Understanding the Parameter Influence on Lesion Growth for a Mechanobiology Model of Atherosclerosis
Abstract
1. Introduction
2. Geometry
3. Mathematical Model
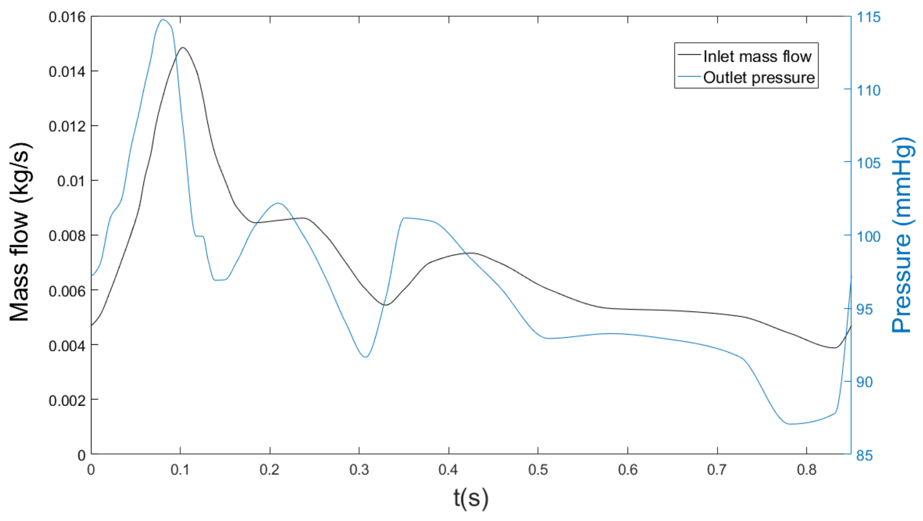
3.1. Blood Flow in the Lumen
3.2. Plasma Flow across the Endothelium
3.3. Inflammatory Process in the Arterial Wall
3.3.1. LDL
3.3.2. Oxidised LDL
3.3.3. Monocytes
3.3.4. Macrophages
3.3.5. Cytokines
3.3.6. Contractile Smooth Muscle Cells
3.3.7. Synthetic Smooth Muscle Cells
3.3.8. Foam Cells
3.3.9. Collagen Fibre
3.4. Plaque Growth
4. Numerical Methods
5. Sensitivity Analysis
6. Results
7. Discussion
8. Conclusions
Author Contributions
Funding
Data Availability Statement
Acknowledgments
Conflicts of Interest
Abbreviations
| LDL | Low-density lipoproteins |
| FC | Foam cells |
| CSMC | Contractile smooth muscle cells |
| SSMC | Synthetic smooth muscle cells |
| Wall shear stress | |
| time-averaged wall shear stress | |
| Oscillatory shear index | |
| Shape index | |
| FSI | Fluid–structure interaction |
| CFD | Computational fluid dynamics |
| BDF | Backwards differentiation formula |
| Subscripts: | |
| b | Blood |
| l | Lumen |
| p | Plasma |
| w | Arterial wall |
| Normal junctions | |
| Leaky junctions | |
| Vesicular pathways | |
| Nomenclature list: | |
| Density | |
| Dynamic viscosity | |
| Porosity | |
| k | Permeability |
| u | Velocity |
| P | Pressure |
| v | Volume |
| R | Radius |
| l | Length |
| Internal forces of blood | |
| T | Cardiac cycle period |
| Plasma flow across the endothelium | |
| Pressure drop in the endothelium | |
| Hydraulic conductivity | |
| Endothelial fraction of leaky cells | |
| Endothelial area occupied by leaky junctions | |
| Leaky junction permeability | |
| Area of a single leaky junction | |
| Endothelial cell radius | |
| Half width of a leaky junction | |
| Blood flow tangential stresses | |
| Unit area | |
| Hydraulic conductivity of a single leaky junction | |
| Length of a leaky junction | |
| N | Substances flow |
| Diffusion coefficient of the substance in the arterial wall | |
| i substance concentration | |
| Solute lag coefficient of LDL | |
| i substance flow across the endothelium | |
| LDL deposited into the arterial wall | |
| Apparent permeability | |
| Diffusive permeability of leaky junctions | |
| Diffusive permeability of a single leaky junction | |
| Reduction factor of leaky junctions | |
| Solvent-drag coefficient of leaky junctions | |
| Fraction of endothelial cells separated by leaky junctions | |
| Geometric ratio | |
| LDL molecule radius | |
| Modifies Péclet number | |
| Degradation rate of LDL | |
| LDL that a macrophage can ingest | |
| Monocyte differentiation rate | |
| Monocyte natural death | |
| Monocyte recruitment from lumen | |
| Quantity of oxLDL that a macrophage has to ingest to turn into a FC | |
| Cytokine production rate | |
| Cytokine degradation rate | |
| CSMC differentiation rate | |
| Saturation constant | |
| Cytokine threshold | |
| SSMC proliferation rate | |
| SSMC apoptosis rate | |
| Collagen secretion rate | |
| LDL | Low-density lipoproteins |
| oxLDL | Oxidised LDL |
| m | Monocyte |
| M | Macrophage |
| c | Cytokine |
| CSMC | Contractile Smooth Muscle Cells |
| SSMC | Synthetic Smooth Muscle Cells |
| FC | Foam Cells |
| Cg | Collagen |
References
- Gaziano, T.; Gaziano, J.M. Chapter 1: Global burden of cardiovascular disease. In Brunwald’s Heart Disease: A Textbook of Cardiovascular Medicine, 9th ed.; Bonow, R., Mann, D., Zupes, D.P.L., Eds.; Elsevier: Philadlephia, PA, USA, 2012. [Google Scholar]
- Libby, P.; Ridker, P.M.; Hansson, G.K. Progress and challenges in translating the biology of atherosclerosis. Nature 2011, 473, 317–325. [Google Scholar] [CrossRef] [PubMed]
- Libby, P. Inflammation during the life cycle of the atherosclerotic plaque. Cardiovasc. Res. 2021, 117, 2525–2536. [Google Scholar] [CrossRef] [PubMed]
- Cilla, M.; Peña, E.; Martínez, M.A. Mathematical modelling of atheroma plaque formation and development in coronary arteries. J. R. Soc. Interface 2014, 11, 20130866. [Google Scholar] [CrossRef] [PubMed]
- Dai, G.H.; Kaazempur-Mofrad, M.R.; Natarajan, S.; Zhang, Y.Z.; Vaughn, S.; Blackman, B.R.; Kamm, R.D.; Garcia-Gardena, G.; Gimbrone, M.A. Distinct endothelial phenotypes evoked by arterial waveforms derived from atherosclerosis-susceptible and -resistant regions of human vasculature. Proc. Natl. Acad. Sci. USA 2004, 101, 14871–14876. [Google Scholar] [CrossRef] [PubMed]
- Sáez, P.; Malvè, M.; Martínez, M.A. A theoretical model of the endothelial cell morphology due to different waveforms. J. Theor. Biol. 2015, 379, 16–23. [Google Scholar] [CrossRef]
- Alimohammadi, M.; Pichardo-Almarza, C.; Agu, O.; Díaz-Zuccarini, V. A multiscale modelling approach to understand atherosclerosis formation: A patient-specific case study in the aortic bifurcation. Proc. Inst. Mech. Eng. Part H J. Eng. Med. 2017, 231, 378–390. [Google Scholar] [CrossRef] [PubMed]
- Hernández-López, P.; Cilla, M.; Martínez, M.A.; Peña, E. Effects of the haemodynamic stimulus on the location of carotid plaque based on a patient-specific mechanobiological plaque atheroma formation model. Front. Bioeng. Biotechnol. 2021, 9, 690685. [Google Scholar] [CrossRef] [PubMed]
- Malvè, M.; Gharib, A.M.; Yazdani, S.K.; Finet, G.; Martínez, M.A.; Pettigrew, R.; Ohayon, J. Tortuosity of Coronary Bifurcation as a Potential Local Risk Factor for Atherosclerosis: CFD Steady State Study Based on In Vivo Dynamic CT Measurements. Ann. Biomed. Eng. 2014, 43, 82–93. [Google Scholar] [CrossRef] [PubMed]
- Alimohammadi, M.; Pichardo-Almarza, C.; Agu, O.; Díaz-Zuccarini, V. Development of a patient-specific multi-scale model to understand atherosclerosis and calcification locations: Comparison with in vivo data in an aortic dissection. Front. Physiol. 2016, 7, 238. [Google Scholar] [CrossRef]
- Olgac, U.; Kurtcuoglu, V.; Poulikakos, D. Computational modeling of coupled blood-wall mass transport of LDL: Effects of local wall shear stress. Am. J. Physiol. Heart Circ. Physiol. 2008, 294, 909–919. [Google Scholar] [CrossRef]
- Tomaso, G.D.; Díaz-Zuccarini, V.; Pichardo-Almarza, C. A multiscale model of atherosclerotic plaque formation at its early stage. IEEE Trans. Biomed. Eng. 2011, 58, 3460–3463. [Google Scholar] [CrossRef] [PubMed]
- Calvez, V.; Ebde, A.; Meunier, N.; Raoult, A. Mathematical modelling of the atherosclerotic plaque formation. ESAIM Proc. 2009, 28, 1–12. [Google Scholar] [CrossRef]
- Shahzad, O.; Wang, X.; Ghaffari, A.; Iqbal, K.; Hafeez, M.B.; Krawczuk, M.; Wojnicz, W. Fluid structure interaction study of non-Newtonian Casson fluid in a bifurcated channel having stenosis with elastic walls. Nat. Sci. Rep. 2022, 12, 12219. [Google Scholar] [CrossRef] [PubMed]
- Siogkas, P.; Sakellarios, A.; Exarchos, T.P.; Athanasiou, L.; Karvounis, E.; Stefanou, K.; Fotiou, E.; Fotiadis, D.I.; Naka, K.K.; Michalis, L.K.; et al. Multiscale—Patient-specific artery and atherogenesis models. IEEE Trans. Biomed. Eng. 2011, 58, 3464–3468. [Google Scholar] [CrossRef] [PubMed]
- Filipovic, N.; Teng, Z.; Radovic, M.; Saveljic, I.; Fotiadis, D.; Parodi, O. Computer simulation of three-dimensional plaque formation and progression in the carotid artery. Med. Biol. Eng. Comput. 2013, 51, 607–616. [Google Scholar] [CrossRef] [PubMed]
- Kenjereš, S.; De Loor, A. Modelling and simulation of low-density lipoprotein transport through multi-layered wall of an anatomically realistic carotid artery bifurcation. J. R. Soc. Interface 2014, 11, 20130941. [Google Scholar] [CrossRef]
- Olivares, A.L.; González Ballester, M.A.; Noailly, J. Virtual exploration of early stage atherosclerosis. Bioinformatics 2016, 32, 3798–3806. [Google Scholar] [CrossRef]
- Bhui, R.; Hayenga, H.N. An agent-based model of leukocyte transendothelial migration during atherogenesis. PLoS Comput. Biol. 2017, 13, e1005523. [Google Scholar] [CrossRef]
- Corti, A.; Chiastra, C.; Colombo, M.; Garbey, M.; Migliavaca, F.; Casarin, S. A fully coupled computational fluid dynamics—Agent based model of atherosclerotic plaque development: Multiscale modeling framework and parameter sensitivity analysis. Comput. Biol. Med. 2020, 118, 103623. [Google Scholar] [CrossRef]
- Cilla, M.; Martínez, M.A.; Peña, E. Effect of Transmural Transport Properties on Atheroma Plaque Formation and Development. Ann. Biomed. Eng. 2015, 43, 1516–1530. [Google Scholar] [CrossRef]
- Sommer, G.; Regitnig, P.; Költringer, L.; Holzapfel, G.A. Biaxial mechanical properties of intact and layer-dissected human carotid arteries at physiological and supraphysiological loadings. Am. J. Physiol. Heart Circ. Physiol. 2010, 298, 898–912. [Google Scholar] [CrossRef] [PubMed]
- De Bruyne, B.; Pijls, N.H.J.; Heyndrickx, G.R.; Hodeige, D.; Kirkeeide, R.L.; Gould, K.L. Pressure-derived fractional flow reserve to assess serial epicardial stenoses: Theoretical basis and animal validation. Circulation 2000, 101, 1840–1847. [Google Scholar] [CrossRef] [PubMed]
- Pijls, N.H.J.; De Bruyne, B.; Bech, G.J.W.; Liistro, F.; Heyndrickx, G.R.; Bonnier, J.J.R.M.; Koolen, J.J. Coronary pressure measurement to assess the hemodynamic significance of serial stenosis within one coronary-artery: Validation in humans. Circulation 2000, 102, 2371–2377. [Google Scholar] [CrossRef] [PubMed]
- Malvè, M.; Chandra, S.; García, A.; Mena, A.; Martínez, M.A.; Finol, E.A.; Doblaré, M. Impedance-based outflow boundary conditions for human carotid haemodynamics. Comput. Methods Biomech. Biomed. Eng. 2014, 17, 1248–1260. [Google Scholar] [CrossRef] [PubMed]
- Caro, C.G.; Pedley, T.J.; Schroter, R.C.; Seed, W.A.; Fung, Y.C. The Mechanics of the Circulation; Oxford University Press: Oxford, UK, 1978. [Google Scholar]
- Perktold, K.; Resch, M.; Florian, H. Pulsatile non-newtonian flow characteristics in a three-dimensional human carotid bifurcation model. J. Biomech. Eng. 1991, 113, 464–475. [Google Scholar] [CrossRef]
- Milnor, W.R. Hemodynamics, 2nd ed.; Lippincott Williams & Wilkins: Baltimore, MD, USA, 1989. [Google Scholar]
- Khaled, A.R.; Vafai, K. The role of porous media in modeling flow and heat transfer in biological tissues. Int. J. Heat Mass Transf. 2003, 46, 4989–5003. [Google Scholar] [CrossRef]
- Huang, Y.; Rumschitzki, D.; Chien, S.; Weinbaum, S. A fiber matrix model for the filtration through fenestral pores in a compressible arterial intima. Am. J. Physiol. 1997, 272, H2023–H2039. [Google Scholar] [CrossRef]
- Sun, N.; Wood, N.B.; Hughes, A.D.; Thom, S.A.; Xu, X.Y. Effects of transmural pressure and wall shear stress on LDL accumulation in the arterial wall: A numerical study using a multilayered model. Am. J. Physiol. Heart Circ. Physiol. 2007, 292, 3148–3157. [Google Scholar] [CrossRef]
- Sun, N.; Wood, N.B.; Hughes, A.D.; Thom, S.A.M.; Xu, X.Y. Fluid-wall modelling of mass transfer in an axisymmetric Stenosis: Effects of shear-dependent transport properties. Ann. Biomed. Eng. 2006, 34, 1119–1128. [Google Scholar] [CrossRef] [PubMed]
- Karner, G.; Perktold, K.; Zehentner, H.P. Computational modeling of macromolecule transport in the arterial wall. Comput. Methods Biomech. Biomed. Eng. 2001, 4, 491–504. [Google Scholar] [CrossRef]
- Kedem, O.; Katchalsky, A. Thermodynamic analysis of the permeability of biological membranes to non-electrolytes. Biochim. Biophys. Acta 1958, 27, 229–246. [Google Scholar] [CrossRef]
- Tedgui, A.; Lever, M.J. Filtration through damaged and undamaged rabbit thoracic aorta. Am. J. Physiol. Heart Circ. Physiol. 1984, 247, 784–791. [Google Scholar] [CrossRef] [PubMed]
- Huang, Y.; Rumschitzki, D.; Chien, S.; Weinbaum, S. A fiber matrix model for the growth of macromolecular leakage spots in the arterial intima. J. Biomech. Eng. 1994, 116, 430–445. [Google Scholar] [CrossRef] [PubMed]
- Huang, Z.J.; Tarbell, J.M. Numerical simulation of mass transfer in porous media of blood vessel walls. Am. J. Physiol. Heart Circ. Physiol. 1997, 273, H464–H477. [Google Scholar] [CrossRef] [PubMed]
- Weinbaum, S.; Tzeghai, G.; Ganatos, P.; Pfeffer, R.; Chien, S. Effect of cell turnover and leaky junctions on arterial macromolecular transport. Am. Physiol. Soc. 1985, 248, 945–960. [Google Scholar] [CrossRef] [PubMed]
- Yuan, F.; Chien, S.; Weinbaum, S. A new view of convective-diffusive transport processes in the arterial intima. J. Biomech. Eng. 1991, 113, 314–329. [Google Scholar] [CrossRef] [PubMed]
- Levesque, M.J.; Liepsch, D.; Moravec, S.; Nerem, R.M. Correlation of Endothelial Cell Shape and Wall Shear Stress in a Stenosed Dog Aorta. Am. Heart Assoc. J. 1986, 6, 220–229. [Google Scholar] [CrossRef] [PubMed]
- Zhao, S.Z.; Ariff, B.; Long, Q.; Hughes, A.D.; Thom, S.A.; Stanton, A.V.; Xu, X.Y. Inter-individual variations in wall shear stress and mechanical stress distributions at the carotid artery bifurcation of healthy humans. J. Biomech. 2002, 35, 1367–1377. [Google Scholar] [CrossRef]
- Younis, H.F.; Kaazempur-Mofrad, M.R.; Chan, R.C.; Isasi, A.G.; Hinton, D.P.; Chau, A.H.; Kim, L.A.; Kamm, R.D. Hemodynamics and wall mechanics in human carotid bifurcation and its consequences for atherogenesis: Investigation of inter-individual variation. Biomech. Model. Mechanobiol. 2004, 3, 17–32. [Google Scholar] [CrossRef]
- Chien, S. Molecular and mechanical bases of focal lipid accumulation in arterial wall. Prog. Biophys. Mol. Biol. 2003, 83, 131–151. [Google Scholar] [CrossRef]
- Lin, S.J.; Jan, K.M.; Weinbaum, S.; Chien, S. Transendothelial transport of low density lipoprotein in association with cell mitosis in rat aorta. Arteriosclerosis 1989, 9, 230–236. [Google Scholar] [CrossRef] [PubMed]
- Prosi, M.; Zunino, P.; Perktold, K.; Quarteroni, A. Mathematical and numerical models for transfer of low-density lipoproteins through the arterial walls: A new methodology for the model set up with applications to the study of disturbed lumenal flow. J. Biomech. 2005, 38, 903–917. [Google Scholar] [CrossRef] [PubMed]
- Ai, L.; Vafai, K. A coupling model for macromolecule transport in a stenosed arterial wall. Int. J. Heat Mass Transf. 2006, 49, 1568–1591. [Google Scholar] [CrossRef]
- Cilla, M. Mechanical Effects on the Atheroma Plaque Appearance, Growth and Vulnerability. Ph.D. Thesis, University of Zaragoza, Zaragoza, Spain, 2012. [Google Scholar]
- Khan, F.H. The Elements of Immunology; Pearson Education: Delhi, India, 2009. [Google Scholar]
- Meyer, G.; Merval, R.; Tedgui, A. Effects of pressure-induced stretch and convection on low-density lipoprotein and albumin uptake in the rabbit aortic wall. Circ. Res. 1996, 79, 532–540. [Google Scholar] [CrossRef] [PubMed]
- Tarbell, J.M. Mass Transport in Arteries and the Localization of Atherosclerosis. Annu. Rev. Biomed. Eng. 2003, 5, 79–118. [Google Scholar] [CrossRef]
- Hu, X.; Weinbaum, S. A new view of Starling’s hypothesis at the microstructural level. Microvasc. Res. 1999, 58, 281–304. [Google Scholar] [CrossRef]
- Ogunrinade, O.; Kameya, G.T.; Truskey, G.A. Effect of Fluid Shear Stress on the Permeability of the Arterial Entohelium. Ann. Biomed. Eng. 2002, 30, 430–446. [Google Scholar] [CrossRef]
- Bulelzai, M.A.K.; Dubbeldam, J.L.A. Long time evolution of atherosclerotic plaque. J. Theor. Biol. 2012, 297, 1–10. [Google Scholar] [CrossRef]
- Krstic, R.V. Human Microscopic Anatomy: An Atlas for Students of Medicine and Biology; Springer: Berlin/Heidelberg, Germany, 1997. [Google Scholar]
- Zhao, B.; Li, Y.; Buono, C.; Waldo, S.W.; Jones, N.L.; Mori, M.; Kruth, H.S. Constitutive receptor-independent low density lipoprotein uptake and cholesterol accumulation by macrophages differentiated from human monocytes with macrophage-colony-stimulating factor (M-CSF). J. Biol. Chem. 2006, 281, 15757–15762. [Google Scholar] [CrossRef]
- Zhao, W.; Oskeritzian, C.A.; Pozez, A.L.; Schwartz, L.B. Cytokine Production by Skin-Derived Mast Cells: Endogenous Proteases Are Responsible for Degradation of Cytokines. J. Immunol. 2005, 175, 2635–2642. [Google Scholar] [CrossRef]
- Budu-Grajdeanu, P.; Schugart, R.C.; Friedman, A.; Valentine, C.; Agarwal, A.K.; Rovin, B.H. A mathematical model of venous neointimal hyperplasia formation. Theor. Biol. Med. Model. 2008, 5, 1–9. [Google Scholar] [CrossRef] [PubMed]
- Zahedmanesh, H.; Van Oosterwyck, H.; Lally, C. A multi-scale mechanobiological model of in-stent restenosis: Deciphering the role of matrix metalloproteinase and extracellular matrix changes. Comput. Methods Biomech. Biomed. Eng. 2014, 17, 813–828. [Google Scholar] [CrossRef]
- Escuer, J.; Martínez, M.A.; McGinty, S.; Peña, E. Mathematical modelling of the restenosis process after stent implantation. J. R. Soc. Interface 2019, 16, 20190313. [Google Scholar] [CrossRef]
- Steinberg, D.; Khoo, J.C.; Glass, C.K.; Palinski, W.; Almazan, F. A new approach to determining the rates of recruitment of circulating leukocytes into tissues: Application to the measurement of leukocyte recruitment into atherosclerotic lesions. Proc. Natl. Acad. Sci. USA 1997, 94, 4040–4044. [Google Scholar] [CrossRef] [PubMed]
- Kockx, M.M.; Muhring, J.; Bortier, H.; De Meyer, G.R.Y.; Jacob, W. Biotin- or digoxigenin-conjugated nucleotides bind to matrix vesicles in atherosclerotic plaque. Am. J. Pathol. 1996, 148, 1771–1777. [Google Scholar] [PubMed]
- Ivanova, E.A.; Myasoedova, V.A.; Melnichenko, A.A.; Grechko, A.V.; Orekhov, A.N. Small Dense Low-Density Lipoprotein as Biomarker for Atherosclerotic Diseases. Oxidative Med. Cell. Longev. 2017, 2017, 1273042. [Google Scholar] [CrossRef]
- Dabagh, M.; Jalali, P.; Konttinen, Y.T. The study of wall deformation and flow distribution with transmural pressure by three-dimensional model of thoracic aorta wall. Med. Eng. Phys. 2009, 31, 816–824. [Google Scholar] [CrossRef]
- Krombach, F.; Münzing, S.; Allmeling, A.M.; Gerlach, J.T.; Behr, J.; Dörger, M. Cell size of alveolar macrophagues: an interspecies comparison. Environ. Health Perspect. 1997, 105, 1261–1263. [Google Scholar]
- Cannon, G.J.; Swanson, J.A. The macrophage capacity for phagocytosis. J. Cell Sci. 1992, 101, 907–913. [Google Scholar] [CrossRef]
- Sáez, P.; Peña, E.; Ángel Martínez, M.; Kuhl, E. Mathematical modeling of collagen turnover in biological tissue. J. Math. Biol. 2013, 67, 1765–1793. [Google Scholar] [CrossRef]
- Le Floc’h, S.; Ohayon, J.; Tracqui, P.; Finet, G.; Gharib, A.M.; Maurice, R.L.; Cloutier, G.; Pettigrew, R.I. Vulnerable Atherosclerotic Plaque Elasticity Reconstruction Based on a Segmentation-Driven Optimization Procedure Using Strain Measurements: Theoretical Framework. IEEE Trans. Med. Imaging 2009, 28, 1126–1137. [Google Scholar] [CrossRef] [PubMed]
- Pan, J.; Cai, Y.; Wang, L.; Maehara, A.; Mintz, G.; Tang, D.; Li, Z. A prediction tool for plaque progression based on patient-specific multi-physical modeling. PLoS Comput. Biol. 2021, 17, e1008344. [Google Scholar] [CrossRef]
- Fuster, V.; Moreno, P.R.; Fayad, Z.A.; Corti, R.; Badimon, J.J. Atherothrombosis and High-Risk Plaque: Part I: Evolving Concepts. J. Am. Coll. Cardiol. 2005, 46, 937–954. [Google Scholar] [CrossRef] [PubMed]
- Virmani, R.; Burke, A.P.; Farb, A.; Kolodgie, F.D. Pathology of the Vulnerable Plaque. J. Am. Coll. Cardiol. 2006, 47, C13–C18. [Google Scholar] [CrossRef] [PubMed]





| Blood Flow Parameters | |||
|---|---|---|---|
| Parameter | Description | Value | Reference |
| Blood density | Milnor [28] | ||
| Blood viscosity | Milnor [28] | ||
| T | Cardiac cycle period | s | Malvè et al. [25] |
| Plasma Flow Parameters | |||
|---|---|---|---|
| Param. | Description | Value | Reference |
| Endothelial cell radius | m | Weinbaum et al. [38] | |
| Half-width of a leaky junction | nm | Weinbaum et al. [38] | |
| Leaky junction length | m | Weinbaum et al. [38] | |
| Plasma density | Milnor [28] | ||
| Plasma viscosity | Milnor [28] | ||
| Darcian artery permeability | 1.2 m | Huang et al. [36], Prosi et al. [45] | |
| Intima porosity | 0.96 | Ai and Vafai [46] | |
| Normal junction conductivity | Tedgui and Lever [35] | ||
| Endothelial pressure difference | 20.727 mmHg | Tedgui and Lever [35] | |
| Unit area for the exp. correlations | mm | Chien [43] | |
| Pressure of the adventitia | mmHg | Olgac et al. [11] | |
| Inflammatory Process Parameters | |||
|---|---|---|---|
| Parameter | Description | Value | Reference |
| LDL radial diff. coeff. | Prosi et al. [45] | ||
| Monocyte radial diff. coeff. | Cilla et al. [4] | ||
| Ox. LDL radial diff. coeff. | Prosi et al. [45] | ||
| Macroph. radial diff. coeff. | Cilla et al. [4] | ||
| LDL oxidation | s | Ai and Vafai [46] | |
| Monocyte differentiation | s | Bulelzai and Dubbeldam [53] | |
| Monocyte natural death | d | Krstic [54] | |
| OxLDL uptake | Zhao et al. [55] | ||
| Max. oxLDL uptake | Hernández-López et al. [8] | ||
| Cytokine production | Cilla et al. [4] | ||
| Cytokine degradation | s | Zhao et al. [56] | |
| SMC’s differentiation | d | Cilla et al. [4] | |
| SSMC’s proliferation | d | Budu-Grajdeanu et al. [57] | |
| Collagen production | Zahedmanesh et al. [58] | ||
| Half-width of a leaky junct. | nm | Weinbaum et al. [38] | |
| Leaky junction length | m | Weinbaum et al. [38] | |
| LDL radius | nm | Tarbell [50] | |
| Cytokine threshold | Hernández-López et al. [8] | ||
| LDL initial conc. | Cilla [47] | ||
| Monocyte initial conc. | [48] | ||
| CSMC initial conc. | Escuer et al. [59] | ||
| LDL conc. at adventitia | ‰ | Meyer et al. [49] | |
| Cytokine threshold factor | Hernández-López et al. [8] | ||
| LDL at the endothelium | Meyer et al. [49] | ||
| Monocyte recruitment | Steinberg et al. [60] | ||
| SSMC apoptosis rate | s | Kockx et al. [61] | |
| LDL density | Ivanova et al. [62] | ||
| LDL molecular weight | Cilla [47] | ||
| Solute lag coefficient of LDL | Dabagh et al. [63] | ||
| Plaque Growth Parameters | |||
|---|---|---|---|
| Parameter | Description | Value | Reference |
| Foam cell radius | m | Krombach et al. [64], Cannon and Swanson [65] | |
| SMC radius | m | Cilla et al. [4] | |
| SMC length | m | Cilla et al. [4] | |
| Collagen density | Sáez et al. [66] | ||
| Parameter | Description | Value −10% | Mean Value | Value +10% |
|---|---|---|---|---|
| LDL and oxLDL diff. coeff. | ||||
| ) | Monocyte and macrophage diff. coeff. | |||
| LDL oxidation | ||||
| Monocyte differentiation | ||||
| Monocyte death | ||||
| OxLDL uptake | ||||
| Max. oxLDL uptake | ||||
| Cytokine production | ||||
| Cytokine degradation | ||||
| SMC differentiation | ||||
| SSMC proliferation | ||||
| Collagen production | ||||
| Cytokine threshold | ||||
| Monocyte recruitment | ||||
| SSMC apoptosis rate |
| Parameter | FC Volume Variation (%) | SSMC Volume Variation (%) | Cg Volume Variation (%) | SR Variation (%) | ||||
|---|---|---|---|---|---|---|---|---|
| −25% | +25% | −25% | +25% | −25% | +25% | −25% | +25% | |
| 7.35 | −5.65 | >100 | −92.81 | >100 | −74.38 | - | −36.61 | |
| 4.82 | −4.07 | >100 | −43.43 | >100 | −39.57 | - | −19.71 | |
| −20.29 | 18.51 | −99.89 | >100 | −93.98 | >100 | −82.68 | - | |
| −0.98 | 0.63 | −42.43 | 21.00 | −31.32 | 15.33 | −7.28 | 4.69 | |
| 0.23 | −1.09 | 15.32 | −34.09 | 12.95 | −29.32 | 7.90 | −8.16 | |
| −3.73 | 2.90 | >100 | −99.89 | >100 | −93.27 | - | −12.99 | |
| 48.43 | −36.00 | −0.21 | 0.13 | −0.10 | 0.24 | >100 | −77.22 | |
| 0 | 0 | −99.89 | >100 | −95.52 | >100 | −22.05 | - | |
| 0 | 0 | >100 | −99.89 | >100 | −94.14 | - | −21.95 | |
| 0 | 0 | −5.50 | 6.46 | −7.48 | 7.71 | −0.64 | 0.032 | |
| 0 | 0 | −99.89 | >100 | −96.88 | >100 | −22.17 | - | |
| 0 | 0 | 0 | 0 | −24.54 | 48.32 | −1.08 | 2.09 | |
| 0 | 0 | >100 | −99.89 | >100 | −94.14 | - | −21.96 | |
| −3.77 | 3.75 | −41.23 | >100 | −35.02 | >100 | −20.83 | - | |
| 0 | 0 | >100 | −99.91 | >100 | −96.72 | - | −22.19 | |
| Parameter | FC Volume Variation (%) | SSMC Volume Variation (%) | Cg Volume Variation (%) | SR Variation (%) | ||||
|---|---|---|---|---|---|---|---|---|
| −10% | +10% | −10% | +10% | −10% | +10% | −10% | +10% | |
| 2.69 | −2.42 | >100 | −67.85 | >100 | −48.60 | - | −21.31 | |
| 2.32 | −1.32 | >100 | −13.45 | >100 | −9.32 | - | −11.23 | |
| −7.89 | 7.60 | −97.67 | >100 | −81.81 | >100 | −45.91 | - | |
| −0.54 | 0.32 | −25.54 | 12.55 | −19.89 | 8.35 | −2.67 | 2.10 | |
| 0.05 | −0.43 | 7.65 | −25.43 | 4.56 | −20.88 | 3.91 | −3.06 | |
| −1.36 | 1.23 | >100 | −97.85 | >100 | −82.55 | − | −9.61 | |
| 15.50 | −11.52 | −0.07 | 0.04 | −0.03 | 0.08 | 57.57 | −26.82 | |
| 0 | 0 | −99.13 | >100 | −86.56 | >100 | −21.31 | - | |
| 0 | 0 | >100 | −98.69 | >100 | −84.93 | - | −21.16 | |
| 0 | 0 | −1.17 | 1.38 | −1.59 | 1.64 | −0.13 | 0.007 | |
| 0 | 0 | −99.89 | >100 | −91.40 | >100 | −21.75 | - | |
| 0 | 0 | 0 | 0 | −4.50 | 8.77 | −0.19 | 0.36 | |
| 0 | 0 | >100 | −98.69 | >100 | −84.93 | - | −21.15 | |
| −0.26 | 0.26 | −2.89 | >100 | −2.45 | 67.59 | −1.49 | - | |
| 0 | 0 | >100 | −99.90 | >100 | −91.14 | - | −21.77 | |
Disclaimer/Publisher’s Note: The statements, opinions and data contained in all publications are solely those of the individual author(s) and contributor(s) and not of MDPI and/or the editor(s). MDPI and/or the editor(s) disclaim responsibility for any injury to people or property resulting from any ideas, methods, instructions or products referred to in the content. |
© 2023 by the authors. Licensee MDPI, Basel, Switzerland. This article is an open access article distributed under the terms and conditions of the Creative Commons Attribution (CC BY) license (https://creativecommons.org/licenses/by/4.0/).
Share and Cite
Hernández-López, P.; Martínez, M.A.; Peña, E.; Cilla, M. Understanding the Parameter Influence on Lesion Growth for a Mechanobiology Model of Atherosclerosis. Mathematics 2023, 11, 829. https://doi.org/10.3390/math11040829
Hernández-López P, Martínez MA, Peña E, Cilla M. Understanding the Parameter Influence on Lesion Growth for a Mechanobiology Model of Atherosclerosis. Mathematics. 2023; 11(4):829. https://doi.org/10.3390/math11040829
Chicago/Turabian StyleHernández-López, Patricia, Miguel A. Martínez, Estefanía Peña, and Myriam Cilla. 2023. "Understanding the Parameter Influence on Lesion Growth for a Mechanobiology Model of Atherosclerosis" Mathematics 11, no. 4: 829. https://doi.org/10.3390/math11040829
APA StyleHernández-López, P., Martínez, M. A., Peña, E., & Cilla, M. (2023). Understanding the Parameter Influence on Lesion Growth for a Mechanobiology Model of Atherosclerosis. Mathematics, 11(4), 829. https://doi.org/10.3390/math11040829

