Reliability and Service Life Analysis of Airbag Systems
Abstract
1. Introduction
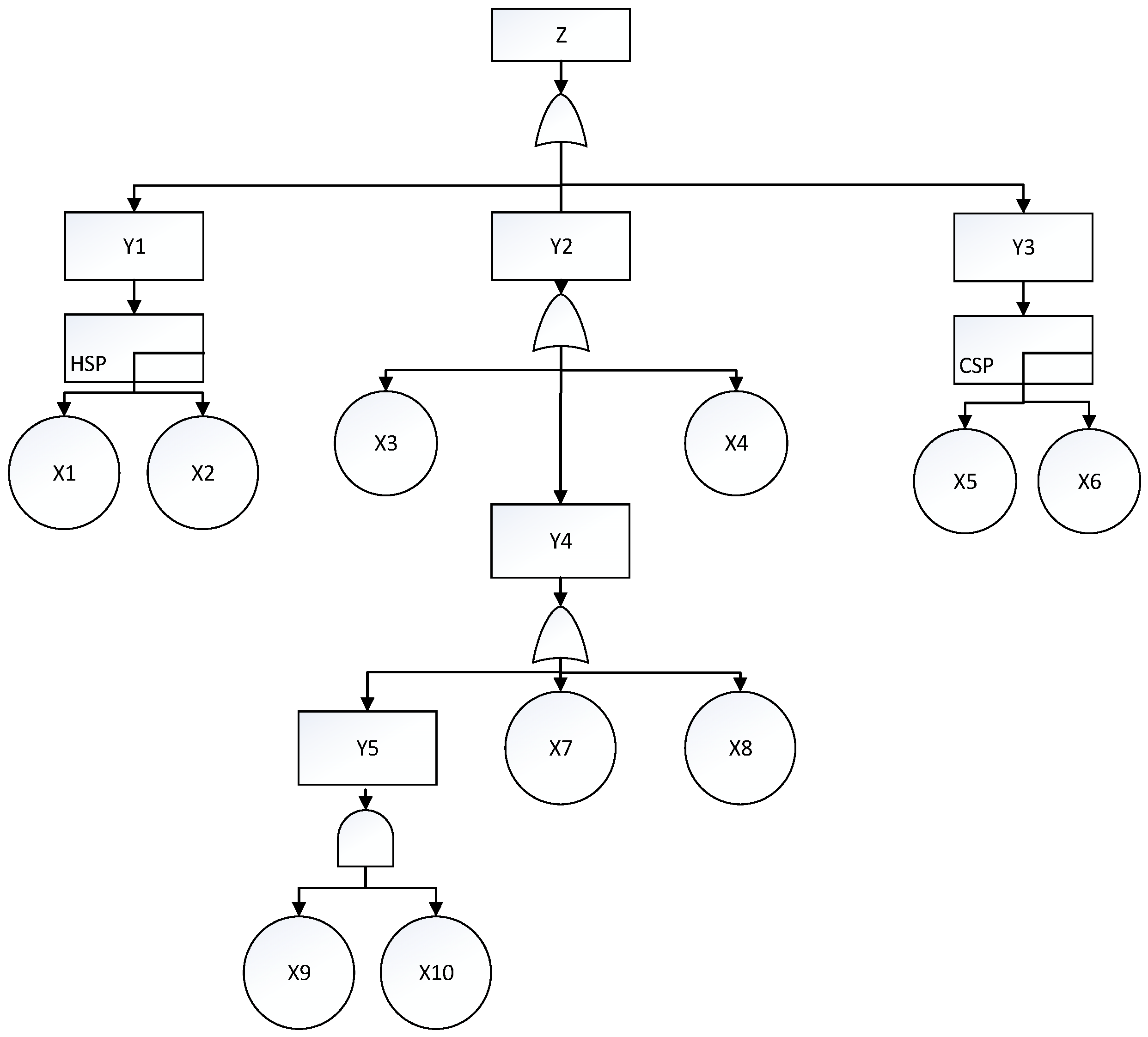
2. Dynamic Fault Tree of Automotive Airbag System
3. Reliability and Life Analysis
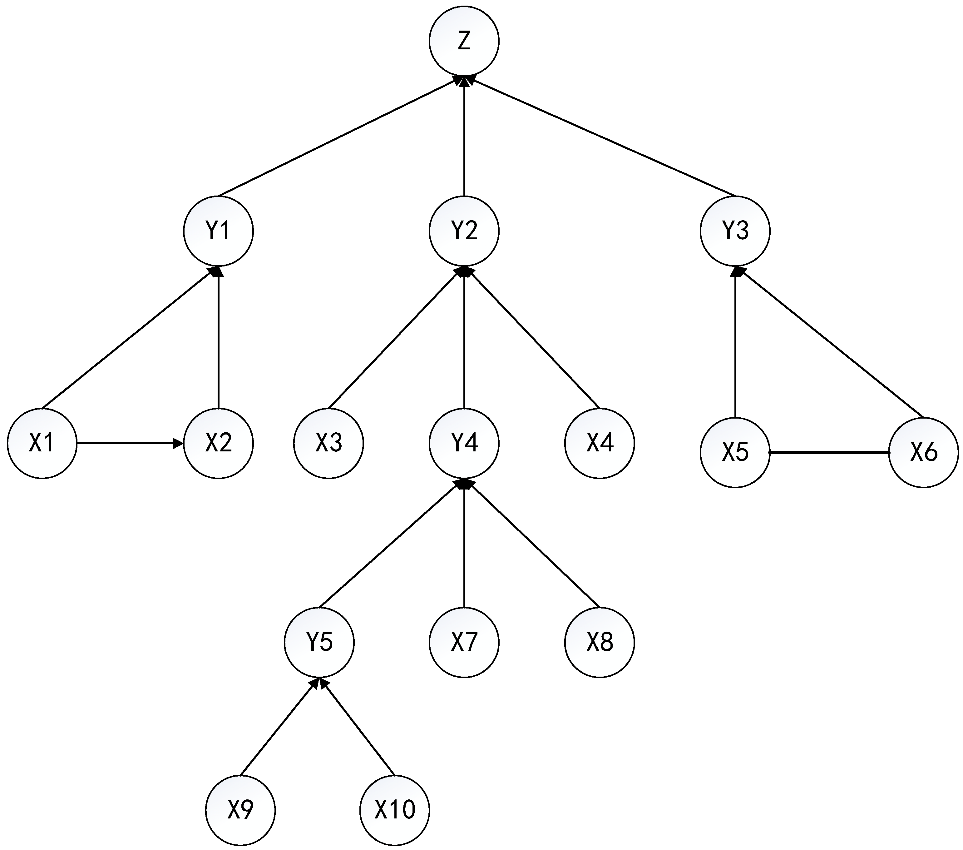
3.1. Reliability and Life Analysis Based on Bayesian Network
3.2. Reliability Analysis Based on Sequential Binary Decision Diagrams
- (1).
- Cold Standby Gates
- (2).
- Hot Standby Gates
4. Conclusions
Author Contributions
Funding
Institutional Review Board Statement
Informed Consent Statement
Data Availability Statement
Conflicts of Interest
References
- Shaout, A.; Mallon, C.A. Automotive airbag technology past, present and future. Int. J. Comput. Appl. Technol. 2000, 13, 159–171. [Google Scholar] [CrossRef]
- Yun, Y.-W.; Choi, J.-S.; Park, G.-J. Optimization of an automobile curtain airbag using the design of experiments. Proc. Inst. Mech. Eng. Part D J. Automob. Eng. 2014, 228, 370–380. [Google Scholar] [CrossRef]
- Lee, W.S.; Grosh, D.L.; Tillman, F.A.; Lie, C.H. Fault Tree Analysis, Methods, and Applications-A Review. IEEE Trans. Reliab. 1985, 34, 194–203. [Google Scholar] [CrossRef]
- Wang, Z.L. Current status and prospects of reliability systems engineering in China. Front. Eng. Manag. 2021, 8, 492–502. [Google Scholar] [CrossRef]
- Zuo, M.J. System reliability and system resilience. Front. Eng. Manag. 2021, 8, 615–619. [Google Scholar] [CrossRef]
- Si, S.B.; Zhao, J.B.; Cai, Z.Q.; Dui, H.Y. Recent advances in system reliability optimization driven by importance measures. Front. Eng. Manag. 2020, 7, 335–358. [Google Scholar] [CrossRef]
- Sinnamon, R.M.; Andrews, J.D. New approaches to evaluating fault trees. Reliab. Eng. Syst. Saf. 1997, 58, 89–96. [Google Scholar] [CrossRef]
- Dui, H.Y.; Tian, T.Z.; Zhao, J.B.; Wu, S.M. Comparing with the joint importance under consideration of consecutive-k-out-of-n system structure changes. Reliab. Eng. Syst. Saf. 2022, 219, 108255. [Google Scholar] [CrossRef]
- Dui, H.Y.; Wu, S.M.; Zhao, J.B. Some extensions of the component maintenance priority. Reliab. Eng. Syst. Saf. 2021, 214, 107729. [Google Scholar] [CrossRef]
- Zhou, C.C.; Chang, Q.; Zhao, H.D.; Ji, M.Y.; Shi, Z.K. Fault tree analysis with interval uncertainty: A case study of the aircraft flap mechanism. IEEE Trans. Reliab. 2021, 70, 944–956. [Google Scholar] [CrossRef]
- Wang, B.; Wu, D.D.; Mo, Y.C.; Chen, Z.Y. Dynamic fault tree analysis based on multiple-valued decision diagrams. Comput. Sci. 2016, 43, 70–73. [Google Scholar]
- Kabir, S. An overview of fault tree analysis and its application in model based dependability analysis. Expert Syst. Appl. 2017, 77, 114–135. [Google Scholar] [CrossRef]
- Yevkin, O. An efficient approximate Markov chain method in dynamic fault tree analysis. Qual. Reliab. Eng. Int. 2016, 32, 1509–1520. [Google Scholar] [CrossRef]
- Antoine Rauzy, A.; Blériot-Fabre, C. Towards a sound semantics for dynamic fault trees. Reliab. Eng. Syst. Saf. 2015, 142, 184–191. [Google Scholar] [CrossRef]
- Xing, L.D.; Tannous, O.; Dugan, J.B. Reliability analysis of nonrepairable cold-standby systems using sequential binary decision diagram. IEEE Trans. Syst. Man Cybern.-Part A Syst. Hum. 2012, 43, 715–726. [Google Scholar] [CrossRef]
- Boudali, H.; Crouzen, P.; Stoelinga, M. A rigorous, compositional, and extensible framework for dynamic fault tree analysis. IEEE Trans. Dependable Secur. Comput. 2010, 7, 128–143. [Google Scholar] [CrossRef]
- Walker, M.; Papadopoulos, Y. Qualitative temporal analysis: Towards a full implementation of the fault tree handbook. Control Eng. Pract. 2009, 17, 1115–1125. [Google Scholar] [CrossRef]
- Pang, J.H.; Dai, J.K.; Li, Y. An Intelligent Fault Analysis and Diagnosis System for Electromagnet Manufacturing Process Based on Fuzzy Fault Tree and Evidence Theory. Mathematics 2022, 10, 1437. [Google Scholar] [CrossRef]
- Yang, S.; Su, K.J.; Wang, B.; Xu, Z.T. A Coupled Mathematical Model of the Dissemination Route of Short-Term Fund-Raising Fraud. Mathematics 2022, 10, 1709. [Google Scholar] [CrossRef]
- Zhang, M.Y.; Zhang, D.; Goerlandt, F.; Yan, X.P.; Kujala, P. Use of HFACS and fault tree model for collision risk factors analysis of icebreaker assistance in ice-covered waters. Saf. Sci. 2019, 111, 128–143. [Google Scholar] [CrossRef]
- Dui, H.Y.; Xu, Z.; Chen, L.W.; Xing, L.D.; Liu, B. Data-Driven Maintenance Priority and Resilience Evaluation of Performance Loss in a Main Coolant System. Mathematics 2022, 10, 563. [Google Scholar] [CrossRef]
- Amin, M.T.; Imtiaz, S.; Khan, F. Process system fault detection and diagnosis using a hybrid technique. Chem. Eng. Sci. 2018, 189, 191–211. [Google Scholar] [CrossRef]
- Bai, G.H.; Wang, H.; Zheng, X.Q.; Dui, H.Y.; Xie, M. Improved resilience measure for component recovery priority in power grids. Front. Eng. Manag. 2021, 8, 545–556. [Google Scholar] [CrossRef]
- Dui, H.Y.; Zheng, X.Q.; Wu, S.M. Resilience analysis of maritime transportation systems based on importance measures. Reliab. Eng. Syst. Saf. 2021, 209, 107461. [Google Scholar] [CrossRef]
- Bobbio, A.; Portinale, L.; Minichino, M.; Ciancamerla, E. Improving the analysis of dependable systems by mapping fault trees into Bayesian networks. Reliab. Eng. Syst. Saf. 2001, 71, 249–260. [Google Scholar] [CrossRef]
- Wei, J.; Xie, W.; Nie, Y. An algorithm based on loop-cutting contribution function for loop cutset problem in Bayesian network. Mathematics 2021, 9, 462. [Google Scholar] [CrossRef]
- Zhao, X.F.; Cai, J.J.; Mizutani, S.; Nakagawa, T. Preventive replacement policies with time of operations, mission durations, minimal repairs and maintenance triggering approaches. J. Manuf. Syst. 2021, 61, 819–829. [Google Scholar] [CrossRef]
- Zhao, X.F.; Li, B.T.; Mizutani, S.; Nakagawa, T. A revisit of age-based replacement models with exponential failure distributions. IEEE Trans. Reliab. 2021, 71, 3111682. [Google Scholar] [CrossRef]
- Cai, B.P.; Liu, Z.K.; Zhang, Y.W.; Fan, Q.; Yu, S.L. Dynamic Bayesian Networks Based Performance Evaluation of Subsea Blowout Preventers in Presence of Imperfect Repair. Expert Syst. Appl. 2013, 40, 7544–7554. [Google Scholar] [CrossRef]
- Wang, C.; Liu, Y.P.; Hou, W.; Yu, C.; Wang, G.R.; Zheng, Y.Y. Reliability and Availability Modeling of Subsea Autonomous High Integrity Pressure Protection System with Partial Stroke Test by Dynamic Bayesian. J. Risk Reliab. 2021, 235, 268–281. [Google Scholar] [CrossRef]







| Symbols | Meaning | Distribution Functions | Failure Rate |
|---|---|---|---|
| Z | Airbag system failure | ||
| Y1 | Sensor failure | ||
| Y2 | Gas generator failure | ||
| Y3 | Electronic control unit failure | ||
| Y4 | Failure of ignition transfer | ||
| Y5 | Failure of electric ignition device | ||
| X1 | Sensor 1 failure | Index distribution | λ1 = 1.06 × 10−5 |
| X2 | Sensor 2 failure | Index distribution | λ2 = 1.06 × 10−5 |
| X3 | Internal filter failure | Index distribution | λ3 = 1.5 × 10−5 |
| X4 | External filter failure | Index distribution | λ4 = 2.9 × 10−5 |
| X5 | Power circuit failure | Index distribution | λ5 = 2.7 × 10−5 |
| X6 | Backup power circuit failure | Index distribution | λ6 = 2.7 × 10−5 |
| X7 | Bridge wire failure | Index distribution | λ7 = 2.9 × 10−5 |
| X8 | Fire transmission hole failure | Index distribution | λ8 = 3.8 × 10−5 |
| X9 | Flame extender failure | Index distribution | λ9 = 1.06 × 10−5 |
| X10 | Ignition powder failure | Index distribution | λ10 = 1.06 × 10−5 |
| T (h) | 1000 | 5000 | 10,000 | 15,000 | 20,000 | 25,000 |
| FZ(t) | 0.1054 | 0.4336 | 0.6868 | 0.8302 | 0.9095 | 0.9524 |
| RZ(t) | 0.8946 | 0.5664 | 0.3132 | 0.1698 | 0.0905 | 0.0476 |
| No. | Failure Paths | No. | Failure Paths |
|---|---|---|---|
| 1 | 12 | ||
| 2 | 13 | ||
| 3 | 14 | | |
| 4 | 15 | | |
| 5 | 16 | ||
| 6 | 17 | ||
| 7 | 18 | | |
| 8 | 19 | | |
| 9 | 20 | | |
| 10 | 21 | ||
| 11 |
| t | 1000 | 5000 | 10,000 | 15,000 | 20,000 | 25,000 |
| BN | 0.1054 | 0.4336 | 0.6868 | 0.8302 | 0.9095 | 0.9524 |
| BDD | 0.1057 | 0.4380 | 0.6951 | 0.8389 | 0.9167 | 0.9576 |
| Error analysis | 0.28% | 1.01% | 1.2% | 1.04% | 0.79% | 0.54% |
Disclaimer/Publisher’s Note: The statements, opinions and data contained in all publications are solely those of the individual author(s) and contributor(s) and not of MDPI and/or the editor(s). MDPI and/or the editor(s) disclaim responsibility for any injury to people or property resulting from any ideas, methods, instructions or products referred to in the content. |
© 2023 by the authors. Licensee MDPI, Basel, Switzerland. This article is an open access article distributed under the terms and conditions of the Creative Commons Attribution (CC BY) license (https://creativecommons.org/licenses/by/4.0/).
Share and Cite
Dui, H.; Song, J.; Zhang, Y.-a. Reliability and Service Life Analysis of Airbag Systems. Mathematics 2023, 11, 434. https://doi.org/10.3390/math11020434
Dui H, Song J, Zhang Y-a. Reliability and Service Life Analysis of Airbag Systems. Mathematics. 2023; 11(2):434. https://doi.org/10.3390/math11020434
Chicago/Turabian StyleDui, Hongyan, Jiaying Song, and Yun-an Zhang. 2023. "Reliability and Service Life Analysis of Airbag Systems" Mathematics 11, no. 2: 434. https://doi.org/10.3390/math11020434
APA StyleDui, H., Song, J., & Zhang, Y.-a. (2023). Reliability and Service Life Analysis of Airbag Systems. Mathematics, 11(2), 434. https://doi.org/10.3390/math11020434

