Next Article in Journal
A State-of-the-Art Review of Probabilistic Portfolio Management for Future Stock Markets
Next Article in Special Issue
Learning Emotion Assessment Method Based on Belief Rule Base and Evidential Reasoning
Previous Article in Journal
Measuring and Modelling the Concentration of Vehicle-Related PM2.5 and PM10 Emissions Based on Neural Networks
Previous Article in Special Issue
Optimal Selection of Stock Portfolios Using Multi-Criteria Decision-Making Methods
 
 
Font Type:
Arial Georgia Verdana
Font Size:
Aa Aa Aa
Line Spacing:
Column Width:
Background:
Article

Intelligent Adaptive PID Control for the Shaft Speed of a Marine Electric Propulsion System Based on the Evidential Reasoning Rule

1
School of Automation, Hangzhou Dianzi University, Hangzhou 310018, China
2
China Waterborne Transport Research Institute, Beijing 100088, China
3
School of Energy and Power Engineering, Wuhan University of Technology, Wuhan 430063, China
4
Smart Waterway Co., Ltd., Nanjing 210028, China
*
Author to whom correspondence should be addressed.
Mathematics 2023, 11(5), 1145; https://doi.org/10.3390/math11051145
Submission received: 26 November 2022 / Revised: 14 January 2023 / Accepted: 22 February 2023 / Published: 25 February 2023
(This article belongs to the Special Issue Data-Driven Decision Making: Models, Methods and Applications)

Abstract

To precisely and timely control the shaft speed for a marine electric propulsion system under normal sea conditions, a new shaft speed control technique combining the evidential reasoning rule with the traditional PID controller was proposed in this study. First, an intelligent adaptive PID controller based on the evidential reasoning rule was designed for a marine electric propulsion system to obtain the PID parameters KP, KI, and KD. Then, a local iterative optimization strategy for model parameters was proposed. Furthermore, the parameters of the adaptive PID controller model were optimized in real time by using the sequential linear programming algorithm, which enabled the adaptive adjustment of KP, KI, and KD. Finally, the performance of the adaptive PID controller regarding the shaft speed control was compared with that of other controllers. The results showed that the adaptive PID controller designed in this study had better control performance, and the shaft speed control method based on the adaptive PID controller could better control the shaft speed of the marine electric propulsion system.

1. Introduction

In recent years, with the development of power electronics technology and transmission control technology, marine electric propulsion (MEP) systems have been developing rapidly [1,2]. An MEP system with a direct motor-driven propeller has been widely used in the shipping industry due to its high reliability, flexibility of ship operation, high driving efficiency, and energy savings [3]. The operation state of a ship is easily affected by the environment, and such external disturbances act on the MEP system, which adversely affects its control performance. Therefore, it is necessary to establish a high-performance speed control system with advanced control strategies to ensure that the MEP system can operate efficiently, safely, and reliably, and to further ensure the safe navigation of the ship.
At present, the research on MEP systems under normal sea conditions is concentrated on the study of low-speed ships. According to the mathematical model of the MEP system, Li et al. [4] adopted a robust control method to design a state feedback controller, which realized the effective control of an MEP system. Zhang et al. [5] designed a robust L2 interference suppression control method to solve the coordinated control problem of excitation and speed regulation in power systems. When sailing in normal sea conditions, the external environmental disturbance has little impact on the ship, and the ship can operate smoothly. As a result, a PI/PID controller is often designed to control the shaft speed of an MEP system under normal sea conditions [6,7,8,9,10]. For instance, Han et al. [11] designed a feedback integral controller and applied it to the shaft speed control of a submarine MEP system. Liu et al. [12] proposed an integral separation PID algorithm, which realized the shaft speed control of an MEP system and improved the control performance.
All the mentioned methods are based on the traditional PI/PID controller. An MEP system can be effectively controlled using these methods to a certain extent, but the control parameters of a traditional PI/PID controller are commonly given by expert experience and are not adaptive. To operate under the changing complicated working conditions faced by an MEP system, it is necessary to design a PID controller with self-tuning parameters to improve the control performance. Parameter tuning is the core issue of PID controller design, where parameter tuning directly affects the performance of the control system; further, it has an important impact on the smooth operation of the propulsion system [7]. Considering the importance of parameter tuning, experts and scholars tried to find better methods to meet the requirements of complex industrial control processes. Many classic parameter tuning methods emerged, such as Ziegler–Nichols (Z-N) and integral time-weighted squared errors (ITSEs). These methods can effectively control a real system by establishing a model that describes the nonlinear relationship between control system variables (including given input, actual output, and deviation) and PID parameters [11]. Although these classical control methods can control the actual system, there are obvious limitations for highly nonlinear and complex systems with insufficient adaptability and robustness, which seriously reduce the effectiveness of these methods.
Over the past few decades, many intelligent control technologies have matured and have been widely used in many fields. Some experts and scholars proposed a variety of new intelligent PID control methods by combining intelligent control with traditional PID control (e.g., intelligent PID based on expert system (ES-PID), intelligent PID based on fuzzy inference (FI-PID), and intelligent PID based on an artificial neural network (ANN-PID)) [12]. Based on the ES-PID control, Jiménez et al. [13] designed a speed regulator for a permanent magnet synchronous motor (PMSM), which uses expert experience to generate control rules and then infers the corresponding PID parameter values through the inference engine to realize effective control of the motor speed. Xu et al. [14] presented a shaft speed control scheme based on the FI-PID model. The fuzzy principle is adopted to fuzzify the PID parameters. Meanwhile, the PID parameters are adjusted online to achieve high-precision control of the shaft speed. An adaptive PID controller based on a backpropagation (BP) neural network was proposed [15]. This method utilizes the self-learning and self-adaptive capabilities of a BP-NN to adjust PID parameters and further control the system.
Each of these intelligent control methods has its advantages and disadvantages. Specifically, an ES-PID can separate knowledge acquisition and processing and can process incomplete and uncertain knowledge. However, it also has some problems that need to be solved, such as (1) how to acquire sufficient expert knowledge and transform it into an available form, (2) how to solve the explosion of rule combinations caused by the huge knowledge base, and (3) how to improve the capability of an expert system on online learning and increase the completeness and adaptability of the rule base [16]. An FI-PID has better generalization ability and can capture uncertain information from expert knowledge well. However, an FI-PID also suffers from poor online learning and updating capabilities and an incomplete fuzzy rule base [17]. An ANN-PID has strong nonlinear mapping ability, which can approximate any nonlinear continuous functions with any precision. Moreover, it has high self-learning and self-adaptive ability. However, for an ANN-PID, the neural network is a black box system in which the physical meanings of the network nodes are vague and even difficult for engineers to understand. Meanwhile, the initial weights of network nodes are hard to determine and the optimization result easily falls into local minimum values [18].
Consequently, we tried to find a method that can solve the above problems well. The evidential reasoning (ER) rule proposed by Yang is a machine-learning-based algorithm that can solve the problem of information loss caused by incomplete data. The ER rule is a strict probabilistic reasoning process that clearly distinguishes the concepts of evidence reliability and evidence importance [19,20]. Additionally, the ER rule also expands the traditional D-S evidence theory and ER algorithm more broadly, offering a new perspective and a more rigorous logical reasoning system [19,20,21]. The ER rule has two advantages: (1) the new control method based on the ER rule is completely data-driven, i.e., it does not need to make any assumptions about the relationships between control variables and PID parameters; (2) compared with the neural network, the physical meanings of parameters in the ER are clear and easy to understand, and these parameters can be adjusted according to their meanings.
In this study, an intelligent adaptive PID controller based on the evidential reasoning rule (ER-PID controller) was designed to control and track the shaft speed. Specifically, initial reference evidence matrices (IREMs) were established based on the data set. After that, different pieces of evidence that were activated in the IREMs were combined by the ER rule to obtain the parameters of the PID controller. Then, the parameters of the ER-PID controller were optimized online by using the sequential linear programming (SLP) algorithm so that the output shaft speed of the MEP system could accurately track the input reference signal in real time. Finally, the adaptive ER-PID controller was applied to the shaft speed control of the MEP system, and the performance of the ER-PID controller was compared with that of the traditional PID controller, BP-PID controller, FI-PID controller, and combined control. The results showed that the ER-PID controller was superior to the other PID controllers for shaft speed control and had better control performance.
The remainder of the article is organized as follows. Section 2 introduces the mathematical model of the MEP system and the basic concepts of a PID controller and the ER rule. Section 3 focuses on the inference and optimization of ER-PID controller model parameters. In Section 4, simulation experiments of the ER-PID controller and their results are presented. Lastly, conclusions are given in Section 5.

2. Mathematical Models and Basic Concepts

2.1. Modeling of the MEP System

As shown in Figure 1, a conventional MEP system is mainly composed of a control unit and a propulsion unit. In this work, the MEP system was modeled as a propulsion motor, a shaft, and a propeller. The rotational dynamics, thrust, and power are described as follows [22,23]:
Q m = ( Q c Q m ) / T m
2 π I s n = Q m Q a Q f ( n )
T a = s i g n ( n ) K T ρ D w 4 n 2
Q a = s i g n ( n ) K Q ρ D w 5 n 2
P a = 2 π n Q a = s i g n ( n ) 2 π K Q ρ D w 5 n 3
where the model parameters are Qc, commanded motor torque; Qm, motor torque; Tm, time constant; n, shaft speed; Is, rotational inertia of the shaft; Qa, load torque; Qf(n), friction of the shaft; Dw, diameter; ρ, seawater density; KT, thrust coefficient; KQ, torque coefficient; Ta, propeller thrust; and Pa, power consumption.
Remark 1.
The propulsion motor dynamic (Equation (1)) is not only suitable for the torque change rate restriction of the AC motors but also for that of the DC motor. Two types of motors are equivalent when the current loop is closed. Since the current loop is part of a motor driver that is embedded in the driver rather than being configured by the user in real operation, it is important to consider the dynamic characteristics of the advanced controller in its design process [24].
Remark 2.
The shaft friction (Equation (2)) is the sum of the static friction and linear components in most applications [22,23]. In practical problems, we can choose the appropriate friction model according to the experimental requirements. This study considered the case where the axial friction force Qf(n) was linear, and Qf(n) = 2πKwn, where Kw is the linear friction coefficient. For an MEP system, this is an adequate model.
Remark 3.
KT and KQ represent the effects of thrust and torque losses, respectively. Although it is unconventional to include the loss effects in KT and KQ, it is convenient to maintain consistency when describing propeller characteristics.
When there is no thrust loss, the nominal propeller thrust Tn, load torque Qn, and power consumption Pn are ideal values. Normally, they are obtained from open-water tests of a deeply submerged thruster.
T n = s g n ( n ) K T 0 ρ D w 4 n 2
T n = s g n ( n ) K T 0 ρ D w 4 n 2
P n = 2 π n Q n = s g n ( n ) 2 π K Q 0 ρ D w 5 n 3
where KT0 is the nominal thrust coefficient and KQ0 is the nominal torque coefficient, which satisfy KT0 > 0 and KQ0 > 0. The relationship between the nominal and actual thrust and torque can be expressed as follows:
β T = T a T n = K T K T 0
β Q = Q a Q n = K Q K Q 0
where βT is the thrust loss factor and βQ is the torque loss factor, which satisfy 0 ≤ βT ≤ 1 and 0 ≤ βQ ≤ 1. In this work, it was assumed that there was no thrust loss, that is, βT = βQ = 1.
Remark 4.
In practical engineering applications, to avoid motor failure caused by the commanded torque Qc0 exceeding its rated value, it is necessary to add a torque-limiting module [24]:
Q c = m i n Q c 0 , Q m a x , P m a x / 2 π n
where Qmax and Pmax are the maximum admissible torque and power for the propulsion motor, respectively:
Q m a x = k m Q N
P m a x = k m P N
where QN and PN represent the rated torque and rated power of the propulsion motor respectively, and km is a non-negative constant, which satisfies 1.1 ≤ km ≤ 1.2. The torque-limiting curve is shown in Figure 2, where nN is the rated motor shaft speed and nmax is the maximum shaft speed. Since the maximum power is limited not only by the transducer and motor power ratings but also by the available power of the generator, the torque limit should be varied accordingly [24].
Remark 5.
In an MEP system, the torque control loop of a closed-loop propulsion motor can be assumed to be a first-order dynamic model, such as Equation (1). The torque balance equation of the shaft is shown in Equation (2). Equation (3) describes the dynamic characteristics of the propeller. Equation (4) is the further analysis of Equation (3). Equation (5) is the mathematical description of the torque-limiting module.
Remark 6.
The torque-limiting module (Equation (5)) was first introduced into an MEP system control in [24]. It can be seen from Equation (5) and Figure 2 that the torque-limiting module is mainly used to limit the commanded torque Qc0 and ensure that Qc0 falls into a reasonable range. In practical engineering applications, the introduction of the torque-limiting module can avoid motor failures caused by the commanded torque Qc0 exceeding its rated value, which is crucial to ensure the stable operation of an MEP system.

2.2. Incremental PID Controller

The PID algorithm of a discrete system is acquired by discretizing the control formula based on the traditional PID algorithm, and its control law is shown in Equation (6a) [25]:
u ( k ) = K P { e ( k ) + ( T / T I ) j = 0 k e ( j ) + ( T D / T ) [ e ( k ) e ( k 1 ) ] }     = K P e ( k ) + K I j = 0 k e ( j ) + K D [ e ( k ) e ( k 1 ) ]
where T, TI, and TD represent the sampling period, integration time constant, and differential time constant, respectively. e ( k ) = n r ( k ) n ( k ) is the deviation between the shaft speed n(k) and shaft speed reference nr(k). KP, K I = K P T / T I , and K D = K P T D / T are the proportional, integral, and differential coefficients, respectively. The commanded torque u(k) = Qc0(k) is the controlled quantity of the PID controller at time k.
Based on Equation (6a), the incremental PID control algorithm can be expressed as Equation (6b):
Δ u ( k ) = u ( k ) u ( k 1 )     = K P [ e ( k ) e ( k 1 ) ] + K I e ( k )       + K D [ e ( k ) 2 e ( k 1 ) + e ( k 2 ) ]     = Δ Q c 0 ( k )

2.3. Outline of the ER Rule

Suppose Θ ={h1, h2, …, hN} is a frame of discernment (FoD), which contains N propositions that are mutually exclusive and collectively exclusive. Θ and all of its subsets constitute the power set, denoted by P(Θ) or 2Θ. The belief distribution of evidence ej in the ER rule is as shown in Equation (7):
e j = { ( θ , p θ , j ) | θ Θ , θ Θ p θ , j = 1 }
where pθ,j denotes the degree of ej supporting the proposition θ, which can be defined as a belief function or belief distribution. θ can be any element of the power set except the empty set.
In the ER rule, the reliability and importance weight of ej are denoted by rj and wj, respectively. The belief distribution of a piece of evidence with weight and reliability is as follows:
m j = { ( θ , m ^ θ , j ) , θ Θ ; ( P ( Θ ) , m ^ P ( Θ ) , j ) }
where m ^ θ , j represents the degree of ej supporting proposition θ, when the reliability and importance weight of ej are considered. m ^ θ , j can be calculated according to Equation (9):
m ^ θ , j = 0 θ = c r w , j m θ , j θ Θ , θ c r w , j ( 1 r j ) θ = P ( Θ )
where m θ , j = w j p θ , j and c r w , j = 1 / ( 1 + w j r j ) is a normalization factor, which satisfies θ Θ m ^ θ , j + m ^ P ( Θ ) , j = 1 when θ Θ p θ , j = 1 .
pθ,e(2) is the joint belief degree of proposition θ supported by two independent pieces of evidence e1 and e2, which is defined as Equation (10):
p θ , e ( 2 ) = 0 θ = m ^ θ , e ( 2 ) / D Θ m ^ D , e ( 2 ) θ Θ , θ m ^ θ , e ( 2 ) = [ ( 1 r 2 ) m θ , 1 + ( 1 r 1 ) m θ , 2 ] + B C = θ m B , 1 m C , 2 θ Θ
When L pieces of independent evidence ei (i = 1, 2, …, L) are combined, the recursion formula of the ER rule can be used to integrate multiple pieces of evidence [19]. The recursion formula is as given in Equation (11):
p θ , e ( L ) = 0 θ = m ^ θ , e ( L ) / D Θ m ^ D , e ( L ) θ Θ , θ m ^ θ , e ( i ) = [ ( 1 r i ) m θ , e ( i 1 ) + m P ( Θ ) , e ( i 1 ) m θ , i ] + B C = θ m B , e ( i 1 ) m C , i θ Θ m ^ P ( Θ ) , e ( i ) = ( 1 r i ) m P ( Θ ) , e ( i 1 )
Remark 7.
Rj is an objective and intrinsic property of ej, which reflects the ability of the information source generating ej to provide an accurate assessment or solution for a given problem [26]. However, wj is subjective and can be determined by users based on their experience. When different pieces of evidence are obtained from different sources in different ways, wj can be used to reflect the importance of one piece of evidence relative to others.
Remark 8.
In the ER rule, the degree of residual support (1 – rj) after a discount will be reassigned to the power set P(Θ) instead of being assigned specifically to the FoD.

3. Shaft Speed Control Model of the MEP System Based on the ER Rule

3.1. Framework

Figure 3 indicates the structure of the shaft speed control model based on the adaptive ER-PID controller. In this study, the design of the ER-PID controller was the core of this work. After that, nr acts on the ER-PID controller to generate the commanded torque Qc0, and then the commanded motor torque Qc can be obtained via the torque-limiting module. Finally, Ta and Qa were generated through the propulsion unit, and the motor torque Qm acts on the shaft so that the shaft speed n can always track the shaft speed reference nr. The process of the ER-PID controller is shown in Figure 4.
Step 1 (obtain the parameters of the ER-PID controller): First, a shaft speed control model based on the BP-PID controller is constructed to generate the empirical data set, and IREMs (IREMP, IREMI, and IREMD for KP, KI, and KD, respectively) are generated. Then, for the specific input sample X(k) = [f1(k), f2(k)] = [nr(k), n(k − 1)], the activated evidence can be acquired after being substituted into the IREMP, IREMI, and IREMD. Furthermore, the estimated values of the shaft speed ( n ^ ( k ) ) can be obtained via the ER rule. The reasoning process is detailed in Section 3.2.
Step 2 (optimization of the ER-PID controller model): The ER-PID model constructed using the initial parameters may not accurately capture the complex nonlinear relationship between the input feature fi (i = 1,2) and the output (KP, KI, or KD). Therefore, the minimum mean square error (MSE) between the estimated value of the shaft speed ( n ^ ( k ) ) and the shaft speed reference (nr) is selected as the objective function, and the SLP algorithm is used to optimize the parameters of the ER-PID controller model to improve the accuracy of the shaft speed control. The process is detailed in Section 3.3.
Step 3 (local iterative optimization strategy): Based on step 2, the SLP algorithm is selected to optimize and update the model parameters locally at time k. Then, the optimal parameters are used as the initial parameters of the model at time k + 1. Then, the system returns to step 2 to conduct the inference process at time k + 1. The reasoning process is detailed in Section 3.4.

3.2. Obtaining the Parameters of the ER-PID Controller

This section describes the obtaining of parameters KP, KI, and KD in the shaft speed control model based on the ER-PID controller. The detailed modeling and inference process are described in Figure 5.

3.2.1. Generate Evidence from the Data Samples

Step 1.1: Acquire the empirical data.
In this study, the thrust reference Tr was sampled in real time. As described in Section 3.1, the input variables f1 and f2 of the three models are the shaft speed reference n r = g n ( T r ) = s i g n ( T r ) T r / ( ρ D w 4 K T 0 ) and the shaft speed n, and the output variables are KP, KI, and KD. Moreover, a shaft speed control model based on the BP-PID controller is constructed to generate the empirical data set S = {[f1(k), f2(k), KP(k), KI(k), KD(k)]|k = 1, 2, …, K} for the development and optimization of the ER-PID controller, where K ≥ 10,000. The data set S is divided into three sub-datasets S1 = {[f1(k), f2(k), KP(k)]}, S2 = {[f1(k), f2(k), KI(k)]}, and S3 = {[f1(k), f2(k), KD(k)]}, which correspond to KP, KI, and KD, respectively. The three sub-datasets are used to construct IREMs, which describe the relationship between the input variable fi (i = 1,2) and each output variable. The construction of IREMP is described in steps 1.2 and 1.3, and the developments of IREMI and IREMD are similar to that of IREMP.
Step 1.2: Transform the input.
First, the initial values of A i = { A 1 i , . , A t i , , A T i i | i = 1 , 2 ; t i = 1 , 2 , , T i } and D P = { D 1 P , , D s P , , D N P | s = 1 , 2 , , N } for KP can be determined by domain experts or given randomly. The relationship between the input variable fi and the output variable KP is transformed into the relationship between the reference value set Ai for fi and DP for KP, where P represents the proportional coefficient of the ER-PID controller, Ti and N represent the number of reference values for fi and KP, respectively. Moreover, these reference values satisfy A 1 i < < A t i i and D 1 P < < D N P . Subsequently, the similarity distribution of the specific input fi(k) with its reference values A t i i can be expressed in belief distribution S P ( f i ( k ) ) = { ( A t i i , α i , t i ) | i = 1 , 2 ; t i = 1 , 2 , , T i } [27]. Specifically, αi,ti indicates the similarity between fi(k) and A t i i , which can be calculated using the piecewise linear function (Equation (12)) [27]:
α i , t i = A t i + 1 i f i ( k ) A t i + 1 i A t i i ; α i , t i + 1 = f i ( k ) A t i i A t i + 1 i A t i i A t i i f i ( k ) A t i + 1 i α i , 1 = 1 ; α i , t i = 0 ( t i 1 ) f i ( k ) A 1 i α i , T i = 1 ; α i , t i = 0 ( t i T i ) f i ( k ) A T i i
Similarly, the similarity distribution of the output KP(k) with its reference value D s P can be expressed by S O ( K P ( k ) ) = { ( D s P , γ s P ) | s = 1 , 2 , , N } , where γ s P indicates the similarity of KP(k) matching with the reference value D s P and can be calculated according to Equation (13):
γ s P = D s + 1 P K P ( k ) D s + 1 P D s P ; γ s + 1 P = K P ( k ) D s P D s + 1 P D s P D s P K P ( k ) D s + 1 P γ 1 P = 1 ; γ s P = 0 ( s 1 ) K P ( k ) D 1 P γ N P = 1 ; γ s P = 0 ( s N ) K P ( k ) D N P
Step 1.3: Sample casting.
Convert the sample pairs (fi(k), KP(k)) into the integrated similarity distribution ( α i , t i γ s P , α i , t i + 1 γ s P , α i , t i γ s + 1 P , α i , t i + 1 γ s + 1 P ) , where α i , t i γ s P represents the integrated degree of fi(k) matching A t i i while KP(k) matches D s P . As shown in Table 1, all the sample pairs in S1 are represented by integrated similarity, which can be used to generate the casting result reflecting the relationship between the input reference values and the output reference values.
In Table 1, as,ti is the sum of the integrated similarity of all sample pairs (fi(k), KP(k)) matching their reference values A t i i and D s P simultaneously. η t i = s = 1 N a s , t i and δ s = t i = 1 T i a s , t i represent the sum of the integrated similarity of all fi(k) matching A t i i and all KP(k) matching D s P , which satisfy s = 1 N δ s = t i = 1 T i η t i = K .
Step 1.4: Acquire the IREM.
According to Table 1, the likelihood function cs,ti, which indicates that fi(k) equals A t i i and KP(k) equals D s P , can be acquired using Equation (14):
c s , t i = p ( A t i i | D s P ) = a s , t i / δ s
The IREMP shown in Table 2 describes the mapping relationship between the input fi and the output KP. e t i i , P = [ β 1 , t i i , P , , β s , t i i , P , , β N , t i i , P ] represents the evidence that the input fi corresponds to A t i i , where β s , t i i , P represents the belief degree of KP(k) matching D s P and satisfies s = 1 N β s , t i i , P = 1 . β s , t i i , P can be calculated by normalizing the likelihood function cs,ti according to Equation (15):
β s , t i i , P = c s , t i / k = 1 N c k , t i
Remark 9.
Similarly, the IREMI for KI and the IREMD for KD can be constructed.

3.2.2. Obtaining the ER-PID Controller Parameters

Step 1.5: Acquire the activated evidence.
The input variable fi(k) is obtained online, which satisfies A t i i < f i ( k ) < A t i + 1 i . In this condition, fi(k) will activate two pieces of evidence e t i i , P and e t i + 1 i , P . Then, the evidence e i P activated by fi(k) can be obtained using Equation (16). ps,i indicates the belief degree of KP(k) matching D s P when fi(k) activates e t i i , P and e t i + 1 i , P .
e i P = { ( D s P , p s , i ) | s = 1 , , N }
p s , i = α i , t i β s , t i i , P + α i , t i + 1 β s , t i + 1 i , P
Step 1.6: Combination of the activated evidence.
Through Equation (16a,b), e 1 P and e 2 P activated by the sample vector X(k) = [f1(k), f2(k)] at time k are obtained. Then, the e 1 P and e 2 P were combined using the ER rule according to Equation (10), and the fusion result is expressed in Equation (17):
O P ( X ( k ) ) = { ( D s P , p s , e ( 2 ) ) | s = 1 , , N }
Step 1.7: Obtaining the ER-PID controller parameters.
In Equation (10), each information source is considered to be reliable, i.e., r i P = 1 . The initial importance weight w i P of evidence e i P is determined to be equal to r i P , i.e., w i P = r i P , and the optimization model can be used to optimize the w i P so that the shaft speed n can track nr. Combining the fusion result OP(X(k)), the proportional coefficient K ^ P ( k ) of the ER-PID controller can be generated according to Equation (18):
K ^ P ( k ) = s = 1 N D s P p s , e ( 2 )
Remark 10.
It should be noted that the above reasoning process is also feasible to obtain the integration coefficient K ^ I ( k ) and the differential coefficient K ^ D ( k ) of the ER-PID controller.
Remark 11.
As described inSection 3.2, K ^ P ( k ) , K ^ I ( k ) , and K ^ D ( k ) obtained using the ER rule are brought into Equation (6) to generate the estimated control quantity Q ^ c 0 ( k ) . Then, Q ^ c 0 ( k ) is brought into the torque-limiting module described in Section 2.1 to obtain the estimated value of the commanded motor torque Q ^ c ( k ) , and the estimated shaft speed n ^ ( k ) can be acquired by bringing Q ^ c ( k ) into Equations (1) and (2).

3.3. Optimization of ER-PID Controller Model

Step 2: Considering that the ER-based inference model may not be able to describe the complex causal relationship between the input and output due to the inaccurate initial model parameters, an optimization model was established. Specifically, the sum of e ( k ) = n r ( k ) - n ^ ( k ) and the increment Δ Q ^ c 0 ( k ) were used as the objective function (Equation (19a)):
min P ξ ( P ( k ) ) = ( n r ( k ) n ^ ( k ) ) 2 + Δ 2 Q ^ c 0 ( k )
s . t .   0 w i Z U B ( w i Z ) , i = 1 , 2 ; Z = 1 , 2 , 3
0 β s , t i i , Z U B ( β s , t i i , Z ) , s = 1 , , N ;   t i = 1 , 2 , T i
s = 1 N β s , t i i , Z = 1
Equation (19b–d) illustrate the constraints that the fine-tuned parameters need to satisfy. P = { w i Z , e t i i , Z , e t i + 1 i , Z | i = 1 , 2 ; t i = 1 , , T i 1 ; Z = 1 , 2 , 3 } denotes the parameter set to be optimized, which includes the importance weight and belief distribution of each piece of evidence. Specifically, e t i i , Z and e t i + 1 i , Z are the two pieces of evidence activated by fi(k), which are represented by e t i i , Z = [ β 1 , t i i , Z , , β s , t i i , Z , , β N , t i i , Z ] and e t i + 1 i , Z = [ β 1 , t i + 1 i , Z , , β s , t i + 1 i , Z , , β N , t i + 1 i , Z ] . Z = 1,2,3 indicate the inference models for KP, KI, and KD, respectively. U B ( w i Z ) and U B ( β s , t i i , Z ) denote the upper bounds of the optimization parameters.
Remark 12.
In most ER-based models, model parameters are optimized offline with the training sample set. It is a global optimizing method that requires sufficient training data. Insufficient data samples may result in the tuned parameters deviating from their optimal values, decreasing the accuracy of the shaft speed control. To avoid this problem, the SLP optimization algorithm was used to realize the local and dynamic optimization of model parameters in this study, which meant that only the parameters in the evidence activated by X(k) were optimized. Willis et al. [28] analyzed the advantages and disadvantages of SLP in detail. The specific steps of the SLP optimization are as follows:
(1): Linearize the nonlinear objective function.
According to the optimization model in Equation (19), the objective function ξ ( P ( k ) ) is expanded into a Taylor series so that the objective function can be approximated as the following linearization function:
ξ ( P ( k ) ) ξ ( P 0 ( k ) ) + ξ ( P 0 ( k ) ) ( P ( k ) P 0 ( k ) )
where P0(k) represents a given initial point. With the linearization of the nonlinear objective function, the nonlinear optimization problem (i.e., min P ξ ( P ( k ) ) ) can be transformed into a linear programming problem (i.e., min P ξ ( P 0 ( k ) ) P ( k ) ).
(2): Determine the movement limits of the optimized parameters.
The selection of the movement limits of the optimized parameters is quite important for the optimizing performance, and too large or too small movement limits will decrease the accuracy of the optimization. The upper bounds of the optimization parameters UB(P) are determined using Equation (21), and the initial movement limits of the parameters in P are set to 10% of their corresponding upper bound.
U B ( w i Z ) = 1 , i = 1 , 2
U B ( β s , t i i , Z ) = 1 , s = 1 , , N ;   t i = 1 , 2 , T i ; Z = 1 , 2 , 3
(3): Find the optimal solution by using linear programming.
Based on steps (1) and (2), the linearization function of ξ ( P ( k ) ) at the given initial point P0(k) and the movement limits of the optimization parameters can be obtained. At the same time, a search space is established according to the known initial point and movement limits and the search process is conducted by using a linear programming method (such as the interior point method). If the intersection of the constructed search space and the linearized feasible solution space is empty, then the search space needs to be expanded by increasing the movement limits. Oppositely, if there is an intersection, the optimal solution of the linear programming problem will be found in the intersection [29]. The obtained optimal solution is then used as a new base point to re-linearize the initial nonlinear optimization problem, and the entire optimization process will be executed iteratively until certain stopping criteria are satisfied.
Step 4: Stopping criteria for the SLP optimization.
There are two criteria for SLP optimization, and the iterative process should be stopped when any of these two criteria are met. The two criteria are as follows: (a) the movement limits of all parameters are reduced to be significantly small; (b) the values of the optimized parameters or objective function value do not change obviously in two adjacent iterations [30].

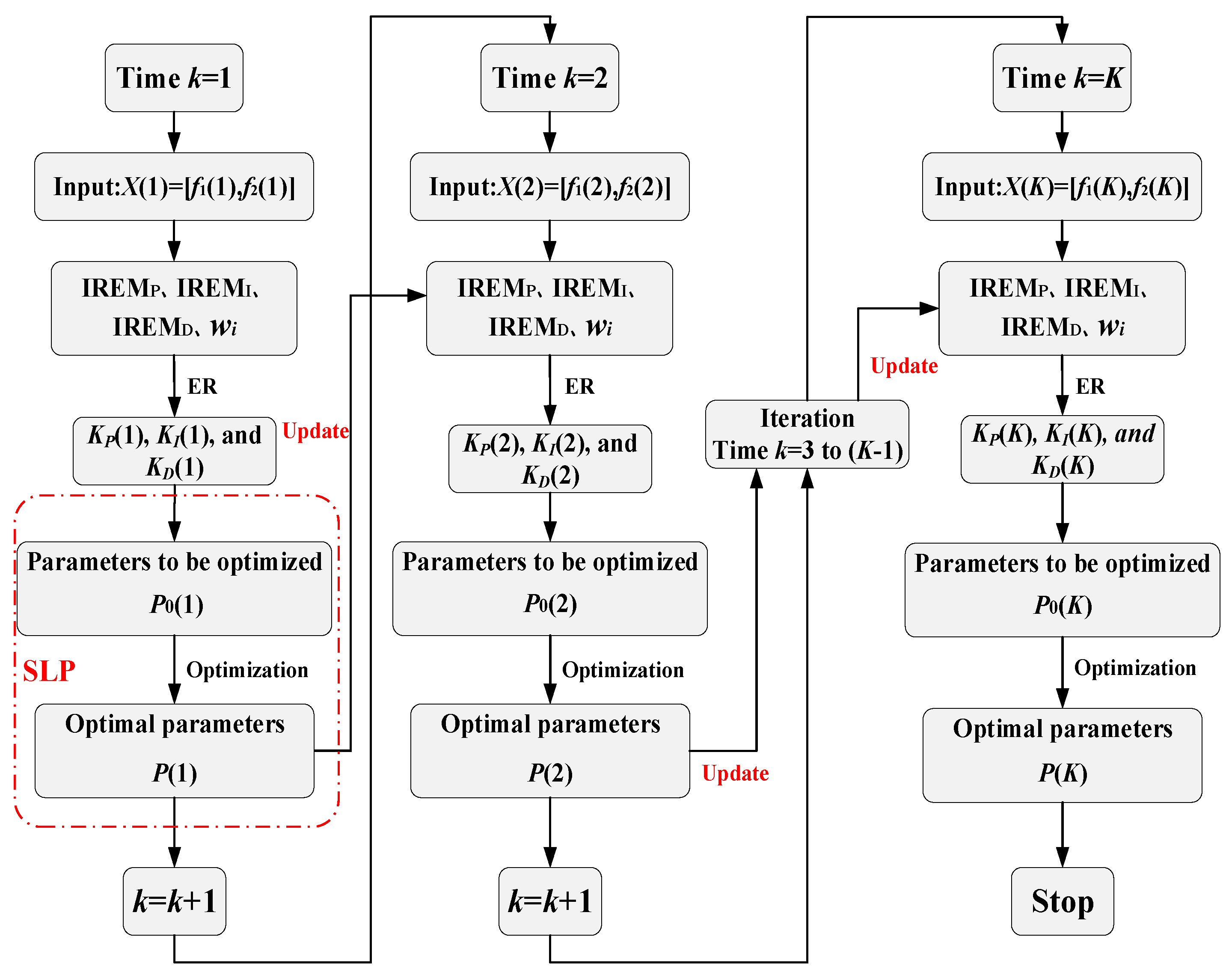
3.4. Local Iterative Optimization Strategy

Figure 6 shows the process of updating the parameters of the ER-PID controller, and the detailed iterative process is described as follows.
Step 3.1: With the input X(k) = [f1(k),f2(k)] = [nr(k), n(k − 1)] acquired online, the estimated shaft speed n ^ ( k ) can be generated using the ER-based inference model. After that, the activated evidence in the IREMs ( e t i , P , e t + 1 i , P , e t i , I , e t + 1 i , I , e t i , D , e t + 1 i , D ) and its importance weights ( w i P , w i I , w i D ) constitute the parameter set P0(k), which is optimized using SLP and then represented by P(k).
Step 3.2: The IREMs are locally updated by P(k) and are used at time k + 1. The parameters ( w i P , w i I , w i D ) in P(k) are used as the initial parameters of the inference model at time k + 1.
Step 3.3: Return to step 3.1 and conduct the inference process at time k + 1 to update the parameters ( K ^ P ( k ) , K ^ I ( k ) , and K ^ D ( k ) ) and generate the estimated shaft speed n ^ ( k + 1 ) . Repeat the above processes until the stopping criteria are satisfied.

4. Simulation Experiments and Comparative Analysis

The MEP system with the Wageningen B-series propeller provided in [31] was used as the research object to verify the performance of the ER-PID controller. The simulation experiments were conducted according to the mathematical model of the MEP system. All the simulation experimental parameters and research object’s parameters were from practical equipment that could represent the genuine characteristics and operation of the MEP system well.

4.1. Numerical Experiment

In the simulation experiment, the basic parameters of the Wageningen B-series propeller included the number of blades Zw = 4, the diameter of the propeller Dw = 4 m, the pitch ratio Pw/Dw = 1, and the expanded blade area ratio Aε/A0 = 0.7. The simulation experimental parameters are shown in Table 3.
Then, Equations (1) and (2) were discretized by using a Z-transformation:
Q m ( k ) = 4.54 e 5 Q m ( k 1 ) + Q c ( k 1 )
n ( k ) = 0.9998 n ( k 1 ) + 5.555 e 4 ( Q m ( k 1 ) Q a ( k 1 ) ) / ( 2 π )
For the shaft speed control model shown in Figure 3, the sampling period ts = 0.01s, and the variation of Tr is shown in Table 4. The excitation signal of the ER-PID controller is n r ( k ) = g n ( T r ( k t s ) ) = s i g n ( T r ( k t s ) ) T r ( k t s ) / ρ D w 4 K T 0 , where k = 1, 2, …, M, M = 10,000, and t = kts.
The empirical data set S = {[f1(k), f2(k), KP(k), KI(k), KD(k)]|k = 1, 2, …, 10,000} obtained according to step 1.1 in Section 3.2 was divided into three sub-datasets S1 = {[f1(k), f2(k), KP(k)]|k = 1, 2, …, 10,000}, S2 = {[f1(k), f2(k), KI(k)]|k = 1, 2, …, 10,000}, and S3 = {[f1(k), f2(k), KD(k)]|k = 1, 2, …, 10,000}, which were used to construct IREMP, IREMI, and IREMD, respectively. Furthermore, in the simulation experiments, three inference models for the ER-PID controller were constructed by using the three sub-datasets. The initial reference values of each input (i.e., f1 and f2) and each output (i.e., KP, KI, and KD) are shown in Table 5.
Taking the inference model for KP as an example, all the sample pairs in S1 were transformed into an integrated similarity distribution according to Equations (12) and (13), and the casting results for each input were generated in Table 6 and Table 7. At the same time, according to Equations (14) and (15), the IREMP of f1 (Table 8) and the IREMP of f2 (Table 9) were obtained from the casting results using likelihood function normalization. Similarly, the above method was used to construct IREMI and IREMD, respectively.
The input vector X(k) = [f1(k),f2(k)] at time k was introduced into three inference models to obtain the three coefficients K ^ P ( k ) , K ^ I ( k ) , and K ^ D ( k ) . Meanwhile, according to Equation (19), the two adjacent pieces of evidence activated by X(k) and their corresponding importance weights were optimized using the SLP algorithm in Section 3.3. The IREMs at time k were modified using the optimized evidence and were used as the initial IREMs for the inference models at time k + 1. Consequently, the local update and iterative optimization proposed in this study were realized iteratively.
Take the input sample X(k) = [f1(k),f2(k)] = [0.2766,0.0116] at time k = 3 as an example to illustrate the process of obtaining KP online.
(1): Transform the input.
According to step 1.2 in Section 3.2, the similarities of f1(k) matching A 2 1 and A 3 1 were α1,2 = 0.7645 and α1,3 = 0.2355, and evidence e 2 1 , P and e 3 1 , P were activated. The similarities of f2(k) matching A 2 2 and A 3 2 were α2,2 = 0.7648 and α2,3 = 0.2352, and evidence e 2 2 , P and e 3 2 , P were activated.
(2): Acquire the activated evidence.
The activated evidence e 1 P = [0.4342,0.1897,0.2017,0.1744] and e 2 P = [0.7768,0.0682,0.0682,0.0868] were obtained using Equation (16).
(3): Combine the activated evidence.
Then, e 1 P and e 2 P were fused using Equation (10) with the consideration of their reliability factors ( r 1 P = r 2 P = 1 ) and the optimized importance weights ( w 1 P = 0.6262, w 2 P = 0.6087), and the fusion result was OP(X(k)) = {( D 1 P ,0.8897),( D 2 P ,0.0341),( D 3 P ,0.0363),( D 4 P ,0.0399)}.
(4): Obtain the PID parameters.
With the result OP(X(k)) and the reference values of output, the proportional coefficient K ^ P ( k ) = 16.1132 according to Equation (18). Similarly, we obtained the integration coefficient K ^ I ( k ) = 0.1250 and the differential coefficient K ^ D ( k ) = 6.0 at time k = 3.
(5): Local optimization.
Then, the 12 pieces of evidence activated by X(3) and the importance weights of the activated evidence were obtained, as shown in Table 10. The SLP algorithm was used to fine-tune these parameters, and the optimized parameters shown in Table 11 replaced their corresponding values at time k = 3 and were taken as the initial model parameters at k = 4.
(6): Iterative update.
Iteratively, the sample vector X(4) = [0.2766,0.0204] also activated the 12 pieces of evidence and the importance weights of the above evidence, as shown in Table 12. Moreover, the SLP algorithm was used to optimize these parameters, and the optimized parameters in Table 13 were taken as the initial model parameters at k = 5. Using this iterative optimization method, the parameters activated by the input sample were optimized so that the IREMs and the importance weights of the activated evidence were updated in real time.

4.2. Simulation Experiments on the ER-PID Controller Accuracy and Anti-Interference

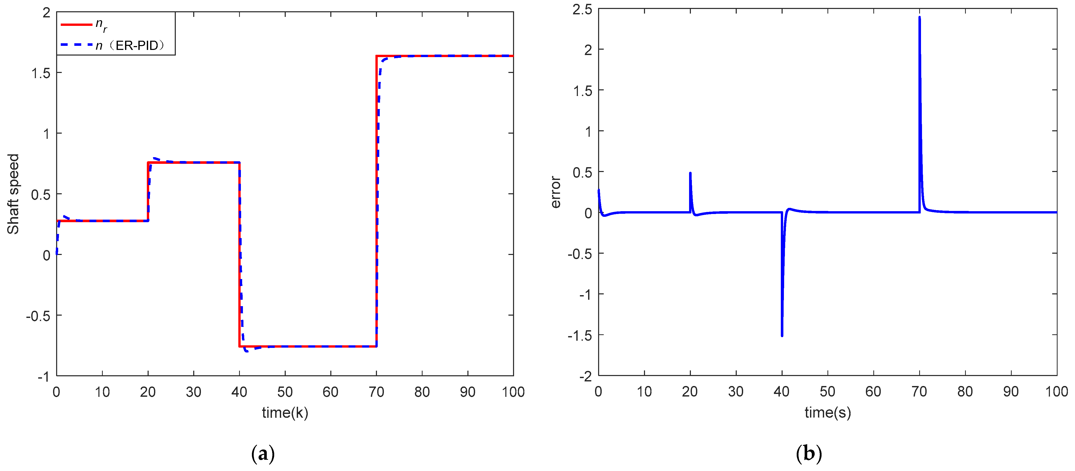
Figure 7 shows the tracking results and errors of n(k) tracking nr(k) when the ER-PID controller was constructed by using data set S. Furthermore, the change curves of the control signal and control parameters (KP, KI, and KD) are plotted in Figure 8. It is clear that this method was convergent, and the MSE was 0.0135.
To verify the anti-interference performance of the ER-PID controller, single-point perturbation and multi-point perturbation experiments were conducted.
Simulation experiment 1: Single-point perturbation experiment on an ER-PID controller.
An additional perturbation ξ(k) was added to the input f1(k) at times k = 1000, 3000, 5500, and 8200, i.e., f1(k) = nr(k) + ξ(k) (k = 1000,3000,5500,8200). The input with perturbation satisfied ξ(1000) = ξ(3000) = ξ(5500) = ξ(8200) = 0.1.
Simulation experiment 2: Multi-point perturbation experiment on ER-PID controller.
The number of disturbance points in the experiment was increased based on the single-point perturbation experiment, and the disturbance was added to f1 at k = 1000~1004, 3000~3004, 5500~5504, and 8200~8204, which satisfied ξ(k) = 0.1.
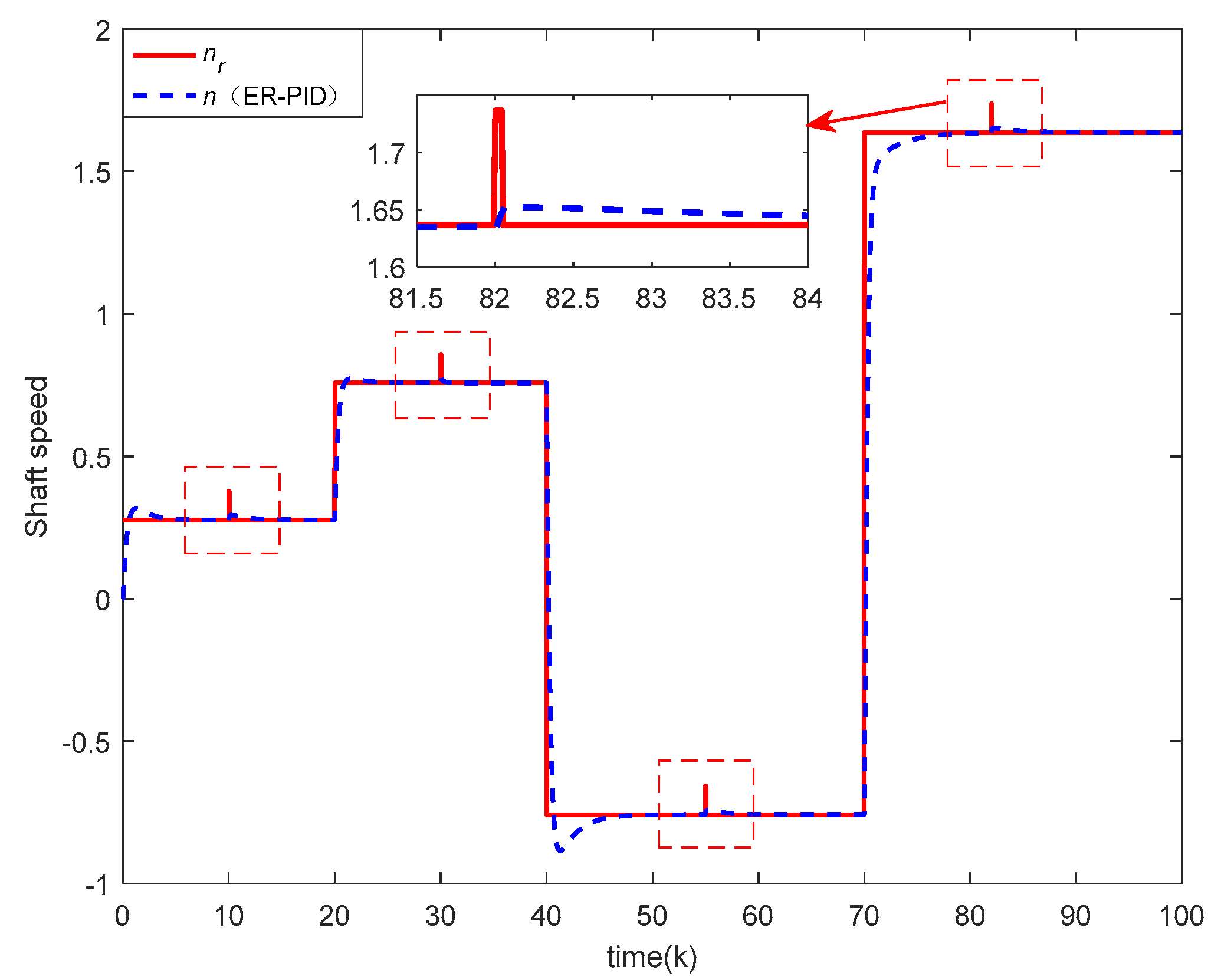
Figure 9, Figure 10, Figure 11 and Figure 12 show the results of the single-point perturbation and the multi-point perturbation experiments, and it can be seen that the adaptive ER-PID controller can still track the shaft speed reference (nr) and recover to a steady state even though the speed jumps existed in nr. Moreover, in simulation experiments 1 and 2, the MSEs of the shaft speed control using the ER-PID controller were 0.0123 and 0.0143, respectively. Furthermore, the change curves of the control signal and control parameters (KP, KI, and KD) are plotted in Figure 10 and Figure 12. It can be seen that the controller gain was adjusted adaptively to re-stabilize the system when a disturbance was generated. Generally speaking, the ER-PID controller had good anti-interference performance and tracking performance.

4.3. Comparisons with Other Shaft Speed Control Methods

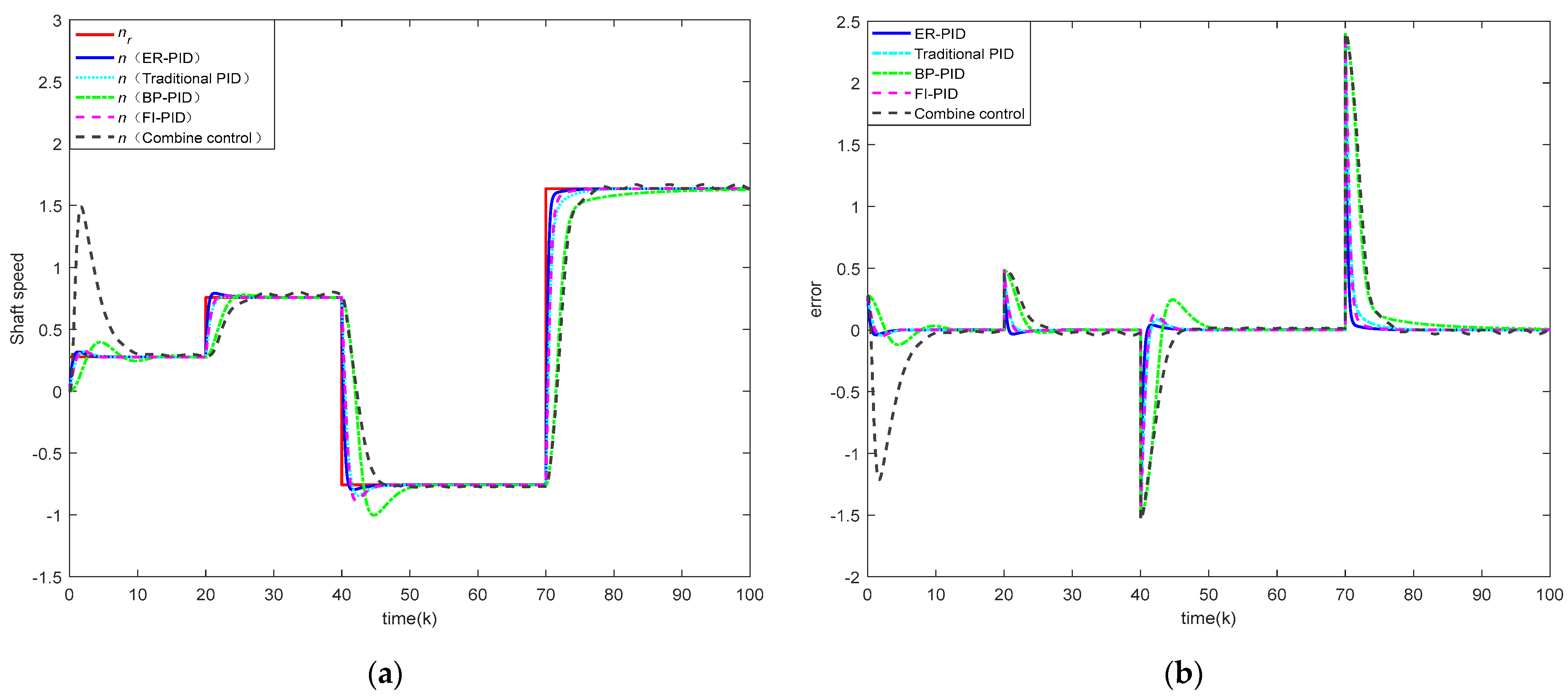
To illustrate the effectiveness of the shaft speed method proposed in this study, the shaft speed control method based on the ER-PID controller was further compared with the control performance of the shaft speed control model based on a traditional PID controller [11], BP-PID controller [15], FI-PID controller [14], and combined control [32]. Furthermore, two simulation experiments of the controller accuracy and random perturbation were implemented.
Simulation experiment 3: Simulation experiment on controller accuracy.
The MSE and dynamic indicators (overshoot and adjustment time) of the five methods were compared in Table 14, and the MSE of the ER-PID method was 0.0135, which was smaller than the other methods. Figure 11 describes the tracking results and errors of five methods regarding n(k) tracking nr(k).
From Figure 13 and Table 14, it can be seen that in the stage t < 20 s, the ER-PID method responded faster to a given value, the system overshoot was relatively short, and the adjustment time was short, while the other methods responded slower to a given value and the overshoot and the adjustment time were slightly longer. In the stages 20 s < t < 40 s and 70 s < t < 100 s, the response speed, overshoot, and adjustment time of the traditional PID were slightly smaller than other methods. In the stage 40 s < t < 70 s, the adjustment time of the ER-PID method was shorter than other methods. The overshoot of the ER-PID method was only larger than that of the combined control and smaller than that of other methods.
Overall, by analyzing the dynamic indicators of the speed control system, it was found that the ER-PID method performed better than other methods regarding the dynamic indicators and MSE. All the advantages of the ER-PID controller ensured that the system reached a stable state quickly and improved the tracking ability of the system.
Simulation experiment 4: Random perturbation experiment.
A sinusoidal disturbance signal was added to the system input f1, that is, f1(k) = nr(k) + A ∗ sin(wkts), k = 1, 2,..., 10,000, noise variable A~U(0,0.1), and w~U(0,1π).
We performed 100 such experiments, where the values of A and w are randomly generated. Table 15 and Figure 14 show the mean value of the tracking MSE and the tracking MSE for the five methods in 100 experiments. It can be seen from Figure 10 that the tracking MSEs of the ER-PID method, traditional-PID method, and FI-PID method were relatively stable in the 100 random perturbation experiments, but the MSE of the BP-PID method had large fluctuations and poor stability.
From the above statistical results, the mean value of the tracking MSE for the ER-PID method was 0.0148, which was significantly smaller than the MSE of the other methods. Consequently, it was concluded that the ER-PID method had better adaptability for input interference than the other methods.

5. Conclusions

To solve the problem of shaft speed control of an MEP system, a shaft speed control method was proposed in this study. By combining the ER rule with the PID controller, the real-time adjustment of the adaptive ER-PID controller parameters and effective shaft speed control of an MEP system were realized. Then, this method was compared with speed control methods based on the traditional PID, BP-PID controller, FI-PID controller, and combined control. By comparing the control performances of the five controllers, the effectiveness of the proposed method was verified, which realized the stable control of the MEP system.
The highlights of the speed control method based on the ER-PID controller were as follows: (1) an intelligent adaptive ER-PID controller was developed for the MEP system; (2) a local iterative optimization strategy was proposed for real-time optimization of model parameters to enable the adaptive adjustment of the PID controller parameters; and (3) the newly proposed method was applied to the MEP system to realize the precise, timely control of the shaft speed.
In summary, the shaft speed control method with the machine-learning-based ER-PID controller proposed in this study provides an effective speed control scheme for other MEP systems, which can be used as a theoretical reference for high-performance control of an MEP system. Currently, the IREMs of an ER-PID controller are determined using the empirical data set in this study, but other methods, such as domain expert knowledge, will be used to determine the IREMs initially and verify the effectiveness of an ER-PID controller under this condition in the future. Meanwhile, we will investigate the analytical model-based MEP system control method in future work, and more work on the mathematical analysis of the MEP system stability will be conducted.

Author Contributions

Conceptualization, X.Z.; methodology, X.Z. and X.X. (Xiaojian Xu); software, X.Z.; validation, X.Z.; investigation, P.H., H.G. and F.M.; writing—original draft preparation, X.Z.; supervision, X.X. (Xiaobin Xu) and X.X. (Xiaobin Xu); project administration, X.X. (Xiaobin Xu); funding acquisition, X.X. (Xiaobin Xu) and X.X. (Xiaobin Xu). All authors have read and agreed to the published version of the manuscript.

Funding

This research was funded by “the National key R&D project 2022YFE0210700”, “the Natural Science Foundation of Zhejiang Province, China, grant number LY21F030011”,“the Zhejiang Province Key R&D projects, grant number No.2023C01215”, “the Zhejiang Province Outstanding Youth Fund, grant number LR21F030001” and “the NSFC, grant number No.62103121, 52171352”.

Data Availability Statement

The data that support the findings of this study are available from the corresponding author upon reasonable request.

Conflicts of Interest

The authors declare that they have no conflict of interest or personal relationships that could have appeared to influence the work reported in this paper.

References

  1. Hua, B.; Zhou, Y.H.; Xie, Y.B.; Ou, L.Z.; Lu, T. Motor technology applied in naval ship electric drive propulsion. Micromotors 2015, 48, 101–105. [Google Scholar]
  2. Xie, J.; Shi, W.; Shi, Y. Research on fault diagnosis of six-phase propulsion motor drive inverter for marine electric propulsion system based on Res-BiLSTM. Machines 2022, 10, 736. [Google Scholar] [CrossRef]
  3. Peng, H.; Zhu, X.; Yang, L.; Zhang, G. Robust controller design for marine electric propulsion system over controller area network. Control Eng. Pract. 2020, 101, 104512. [Google Scholar] [CrossRef]
  4. Li, H.X.; Lu, A.S. Robust control for the marine ship power propulsion system. Comput. Technol. Automot. 2015, 34, 15–18. [Google Scholar] [CrossRef]
  5. Zhang, L.J.; Meng, J.; Lan, H. Coordinate control design for system of marine diesel engine generator with propeller loads. IET Control Theory Appl. 2011, 28, 531–537. [Google Scholar]
  6. Vrančić, D.; Huba, M. High-order filtered PID controller tuning based on magnitude optimum. Mathematics 2021, 9, 1340. [Google Scholar] [CrossRef]
  7. Tran, H.K.; Chiou, J.; Dang, V. New fusion algorithm-reinforced pilot control for an agricultural tricopter UAV. Mathematics 2020, 8, 1499. [Google Scholar] [CrossRef]
  8. Memon, F.; Shao, C. An optimal approach to online tuning method for PID type iterative learning control. Int. J. Control Autom. 2020, 18, 1926–1935. [Google Scholar]
  9. Dai, Y.; Zhang, Y.Y.; Bian, J.; Han, K.; Zhu, X.; Huang, Z.H.; Xie, Y. CFD simulation on hydrodynamics of underwater vehicle with ducted propellers. Int. J. Simul. Model. 2021, 20, 1601–1611. [Google Scholar] [CrossRef]
  10. Baidya, D.; Roy, R.G. Speed Control of DC Motor Using Fuzzy-Based Intelligent Model Reference Adaptive Control Scheme. Adv. Commun. Devices Netw. 2018, 729–735. [Google Scholar] [CrossRef]
  11. Han, J.D.; Zhu, Z.Q.; Jiang, Z.Y.; He, Y.Q. Simple PID parameter tuning method based on outputs of the closed loop system. Chin. J. Mech. Eng. 2016, 29, 25–34. [Google Scholar] [CrossRef]
  12. Liu, Z.C.; Liu, W.T.; Wei, H.F. Control simulation of electric propulsion system based on integral separation PID algorithm. Tech. Auto. Appl. 2015, 34, 25–28. [Google Scholar]
  13. Jiménez, T.; Merayo, N.; Andrés, A.; Duran, R.J.; Aguado, J.C.; Miguel, I.D.; Fernandez, P.; Lorenzo, R.M.; Abril, E.J. An auto-tuning PID control system based on genetic algorithms to provide delay guarantees in passive optical networks. Expert Syst. Appl. 2015, 42, 9211–9220. [Google Scholar] [CrossRef]
  14. Sheet, A.F. Optimization of DC motor speed control based on fuzzy logic-PID controller. Anal. Data Process. Syst. 2021, 83, 143–153. [Google Scholar] [CrossRef]
  15. Xia, D.Z.; Kong, L.; Hu, Y.; Ni, P. Silicon micro-gyroscope temperature prediction and control system based on BP neural network and fuzzy-PID control method. Meas. Sci. Technol. 2015, 26, 025101. [Google Scholar] [CrossRef]
  16. Kalyan, C.N.; Goud, B.S.; Bajaj, M.; Kumar, M.K.; Ahmed, E.M.; Kamel, S. Water-cycle-algorithm-tuned intelligent fuzzy controller for stability of multi-area multi-fuel power system with time delays. Mathematics 2022, 10, 508. [Google Scholar] [CrossRef]
  17. Huba, M.; Vrančić, D. Tuning of PID control for the double integrator plus dead time model by modified real dominant pole and performance portrait methods. Mathematics 2022, 10, 971. [Google Scholar] [CrossRef]
  18. Rodríguez-Abreo, O.; Rodríguez-Reséndiz, J.; Fuentes-Silva, C.; Hernández-Alvarado, R.; Falcón, M.D. Self-Tuning Neural Network PID With Dynamic Response Control. IEEE Access 2021, 9, 65206–65215. [Google Scholar] [CrossRef]
  19. Yang, J.B.; Xu, D.L. Evidential reasoning rule for evidence combination. Artif. Intell. 2013, 205, 1–29. [Google Scholar] [CrossRef]
  20. Kong, G.; Xu, D.; Yang, J.; Wang, T.; Jiang, B. Evidential reasoning rule-based decision support system for predicting ICU admission and in-hospital death of trauma. IEEE Trans. Syst. Man Cybern. Syst. 2020, 51, 7131–7142. [Google Scholar] [CrossRef]
  21. Xiao, F. EFMCDM: Evidential fuzzy multicriteria decision making based on belief entropy. IEEE Trans. Fuzzy Syst. 2019, 28, 1477–1491. [Google Scholar] [CrossRef]
  22. Yoerger, D.R.; Cooke, J.G.; Slotine, J.J.E. The influence of thruster dynamics on underwater vehicle behavior and their incorporation into control system design. IEEE J. Ocean. Eng. 1991, 15, 167–178. [Google Scholar] [CrossRef]
  23. Smogeli, Ø.N.; Sørensen, A.J. Antispin thruster control for ships. IEEE Trans. Control Syst. Technol. 2009, 17, 1362–1375. [Google Scholar] [CrossRef]
  24. Sørensen, A.J.; Adnanes, A.K.; Fossen, T.I.; Strand, J.P. A new method of thruster control in positioning of ships based on power control. IFAC Proc. Vol. 1997, 30, 199–206. [Google Scholar] [CrossRef]
  25. Wang, Z.H.; Zhang, J. Incremental PID Controller-Based Learning Rate Scheduler for Stochastic Gradient Descent. IEEE Trans. Neural Netw. Learn. Syst. 2022, 1–12. [Google Scholar] [CrossRef]
  26. Tang, S.; Zhou, Z.; Hu, C.; Yang, J.; Cao, Y. Perturbation analysis of evidential reasoning rule. IEEE Trans. Syst. Man Cybern. Syst. 2021, 51, 4895–4910. [Google Scholar] [CrossRef]
  27. Xu, X.; Xu, X.; Shi, P.; Ye, Z.; Bai, Y.; Zhang, S.; Dustdar, S.; Wang, G. Data classification based on attribute vectorization and evidence fusion. Appl. Soft Comput. 2022, 121, 108712. [Google Scholar] [CrossRef]
  28. Willis, M.J.; Von Stosch, M. L0-constrained regression using mixed integer linear programming. Chemom. Intell. Lab. Syst. 2017, 165, 29–37. [Google Scholar] [CrossRef]
  29. Riccietti, E.; Bellavia, S.; Sello, S. Sequential linear programming and particle swarm optimization for the optimization of energy districts. Eng. Optim. 2019, 51, 100–184. [Google Scholar] [CrossRef]
  30. Xu, X.B.; Zheng, J.; Yang, J.B.; Xu, D.L.; Chen, Y.W. Data classification using evidence reasoning rule. Knowl.-Based Syst. 2016, 116, 144–151. [Google Scholar] [CrossRef]
  31. Smogeli, Ø.N.; Sørensen, A.J.; Minsaas, K.J. The concept of anti-spin thruster control. Control Eng. Pract. 2008, 16, 465–481. [Google Scholar] [CrossRef]
  32. Liao, L.H.; Gao, H.B.; Lin, Z.G.; Xiong, L.Q.; Chen, Y.J.; Wan, Q. Control strategy simulation of marine electric propulsion system. Ship Eng. 2020, 42, 141–146. [Google Scholar]
Figure 1. Structure of the MEP system.
Figure 1. Structure of the MEP system.
Mathematics 11 01145 g001
Figure 2. Torque-limiting curve.
Figure 2. Torque-limiting curve.
Mathematics 11 01145 g002
Figure 3. Block diagram of the shaft speed control model.
Figure 3. Block diagram of the shaft speed control model.
Mathematics 11 01145 g003
Figure 4. Framework of the shaft speed control model.
Figure 4. Framework of the shaft speed control model.
Mathematics 11 01145 g004
Figure 5. Process of obtaining the ER-PID parameters.
Figure 5. Process of obtaining the ER-PID parameters.
Mathematics 11 01145 g005
Figure 6. Iterative parameter updating for the ER-PID controller.
Figure 6. Iterative parameter updating for the ER-PID controller.
Mathematics 11 01145 g006
Figure 7. Tracking results of the ER-PID controller. (a) Tracking results that n(k) tracks nr(k). (b) Tracking errors that n(k) tracks nr(k).
Figure 7. Tracking results of the ER-PID controller. (a) Tracking results that n(k) tracks nr(k). (b) Tracking errors that n(k) tracks nr(k).
Mathematics 11 01145 g007
Figure 8. Control signal and controller parameters. (a) Changes of the commanded motor torque Qc. (b) Changes of KP, KI, and KD.
Figure 8. Control signal and controller parameters. (a) Changes of the commanded motor torque Qc. (b) Changes of KP, KI, and KD.
Mathematics 11 01145 g008
Figure 9. Tracking results of the ER-PID controller with a single-point perturbation.
Figure 9. Tracking results of the ER-PID controller with a single-point perturbation.
Mathematics 11 01145 g009
Figure 10. Changes of the control signal and controller parameters in single-point perturbation situations. (a) Changes of the commanded motor torque Qc. (b) Changes of KP, KI, and KD.
Figure 10. Changes of the control signal and controller parameters in single-point perturbation situations. (a) Changes of the commanded motor torque Qc. (b) Changes of KP, KI, and KD.
Mathematics 11 01145 g010
Figure 11. Tracking results of the ER-PID controller with a multi-point perturbation.
Figure 11. Tracking results of the ER-PID controller with a multi-point perturbation.
Mathematics 11 01145 g011
Figure 12. Changes of the control signal and controller parameters in multi-point perturbation situations. (a) Changes of the commanded motor torque Qc. (b) Changes of KP, KI, and KD.
Figure 12. Changes of the control signal and controller parameters in multi-point perturbation situations. (a) Changes of the commanded motor torque Qc. (b) Changes of KP, KI, and KD.
Mathematics 11 01145 g012
Figure 13. Tracking results and tracking error of the 5 methods. (a) Tracking results for 5 method that n(k) tracks nr(k). (b) Tracking errors for 5 method that n(k) tracks nr(k).
Figure 13. Tracking results and tracking error of the 5 methods. (a) Tracking results for 5 method that n(k) tracks nr(k). (b) Tracking errors for 5 method that n(k) tracks nr(k).
Mathematics 11 01145 g013
Figure 14. Tracking MSE of the ER-PID controller.
Figure 14. Tracking MSE of the ER-PID controller.
Mathematics 11 01145 g014
Table 1. The casting result of sample pairs (fi, KP).
Table 1. The casting result of sample pairs (fi, KP).
KPfiTotal
A 1 i A t i i A T i i
D 1 P a 1 , 1 a 1 , t i a 1 , T i δ 1
D s P a s , 1 a s , t i a s , T i δ s
D N P a N , 1 a N , t i a N , T i δ N
Total η 1 η t i η T i K
Table 2. The IREMP of the input fi.
Table 2. The IREMP of the input fi.
KPfi
e 1 i , P e t i i , P e T i i , P
A 1 i A t i i A T i i
D 1 P β 1 , 1 i , P β 1 , t i i , P β 1 , T i i , P
D s P β s , 1 i , P β s , t i i , P β s , T i i , P
D N P β N , 1 i , P β N , t i i , P β N , T i i , P
Table 3. Experimental parameters of the MEP system.
Table 3. Experimental parameters of the MEP system.
ParameterValueParameterValue
Rated motor torque QN78 kNmNominal thrust coefficient KT00.445
Rated motor power PN4000 kWNominal torque coefficient KQ00.0666
Rated motor speed nN8.2 rpsRotational inertia Is25,000 kgm2
Maximum thrust of propeller Tbq490 kNFriction coefficient Kw350 Nms
Maximum power of propeller Pbq3800 kWSeawater density ρ1025 kg/m3
Gearbox reduction ratio kg4Motor time constant Tm0.001 s
Table 4. Thrust reference Tr.
Table 4. Thrust reference Tr.
TimeTarget Reference Tr
t < 20 s10 kN
20 s < t < 40 s75 kN
40 s < t < 70 s−75 kN
70 s < t < 100 s350 kN
Table 5. Initial reference values of inputs and outputs.
Table 5. Initial reference values of inputs and outputs.
Input/OutputReference Values
Input 1 (f1)−0.760.10.851.65
Input 2 (f2)−1.2−0.20.71.75
Output (KP)1616.51717.5
Output (KI)0.110.1150.120.125
Output (KD)6789
Table 6. The casting results of sample pairs (f1, KP).
Table 6. The casting results of sample pairs (f1, KP).
KPf1Total
A 1 1 A 2 1 A 3 1 A 4 1
−0.760.10.851.65
D 1 P 161652.778581.95980.10941.35141736.1991
D 2 P 16.51084.2628908.0883335.88836.84442335.0838
D 3 P 17121.2140925.09352046.53142159.14185251.9807
D 4 P 17.50.00602.409466.3398607.9812676.7364
Total2858.26131917.55112448.86892775.318710,000
Table 7. The casting results of sample pairs (f2, KP).
Table 7. The casting results of sample pairs (f2, KP).
KPf2Total
A 1 2 A 2 2 A 3 2 A 4 2
−1.2−0.20.71.75
D 1 P 16820.1390916.06000.000101736.1991
D 2 P 16.5464.58631218.9544651.44920.09392335.0838
D 3 P 1724.3322551.88433596.68831079.07595251.9807
D 4 P 17.51.648735.0743371.4539268.5595676.7364
Total1310.70622721.97304619.59151347.729310,000
Table 8. IREMP of the input f1.
Table 8. IREMP of the input f1.
KPf1
e 1 1 , P e 2 1 , P e 3 1 , P e 4 1 , P
−0.760.10.851.65
D 1 P 160.66140.076700.0006
D 2 P 16.50.32260.63150.22780.0022
D 3 P 170.01600.28600.61700.3131
D 4 P 17.500.00580.15520.6841
Table 9. IREMP of the input f2.
Table 9. IREMP of the input f2.
KPf2
e 1 2 , P e 2 2 , P e 3 2 , P e 4 2 , P
−1.2-0.20.71.75
D 1 P 160.69630.437300
D 2 P 16.50.29330.43260.18440.0001
D 3 P 170.00680.08710.45270.3411
D 4 P 17.50.00360.04300.36290.6588
Table 10. Evidence activated at time k = 3 and their corresponding importance weights.
Table 10. Evidence activated at time k = 3 and their corresponding importance weights.
Activated EvidenceImportance Weights
e 2 1 , P 0.45290.19180.18350.1718 w 1 P 0.7599
e 3 1 , P 0.37380.18300.26070.1825
e 2 2 , P 0.90030.03320.03330.0332 w 2 P 0.7561
e 3 2 , P 0.37510.18190.18180.2612
e 2 1 , I 00.04500.03840.9166 w 1 I 0.6991
e 3 1 , I 00.02370.02980.9464
e 2 2 , I 0.2152000.7848 w 2 I 0.6991
e 3 2 , I 0.0394000.9606
e 2 1 , D 0.65740.342600 w 1 D 0.8052
e 3 1 , D 0.98150.018500
e 2 2 , D 0.55510.00010.19970.2451 w 2 D 0.8052
e 3 2 , D 0.96510.00010.01740.0174
Table 11. Evidence activated at time k = 3 and their corresponding importance weights after optimization.
Table 11. Evidence activated at time k = 3 and their corresponding importance weights after optimization.
Activated EvidenceImportance Weights
e 2 1 , P 0.769900.23010 w 1 P 0.7024
e 3 1 , P 0.678500.32150
e 2 2 , P 0.98370.011100.0052 w 2 P 0.6994
e 3 2 , P 0.69280.184100.1231
e 2 1 , I 00.00630.00490.9888 w 1 I 0.6537
e 3 1 , I 00.01800.01450.9675
e 2 2 , I 0.1637000.8363 w 2 I 0.6537
e 3 2 , I 0.0317000.9683
e 2 1 , D 0.64550.354500 w 1 D 0.7397
e 3 1 , D 0.97220.027800
e 2 2 , D 0.524500.22190.2536 w 2 D 0.7397
e 3 2 , D 0.949900.02480.0253
Table 12. Evidence activated at time k = 4 and their corresponding importance weights.
Table 12. Evidence activated at time k = 4 and their corresponding importance weights.
Activated EvidenceImportance Weights
e 2 1 , P 0.769900.23010 w 1 P 0.7024
e 3 1 , P 0.678500.32150
e 2 2 , P 0.98370.011100.0052 w 2 P 0.6994
e 3 2 , P 0.69280.184100.1231
e 2 1 , I 00.00630.00490.9888 w 1 I 0.6537
e 3 1 , I 00.01800.01450.9675
e 2 2 , I 0.1637000.8363 w 2 I 0.6537
e 3 2 , I 0.0317000.9683
e 2 1 , D 0.64550.354500 w 1 D 0.7397
e 3 1 , D 0.97220.027800
e 2 2 , D 0.524500.22190.2536 w 2 D 0.7397
e 3 2 , D 0.949900.02480.0253
Table 13. Evidence activated at time k = 4 and their corresponding importance weights after optimization.
Table 13. Evidence activated at time k = 4 and their corresponding importance weights after optimization.
Activated EvidenceImportance Weights
e 2 1 , P 0.986700.01330 w 1 P 0.5842
e 3 1 , P 0.705600.29440
e 2 2 , P 0.99560.002200.0022 w 2 P 0.5828
e 3 2 , P 0.56320.226400.2104
e 2 1 , I 00.00230.00220.9955 w 1 I 0.5625
e 3 1 , I 00.00250.00240.9951
e 2 2 , I 0.0034000.9966 w 2 I 0.5625
e 3 2 , I 0.0033000.9967
e 2 1 , D 000.05000.9500 w 1 D 0.6004
e 3 1 , D 0.022300.02780.9499
e 2 2 , D 00.000100.9999 w 2 D 0.6004
e 3 2 , D 0.03110.100000.8689
Table 14. MSE and dynamic indicators of the five methods.
Table 14. MSE and dynamic indicators of the five methods.
Dynamic Indicators of the 5 MethodsTimeMSE
t < 20 s20 s < t < 40 s40 s < t < 70 s70 s < t < 100 s
ER-PIDOvershoot (σ%)14.71%4.51%5.33%0%0.0135
Adjustment time (s)4.023.123.731.62
Traditional PIDOvershoot (σ%)15.85%0.84%11.19%0%0.0289
Adjustment time (s)4.471.735.325.02
BP-PIDOvershoot (σ%)44.34%2.82%32.36%0%0.1232
Adjustment time (s)16.787.0510.582.91
FI-PIDOvershoot (σ%)18.54%2.18%16.57%0%0.0279
Adjustment time (s)4.072.952.91
Combined controlOvershoot (σ%)424.77%2.65%0.72%2.03%0.1671
Adjustment time (s)19.119.196.4128.31
Table 15. Mean value of the tracking MSE for the 5 methods after a random perturbation.
Table 15. Mean value of the tracking MSE for the 5 methods after a random perturbation.
Methods of Shaft Speed ControlMean Value of Tracking MSE
ER-PID0.0148
Traditional PID0.0324
BP-PID0.1299
FI-PID0.0326
Disclaimer/Publisher’s Note: The statements, opinions and data contained in all publications are solely those of the individual author(s) and contributor(s) and not of MDPI and/or the editor(s). MDPI and/or the editor(s) disclaim responsibility for any injury to people or property resulting from any ideas, methods, instructions or products referred to in the content.

Share and Cite

MDPI and ACS Style

Zhang, X.; Xu, X.; Xu, X.; Hou, P.; Gao, H.; Ma, F. Intelligent Adaptive PID Control for the Shaft Speed of a Marine Electric Propulsion System Based on the Evidential Reasoning Rule. Mathematics 2023, 11, 1145. https://doi.org/10.3390/math11051145

AMA Style

Zhang X, Xu X, Xu X, Hou P, Gao H, Ma F. Intelligent Adaptive PID Control for the Shaft Speed of a Marine Electric Propulsion System Based on the Evidential Reasoning Rule. Mathematics. 2023; 11(5):1145. https://doi.org/10.3390/math11051145

Chicago/Turabian Style

Zhang, Xuelin, Xiaobin Xu, Xiaojian Xu, Pingzhi Hou, Haibo Gao, and Feng Ma. 2023. "Intelligent Adaptive PID Control for the Shaft Speed of a Marine Electric Propulsion System Based on the Evidential Reasoning Rule" Mathematics 11, no. 5: 1145. https://doi.org/10.3390/math11051145

APA Style

Zhang, X., Xu, X., Xu, X., Hou, P., Gao, H., & Ma, F. (2023). Intelligent Adaptive PID Control for the Shaft Speed of a Marine Electric Propulsion System Based on the Evidential Reasoning Rule. Mathematics, 11(5), 1145. https://doi.org/10.3390/math11051145

Note that from the first issue of 2016, this journal uses article numbers instead of page numbers. See further details here.

Article Metrics

Back to TopTop