A New COVID-19 Pandemic Model including the Compartment of Vaccinated Individuals: Global Stability of the Disease-Free Fixed Point
Abstract
1. Introduction
2. A New Compartment Model including Vaccinated Individuals
3. Existence, Positivity and Invariant Region
3.1. Existence and Uniqueness
3.2. Positivity and Invariant Region
4. Fixed Points and Basic Reproduction Number
4.1. Fixed Points
4.2. Basic Reproduction Number
5. Stability Analysis of the Disease-Free Fixed Point
5.1. Local Stability
5.2. Global Stability
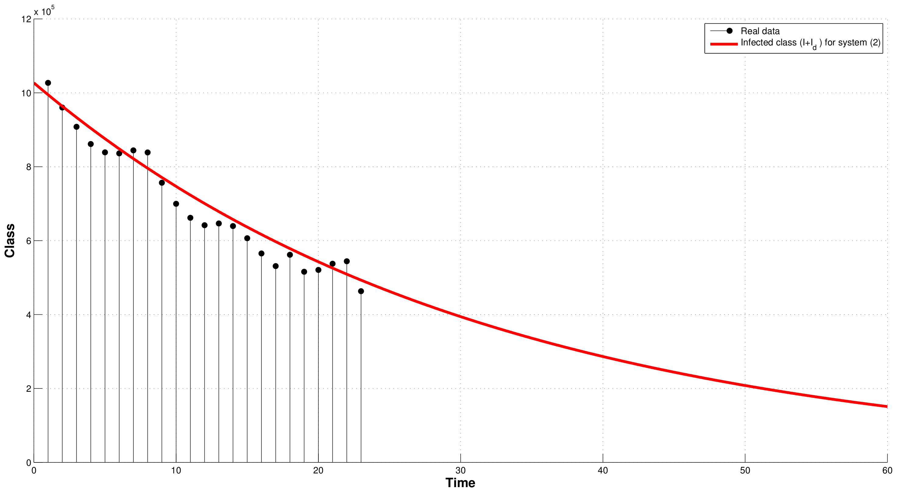
6. Numerical Simulations
7. Conclusions
Author Contributions
Funding
Institutional Review Board Statement
Informed Consent Statement
Data Availability Statement
Conflicts of Interest
References
- Thanin, S.; Anwar, Z.; Saowaluck, C.; Zohreh, E.; Mouhcine, T.; Salih, D. Analysis of a discrete mathematical COVID-19 model. Results Phys. 2021, 28, 104668. [Google Scholar]
- Kermack, W.; McKendrick, A. Contributions to the mathematical theory of epidemics. Proc. R. Soc. A 1927, 115, 700–721. [Google Scholar]
- DInnocenzo, A.; Paladini, F.; Renna, L. A numerical investigation of discrete oscillating epidemic models. Physica A 2006, 364, 497–512. [Google Scholar] [CrossRef]
- Albadarneh, R.B.; Batiha, I.M.; Ouannas, A.; Momani, S. Modeling COVID-19 pandemic outbreak using fractional-order systems. Int. J. Math. Comput. Sci. 2021, 16, 1405–1421. [Google Scholar]
- Djenina, N.; Ouannas, A.; Batiha, I.M.; Grassi, G.; Oussaeif, T.E.; Momani, S. A novel fractional-order discrete SIR model for predicting COVID-19 behavior. Mathematics 2022, 10, 2224. [Google Scholar] [CrossRef]
- Batiha, I.M.; Momani, S.; Ouannas, A.; Momani, Z.; Hadid, S.B. Fractional-order COVID-19 pandemic outbreak: Modeling and stability analysis IM Batiha. Int. J. Biomath. 2022, 15, 2150090. [Google Scholar] [CrossRef]
- Batiha, I.M.; Al-Nana, A.A.; Albadarneh, R.B.; Ouannas, A.; Al-Khasawneh, A.; Momani, S. Fractional-order coronavirus models with vaccination strategies impacted on Saudi Arabia’s infections. AIMS Math. 2022, 7, 12842–12858. [Google Scholar] [CrossRef]
- Giordano, G.; Blanchini, F.; Bruno, R.; Colaneri, P.; Di Filippo, A.; Di Matteo, A.; Colaneri, M. Modelling the COVID-19 epidemic and implementation of population-wide interventions in Italy. Nat. Med. 2020, 26, 855–860. [Google Scholar] [CrossRef]
- Ajbar, A.; Alqahtani, R.T.; Boumaza, M. Dynamics of an SIR-Based COVID-19 Model with Linear Incidence Rate, Nonlinear Removal Rate, and Public Awareness. Front. Phys. 2021, 9, 634251. [Google Scholar] [CrossRef]
- Marinov, T.T.; Marinova, R.S. Dynamics of COVID-19 using inverse problem for coefficient identification in SIR epidemic models. Chaos Solitons Fractals X 2020, 5, 100041. [Google Scholar] [CrossRef]
- JWu, J.T.; Leung, K.; Bushman, M.; Kishore, N.; Niehus, R.; de Salazar, P.M.; Cowling, B.J.; Lipsitch, M.; Leung, G.M. Estimating clinical severity of COVID-19 from the transmission dynamics in Wuhan, China. Nat. Med. 2020, 26, 506–510. [Google Scholar]
- Gounane, S.; Barkouch, Y.; Atlas, A.; Bendahmane, M.; Karami, F.; Meskine, D. An adaptive social distancing SIR model for COVID-19 disease spreading and forecasting. Epidemiol. Methods 2021, 10, 20200044. [Google Scholar] [CrossRef]
- Mangiarotti, S.; Peyre, M.; Zhang, Y.; Huc, M.; Roger, F.; Kerr, Y. Chaos theory applied to the outbreak of COVID-19: An ancillary approach to decision making in pandemic context. Epidemiol. Infect. 2020, 148, 1–29. [Google Scholar] [CrossRef]
- Debbouche, N.; Ouannas, A.; Batiha, I.M.; Grassi, G. Chaotic dynamics in a novel COVID-19 pandemic model described by commensurate and incommensurate fractional-order derivatives. Nonlinear Dyn. 2022, 109, 33–45. [Google Scholar] [CrossRef]
- De Carvalho, J.P.M.; Moreira-Pinto, B. A fractional-order model for CoViD-19 dynamics with reinfection and the importance of quarantine. Chaos Solitons Fractals 2021, 151, 111275. [Google Scholar] [CrossRef]
- Mohammadi, H.; Rezapour, S.; Jajarmi, A. On the fractional SIRD mathematical model and control for the transmission of COVID-19: The first and the second waves of the disease in Iran and Japan. ISA Trans. 2021, 124, 103–114. [Google Scholar] [CrossRef]
- Biala, T.A.; Khaliq, A.Q.M. A fractional-order compartmental model for the spread of the COVID-19 pandemic. Commun. Nonlinear Sci. Numer. Simul. 2021, 98, 105764. [Google Scholar] [CrossRef]
- Panwar, V.S.; Uduman, P.S.; Gómez-Aguilar, J.F. Mathematical modeling of coronavirus disease COVID-19 dynamics using CF and ABC non-singular fractional derivatives. Chaos Solitons Fractals 2021, 145, 110757. [Google Scholar] [CrossRef]
- Chatterjee, A.N.; Ahmad, B. A fractional-order differential equation model of COVID-19 infection of epithelial cells. Chaos Solitons Fractals 2021, 147, 110952. [Google Scholar] [CrossRef]
- Gozalpour, N.; Badfar, E.; Nikoofard, A. Transmission dynamics of novel coronavirus sars-cov-2 among healthcare workers, a case study in Iran. Nonlinear Dyn. 2021, 105, 3749–3761. [Google Scholar] [CrossRef]
- De la Sen, M.; Alonso-Quesada, S.; Ibeas, A. On a discrete SEIR epidemic model with exposed infectivity, feedback vaccination and partial delayed re-susceptibility. Mathematics 2021, 9, 520. [Google Scholar] [CrossRef]
- Kumar, P.; Erturk, V.S.; Murillo-Arcila, M. A new fractional mathematical modelling of COVID-19 with the availability of vaccine. Results Phys. 2021, 24, 104213. [Google Scholar] [CrossRef] [PubMed]
- De la Sen, M.; Ibeas, A. On an SE(Is)(Ih)AR epidemic model with combined vaccination and antiviral controls for COVID-19 pandemic. Adv. Differ. Equ. 2021, 2021, 92. [Google Scholar] [CrossRef] [PubMed]
- De la Sen, M.; Ibeas, A.; Nistal, R. About partial reachability issues in an SEIR epidemic model and related infectious disease tracking in finite time under vaccination and treatment controls. Disc. Dyn. Nat. Soc. 2021, 2021, 1026–1226. [Google Scholar] [CrossRef]
- Omame, A.; Okuonghae, D.; Nwajeri, U.K.; Onyenegecha, C.P. A fractional-order multi-vaccination model for COVID-19 with non-singular kernel. Alex. Eng. J. 2022, 61, 6089–6104. [Google Scholar] [CrossRef]
- Badfar, E.; Zaferani, E.J.; Nikoofard, A. Design a robust sliding mode controller based on the state and parameter estimation for the nonlinear epidemiological model of COVID-19. Nonlinear Dyn. 2021, 109, 5–18. [Google Scholar] [CrossRef]
- Rajaei, A.; Raeiszadeh, M.; Azimi, V.; Sharifi, M. State estimation-based control of covid-19 epidemic before and after vaccine development. J. Process Control. 2021, 102, 1–14. [Google Scholar] [CrossRef]
- Feng, Z.; Li, F.; Lv, Y.; Zhang, S. A note on Cauchy-Lipschitz-Picard theorem. J. Inequal Appl. 2016, 271. [Google Scholar] [CrossRef]
- Andrica, D.; Rassias, T.M. Differential and Integral Inequalities; Springer Optimization and Its Applications; Springer: Berlin, Germany, 2019; Volume 151. [Google Scholar]
- Van den Driessche, P.; Watmough, J. Reproduction numbers and sub-threshold endemic equilibria for compartmental models of disease transmission. Math. Biosci. 2002, 180, 29–48. [Google Scholar] [CrossRef]
- Castillo-Chavez, C.; Feng, Z.; Huang, W. Mathematical approaches for emerging and reemerging infectious diseases: An introduction. In Proceedings of the IMA; Springer: Berlin/Heidelberg, Germany; New York, NY, USA, 2002; pp. 229–250. [Google Scholar]
- Available online: https://www.worldometers.info (accessed on 19 August 2022).



Disclaimer/Publisher’s Note: The statements, opinions and data contained in all publications are solely those of the individual author(s) and contributor(s) and not of MDPI and/or the editor(s). MDPI and/or the editor(s) disclaim responsibility for any injury to people or property resulting from any ideas, methods, instructions or products referred to in the content. |
© 2023 by the authors. Licensee MDPI, Basel, Switzerland. This article is an open access article distributed under the terms and conditions of the Creative Commons Attribution (CC BY) license (https://creativecommons.org/licenses/by/4.0/).
Share and Cite
Al-Shbeil, I.; Djenina, N.; Jaradat, A.; Al-Husban, A.; Ouannas, A.; Grassi, G. A New COVID-19 Pandemic Model including the Compartment of Vaccinated Individuals: Global Stability of the Disease-Free Fixed Point. Mathematics 2023, 11, 576. https://doi.org/10.3390/math11030576
Al-Shbeil I, Djenina N, Jaradat A, Al-Husban A, Ouannas A, Grassi G. A New COVID-19 Pandemic Model including the Compartment of Vaccinated Individuals: Global Stability of the Disease-Free Fixed Point. Mathematics. 2023; 11(3):576. https://doi.org/10.3390/math11030576
Chicago/Turabian StyleAl-Shbeil, Isra, Noureddine Djenina, Ali Jaradat, Abdallah Al-Husban, Adel Ouannas, and Giuseppe Grassi. 2023. "A New COVID-19 Pandemic Model including the Compartment of Vaccinated Individuals: Global Stability of the Disease-Free Fixed Point" Mathematics 11, no. 3: 576. https://doi.org/10.3390/math11030576
APA StyleAl-Shbeil, I., Djenina, N., Jaradat, A., Al-Husban, A., Ouannas, A., & Grassi, G. (2023). A New COVID-19 Pandemic Model including the Compartment of Vaccinated Individuals: Global Stability of the Disease-Free Fixed Point. Mathematics, 11(3), 576. https://doi.org/10.3390/math11030576

