Fast Calculation of Supercritical Carbon Dioxide Flow, Heat Transfer Performance, and Mass Flow Rate Matching Optimization of Printed Circuit Heat Exchangers Used as Recuperators
Abstract
:1. Introduction
2. Mathematical Model and Result Verification
2.1. Mathematical Model
- (1)
- The velocity only changes in the mainstream direction;
- (2)
- The physical parameters are evenly distributed in the cross-section;
- (3)
- The cross-section area is identical everywhere along the channel length;
- (4)
- The effects of gravity are ignored;
- (5)
- The heat losses to the environment are ignored.
2.2. Verification of Results
3. Results and Analysis
3.1. Effect of Mass Flow Rate on the Flow and Heat Transfer Performance of PCHE
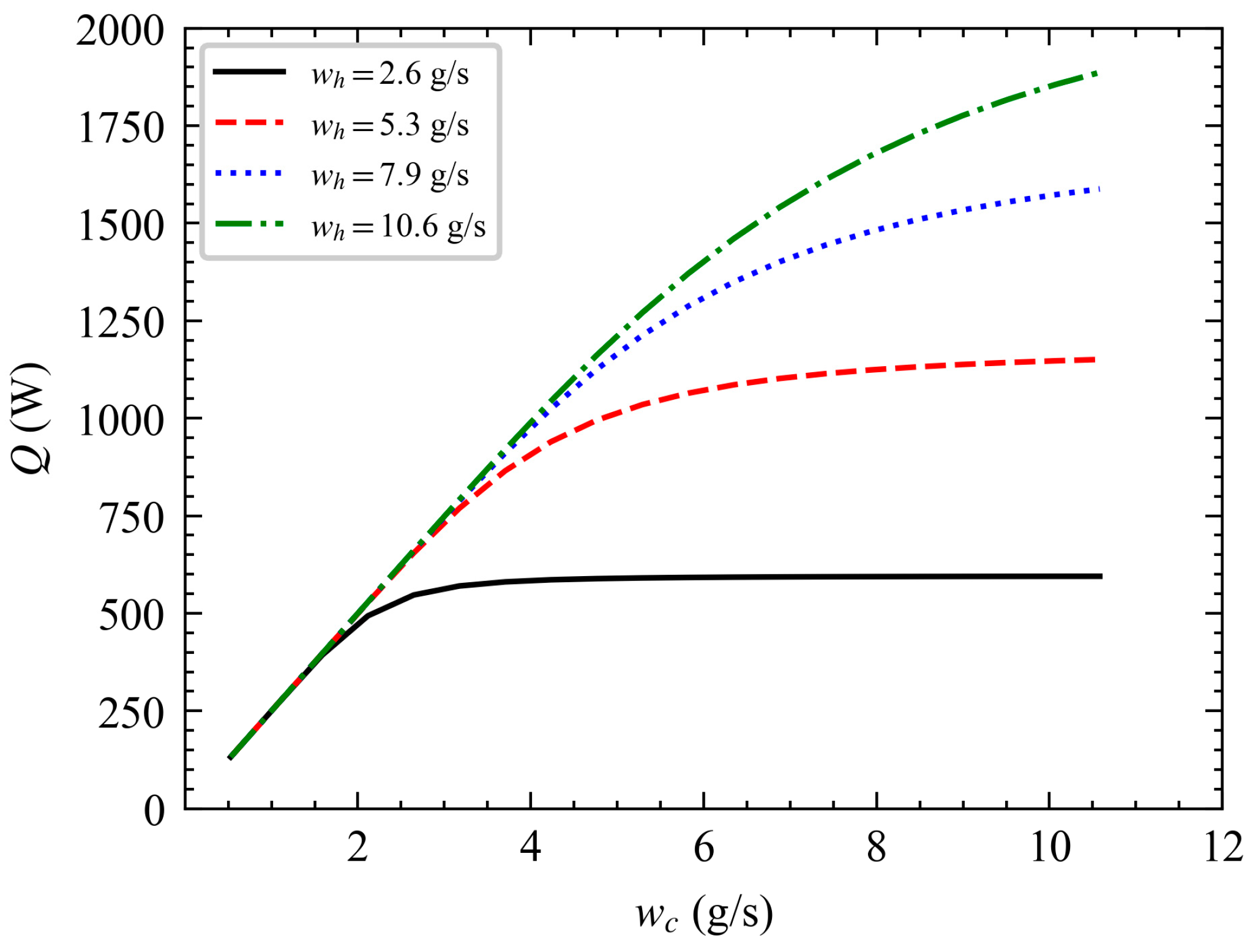
3.1.1. Effect of Mass Flow Rate on Heat Transfer Rate
3.1.2. Effect of Mass Flow Rate on Flow Pressure Drop
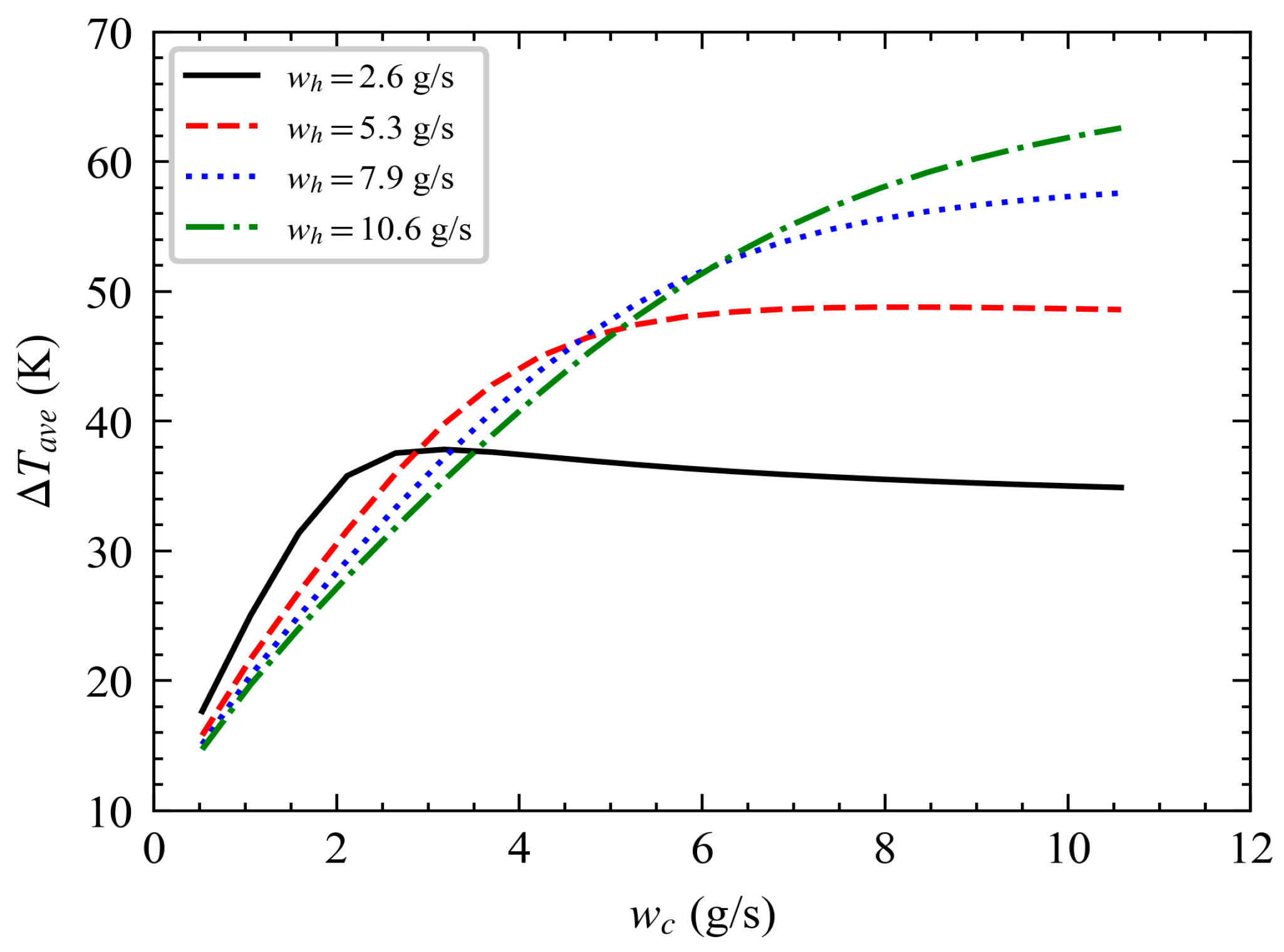
3.1.3. Analysis of the Influence of Mass Flow Rate on the Flow and Heat Transfer Comprehensive Performance
3.2. Effect of Inlet Temperature on Flow and Heat Transfer Performance of PCHE
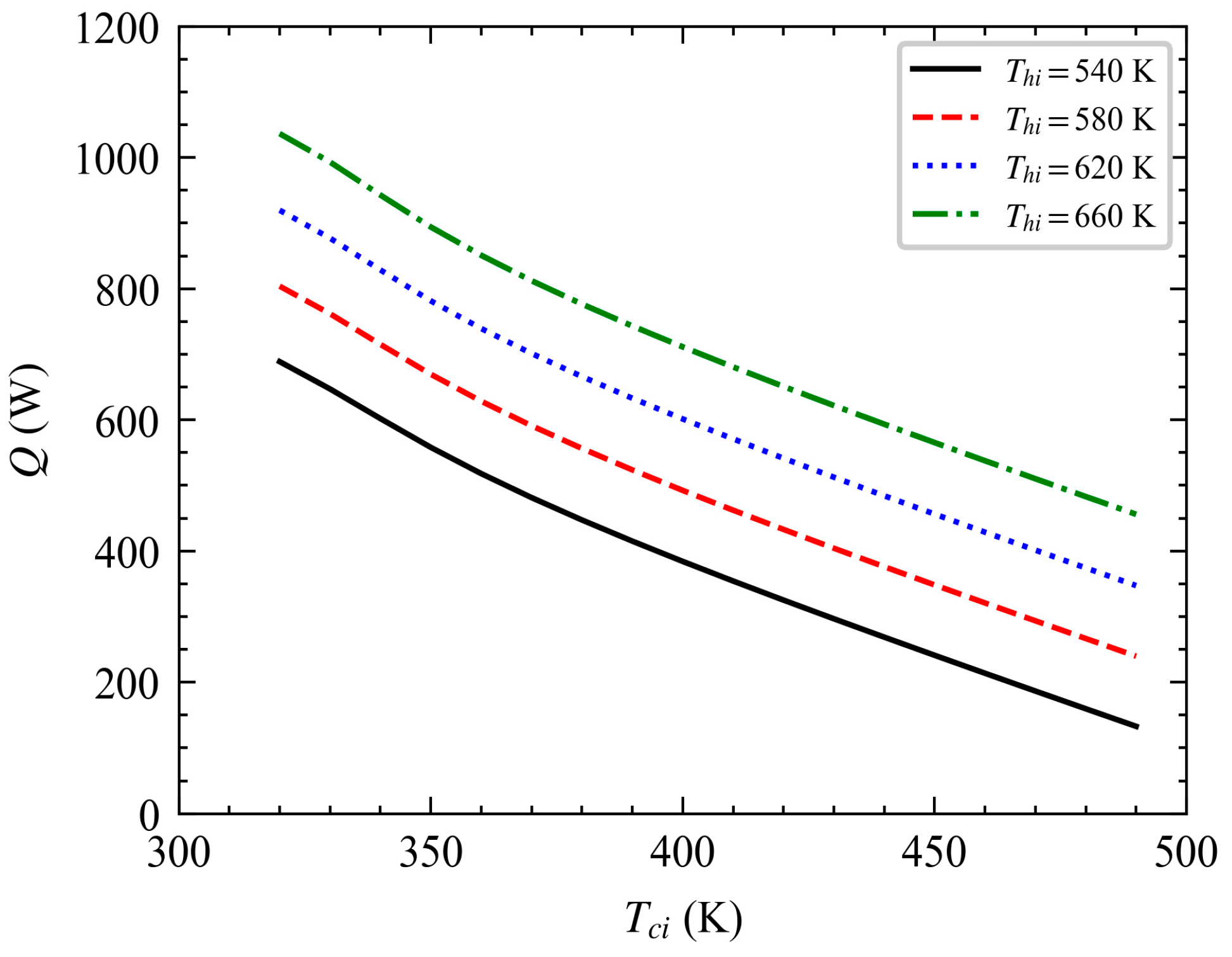
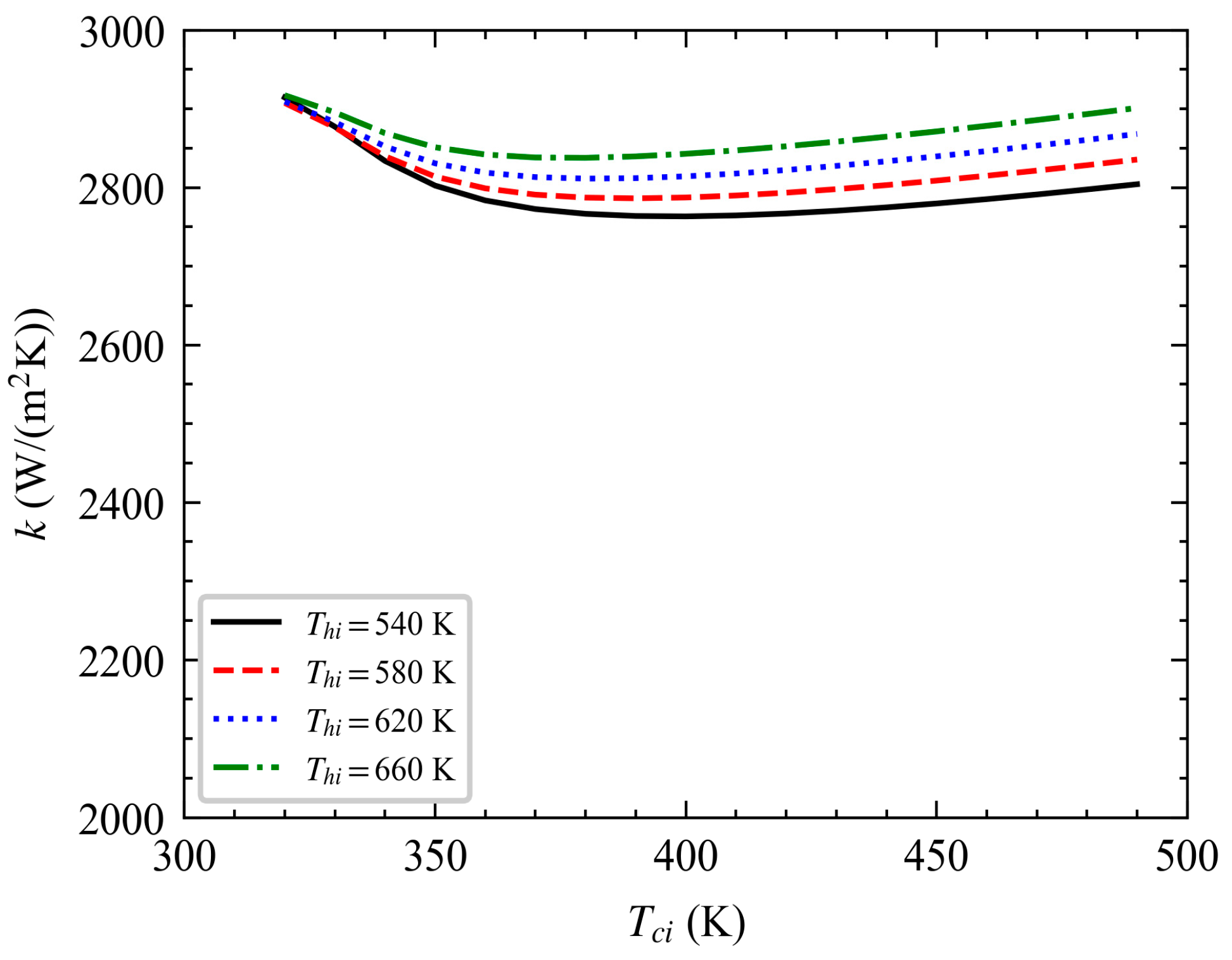
3.2.1. Effect of Inlet Temperature on Heat Transfer Rate
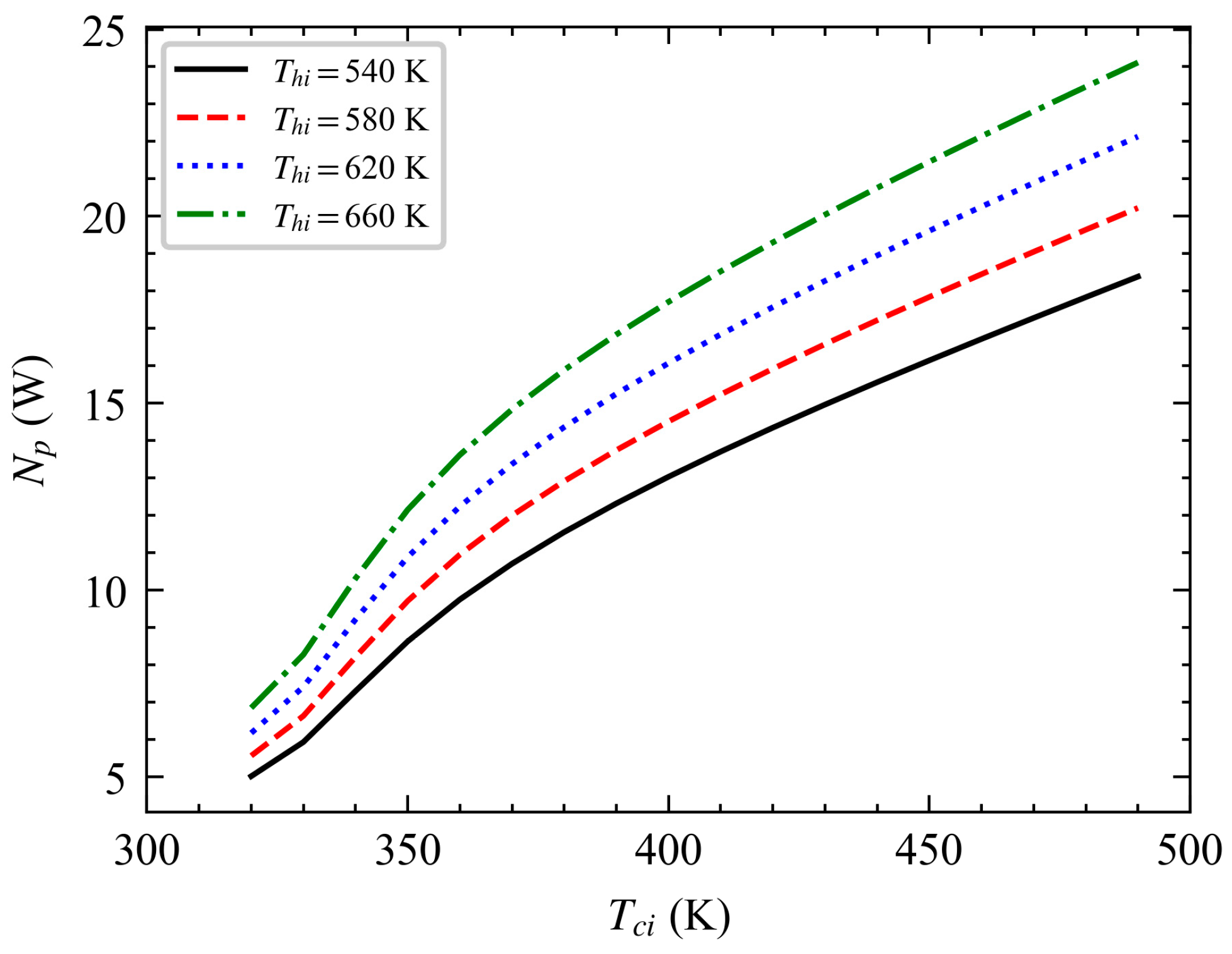
3.2.2. Effect of Inlet Temperature on Flow Pressure Drop
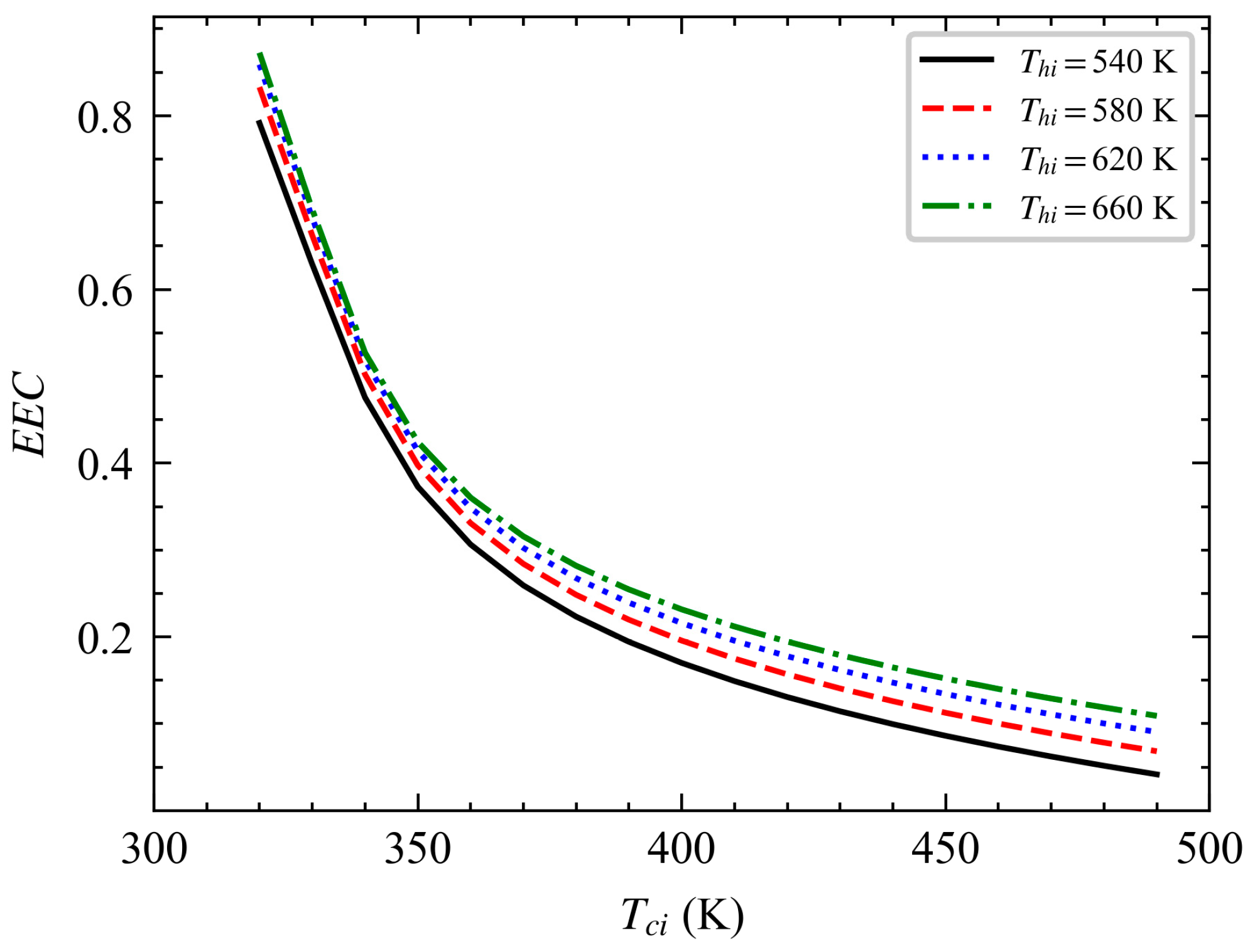
3.2.3. Effect of Inlet Temperature on Comprehensive Performance of Flow and Heat Transfer
4. Conclusions
- (1)
- The mass flow rate influences the overall heat transfer coefficient and heat transfer temperature difference, such that the greater the mass flow rate, the greater the heat transfer rate. The heat transfer rate growth rate first increases and then slows down. With the increase of mass flow rate, the flow pressure drop increases rapidly. Taking EEC as the comprehensive performance index of flow and heat transfer, EEC has a maximum value with the change of mass flow rate. At this time, the mass flow rates of the cold and hot channels match, and the comprehensive performance of flow and heat transfer processes is the best;
- (2)
- The inlet temperature of the channel directly affects the heat transfer temperature difference. Increasing the inlet temperature of the hot channel can enhance the heat transfer while increasing the inlet temperature of the cold channel weakens the heat transfer. Increasing the inlet temperature of both cold and hot channels will increase the flow pressure drop of the channels. With increasing cold channel inlet temperature, EEC decreases rapidly, while EEC increases with increasing hot channel inlet temperature;
- (3)
- The one-dimensional modeling and simulation method can quickly calculate the flow and heat transfer process of a PCHE, considering the change of thermophysical properties to obtain the distribution values of important parameters such as temperature and pressure in the flow direction. The calculation accuracy and speed can meet the needs of transient calculation, operation control strategy analysis, and other application scenarios.
Author Contributions
Funding
Data Availability Statement
Acknowledgments
Conflicts of Interest
Nomenclature
| Latin symbols | |
| A | cross-sectional area, m2 |
| Cf | Fanning friction factor |
| cp | constant pressure specific heat, J∙kg−1∙K−1 |
| cv | constant volume specific heat, J∙kg−1∙K−1 |
| Dhyd | equivalent hydraulic diameter, m |
| h | specific enthalpy, J∙kg−1 |
| hc | heat convection coefficient, W∙K−1∙m−2 |
| k | overall heat transfer coefficient, W∙K−1∙m−2 |
| l | flow direction length, m |
| Np | pump power, W |
| Q | heat transfer rate, W |
| T | temperature, K |
| u | velocity, m/s |
| V | volume, m3 |
| w | mass flow rate, kg∙s−1 |
| ∆pfric | frictional pressure loss, Pa |
| Greek symbols | |
| λ | thermal conductivity coefficient, W∙K−1∙m−1 |
| ρ | density, kg∙m−3 |
| Subscripts | |
| i | index of element |
| i:j | interface between the fluid element i and j |
| s | metal matrix |
| 0 | design condition |
| Abbreviation | |
| EEC | Efficiency evaluation coefficient |
| Nu | Nusselt number |
| PCHE | Printed circuit heat exchanger |
| SCBC | Supercritical carbon dioxide Brayton cycle |
| S-CO2 | Supercritical carbon dioxide |
References
- Wu, P.; Ma, Y.; Gao, C.; Liu, W.; Shan, J.; Huang, Y.; Wang, J.; Zhang, D.; Ran, X. Brayton cycle technology in nuclear engineering applications. Nucl. Eng. Des. 2020, 368, 110767. [Google Scholar] [CrossRef]
- Hejzlar, P.; Driscoll, M.J.; Gibbs, J.; Gong, Y.; Carstens, N.; Kao, S.P. Overview of supercritical CO2 power cycle and comparison with other cycles. In Proceedings of the Symposium on Supercritical CO2 Power Cycle for Next Generation Systems, Cambridge, MA, USA, 6 March 2007. [Google Scholar]
- Pan, P.; Yuan, C.; Sun, Y.; Yan, X.; Lu, M.; Bucknall, R. Thermo-economic analysis and multi-objective optimization of S-CO2 Brayton cycle waste heat recovery system for an ocean-going 9000 TEU container ship. Energy Convers. Manag. 2020, 221, 113077. [Google Scholar] [CrossRef]
- Qin, L.; Xie, G.; Ma, Y.; Li, S. Thermodynamic analysis and multi-objective optimization of a waste heat recovery system with a combined supercritical/transcritical CO2 cycle. Energy 2023, 265, 126332. [Google Scholar] [CrossRef]
- Wang, K.; He, Y.L.; Zhu, H.H. Integration between supercritical CO2 Brayton cycles and molten salt solar power towers: A review and a comprehensive comparison of different cycle Layouts. Appl. Energy 2017, 195, 819–836. [Google Scholar] [CrossRef]
- Ma, Y.; Xie, G.; Hooman, K. Review of printed circuit heat exchangers and its applications in solar thermal energy. Renew. Sustain. Energy Rev. 2022, 155, 111933. [Google Scholar] [CrossRef]
- Ahn, Y.; Bae, S.J.; Kim, M.; Cho, S.K.; Baik, S.; Lee, J.I.; Cha, J.E. Review of supercritical CO2 power cycle technology and current status of research and development. Nucl. Eng. Technol. 2015, 47, 647–661. [Google Scholar] [CrossRef]
- Meshram, A.; Jaiswal, A.K.; Khivsara, S.D.; Ortega, J.D.; Ho, C.; Bapat, R.; Dutta, P. Modeling and analysis of a printed circuit heat exchanger for supercritical CO2 power cycle applications. Appl. Therm. Eng. 2016, 109, 861–870. [Google Scholar] [CrossRef]
- Chai, L.; Tassou, S.A. A review of printed circuit heat exchangers for helium and supercritical CO2 Brayton cycles. Therm. Sci. Eng. Prog. 2020, 18, 100543. [Google Scholar] [CrossRef]
- Huang, C.; Cai, W.; Wang, Y.; Liu, Y.; Li, Q.; Li, B. Review on the characteristics of flow and heat transfer in printed circuit heat exchangers. Appl. Therm. Eng. 2019, 153, 190–205. [Google Scholar] [CrossRef]
- Ma, T.; Li, M.-J.; Xu, J.-L.; Cao, F. Thermodynamic analysis and performance prediction on dynamic response characteristic of PCHE in 1000 MW S-CO2 coal fired power plant. Energy 2019, 175, 123–138. [Google Scholar] [CrossRef]
- Figley, J.; Sun, X.; Mylavarapu, S.K.; Hajek, B. Numerical study on thermal hydraulic performance of a Printed Circuit Heat Exchanger. Prog. Nucl. Energy 2013, 68, 89–96. [Google Scholar] [CrossRef]
- Feng, H.; Tang, W.; Chen, L.; Shi, J.; Wu, Z. Multi-objective constructal optimization for marine condensers. Energies 2021, 14, 5545. [Google Scholar] [CrossRef]
- Park, J.H.; Kwon, J.G.; Kim, T.H.; Kim, M.H.; Cha, J.-E.; Jo, H. Experimental study of a straight channel printed circuit heat exchanger on supercritical CO2 near the critical point with water cooling. Int. J. Heat Mass Transf. 2020, 150, 119364. [Google Scholar] [CrossRef]
- Chang, H.; Han, Z.; Li, X.; Ma, T.; Wang, Q. Experimental study on heat transfer performance of sCO2 near pseudo-critical point in airfoil-fin PCHE from viewpoint of average thermal-resistance ratio. Int. J. Heat Mass Transf. 2022, 196, 123257. [Google Scholar] [CrossRef]
- Wang, W.; Li, B.; Tan, Y.; Li, B.; Shuai, Y. Multi-objective optimal design of NACA airfoil fin PCHE recuperator for micro-gas turbine systems. Appl. Therm. Eng. 2022, 204, 117864. [Google Scholar] [CrossRef]
- Chaurasiya, V.; Jain, A.; Singh, J. Numerical study of a non-linear porous sublimation problem with temperature-dependent thermal conductivity and concentration-dependent mass diffusivity. ASME J. Heat Mass Transf. 2023, 145, 072701. [Google Scholar] [CrossRef]
- Chen, M.; Sun, X.; Christensen, R.N.; Shi, S.; Skavdahl, I.; Utgikar, V.; Sabharwall, P. Experimental and numerical study of a printed circuit heat exchanger. Ann. Nucl. Energy 2016, 97, 221–231. [Google Scholar] [CrossRef]
- Aneesh, A.; Sharma, A.; Srivastava, A.; Vyas, K.; Chaudhuri, P. Thermal-hydraulic characteristics and performance of 3D straight channel based printed circuit heat exchanger. Appl. Therm. Eng. 2016, 98, 474–482. [Google Scholar] [CrossRef]
- Zhao, Z.; Zhang, X.; Zhao, K.; Jiang, P.; Chen, Y. Numerical investigation on heat transfer and flow characteristics of supercritical nitrogen in a straight channel of printed circuit heat exchanger. Appl. Therm. Eng. 2017, 126, 717–729. [Google Scholar] [CrossRef]
- Nabil, M.; Rattner, A.S. Large eddy simulations of High-heat-flux supercritical CO2 convection in microchannels: Mixed convection and non-uniform heating. Int. J. Heat Mass Transf. 2019, 145, 118710. [Google Scholar] [CrossRef]
- Aneesh, A.; Sharma, A.; Srivastava, A.; Chaudhury, P. Effects of wavy channel configurations on thermal-hydraulic characteristics of printed circuit heat exchanger (PCHE). Int. J. Heat Mass Transf. 2018, 118, 304–315. [Google Scholar] [CrossRef]
- Bennett, K.; Chen, Y. Thermal-hydraulic correlations for zigzag-channel PCHEs covering a broad range of design parameters for estimating performance prior to modeling. Therm. Sci. Eng. Prog. 2020, 17, 100383. [Google Scholar] [CrossRef]
- Ji, Y.; Xing, K.; Cen, K.; Ni, M.; Xu, H.; Xiao, G. Numerical study on flow and heat transfer characteristics of trapezoidal printed circuit heat exchanger. Micromachines 2021, 12, 1589. [Google Scholar] [CrossRef] [PubMed]
- Li, Y.; Qiu, Z.; Cui, D.; Wang, Z.; Zhang, J.; Ji, Y. Numerical investigation on the Thermal-hydraulic performance of helical twine printed circuit heat exchanger. Int. Commun. Heat Mass Transf. 2021, 128, 105596. [Google Scholar] [CrossRef]
- Ngo, T.L.; Kato, Y.; Nikitin, K.; Tsuzuki, N. New printed circuit heat exchanger with S-shaped fins for hot water supplier. Exp. Therm. Fluid Sci. 2006, 30, 811–819. [Google Scholar] [CrossRef]
- Tsuzuki, N.; Kato, Y.; Ishiduka, T. High performance printed circuit heat exchanger. Appl. Therm. Eng. 2007, 27, 1702–1707. [Google Scholar] [CrossRef]
- Zhang, X.; Sun, X.; Christensen, R.N.; Anderson, M.; Carlson, M. Optimization of S-shaped fin channels in a printed circuit heat exchanger for supercritical CO2 test loop. In Proceedings of the 5th International Supercritical CO2 Power Cycles Symposium, San Antonio, TX, USA, 29–31 March 2016. [Google Scholar]
- Saeed, M.; Kim, M.H. Thermal-hydraulic analysis of sinusoidal fin-based printed circuit heat exchangers for supercritical CO2 Brayton cycle. Energy Convers. Manag. 2019, 193, 124–139. [Google Scholar] [CrossRef]
- Chu, W.; Li, X.; Ma, T.; Zeng, M.; Wang, Q. Heat transfer and pressure drop performance of printed circuit heat exchanger with different fin structures. Chin. Sci. Bull. 2017, 62, 1788–1794. (In Chinese) [Google Scholar] [CrossRef]
- Li, X.L.; Tang, G.H.; Fan, Y.H.; Yang, D.L.; Wang, S.Q. Numerical analysis of slotted airfoil fins for printed circuit heat exchanger in S-CO2 Brayton cycle. J. Nucl. Eng. Radiat. Sci. 2019, 5, 041303. [Google Scholar] [CrossRef]
- Zhang, H.; Guo, J.; Cui, X.; Zhou, J.; Huai, X.; Zhang, H.; Cheng, K.; Han, Z. Experimental and numerical investigations of thermal-hydraulic characteristics in a novel airfoil fin heat exchanger. Int. J. Heat Mass Transf. 2021, 175, 121333. [Google Scholar] [CrossRef]
- Wang, W.; Ding, L.; Han, F.; Shuai, Y.; Li, B.; Sunden, B. Parametric study on thermo-hydraulic performance of NACA airfoil fin PCHEs channels. Energies 2022, 15, 5095. [Google Scholar] [CrossRef]
- Marchionni, M.; Chai, L.; Bianchi, G.; Tassou, S.A. Numerical modelling and transient analysis of a printed circuit heat exchanger used as recuperator for supercritical CO2 heat to power conversion systems. Appl. Therm. Eng. 2019, 161, 114190. [Google Scholar] [CrossRef]
- Ding, H.; Li, W.; Duan, C.; Xu, H.; Ding, P.; Zhang, Y.; Hong, G. A Thermal-hydraulic analysis model of printed circuit heat exchangers for system simulation using Modelica. J. Nucl. Sci. Technol. 2021, 58, 1296–1307. [Google Scholar] [CrossRef]
- Sui, X.; Russell, H.; Gurgenci, H.; Lee, S.; Guan, Z.; Dong, P. A One-dimensional modelling methodology of printed circuit heat exchangers for steady, off-design and transient feasibility in a supercritical CO2 power block. Int. J. Heat Mass Transf. 2022, 193, 122938. [Google Scholar] [CrossRef]
- Chen, M.; Sun, X.; Christensen, R.N.; Skavdahl, I.; Utgikar, V.; Sabharwall, P. Dynamic behavior of a high-temperature printed circuit heat exchanger: Numerical modeling and experimental investigation. Appl. Therm. Eng. 2018, 135, 246–256. [Google Scholar] [CrossRef]
- Jiang, Y.; Liese, E.; Zitney, S.E.; Bhattacharyya, D. Design and dynamic modeling of printed circuit heat exchangers for supercritical carbon dioxide Brayton power cycles. Appl. Energy 2018, 231, 1019–1032. [Google Scholar] [CrossRef]
- Hu, H.; Guo, C.; Cai, H.; Jiang, Y.; Liang, S.; Guo, Y. Dynamic characteristics of the recuperator thermal performance in a S-CO2 Brayton cycle. Energy 2021, 214, 119017. [Google Scholar] [CrossRef]
- Albright, J.; Zitney, S.E.; Liese, E. Control methods for mitigating flow oscillations in a supercritical CO2 recompression closed Brayton cycle. Appl. Energy 2023, 352, 121922. [Google Scholar] [CrossRef]
- Liu, W.; Liu, Z.C.; Ma, L. Application of a multi-field synergy principle in the performance evaluation of convective heat transfer enhancement in a tube. Chin. Sci. Bull. 2012, 57, 1600–1607. [Google Scholar] [CrossRef]
- Casella, F.; Pretolani, F. Fast start-up of a combined-cycle power plant: A simulation study with Modelica. In Proceedings of the Modelica Conference, Vienna, Austria, 4–5 September 2006; The Modelica Association: Linköping, Sweeden, 2006; Volume 4, pp. 3–10. [Google Scholar]
- Casella, F.; Richter, C. External Media: A library for easy re-use of external fluid property code in Modelica. In Proceedings of the 6th International Modelica Conference, Bielefeld, Germany, 3–4 March 2008; The Modelica Association: Linköping, Sweeden, 2008; pp. 157–161. [Google Scholar]
- Bell, I.H.; Wronski, J.; Quoilin, S.; Lemort, V. Pure and pseudo-pure fluid thermophysical property evaluation and the open-source thermophysical property library CoolProp. Ind. Eng. Chem. Res. 2014, 53, 2498–2508. [Google Scholar] [CrossRef]















| Parameter | Unit | Value |
|---|---|---|
| Cold channel fluid | / | CO2 |
| Hot channel fluid | / | CO2 |
| Metal matrix material | / | Stainless steel 316 L |
| Channel type | / | Zigzag |
| Channel shape | / | Semi-circular |
| Diameter | mm | 2 |
| Channel length | mm | 1012 |
| Wetted perimeter | mm | 5.14 |
| Cross-sectional area | mm2 | 1.57 |
| Plate thickness | mm | 1.63 |
| Density of metal | kg/m3 | 7990 |
| Thermal conductivity of metal | J/(kg·K) | 500 |
| Parameters | Unit | Design Condition | Deviation Condition-# 1 | Deviation Condition-# 2 | Deviation Condition-# 3 | Deviation Condition-# 4 |
|---|---|---|---|---|---|---|
| Total mass flow rate of each channel | kg/s | 2.06 | 1.57 | 2.09 | 2.09 | 2.62 |
| Inlet temperature of cold channel | °C | 72.9 | 72.9 | 87.5 | 62 | 72.9 |
| Inlet pressure of cold channel | bar | 125 | 125 | 125 | 125 | 125 |
| Inlet temperature of hot channel | °C | 344.3 | 344.3 | 344.3 | 344.3 | 344.3 |
| Inlet pressure of hot channel | bar | 75 | 75 | 75 | 75 | 75 |
| Parameters | Cold Channel | Hot Channel | |||||
|---|---|---|---|---|---|---|---|
| Outlet Temperature (°C) | Flow Pressure Drop (kPa) | Heat Absorption (kW) | Outlet Temperature (°C) | Flow Pressure Drop (kPa) | Heat Release (kW) | ||
| Design condition | Measured value | 284.90 | 120.00 | 623.67 | 80.50 | 130.00 | 629.77 |
| Calculated value | 287.45 | 119.94 | 629.85 | 81.52 | 130.89 | 626.79 | |
| Deviation% | 0.90 | −0.05 | 0.99 | 1.27 | 0.68 | −0.47 | |
| Deviation condition 1 | Measured value | 287.19 | 74.00 | 479.39 | 78.59 | 79.00 | 485.01 |
| Calculated value | 290.10 | 73.18 | 484.76 | 79.34 | 79.09 | 483.32 | |
| Deviation% | 1.01 | −1.10 | 1.12 | 0.95 | 0.11 | −0.35 | |
| Deviation condition 2 | Measured value | 294.49 | 139.00 | 580.71 | 99.69 | 145.00 | 584.80 |
| Calculated value | 297.45 | 138.66 | 587.98 | 99.59 | 145.04 | 585.07 | |
| Deviation% | 1.01 | −0.24 | 1.25 | −0.10 | 0.03 | 0.05 | |
| Deviation condition 3 | Measured value | 269.29 | 106.00 | 674.42 | 66.59 | 122.00 | 682.57 |
| Calculated value | 272.74 | 105.16 | 682.93 | 67.53 | 122.68 | 679.44 | |
| Deviation% | 1.28 | −0.79 | 1.26 | 1.41 | 0.56 | −0.46 | |
| Deviation condition 4 | Measured value | 282.29 | 184.00 | 785.55 | 82.07 | 202.00 | 793.46 |
| Calculated value | 284.54 | 185.61 | 792.50 | 83.95 | 204.76 | 786.57 | |
| Deviation% | 0.80 | 0.88 | 0.88 | 2.29 | 1.37 | −0.87 | |
Disclaimer/Publisher’s Note: The statements, opinions and data contained in all publications are solely those of the individual author(s) and contributor(s) and not of MDPI and/or the editor(s). MDPI and/or the editor(s) disclaim responsibility for any injury to people or property resulting from any ideas, methods, instructions or products referred to in the content. |
© 2023 by the authors. Licensee MDPI, Basel, Switzerland. This article is an open access article distributed under the terms and conditions of the Creative Commons Attribution (CC BY) license (https://creativecommons.org/licenses/by/4.0/).
Share and Cite
Xi, K.; Xie, Z.; Zhao, X.; Song, Y.; Liu, H. Fast Calculation of Supercritical Carbon Dioxide Flow, Heat Transfer Performance, and Mass Flow Rate Matching Optimization of Printed Circuit Heat Exchangers Used as Recuperators. Mathematics 2023, 11, 4241. https://doi.org/10.3390/math11204241
Xi K, Xie Z, Zhao X, Song Y, Liu H. Fast Calculation of Supercritical Carbon Dioxide Flow, Heat Transfer Performance, and Mass Flow Rate Matching Optimization of Printed Circuit Heat Exchangers Used as Recuperators. Mathematics. 2023; 11(20):4241. https://doi.org/10.3390/math11204241
Chicago/Turabian StyleXi, Kun, Zhihui Xie, Xiang Zhao, Yu Song, and Hanyu Liu. 2023. "Fast Calculation of Supercritical Carbon Dioxide Flow, Heat Transfer Performance, and Mass Flow Rate Matching Optimization of Printed Circuit Heat Exchangers Used as Recuperators" Mathematics 11, no. 20: 4241. https://doi.org/10.3390/math11204241
APA StyleXi, K., Xie, Z., Zhao, X., Song, Y., & Liu, H. (2023). Fast Calculation of Supercritical Carbon Dioxide Flow, Heat Transfer Performance, and Mass Flow Rate Matching Optimization of Printed Circuit Heat Exchangers Used as Recuperators. Mathematics, 11(20), 4241. https://doi.org/10.3390/math11204241

