Modelling the Influence of Dynamic Social Processes on COVID-19 Infection Dynamics
Abstract
:1. Introduction
2. Mathematical Model
3. Model Analysis
3.1. Positivity of the Solutions
3.2. Feasible Region
3.3. Disease-Free Equilibrium and Model Reproduction Number
3.4. Endemic Equilibrium
3.5. Local Stability of the Endemic Equilibrium Point
4. Numerical Simulations and Model Validation
4.1. Impact of Varying NPIs
4.2. Impact of Varying Fear Levels
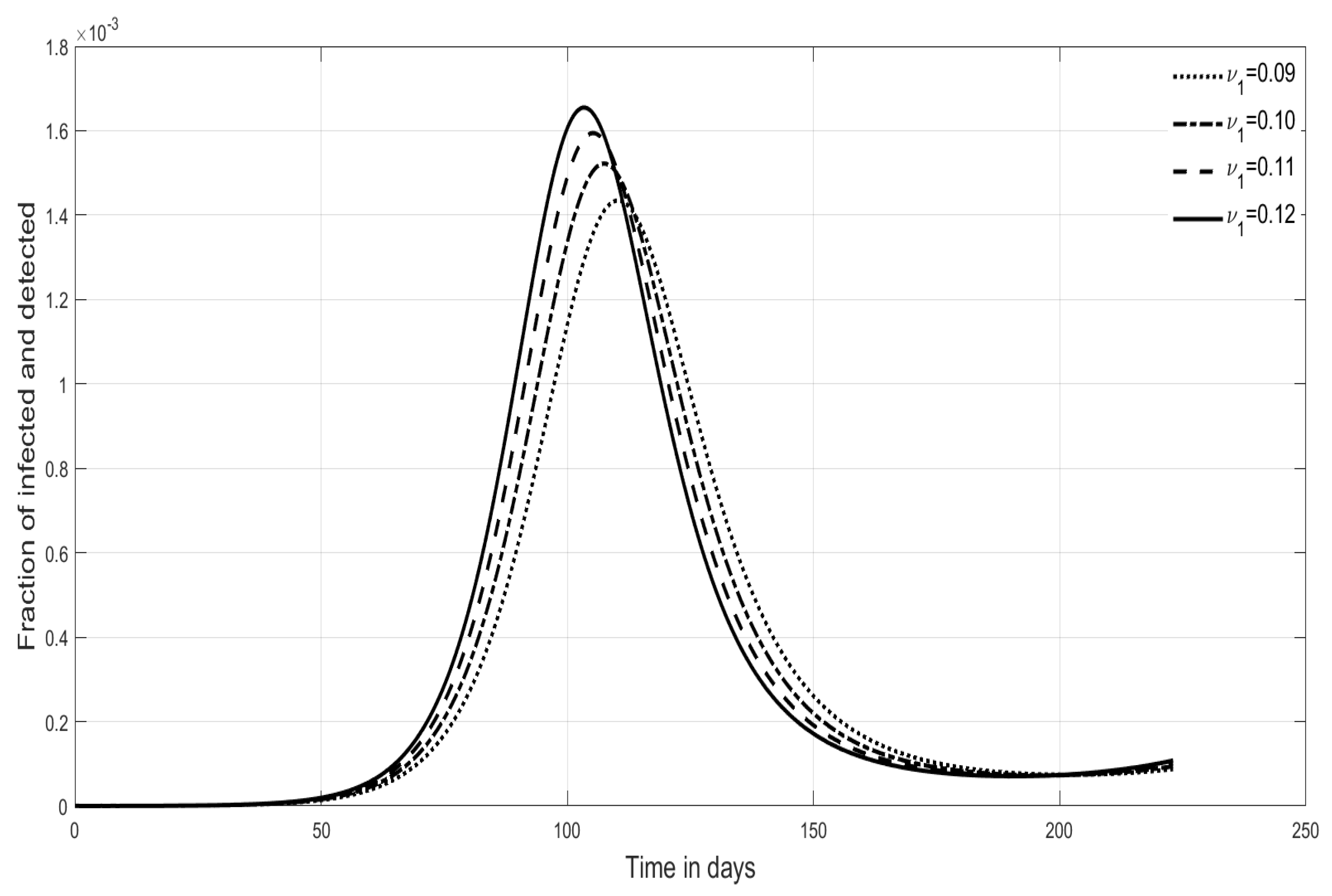
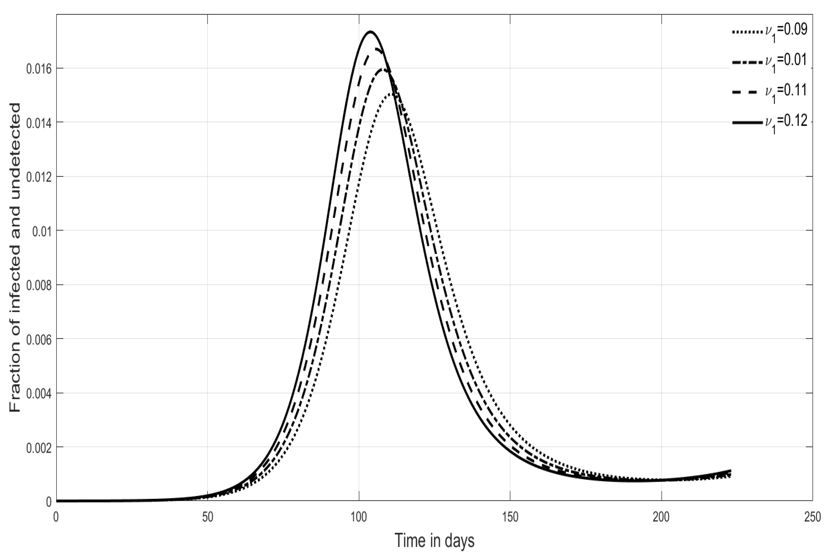
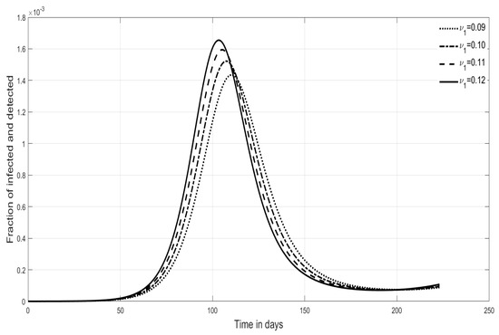
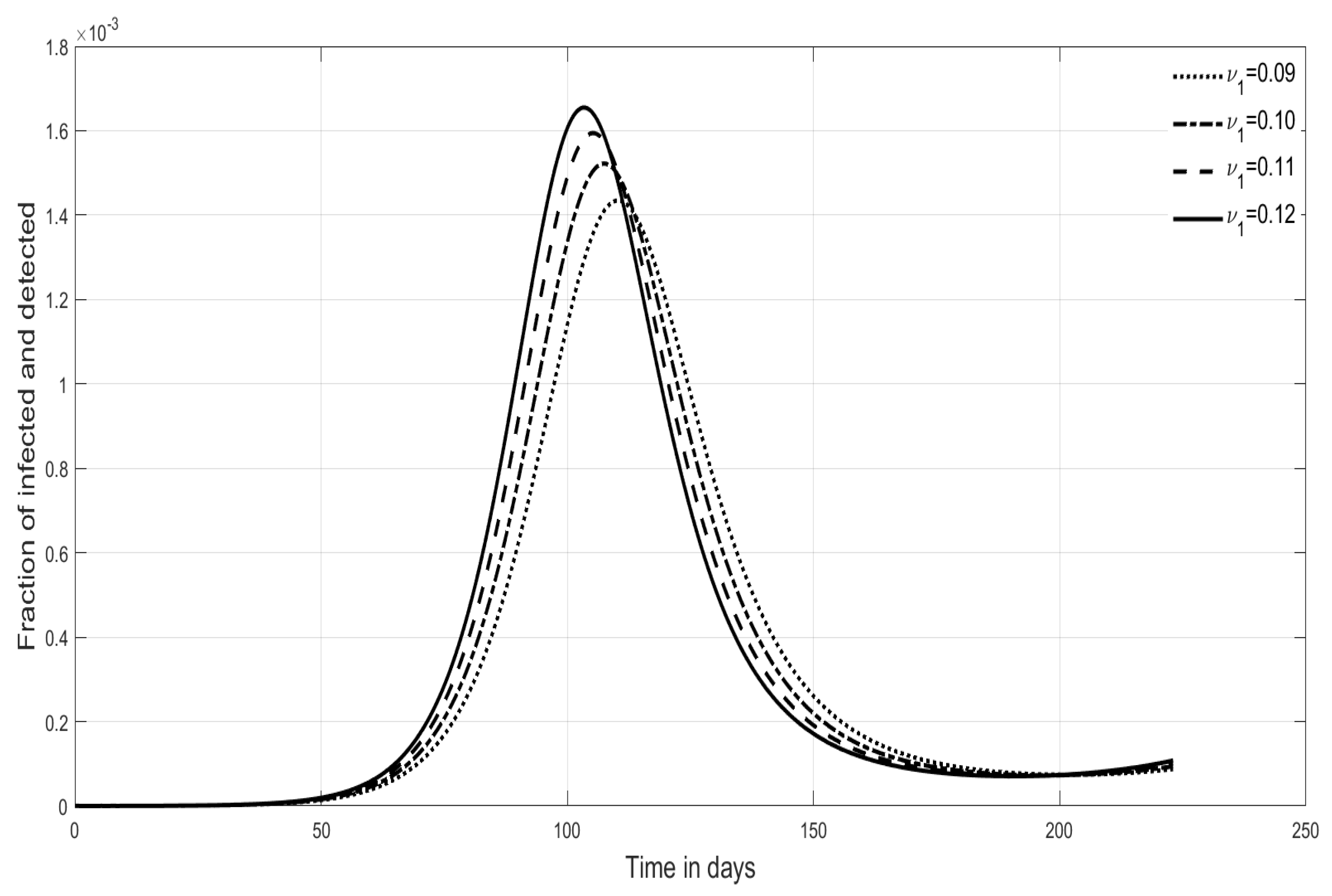
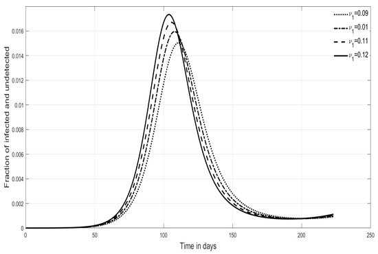
4.3. Impact of Varying Parameters and on
4.4. Impact Varying Parameters and on
5. Discussion and Conclusions
Author Contributions
Funding
Data Availability Statement
Acknowledgments
Conflicts of Interest
References
- Worldometer. COVID-19 Coronavirus Pandemic. 2022. Available online: https://www.worldometers.info/coronavirus/ (accessed on 8 April 2022).
- Schröder, M.; Bossert, A.; Kersting, M.; Aeffner, S.; Coetzee, J.; Timme, M.; Schlüter, J. COVID-19 in South Africa: Outbreak despite interventions. Sci. Rep. 2021, 11, 956. [Google Scholar] [CrossRef] [PubMed]
- U.S. Department of Health & Human Services. COVID-19 Treatments and Therapeutics. 2022. Available online: https://www.hhs.gov/coronavirus/covid-19-treatments-therapeutics/index.html (accessed on 8 April 2022).
- Fallani, S.; Voller, F.; Stasi, C.; Silvestri, C. Treatment for COVID-19: An overview. Eur. J. Pharmacol. 2020, 889, 173644. [Google Scholar]
- Olu, O.O.; Waya, J.L.L.; Maleghemi, S.; Rumunu, J.; Ameh, D.; Wamala, J.F. Moving from rhetoric to action: How Africa can use scientific evidence to halt the COVID-19 pandemic. Infect. Dis. Poverty 2020, 9, 150. [Google Scholar] [CrossRef] [PubMed]
- Haleem, A.; Javaid, M.; Vaishya, R. Effects of COVID-19 pandemic in daily life. Curr. Med. Res. Pract. 2020, 10, 78–79. [Google Scholar] [CrossRef] [PubMed]
- Liu, M.; Ning, J.; Du, Y.; Cao, J.; Zhang, D.; Wang, J.; Chen, M. Modelling the evolution trajectory of COVID-19 in Wuhan, China: Experience and suggestions. Public Health 2020, 183, 76–80. [Google Scholar] [CrossRef] [PubMed]
- Wu, J.T.; Leung, K.; Leung, G.M. Nowcasting and forecasting the potential domestic and international spread of the 2019-nCoV outbreak originating in Wuhan, China: A modelling study. Lancet 2020, 395, 689–697. [Google Scholar] [CrossRef]
- Giordano, G.; Blanchini, F.; Bruno, R.; Colaneri, P.; Di Filippo, A.; Di Matteo, A.; Colaneri, M. Modelling the COVID-19 epidemic and implementation of population-wide interventions in Italy. Nat. Med. 2020, 26, 855–860. [Google Scholar] [CrossRef]
- Siqueira, C.A.D.S.; Freitas, Y.N.L.D.; Cancela, M.D.C.; Carvalho, M.; Oliveras-Fabregas, A.; de Souza, D.L.B. The effect of lockdown on the outcomes of COVID-19 in Spain: An ecological study. PLoS ONE 2020, 15, e0236779. [Google Scholar] [CrossRef]
- Guirao, A. The Covid-19 outbreak in Spain. a simple dynamics model, some lessons, and a theoretical framework for control response. Infect. Dis. Model. 2020, 5, 652–669. [Google Scholar] [CrossRef]
- Goscé, L.; Phillips, A.; Spinola, P.; Gupta, R.K.; Abubakar, I. Modelling SARS-COV2 spread in London: Approaches to lift the lockdown. J. Infect. 2020, 82, 260–265. [Google Scholar] [CrossRef]
- Nadler, P.; Wang, S.; Arcucci, R.; Yang, X.; Guo, Y. An epidemiological modelling approach for COVID-19 via data assimilation. Eur. J. Epidemiol. 2020, 35, 749–761. [Google Scholar] [CrossRef] [PubMed]
- Stutt, R.O.; Retkute, R.; Bradley, M.; Gilligan, C.A.; Colvin, J. A modelling framework to assess the likely effectiveness of facemasks in combination with ‘lock-down’ in managing the COVID-19 pandemic. Proc. R. Soc. A Math. Phys. Eng. Sci. 2020, 476, 20200376. [Google Scholar] [CrossRef]
- Cooper, I.; Mondal, A.; Antonopoulos, C.G. A SIR model assumption for the spread of COVID-19 in different communities. Chaos Solitons Fractals 2020, 139, 110057. [Google Scholar] [CrossRef]
- Tang, Y.; Wang, S. Mathematic modeling of COVID-19 in the United States. Emerg. Microbes Infect. 2020, 9, 827–829. [Google Scholar] [CrossRef] [PubMed]
- Bertozzi, A.L.; Franco, E.; Mohler, G.; Short, M.B.; Sledge, D. The challenges of modeling and forecasting the spread of COVID-19. Proc. Natl. Acad. Sci. USA 2020, 117, 16732–16738. [Google Scholar] [CrossRef] [PubMed]
- Mbogo, R.W.; Odhiambo, J.W. COVID-19 outbreak, social distancing and mass testing in Kenya—Insights from a mathematical model. Afr. Mat. 2021, 32, 757–772. [Google Scholar] [CrossRef]
- Mbogo, R.W.; Orwa, T.O. SARS-COV-2 outbreak and control in Kenya: Insights from a mathematical model. Infect. Dis. Model. 2021, 6, 370–380. [Google Scholar]
- Rhodes, T.; Lancaster, K.; Lees, S.; Parker, M. Modelling the pandemic: Attuning models to their contexts. BMJ Glob. Health 2020, 5, e002914. [Google Scholar] [CrossRef]
- Sintunavarat, W.; Turab, A. Mathematical analysis of an extended SEIR model of COVID-19 using the ABC-fractional operator. Math. Comput. Simul. 2022, 198, 65–84. [Google Scholar] [CrossRef]
- Walters, C.E.; Meslé, M.M.; Hall, I.M. Modelling the global spread of diseases: A review of current practice and capability. Epidemics 2018, 25, 1–8. [Google Scholar] [CrossRef]
- Agusto, F.B.; Erovenko, I.V.; Fulk, A.; Abu-Saymeh, Q.; Romero-Alvarez, D.; Ponce, J.; Sindi, S.; Ortega, O.; Saint Onge, J.M.; Peterson, A.T. To isolate or not to isolate: The impact of changing behavior on COVID-19 transmission. BMC Public Health 2022, 22, 138. [Google Scholar]
- Ashour, M.; Bekiroglu, K.; Yang, C.H.; Lagoa, C.; Conroy, D.; Smyth, J.; Lanza, S. On the mathematical modeling of the effect of treatment on human physical activity. In Proceedings of the 2016 IEEE Conference on Control Applications (CCA), Buenos Aires, Argentina, 19–22 September 2016; pp. 1084–1091. [Google Scholar]
- Funk, S.; Salathé, M.; Jansen, V.A. Modelling the influence of human behaviour on the spread of infectious diseases: A review. J. R. Soc. Interface 2020, 7, 1247–1256. [Google Scholar] [CrossRef] [PubMed]
- Asamoah, J.K.K.; Jin, Z.; Sun, G.Q.; Seidu, B.; Yankson, E.; Abidemi, A.; Oduro, F.T.; Moore, S.E.; Okyere, E. Sensitivity assessment and optimal economic evaluation of a new COVID-19 compartmental epidemic model with control interventions. Chaos Solitons Fractals 2021, 146, 110885. [Google Scholar] [CrossRef] [PubMed]
- Asamoah, J.K.K.; Okyere, E.; Abidemi, A.; Moore, S.E.; Sun, G.Q.; Jin, Z.; Acheampong, E.; Gordon, J.F. Optimal control and comprehensive cost-effectiveness analysis for COVID-19. Results Phys. 2022, 33, 105177. [Google Scholar] [CrossRef]
- Asamoah, J.K.K.; Bornaa, C.S.; Seidu, B.; Jin, Z. Mathematical analysis of the effects of controls on transmission dynamics of SARS-CoV-2. Alex. Eng. J. 2020, 59, 5069–5078. [Google Scholar] [CrossRef]
- Asamoah, J.K.K.; Owusu, M.A.; Jin, Z.; Oduro, F.T.; Abidemi, A.; Gyasi, E.O. Global stability and cost-effectiveness analysis of COVID-19 considering the impact of the environment: Using data from ghana. Chaos Solitons Fractals 2020, 140, 110103. [Google Scholar] [CrossRef]
- Friston, K.J.; Parr, T.; Zeidman, P.; Razi, A.; Flandin, G.; Daunizeau, J.; Hulme, O.J.; Billig, A.J.; Litvak, V.; Price, C.J.; et al. Second waves, social distancing, and the spread of COVID-19 across America. Wellcome Open Res. 2021, 5, 103. [Google Scholar] [CrossRef]
- Pedro, S.A.; Ndjomatchoua, F.T.; Jentsch, P.; Tchuenche, J.M.; Anand, M.; Bauch, C.T. Conditions for a second wave of COVID-19 due to interactions between disease dynamics and social processes. Front. Phys. 2020, 8, 574514. [Google Scholar] [CrossRef]
- Simonsen, L.; Chowell, G.; Andreasen, V.; Gaffey, R.; Barry, J.; Olson, D.; Viboud, C. A review of the 1918 herald pandemic wave: Importance for contemporary pandemic response strategies. Ann. Epidemiol. 2018, 28, 281–288. [Google Scholar] [CrossRef]
- Baker, R.E.; Park, S.W.; Yang, W.; Vecchi, G.A.; Metcalf, C.J.E.; Grenfell, B.T. The impact of COVID-19 nonpharmaceutical interventions on the future dynamics of endemic infections. Proc. Natl. Acad. Sci. USA 2020, 117, 30547–30553. [Google Scholar] [CrossRef]
- Nyabadza, F.; Chirove, F.; Chukwu, C.W.; Visaya, M.V. Modelling the potential impact of social distancing on the COVID-19 epidemic in South Africa. Comput. Math. Methods Med. 2020, 2020, 5379278. [Google Scholar] [CrossRef] [PubMed]
- Johnston, M.D.; Pell, B. A dynamical framework for modeling fear of infection and frustration with social distancing in COVID-19 spread. Math. Biosci. Eng. 2020, 17, 7892–7915. [Google Scholar] [CrossRef] [PubMed]
- Liu, Z.; Magal, P.; Seydi, O.; Webb, G. A COVID-19 epidemic model with latency period. Infect. Dis. Model. 2020, 28, 323–337. [Google Scholar] [CrossRef] [PubMed]
- Van den Driessche, P.; Watmough, J. Reproduction numbers and sub-threshold endemic equilibria for compartmental models of disease transmission. Math. Biosci. 2002, 180, 29–48. [Google Scholar] [CrossRef]
- Castillo–Chavez, C.; Song, B. Dynamical models of tuberculosis and their applications. Math. Biosci. Eng. 2004, 1, 361. [Google Scholar] [CrossRef]
- Maluleke, R. Mid-Year Population Estimates 2021-Statistics South Africa. 2022. Available online: http://www.statssa.gov.za/publications/P0302/Mid%20year%20estimates%202021_presentation.pdf (accessed on 4 February 2022).
- Lagarias, J.C.; Reeds, J.A.; Wright, M.H.; Wright, P.E. Convergence properties of the Nelder–Mead simplex method in low dimensions. SIAM J. Optim. 1998, 9, 112–147. [Google Scholar] [CrossRef]
- Burki, T.K. Undetected COVID-19 cases in Africa. Lancet Respir. Med. 2021, 9, e121. [Google Scholar] [CrossRef]







| 2 | 1 | |
Disclaimer/Publisher’s Note: The statements, opinions and data contained in all publications are solely those of the individual author(s) and contributor(s) and not of MDPI and/or the editor(s). MDPI and/or the editor(s) disclaim responsibility for any injury to people or property resulting from any ideas, methods, instructions or products referred to in the content. |
© 2023 by the authors. Licensee MDPI, Basel, Switzerland. This article is an open access article distributed under the terms and conditions of the Creative Commons Attribution (CC BY) license (https://creativecommons.org/licenses/by/4.0/).
Share and Cite
Nyabadza, F.; Mushanyu, J.; Mbogo, R.; Muchatibaya, G. Modelling the Influence of Dynamic Social Processes on COVID-19 Infection Dynamics. Mathematics 2023, 11, 963. https://doi.org/10.3390/math11040963
Nyabadza F, Mushanyu J, Mbogo R, Muchatibaya G. Modelling the Influence of Dynamic Social Processes on COVID-19 Infection Dynamics. Mathematics. 2023; 11(4):963. https://doi.org/10.3390/math11040963
Chicago/Turabian StyleNyabadza, Farai, Josiah Mushanyu, Rachel Mbogo, and Gift Muchatibaya. 2023. "Modelling the Influence of Dynamic Social Processes on COVID-19 Infection Dynamics" Mathematics 11, no. 4: 963. https://doi.org/10.3390/math11040963
APA StyleNyabadza, F., Mushanyu, J., Mbogo, R., & Muchatibaya, G. (2023). Modelling the Influence of Dynamic Social Processes on COVID-19 Infection Dynamics. Mathematics, 11(4), 963. https://doi.org/10.3390/math11040963

