes.Other directions that are worthy of further work are:
- Determining the largest domain of attraction of the DFE, in which there exists some linear Lyapunov function that decreases (this might be approachable via linear programming).
- Calibrating real epidemic data via distributed delay models with non-monotone intrinsic generation-interval densities.
Author Contributions
Funding
Institutional Review Board Statement
Informed Consent Statement
Data Availability Statement
Acknowledgments
Conflicts of Interest
Appendix A
Appendix A.1. Deterministic Homogeneous ODE Epidemic Models, cf. [65]
- model the number (or density) in different compartments of infected individuals (i.e., latent, infectious, hospitalized, etc.), which should (ideally) eventually disappear if the epidemic ever ends;
- model numbers (or densities) in compartments of individuals who are not infected (i.e. susceptibilities, individuals who are immune, recovered individuals, etc.).
Appendix A.2. The Basic Reproduction Number
- The notation was first introduced by the mathematical demography Lotka [63,66]. In epidemiology, the basic reproduction number models the expected number of secondary cases, where one infected case would produce a homogeneous, completely susceptible stochastic population in the next generation. In the simplest setup of the branching process, this parameter—being smaller than 1—makes extinction sure. The relation to epidemiology is that epidemics are well approximated by the branching process at inception, a fact that goes back to Bartlett and Kendall.
- With more infectious classes, one deals at inception with multi-class branching processes; stability holds when the Perron–Frobenius eigenvalue of the “next-generation matrix” (NGM) means it is smaller than 1.
- For deterministic epidemic models, it seems at first that the basic reproduction number is lost due to the generation disappearing in this setup; see Chapter 3 in reference [64], who recalled a method that introduced generations, going back to Lotka, and is reminiscent of the iterative Lotka–Volterra approach in solving integrodifferential equations. At the end of the tunnel, a unified method for defining emerged only much later, via the “next generation matrix” approach [28,29,30,67]. The final result is that the local stability of the disease-free equilibrium holds off the spectral radius of a certain matrix called “next-generation matrix”, which depends only on a set of “infectious compartments” (which we aim to reduce to 0) being less than one. This approach works provided that certain assumptions listed below hold (and, thus, is undefined when these assumptions are not satisfied.).
- (C1)
- The foremost assumption is that the disease-free equilibrium is unique and locally asymptotically stable within the disease-free space , meaning that all solutions ofmust approach the point when .
- (C2)
- Other conditions are related to an “admissible splitting” as a difference between two parts , called respectively “new infections”, and “transitions”.Definition A2.Remark A2.The splitting of the infectious equations has its origins in epidemiology. Mathematically, it is related to the “splitting of Metzler matrices"—see, for example, [54]. Note that the splitting conditions may be satisfied for several or no subset of compartments (see for example the SEIT model, discussed in [29], Chapter 3 in reference [12]). Unfortunately, for deterministic epidemic models, there is no clear-cut definition of [13,68,69]. (One possible explanation is that several stochastic epidemiological models may correspond in the limit to the same deterministic model).
- (C3)
- We turn now to the last conditions, which concern the linearization of the infectious equations around the DFE. Using , and letting f denote the perturbation from the linearization, we may write:The “transmission and transition” linearization matrices must satisfy component-wise and V is a non-singular M-matrix, which ensures that . (The assumption (B) implies that is a “stability (non-singular) M-matrix”, which is necessary for the non-negativity and boundedness of the solutions Theorems 1–3 in reference [33].)
- 1(a)
- When , the DFE is locally asymptotically stable;
- 1(b)
- When , the DFE is unstable;
- 2
- The DFE is globally asymptotically stable when , provided that the “perturbation from linearity” is non-negative Theorem 2 in reference [29]. (Note that the [70] strong alternative was only established for a general n-stage progression, which is a particular case of the model we study below, in which A is an “Erlang” upper-diagonal matrix. It is natural to expect that the result continues to hold for other non-singular Metzler matrices).
References
- Arino, J.; Brauer, F.; van den Driessche, P.; Watmough, J.; Wu, J. A final size relation for epidemic models. Math. Biosci. Eng. 2007, 4, 159. [Google Scholar] [PubMed]
- Avram, F.; Adenane, R.; Halanay, A.; Basnarkov, L.; Bianchin, G.; Goreac, D. On matrix-SIR arino models with linear birth rate, waning immunity, disease and vaccination fatalities, and their approximations. arXiv 2021, arXiv:2112.03436. [Google Scholar]
- Avram, F.; Adenane, R.; Bianchin, G.; Halanay, A. Stability analysis of an Eight parameter SIR-type model including loss of immunity, and disease and vaccination fatalities. Mathematics 2022, 10, 402. [Google Scholar] [CrossRef]
- Avram, F.; Adenane, R.; Halanay, A. New results and open questions for SIR–PH epidemic models with linear birth rate, waning immunity, vaccination, and disease and vaccination fatalities. Symmetry 2022, 14, 995. [Google Scholar] [CrossRef]
- Brauer, F. The kermack–mckendrick epidemic model revisited. Math. Biosci. 2005, 198, 119–131. [Google Scholar] [CrossRef]
- Breda, D.; Diekmann, O.; De Graaf, W.F.; Pugliese, A.; Vermiglio, R. On the formulation of epidemic models (an appraisal of kermack and mckendrick). J. Biol. Dyn. 2012, 6 (Suppl. 2), 103–117. [Google Scholar] [CrossRef] [PubMed]
- Diekmann, O.; Gyllenberg, M.; Metz, J.A.J. Finite dimensional state representation of linear and nonlinear delay systems. J. Dyn. Differ. Eq. 2018, 30, 1439–1467. [Google Scholar] [CrossRef]
- Champredon, D.; Dushoff, J.; Earn, D.J.D. Equivalence of the erlang-distributed seir epidemic model and the renewal equation. SIAM J. Appl. Math. 2018, 78, 3258–3278. [Google Scholar] [CrossRef]
- Diekmann, O.; Inaba, H. A systematic procedure for incorporating separable static heterogeneity into compartmental epidemic models. arXiv 2022, arXiv:2207.02339. [Google Scholar] [CrossRef]
- Kermack, W.O.; McKendrick, A.G. A contribution to the mathematical theory of epidemics. Proc. R. Soc. Lond. Ser. A Contain. Pap. A Math. Phys. Character 1927, 115, 700–721. [Google Scholar]
- Earn, D.J.D. A light introduction to modelling recurrent epidemics. In Mathematical Epidemiology; Springer: Berlin/Heidelberg, Germany, 2008; pp. 3–17. [Google Scholar]
- Martcheva, M. An Introduction to Mathematical Epidemiology; Springer: New York, NY, USA, 2015; Volume 61. [Google Scholar]
- Thieme, H.R. Mathematics in Population Biology; Princeton University Press: Princeton, NJ, USA, 2018. [Google Scholar]
- Brauer, F.; Castillo-Chavez, C.; Feng, Z. Mathematical Models in Epidemiology; Springer: New York, NY, USA, 2019. [Google Scholar]
- Schaback, R. On COVID-19 modelling. Jahresbericht Deutschen Mathematiker-Vereinigung 2020, 122, 167–205. [Google Scholar] [CrossRef]
- Bacaër, N. Un modèle mathématique des débuts de l’épidémie de coronavirus en france. Math. Model. Nat. Phenom. 2020, 15, 29. [Google Scholar] [CrossRef]
- Ketcheson, D.I. Optimal control of an SIR epidemic through finite-time non-pharmaceutical intervention. arXiv 2020, arXiv:2004.08848. [Google Scholar] [CrossRef] [PubMed]
- Charpentier, A.; Elie, R.; Laurière, M.; Tran, V.C. COVID-19 pandemic control: Balancing detection policy and lockdown intervention under ICU sustainability. Math. Model. Nat. Phenom. 2020, 15, 57. [Google Scholar] [CrossRef]
- Djidjou-Demasse, R.; Michalakis, Y.; Choisy, M.; Sofonea, M.T.; Alizon, S. Optimal COVID-19 epidemic control until vaccine deployment. medRxiv 2020. [Google Scholar] [CrossRef]
- Sofonea, M.T.; Reyné, B.; Elie, B.; Djidjou-Demasse, R.; Selinger, C.; Michalakis, Y.; Alizon, S. Epidemiological monitoring and control perspectives: Application of a parsimonious modelling framework to the COVID-19 dynamics in France. medRxiv 2020. [Google Scholar] [CrossRef]
- Alvarez, E.F.; Argente, D.; Lippi, F. A Simple Planning Problem for COVID-19 Lockdown; Technical Report; National Bureau of Economic Research: Cambridge, MA, USA, 2020. [Google Scholar]
- Horstmeyer, L.; Kuehn, C.; Thurner, S. Balancing quarantine and self-distancing measures in adaptive epidemic networks. arXiv 2020, arXiv:2010.10516. [Google Scholar] [CrossRef]
- Di Lauro, F.; Kiss, I.Z.; Miller, J. Optimal timing of one-shot interventions for epidemic control. PLoS Comput Biol. 2021, 17, e1008763. [Google Scholar] [CrossRef]
- Franco, E. A feedback SIR (fSIR) model highlights advantages and limitations of infection-based social distancing. arXiv 2020, arXiv:2004.13216. [Google Scholar]
- Baker, R. Reactive social distancing in a SIR model of epidemics such as COVID-19. arXiv 2020, arXiv:2003.08285. [Google Scholar]
- Caulkins, J.; Grass, D.; Feichtinger, G.; Hartl, R.; Kort, P.M.; Prskawetz, A.; Seidl, A.; Wrzaczek, S. How long should the COVID-19 lockdown continue? PLoS ONE 2020, 15, e0243413. [Google Scholar] [CrossRef]
- Caulkins, J.P.; Grass, D.; Feichtinger, G.; Hartl, R.F.; Kort, P.M.; Prskawetz, A.; Seidl, A.; Wrzaczek, S. The optimal lockdown intensity for COVID-19. J. Math. Econ. 2021, 93, 102489. [Google Scholar] [CrossRef] [PubMed]
- van den Driessche, P.; Watmough, J. Reproduction numbers and sub-threshold endemic equilibria for compartmental models of disease transmission. Math. Biosci. 2002, 180, 29–48. [Google Scholar] [CrossRef]
- Van den Driessche, P.; Watmough, J. Further notes on the basic reproduction number. In Mathematical Epidemiology; Springer: Berlin/Heidelberg, Germany, 2008; pp. 159–178. [Google Scholar]
- Diekmann, O.; Heesterbeek, J.A.P.; Metz, J.A.J. On the definition and the computation of the basic reproduction ratio R0 in models for infectious diseases in heterogeneous populations. J. Math. Biol. 1990, 28, 365–382. [Google Scholar] [CrossRef] [PubMed]
- Arino, J.; Portet, S. A simple model for COVID-19. Infect. Dis. Model. 2020, 5, 309–315. [Google Scholar] [CrossRef]
- Avram, F.; Adenane, R.; Ketcheson, D. A review of matrix SIR arino epidemic models. Mathematics 2021, 9, 1513. [Google Scholar] [CrossRef]
- De la Sen, M.; Nistal, R.; Alonso-Quesada, S.; Ibeas, A. Some formal results on positivity, stability, and endemic steady-state attainability based on linear algebraic tools for a class of epidemic models with eventual incommensurate delays. Discret. Dyn. Nat. Soc. 2019, 2019, 8959681. [Google Scholar] [CrossRef]
- Busenberg, S.; van den Driessche, P. Analysis of a disease transmission model in a population with varying size. J. Math. Biol. 1990, 28, 257–270. [Google Scholar] [CrossRef] [PubMed]
- Busenberg, S.; van den Driessche, P. A method for proving the non-existence of limit cycles. J. Math. Anal. Appl. 1993, 172, 463–479. [Google Scholar] [CrossRef]
- Derrick, W.R.; van den Driessche, P. A disease transmission model in a nonconstant population. J. Math. Biol. 1993, 31, 495–512. [Google Scholar] [CrossRef]
- Greenhalgh, D. Hopf bifurcation in epidemic models with a latent period and nonpermanent immunity. Math. Comp. Model. 1997, 25, 85–107. [Google Scholar] [CrossRef]
- Li, M.Y.; Graef, J.R.; Wang, L.; Karsai, J. Global dynamics of a SEIR model with varying total population size. Math. Biosci. 1999, 160, 191–213. [Google Scholar] [CrossRef] [PubMed]
- Sun, C.; Hsieh, Y.-H. Global analysis of an SEIR model with varying population size and vaccination. Appl. Math. Model. 2010, 34, 2685–2697. [Google Scholar] [CrossRef]
- Razvan, M.R. Multiple equilibria for an SIRS epidemiological system. arXiv 2001, arXiv:0101051. [Google Scholar]
- Li, J.; Ma, Z. Qualitative analyses of SIS epidemic model with vaccination and varying total population size. Math. Comp. Model. 2002, 35, 1235–1243. [Google Scholar] [CrossRef]
- Yang, W.; Sun, C.; Arino, J. Global analysis for a general epidemiological model with vaccination and varying population. J. Math. Anal. Appl. 2010, 372, 208–223. [Google Scholar] [CrossRef]
- Ma, J.; Earn, D.J.D. Generality of the final size formula for an epidemic of a newly invading infectious disease. Bull. Math. Biol. 2006, 68, 679–702. [Google Scholar] [CrossRef] [PubMed]
- Feng, Z. Final and peak epidemic sizes for SEIR models with quarantine and isolation. Math. Biosci. Eng. 2007, 4, 675. [Google Scholar]
- Andreasen, V. The final size of an epidemic and its relation to the basic reproduction number. Bull. Math. Biol. 2011, 73, 2305–2321. [Google Scholar] [CrossRef]
- Liu, W.-M.; Levin, S.A.; Iwasa, Y. Influence of nonlinear incidence rates upon the behavior of SIRS epidemiological models. J. Math. Biol. 1986, 23, 187–204. [Google Scholar] [CrossRef]
- Liu, W.-M.; Hethcote, H.W.; Levin, S.A. Dynamical behavior of epidemiological models with nonlinear incidence rates. J. Math. Biol. 1987, 25, 359–380. [Google Scholar] [CrossRef]
- Georgescu, P.; Hsieh, J.-H. Global stability for a virus dynamics model with nonlinear incidence of infection and removal. SIAM J. Appl. Math. 2007, 67, 337–353. [Google Scholar] [CrossRef]
- Tang, Y.; Huang, D.; Ruan, S.; Zhang, W. Coexistence of limit cycles and homoclinic loops in a SIRS model with a nonlinear incidence rate. SIAM J. Appl. Math. 2008, 69, 621–639. [Google Scholar] [CrossRef]
- Riaño, G. Epidemic models with random infectious period. medRxiv 2020. [Google Scholar] [CrossRef]
- Plemmons, R.J. M-matrix characterizations. I—Nonsingular M-matrices. Linear Algebra Its Appl. 1977, 18, 175–188. [Google Scholar] [CrossRef]
- Hurtado, P.J.; Kirosingh, A.S. Generalizations of the ‘linear chain trick’: Incorporating more flexible dwell time distributions into mean field ODE models. J. Math. Biol. 2019, 79, 1831–1883. [Google Scholar] [CrossRef] [PubMed]
- Hyman, J.M.; Li, J.; Stanley, E.A. The differential infectivity and staged progression models for the transmission of hiv. Math. Biosci. 1999, 155, 77–109. [Google Scholar] [CrossRef]
- Fall, A.; Iggidr, A.; Sallet, G.; Tewa, J.-J. Epidemiological models and Lyapunov functions. Math. Model. Nat. Phenom. 2007, 2, 62–83. [Google Scholar] [CrossRef]
- Beretta, E.; Takeuchi, Y. Global stability of an sir epidemic model with time delays. J. Math. Biol. 1995, 33, 250–260. [Google Scholar] [CrossRef]
- Andò, A.; Breda, D.; Gava, G. How fast is the linear chain trick? A rigorous analysis in the context of behavioral epidemiology. Math. Biosci. Eng. 2020, 17, 5059–5085. [Google Scholar] [CrossRef]
- Champredon, D.; Dushoff, J. Intrinsic and realized generation intervals in infectious-disease transmission. Proc. R. Soc. B Biol. Sci. 2015, 282, 20152026. [Google Scholar] [CrossRef]
- Horn, A.R.; Johnson, C.R. Matrix Analysis; Cambridge University Press: New York, NY, USA, 2012. [Google Scholar]
- Shuai, Z.; van den Driessche, P. Global stability of infectious disease models using Lyapunov functions. SIAM J. Appl. Math. 2013, 73, 1513–1532. [Google Scholar] [CrossRef]
- De la Sen, M.; Ibeas, A. On an SE(Is)(Ih)AR epidemic model with combined vaccination and antiviral controls for COVID-19 pandemic. Adv. Diff. Eq. 2021, 2021, 1–30. [Google Scholar] [CrossRef] [PubMed]
- Shah, K.; Din, R.U.; Deebani, W.; Kumam, P.; Shah, Z. On nonlinear classical and fractional order dynamical system addressing COVID-19. Results Phys. 2021, 24, 104069. [Google Scholar] [CrossRef] [PubMed]
- Tang, T.-Q.; Jan, R.; Bonyah, E.; Shah, Z.; Alzahrani, E. Qualitative analysis of the transmission dynamics of dengue with the effect of memory, reinfection, and vaccination. Comput. Math. Methods Med. 2022. [Google Scholar] [CrossRef]
- Lotka, A.J. Analyse Démographique Avec Application Particulière à L’espèce Humaine; Hermann: Paris, France, 1939. [Google Scholar]
- Bacaër, N. Mathématiques et Epidémies; HAL: Lyon, France, 2021. [Google Scholar]
- Claude Kamgang, J.; Sallet, G. Computation of threshold conditions for epidemiological models and global stability of the disease-free equilibrium (DFE). Math. Biosci. 2008, 213, 1–12. [Google Scholar] [CrossRef]
- Dietz, K. The estimation of the basic reproduction number for infectious diseases. Stat. Methods Med. Res. 1993, 2, 23–41. [Google Scholar] [CrossRef]
- Perasso, A. An introduction to the basic reproduction number in mathematical epidemiology. ESAIM Proc. Surv. 2018, 62, 123–138. [Google Scholar] [CrossRef]
- Roberts, M.G. The pluses and minuses of 0. J. R. Soc. Interface 2007, 4, 949–961. [Google Scholar] [CrossRef]
- Li, J.; Blakeley, D. The failure of R0. Comput. Math. Methods Med. 2011, 2011, 527610. [Google Scholar] [CrossRef]
- Guo, H.; Li, M.Y. Global dynamics of a staged progression model for infectious diseases. Math. Biosci. Eng. 2006, 3, 513. [Google Scholar] [CrossRef]



Disclaimer/Publisher’s Note: The statements, opinions and data contained in all publications are solely those of the individual author(s) and contributor(s) and not of MDPI and/or the editor(s). MDPI and/or the editor(s) disclaim responsibility for any injury to people or property resulting from any ideas, methods, instructions or products referred to in the content. |
© 2023 by the authors. Licensee MDPI, Basel, Switzerland. This article is an open access article distributed under the terms and conditions of the Creative Commons Attribution (CC BY) license (https://creativecommons.org/licenses/by/4.0/).
Share and Cite
Avram, F.; Adenane, R.; Basnarkov, L.; Bianchin, G.; Goreac, D.; Halanay, A.
An Age of Infection Kernel, an
Avram F, Adenane R, Basnarkov L, Bianchin G, Goreac D, Halanay A.
An Age of Infection Kernel, an
Avram, Florin, Rim Adenane, Lasko Basnarkov, Gianluca Bianchin, Dan Goreac, and Andrei Halanay.
2023. "An Age of Infection Kernel, an
Avram, F., Adenane, R., Basnarkov, L., Bianchin, G., Goreac, D., & Halanay, A.
(2023). An Age of Infection Kernel, an

