Next Article in Journal
Two-Dimensional Equivalent Models in the Analysis of a Multibody Elastic System Using the Finite Element Analysis
Next Article in Special Issue
The Marcinkiewicz–Zygmund-Type Strong Law of Large Numbers with General Normalizing Sequences under Sublinear Expectation
Previous Article in Journal
Combination of Physics-Informed Neural Networks and Single-Relaxation-Time Lattice Boltzmann Method for Solving Inverse Problems in Fluid Mechanics
Previous Article in Special Issue
Exponential Inequality of Marked Point Processes
 
 
Font Type:
Arial Georgia Verdana
Font Size:
Aa Aa Aa
Line Spacing:
Column Width:
Background:
Article

Optimal Investment–Consumption–Insurance Problem of a Family with Stochastic Income under the Exponential O-U Model

1
School of Finance and Business, Shanghai Normal University, Shanghai 200234, China
2
Fujian Key Laboratory of Financial Information Processing, Putian University, Putian 351100, China
3
Mathematics and Science College, Shanghai Normal University, Shanghai 200234, China
*
Author to whom correspondence should be addressed.
Mathematics 2023, 11(19), 4148; https://doi.org/10.3390/math11194148
Submission received: 9 July 2023 / Revised: 4 September 2023 / Accepted: 5 September 2023 / Published: 1 October 2023
(This article belongs to the Special Issue Statistical Methods in Mathematical Finance and Economics)

Abstract

:
A household consumption and optimal portfolio problem pertinent to life insurance (LI) in a continuous time setting is examined. The family receives a random income before the parents’ retirement date. The price of the risky asset is driven by the exponential Ornstein–Uhlenbeck (O-U) process, which can better reflect the state of the financial market. If the parents pass away prior to their retirement time, the children do not have any work income and LI can be purchased to hedge the loss of wealth due to the parents’ accidental death. Meanwhile, utility functions (UFs) of the parents and children are individually taken into account in relation to the uncertain lifetime. The purpose of the family is to appropriately maximize the weighted average of the corresponding utilities of the parents and children. The optimal strategies of the problem are achieved using a dynamic programming approach to solve the associated Hamilton–Jacobi–Bellman (HJB) equation by employing the convex dual theory and Legendre transform (LT). Finally, we aim to examine how variations in the weight of the parents’ UF and the coefficient of risk aversion affect the optimal policies.

1. Introduction

In this paper, an optimal investment and consumption (OIC) decision problem pertinent to a family with life insurance (LI) for the parents is examined. It is presumed that the parents have an unspecific lifespan, and as long as they are alive, they will receive a random work income up to retirement T > 0 . If the parents pass away prior to retirement time, the children will not have any work income. In order to guarantee that the children can grow up successfully, the parents can buy LI to hedge the loss of wealth caused by their accidental death. Once the parents’ retirement time has passed, however, the children will have grown up, and they have the work income to support the family. Then, there is no need to purchase LI for the parents. Thus, we consider [ 0 , T ] as the investment horizon. The family is not only permitted to invest in risk-free and high-risk assets, but also earns a random income before the parents retire. The exponential Ornstein–Uhlenbeck (O-U) process is frequently used to explain the price of risky assets, since it can more accurately represent the state of the financial market. Meanwhile, utility functions (UFs) of the parents and children are individually taken into account, accounting for the nonspecific lifetime. The main objective of the family is to achieve the largest possible weighted average of UFs associated with the parents and children. The UFs associated with the parents and children are assumed to pertain to the constant absolute risk aversion (CARA) utility class. By utilizing the convex dual theory and Legendre transform (LT), the explicit expressions of the value function and the optimal strategies are derived. Finally, the influence of variations in the weight of the parents’ UF and the coefficient of risk aversion on the optimal policies is discussed.
LI has been examined in the financial field for a long time. Yaari (1965) [1] first formulated the insurance decision on the personal finance optimization problem in the context of discrete time. Hakansson (1969) [2] explored the life-cycle systems of consumption and saving to consider a person’s lifetime as a discrete random variable on the interval [ 0 , T ] with a known probability distribution. Merton (1969,1971) [3,4] scrutinized the investment and consumption problem in a stochastic case. When the utility represented a constant relative risk aversion (CRRA) or CARA type, a closed-form solution was also established. Richard (1975) [5] introduced the optimal life insurance (OPT-LI) strategy of the optimal consumption and portfolio selection model that was proposed by Merton (1969) [3]. Moore and Young (2006) [6] investigated the OIC and OPT-LI strategies for a person. Pliska and Ye (2007) [7] extended Richard’s model and examined the OPT-LI and consumption for a stipendiary whose lifetime is arbitrary and unlimited. Ye (2008) [8] extended the research work of Pliska and Ye (2007) [7] by considering investment in a financial market. Duarte et al. (2011) [9] continued this idea and extended the model to a multi-dimensional case with more economic interpretations. Kwak et al. (2009) [10] explored the problem of evaluating OIC and OPT-LI for a family whose parents will receive deterministic work income until some deterministic time horizon. Considering the legacy between generations, Kwak et al. (2011) [11] explored a business planning problem for a family consisting of parents and children.
All of the studies mentioned above assumed that investors received fixed work income. However, in real life, a worker’s work income is random. Huang et al. (2008) [12] scrutinized an OPT-LI, OIC and portfolio choice problem involving a stochastic income process by employing the CRRA UF. Subsequently, Huang and Milevsky (2008) [13] extended the model. Under a general hyperbolic absolute risk aversion (HARA) preference, the influences of the relationship between the dynamic of financial investment and human assets on the optimal policies were specifically investigated. A similarity-lessening scheme was exploited to proficiently obtain the numerical solution. Pirvu and Zhang (2012) [14] examined a problem with a mean-reverting stock return and proposed an explicit solution. Feng and Liang (2014) [15] assumed that the expected excess return rate of the risky asset was driven by a mean-reverting process, and OIC strategies were obtained. Zeng et al. (2015) [16] extended Huang and Milevsky (2008) [13] to a random work income that was driven by a mean-reverting process, and an explicit solution was obtained using the CARA UF. By employing a Heston stochastic volatility model, Liang and Zhao (2016) [17] investigated an optimal control problem of investment, consumption, and LI in the presence of the stochastic interest rate. The optimal strategies of the problem were derived via a dynamic programming method. Han and Hung (2017) [18] solved the OPT-LI, OIC, and portfolio decisions of a salary earner before retirement, accounting for the interest rate and inflation risks. By utilizing the copula and common-shock models, Wei et al. (2020) [19] modeled interrelated lifetimes of the two salary earners. The corresponding analytical solutions were developed for the resolution of the optimal strategies in both the copula and a special case of the common-shock models. Koo and Lim (2021) [20] examined the time-inconsistent agent’s OIC and OPT-LI purchase acted upon by a tariff system. Wang et al. (2021) [21] explored optimal decisions on consumption, investment and purchasing LI of a family involving two successive generations, parents and children, accounting for the income increase and model uncertainties.
However, all of the above studies assumed that the risky asset followed a geometric Brownian motion (GBM). For such a specific motion, the expected return rate μ is considered to be unvarying, indicating the existence of a force that makes the stock price always run in the same direction. In fact, it is not practically rational; that is to say, it cannot interpret the volatility of the expected return. Considering that the rising momentum and trend of the stock price are not strong enough when it rises to a certain high level, we will take α ( μ ln s ) as the expected return rate. In the present work, we will exploit the exponential O-U process as an alternative to the standard GBM to explain the price of the risky asset. To the best of the authors’ knowledge, the exponential O-U process has not appeared in previous research associated with LI problems yet.
The novel features of the present study are itemized as follows. (1) UFs of the parents and children are individually taken into account under the uncertain lifetime. The main objective of a family is to obtain the largest possible weighted average of utilities of the parents and children. In another paper by Kwak et al. (2011) [11], the OIC insurance problem of a family with the parents and children was methodically explored. Nevertheless, the main assumption was that the parents would obtain fixed work income and the risky asset price followed GBM. A martingale approach was then employed to solve the corresponding optimization problem. In the present paper, it is assumed that the parents receive stochastic work income and the risky asset price is in accordance with the exponential O-U process. Subsequently, the approaches of stochastic control and partial differential equations (PDEs) are exploited to examine an optimal portfolio, consumption, and LI premium choice problem of a family. (2) Wang et al. (2021) [21] also considered an OIC insurance problem of a family with the parents and children. However, in that paper, they assumed that the price of the risky asset followed GBM, and they applied the robustness approach, Girsanov transform and exponential-affine separated form to solve the optimization problem. In this paper, we assume that the price of the risky asset follows the exponential O-U process, and we adopt stochastic optimal control, the convex dual theory and LT methodologies to solve the optimization problem. Our methods are different from those described in [11,21]. (3) The exponential O-U process and stochastic work income increase the dimension of the HJB equation and make the problem more complicated and difficult to solve. As far as we know, the traditional study of LI from the perspective of financial asset portfolio, the situation that the risky asset satisfies the exponential O-U process has not been studied in previous works.
The present paper proceeds in the following form. In Section 2, model assumptions are described. In Section 3, the mathematical model is established for the optimization problem by employing the dynamic programming principle. The optimal strategies of the problem are derived and the associated HJB equation is solved by implementing the convex dual theory and LT methodology. In Section 4, several numerical examples are provided to demonstrate the impacts of the model parameters on the OIC strategies. Finally, the obtained results are briefly explained in Section 5.

2. Model Hypothesis

Herein, the basic assumption is that the parents should make decisions about consuming, investing, and buying LI. The factor T is assumed to be a positive and finite benchmark time horizon. ( Ω , F t , P ) represents a complete probability space. { F t } denotes the P —augmentation of the natural filtration produced by a two-dimensional Brownian motion ( W 1 ( t ) , W 2 ( t ) ) . The time economy factor in its own continuous form includes a financial market as well as an insurance market.

2.1. Financial Market

Let us take into account an optimization problem of an individual family up to the parents’ specified retirement time T. Two particular assets, a risk-free and a risky one, are considered. The price of the risk-free asset at an arbitrary time t is represented by B ( t ) , which varies as in the following form
d B ( t ) = r B ( t ) d t ,
in which the parameter r represents the rate of risk-free interest.
In continuing, the function of risky asset price is denoted by S ( t ) , which is evaluated by implementing the exponential O-U process (cf. Pan (2011) [22], Black and Karasinski (1991) [23]).
d S ( t ) = α μ ln S ( t ) S ( t ) d t + σ 1 S ( t ) d W 1 ( t ) ,
in which μ , α and σ 1 are certain constant values, W 1 ( t ) represents the standard BM, μ denotes the expected return rate, and σ 1 represents the volatility.
π ( t ) represents the amount invested in the risky asset S ( t ) ; π ( t ) is admissible if it is { F t } -adapted and satisfies the following relation
0 T π ( t ) 2 d t < . a l m o s t s u r e l y ( a . s . )
Let us consider c p ( t ) and c c ( t ) in order as the consumption rates of the parents and children. c p ( t ) and c c ( t ) are admissible if they are non-negative, { F t } -progressively measurable, and they satisfy the following relation
0 T c p ( t ) d t < a n d 0 T c c ( t ) d t < . a . s .
In particular, it is presumed that the income process satisfies the following mean-reverting process
d Y ( t ) = θ k Y ( t ) d t + σ 2 d W 2 ( t ) , t < τ ^ 0 . t τ ^
Assuming that τ represents the parents’ time of death, τ ^ = min ( τ , T ) , θ , k and σ 2 denote the constant values, and W 2 ( t ) represents another standard BM. The correlation coefficient between W 1 ( t ) and W 2 ( t ) is represented by ρ . That is, C o v [ W 1 ( t ) , W 2 ( t ) ] = ρ d t . Wang (2009) [24] and Zeng et al. (2015) [16] exploit the process displayed in Equation (3) to model the work income in the continuous time framework.

2.2. Life Insurance

We assume that the parents are alive at t = 0 and the parents’ lifetime τ ˜ represents a non-negative random variable displayed on the probability space ( Ω , F t , P ) , τ ˜ does not rely on the filtration { F ( t ) } t [ 0 , T ] . Let us introduce the hazard function λ t : [ 0 , T ] R + ; it is the instantaneous death rate, which is defined by
λ t = lim ε 0 P ( t τ ˜ < t + ε | τ ˜ t ) ε .
The hazard function λ t is a continuous and deterministic function. Subsequently, the conditional probability of the survival, from age y ˜ to age y ˜ + t , in which y ˜ denotes the age of the parents at an initial time, is evaluated as follows
t P y ˜ = e 0 t λ y ˜ + s d s .
Assuming the family’s insurance premium rate as I ( t ) , then they receive an insurance benefit I ( τ ) / λ y ˜ + τ at the parents’ time of death τ . Further, let us define X ( t ) as the family’s wealth; subsequently, the entire legacy M ( t ) at the time of death of the parents t can be denoted by
M ( t ) = X ( t ) + I ( t ) λ y ˜ + t .

2.3. Wealth Process

The parents start with wealth x R + and receive income Y ( t ) during the period [ 0 , τ ^ ] . This means that the income will be terminated by the parents’ death time τ or retirement time T, whichever occurs first. At the time t < τ ^ , the wealth of family X ( t ) meets the following stochastic differential equation (SDE)
d X ( t ) = π ( t ) d S ( t ) S ( t ) + X ( t ) π ( t ) d B ( t ) B ( t ) + Y ( t ) I ( t ) c p ( t ) c c ( t ) d t = π ( t ) α ( μ ln s ) r + r X ( t ) + Y ( t ) I ( t ) c p ( t ) c c ( t ) d t + σ 1 π ( t ) d W 1 ( t ) .
At the time t, τ ^ t T ; that is, τ < T , it is implied that the parents die before T, c p ( t ) = 0 and Y ( t ) = 0 for the period. There is no need to purchase LI for the parents, so I ( t ) = 0 . The family’s wealth function, X ( t ) , satisfies the given SDE below
d X ( t ) = π ( t ) ( α ( μ ln S ) r ) + r X ( t ) c c ( t ) d t + σ 1 π ( t ) d W 1 ( t ) .

3. HJB Equation

The family is faced with the problem of finding strategies that maximize the expected discounted utility. This problem can be formulated by means of optimal control theory.
At the time t, the objective function of the family J ( t , y , s , x ; c p ( t ) , c c ( t ) , π ( t ) , I ( t ) ) , t < τ ^ , is given by
J ( t , y , s , x ; c p ( t ) , c c ( t ) , π ( t ) , I ( t ) ) = E t α 1 t τ ^ e δ ( η t ) U p ( c p ( η ) ) d η + α 2 t T e δ ( η t ) U c ( c c ( η ) ) d η + e δ ( T t ) U ( X T ) = E t [ t τ ^ e δ ( η t ) α 1 U p ( c p ( η ) ) + α 2 U c ( c c ( η ) ) d η + α 2 τ ^ T e δ ( η t ) U c ( c c ( η ) ) d η + e δ ( T t ) U ( X T ) | X t = x , Y t = y , S t = s ] ,
where E t is the conditional expectation operator, δ > 0 is a constant discount rate, α 1 0 and α 2 0 represent the constant weights of the UFs pertinent to the parents and children, satisfying the relation: α 1 + α 2 = 1 . U p ( c p ( t ) ) and U c ( c c ( t ) ) in order denote the UFs pertinent to the parents and children, and U ( X T ) represents the utility function of terminal wealth. It is further assumed that the UFs are CARA type
U i ( c i ) = 1 γ i e γ i c i . i = p , c
Thereby, at any time t < τ ^ , the family’s value function, V ( t , y , s , x ) , is provided by
V ( t , y , s , x ) = sup { c p , c c , π , I } J ( t , y , s , x ; c p ( t ) , c c ( t ) , π ( t ) , I ( t ) ) = sup { c p , c c , π , I } E t [ t τ ^ e δ ( η t ) α 1 U p ( c p ( η ) + α 2 U c ( c c ( η ) ) d η + α 2 τ ^ T e δ ( η t ) U c ( c c ( η ) ) d η + e δ ( T t ) U ( X T ) ] .
The family’s objective is to find the optimal strategies c p ( t ) , c c ( t ) , π ( t ) and I ( t ) .
Using dynamic programming principle and It o ^ ’s formula, we can derive that V ( t , y , s , x ) satisfies the following HJB equation (cf. Huang et al. (2008) [12])
V t ( δ + λ y ˜ + t ) V ( t , y , s , x ) + sup { c p , c c , π , I } { α 1 U p ( c p ( t ) ) + α 2 U c ( c c ( t ) ) + H ( t , y , s , x ) + α 2 λ y ˜ + t Φ ( t , s , x + I ( t ) λ y ˜ + t ) } = 0 ,
with the following terminal condition
V ( T , y , s , x ) = U ( x ) = 1 γ e γ x .
where the function H is given by
H ( t , y , s , x ) = π ( t ) α ( μ ln s ) r + r x + y c p ( t ) c c ( t ) I ( t ) V x + ( θ k y ) V y + α ( μ ln s ) s V s + 1 2 σ 1 2 π ( t ) 2 V x x + 1 2 σ 2 2 V y y + 1 2 σ 1 2 s 2 V s s + π ( t ) σ 1 2 s V x s + π ( t ) ρ σ 1 σ 2 V x y + ρ σ 1 σ 2 s V s y .
The Φ ( t , s , x ) satisfies the following HJB equation but without work income and life insurance,
Φ t + sup { c c , π } { U c ( c c ( t ) ) + π ( t ) α ( μ ln s ) r + r x c c ( t ) Φ x + α ( μ ln s ) s Φ s + 1 2 σ 1 2 π ( t ) 2 Φ x x + 1 2 σ 1 2 s 2 Φ s s + σ 1 2 π ( t ) s Φ x s } = 0 .

4. Model Solution

4.1. The Post-Death Period

If we want to solve the given stochastic control problem in Equation (9), we must solve the function Φ ( t , s , x ) first. Now, we adopt the backward method to solve this problem. After the death of the parents, the value function of the family for τ ^ t T , Φ ( t , s , x ) satisfies Equation (11). Hence, we should now proceed to solve the equation.
In the present work, we assume γ = γ c , with the terminal condition
Φ ( T , s , x ) = U ( x ) .
Using Equation (11), we can obtain the optimal strategies as follows
c c ( t ) = 1 γ c ln ( Φ x ) , π ( t ) = σ 1 2 s Φ x s + α ( μ ln s ) r Φ x σ 1 2 Φ x x .
By substituting Equation (13) into Equation (11), the following second-order PDE can be obtained
Φ t + α ( μ ln s ) s Φ s + r x Φ x + 1 2 σ 1 2 s 2 Φ s s + 1 γ c ln ( Φ x ) Φ x 1 γ c Φ x σ 1 2 s Φ x s + α ( μ ln s ) r Φ x 2 2 σ 1 2 Φ x x = 0 .
It is worth mentioning that the stochastic control problem has been transformed into a nonlinear second-order partial differential equation; however, it is still challenging to obtain the solution. As a potential solution, the problem can be transformed into a dual one and a linear partial differential equation by employing LT and dual theory.
Definition 1.
Let f : R n R be a convex function; for z > 0 , a Legendre transform is defined by
L ( z ) = sup x f ( x ) z x .
where function L ( z ) represents the Legendre dual of function f ( x ) (see Jonsson and Sircar (2002) [25] and Gao (2009) [26]).
If f ( x ) is a strictly convex function, the maximum value of the above-described equation occurs at one point, which is indicated by x 0 . Then,
L ( z ) = f ( x 0 ) z x 0 .
We define a Legendre transform as follows
Φ ^ ( t , s , z ) : = sup x > 0 Φ ( t , s , x ) z x | 0 < x < , τ ^ < t < T
where the positive factor z represents the dual variable of x. The value of x, where the optimum condition is achieved, is indicated by g ( t , s , z ) . Therefore,
g ( t , s , z ) : = inf x > 0 x | Φ ( t , s , x ) z x + Φ ^ ( t , s , z ) . τ ^ < t < T
This leads to
Φ ^ ( t , s , z ) = Φ ( t , s , g ) z g , g ( t , s , z ) = x .
The functions g ( t , s , z ) and Φ ^ ( t , s , z ) are closely related and each one can be called a dual of Φ .
By differentiating Equation (15) with respect to t, s, and z, the derivatives of Φ and Φ ^ are derived in the following form, where the corresponding transformation rules can be explained based on the works of Jonsson and Sircar (2002) [25] and Gao (2009) [26].
Φ t = Φ ^ t , Φ s = Φ ^ s , Φ x = z , Φ ^ z = g , Φ x x = 1 Φ ^ z z , Φ s s = Φ ^ s s Φ ^ s z 2 Φ ^ z z , Φ x s = Φ ^ s z Φ ^ z z .
At the terminal time, we indicate
U ^ ( z ) = sup x > 0 U ( x ) z x | 0 < x < ,
G ( z ) = sup x > 0 x | U ( x ) z x + U ^ ( z ) .
Hence,
G ( z ) = ( U ) 1 ( z ) .
Generally, G represents the inverse of marginal utility (see Jonsson and Sircar (2002) [25] and Gao (2009) [26]).
Note that Φ ( T , s , x ) = U ( x ) , and subsequently at the terminal time T, it can be expressed
g ( T , s , z ) : = inf x > 0 x | U ( x ) z x + Φ ^ ( T , s , z ) ,
Φ ^ ( T , s , z ) : = sup x > 0 U ( x ) z x .
So that
g ( T , s , z ) = ( U ) 1 ( z ) .
By substituting (16) into (14), the following equation can be obtained
Φ ^ t + α ( μ ln s ) s Φ ^ s + 1 2 σ 1 2 s 2 Φ ^ s s + α ( μ ln s ) r 2 2 σ 1 2 z 2 Φ ^ z z α ( μ ln s ) r s z Φ ^ s z + r g z + z γ c ( ln z 1 ) = 0 .
Therefore, by taking the derivative of the equation for Φ ^ with respect to z, and then by combining it with Φ ^ z = g , we derive
g t + r s g s + α ( μ ln s ) r 2 σ 1 2 r z g z + α ( μ ln s ) r 2 2 σ 1 2 z 2 g z z + 1 2 σ 1 2 s 2 g s s α ( μ ln s ) r s z g s z r g ln z γ c = 0 .
It is noticed that the nonlinear Equation (14) has been now transformed into the linear Equation (18). The problem now is to solve (18) for the dual g. For an exponential UF described by Equation (7) and based on Equation (17), the following relation is obtained
g ( T , s , z ) = 1 γ c ln z .
A solution to Equation (18) can be inferred to be in the following form
g ( t , s , z ) = 1 γ c b ( t ) ln z + m ( t , s ) + a ( t ) ,
with the following boundary conditions: b ( T ) = 1 , a ( T ) = 0 , m ( T , s ) = 0 .
g t = 1 γ c b ( t ) ln z + m ( t , s ) + b ( t ) m t + a ( t ) , g s = 1 γ c b ( t ) m s , g z = 1 γ c b ( t ) z , g s s = 1 γ c b ( t ) m s s , g z z = 1 γ c b ( t ) z 2 , g s z = 0 .
Substituting these derivatives into Equation (18), we have
[ b ( t ) r b ( t ) + 1 ] ln z + r a ( t ) a ( t ) γ c + [ ( b ( t ) b ( t ) r ) m + m t + r s m s + 1 2 σ 1 2 s 2 m s s + α ( μ ln s ) r 2 2 σ 1 2 r ] b ( t ) = 0 .
This relation can be split into the following three equations
b ( t ) r b ( t ) + 1 = 0 ,
r a ( t ) a ( t ) = 0 ,
b ( t ) b ( t ) r m + m t + r s m s + 1 2 σ 1 2 s 2 m s s + α ( μ ln s ) r 2 2 σ 1 2 r = 0 .
According to the terminal conditions: b ( T ) = 1 and a ( T ) = 0, the solutions to Equations (20) and (21) are
b ( t ) = 1 r + 1 1 r e r ( t T ) , a ( t ) = 0 .
Substituting (23) into (22) and combining (20), we obtain the other form of Equation (22)
1 b ( t ) m + m t + r s m s + 1 2 σ 1 2 s 2 m s s + α ( r α μ ) σ 1 2 ln s + α 2 2 σ 1 2 ( ln s ) 2 + ( r α μ ) 2 2 σ 1 2 r = 0 .
An appropriate solution to Equation (24) is established with the following structure
m ( t , s ) = A 1 ( t ) + A 2 ( t ) ln s + A 3 ( t ) ( ln s ) 2 ,
with A 1 ( T ) = 0 , A 2 ( T ) = 0 , A 3 ( T ) = 0 . Substituting (25) into (24), we get
[ 1 b ( t ) A 1 ( t ) + A 1 ( t ) + r σ 1 2 2 A 2 ( t ) + σ 1 2 A 3 ( t ) + ( r α μ ) 2 2 σ 1 2 r ] + 1 b ( t ) A 2 ( t ) + A 2 ( t ) + ( 2 r σ 1 2 ) A 3 ( t ) + α ( r α μ ) σ 1 2 ln s + 1 b ( t ) A 3 ( t ) + A 3 ( t ) + α 2 2 σ 1 2 ( ln s ) 2 = 0 .
By equating the coefficients, Equation (26) can be decomposed into the three conditions
1 b ( t ) A 3 ( t ) + A 3 ( t ) + α 2 2 σ 1 2 = 0 ,
1 b ( t ) A 2 ( t ) + A 2 ( t ) + ( 2 r σ 1 2 ) A 3 ( t ) + α ( r α μ ) σ 1 2 = 0 ,
1 b ( t ) A 1 ( t ) + A 1 ( t ) + ( r σ 1 2 2 ) A 2 ( t ) + σ 1 2 A 3 ( t ) + ( r α μ ) 2 2 σ 1 2 r = 0 .
Combining the terminal conditions, the solutions to (27)–(29) are
A 1 ( t ) = t T ( r 1 2 σ 1 2 ) A 2 ( η ) + σ 1 2 A 3 ( η ) + ( r α μ ) 2 2 σ 1 2 r e t η 1 b ( v ) d v d η , A 2 ( t ) = t T ( 2 r σ 1 2 ) A 3 ( η ) + α ( r α μ ) σ 1 2 e t η 1 b ( v ) d v d η , A 3 ( t ) = α 2 2 σ 1 2 t T e t η 1 b ( v ) d v d η .
Note that we have solved the linear Equation (18) and obtained the dual function g of Φ ; the optimal strategies for the problem related to Equation (11) can be obtained by utilizing a CARA utility.
Theorem 1.
After the death of the parents, for τ ^ t T , the value function is provided by
Φ ( t , s , x ) = b ( t ) γ c exp γ c b ( t ) x A 1 ( t ) A 2 ( t ) ln s A 3 ( t ) ( ln s ) 2 ,
where
b ( t ) = 1 r + ( 1 1 r ) e r ( t T ) , A 1 ( t ) = t T ( r 1 2 σ 1 2 ) A 2 ( η ) + σ 1 2 A 3 ( η ) + ( r α μ ) 2 2 σ 1 2 r e t η 1 b ( v ) d v d η , A 2 ( t ) = t T ( 2 r σ 1 2 ) A 3 ( η ) + α ( r α μ ) σ 1 2 e t η 1 b ( v ) d v d η , A 3 ( t ) = α 2 2 σ 1 2 t T e t η 1 b ( v ) d v d η .
The optimal admissible investment consumption strategies are provided by
c c ( t ) = 1 γ c γ c b ( t ) x + A 1 ( t ) + A 2 ( t ) ln s + A 3 ( t ) ( ln s ) 2 , π ( t ) = b ( t ) γ c α ( μ ln s ) r σ 1 2 A 2 ( t ) 2 A 3 ( t ) ln s .
Proof. 
From Equations (19), (23), (25) and (30), we can obtain the dual function
g ( t , s , z ) = b ( t ) γ c ln z + A 1 ( t ) + A 2 ( t ) ln s + A 3 ( t ) ( ln s ) 2 .
Combining the equation g ( t , s , z ) = x yields
z = exp γ c b ( t ) x A 1 ( t ) A 2 ( t ) ln s A 3 ( t ) ( ln s ) 2 .
Integrating both sides of the equation Φ x = z , and combining the terminal condition Φ ( T , s , x ) = 1 γ c e γ c x , we conclude
Φ ( t , s , x ) = b ( t ) γ c exp γ c b ( t ) x A 1 ( t ) A 2 ( t ) ln s A 3 ( t ) ( ln s ) 2 .
From (13) and the value function Φ , we obtain the optimal admissible investment consumption strategies
c c ( t ) = 1 γ c γ c b ( t ) x + A 1 ( t ) + A 2 ( t ) ln s + A 3 ( t ) ( ln s ) 2 , π ( t ) = b ( t ) γ c α ( μ ln s ) r σ 1 2 A 2 ( t ) 2 A 3 ( t ) ln s .

4.2. The Pre-Death Period

Now we have obtained the function Φ , we will substitute it into Equation (9) to achieve our goal. When the parents are alive, we can solve V using a method similar to the post-death period. As demonstrated by Equations (9) and (10), the optimal strategies are
c p ( t ) = 1 γ p ln V x α 1 , c c ( t ) = 1 γ c ln V x α 2 , I ( t ) = b ( t ) λ y ˜ + t γ c ln V x ln α 2 + γ c b ( t ) x + m ( t , s ) , π ( t ) = α ( μ ln s ) r V x + σ 1 2 s V x s + ρ σ 1 σ 2 V x y σ 1 2 V x x .
Substituting them into Equation (9), we obtain
( δ + λ y ˜ + t ) V = V t 1 γ p + 1 γ c V x + ( r x + y ) V x + 1 γ p ln ( V x α 1 ) V x + 1 γ c ln ( V x α 2 ) V x + b ( t ) λ y ˜ + t γ c ln V x ln α 2 + γ c b ( t ) x + m ( t , s ) 1 V x + ( θ k y ) V y + α ( μ ln s ) s V s + 1 2 σ 2 2 V y y + 1 2 σ 1 2 s 2 V s s + ρ σ 1 σ 2 s V s y α ( μ ln s ) r V x + σ 1 2 s V x s + ρ σ 1 σ 2 V x y 2 2 σ 1 2 V x x .
Remark 1.
It should be noticed that the stochastic control problem has been transformed into a nonlinear second-order PDE. The explicit solution can only be obtained in the special case of ρ = ± 1 ; that is to say, the BMs of the risky asset and the wage are completely positive correlation or completely negative correlation. If the risk aversion coefficients γ p , γ c and γ will be dissimilar, the explicit solution cannot be sought. Therefore, it is assumed that γ p = γ c = γ .
Similar to Section 4.1, we exploit LT and dual theory
V ^ ( t , y , s , z ) = V ( t , y , s , f ) z f , f ( t , y , s , z ) = x .
Equation (35) is similar to Equation (15). By differentiating Equation (35) with respect to t, s, y and z, we obtain
V t = V ^ t , V x = z , V s = V ^ s , V y = V ^ y ,
V x x = 1 V ^ z z , V x s = V ^ s z V ^ z z , V s s = V ^ s s V ^ s z 2 V ^ z z ,
V s y = V ^ s y V ^ s z V ^ y z V ^ z z , V y y = V ^ y y V ^ y z 2 V ^ z z , V x y = V ^ y z V ^ z z .
Substituting these derivatives into (34), differentiating V ^ with respect to z, and combining V ^ z = f , we derive
f t ( 2 λ y ˜ + t + δ + r ) f + r s f s + θ k y β α ( μ ln s ) r f y + 1 2 σ 1 2 s 2 f s s + 1 2 σ 2 2 f y y r + λ y ˜ + t α ( μ ln s ) r 2 σ 1 2 z f z β α ( μ ln s ) r z f y z + α ( μ ln s ) r 2 2 σ 1 2 z 2 f z z α ( μ ln s ) r s z f s z + β σ 1 2 s f s y b ( t ) λ y ˜ + t γ ln z ln α 2 + m ( t , s ) 1 γ ln z α 1 + ln z α 2 y = 0 ,
here β = ρ σ 2 σ 1 , ρ = ± 1 . It should be noticed that the non-linear Equation (34) has been transformed into the linear Equation (36). By proceeding to solve Equation (36) for the dual f with the terminal condition
f ( T , y , s , z ) = 1 γ ln z .
An appropriate solution to Equation (36) can be sought as follows
f ( t , y , s , z ) = 1 γ q ( t ) ln z + h ( t , y , s ) + n ( t ) ,
with the following boundary conditions: q ( T ) = 1 , n ( T ) = 0 , h ( T , y , s ) = 0 . By differentiating Equation (37) with respect to t, s, y and z, we derive
f t = 1 γ q ( t ) ln z + h ( t , y , s ) + q ( t ) h t + n ( t ) , f s = 1 γ q ( t ) h s , f z = 1 γ q ( t ) z , f y = 1 γ q ( t ) h y , f s s = 1 γ q ( t ) h s s , f z z = 1 γ q ( t ) z 2 , f s z = 0 , f y y = 1 γ q ( t ) h y y , f s y = 1 γ q ( t ) h s y , f y z = 0 .
Substituting these derivatives into (36), we conclude
q ( t ) ( 2 λ y ˜ + t + δ + r ) q ( t ) + b ( t ) λ y ˜ + t + 2 ln z + ( 2 λ y ˜ + t + δ + r ) n ( t ) n ( t ) γ + [ q ( t ) q ( t ) ( 2 λ y ˜ + t + δ + r ) h + h t + r s h s + θ k y β α ( μ ln s ) r h y + 1 2 σ 1 2 s 2 h s s + 1 2 σ 2 2 h y y + β σ 1 2 s h s y + γ q ( t ) y + α ( μ ln s ) r 2 2 σ 1 2 ( r + λ y ˜ + t ) + b ( t ) q ( t ) λ y ˜ + t ( m ( t , s ) ln α 2 ) 1 q ( t ) ln α 1 α 2 ] q ( t ) = 0 .
By splitting Equation (38) into the three relations
q ( t ) ( 2 λ y ˜ + t + δ + r ) q ( t ) + b ( t ) λ y ˜ + t + 2 = 0 ,
( 2 λ y ˜ + t + δ + r ) n ( t ) n ( t ) = 0 ,
[ q ( t ) q ( t ) ( 2 λ y ˜ + t + δ + r ) ] h + h t + r s h s + θ k y β ( α ( μ ln s ) r ) h y + 1 2 σ 1 2 s 2 h s s + 1 2 σ 2 2 h y y + β σ 1 2 s h s y + γ q ( t ) y + α ( μ ln s ) r 2 2 σ 1 2 ( r + λ y ˜ + t ) + b ( t ) q ( t ) λ y ˜ + t m ( t , s ) ln α 2 ln α 1 α 2 q ( t ) = 0 .
By imposing the terminal conditions q ( T ) = 1 and n ( T ) = 0 , the appropriate solutions to Equations (39) and (40) are sought as follows
n ( t ) = 0 ,
q ( t ) = e t T ( 2 λ y ˜ + v + δ + r ) d v + t T ( λ y ˜ + η + b ( η ) + 2 ) e t η 1 b ( v ) ( 2 λ y ˜ + v + δ + r ) d v d η .
A solution to Equation (41) is constructed with the following structure
h ( t , y , s ) = B 1 ( t ) + B 2 ( t ) y + B 3 ( t ) ln s + B 4 ( t ) ( ln s ) 2 .
Substituting (44) into (41) and combining (39), we obtain
[ λ y ˜ + t b ( t ) + 2 q ( t ) B 1 ( t ) + B 1 ( t ) + [ θ + β ( r α μ ) ] B 2 ( t ) + ( r σ 1 2 2 ) B 3 ( t ) + σ 1 2 B 4 ( t ) + ( r α μ ) 2 2 σ 1 2 + λ y ˜ + t b ( t ) q ( t ) ( A 1 ( t ) ln α 2 ) ( r + λ y ˜ + t ) ln α 1 α 2 q ( t ) ] + λ y ˜ + t b ( t ) + 2 + k q ( t ) q ( t ) B 2 ( t ) + B 2 ( t ) + γ q ( t ) y + [ λ y ˜ + t b ( t ) + 2 q ( t ) B 3 ( t ) + B 3 ( t ) + α β B 2 ( t ) + ( 2 r σ 1 2 ) B 4 ( t ) + λ y ˜ + t b ( t ) q ( t ) A 2 ( t ) + α ( r α μ ) σ 1 2 ] ln s + λ y ˜ + t b ( t ) + 2 q ( t ) B 4 ( t ) + B 4 ( t ) + b ( t ) q ( t ) λ y ˜ + t A 3 ( t ) + α 2 2 σ 1 2 ( ln s ) 2 = 0 .
By equating the coefficients, Equation (45) can be decomposed into the four conditions
B 1 ( t ) λ y ˜ + t b ( t ) + 2 q ( t ) B 1 ( t ) + [ θ + β ( r α μ ) ] B 2 ( t ) + ( r σ 1 2 2 ) B 3 ( t ) + σ 1 2 B 4 ( t ) + λ y ˜ + t b ( t ) q ( t ) ( A 1 ( t ) ln α 2 ) ( r + λ y ˜ + t ) ln α 1 α 2 q ( t ) + ( r α μ ) 2 2 σ 1 2 = 0 ,
B 2 ( t ) λ y ˜ + t b ( t ) + 2 + k q ( t ) q ( t ) B 2 ( t ) + γ q ( t ) = 0 ,
B 3 ( t ) λ y ˜ + t b ( t ) + 2 q ( t ) B 3 ( t ) + α β B 2 ( t ) + ( 2 r σ 1 2 ) B 4 ( t ) + λ y ˜ + t b ( t ) q ( t ) A 2 ( t ) + α ( r α μ ) σ 1 2 = 0 ,
B 4 ( t ) λ y ˜ + t b ( t ) + 2 q ( t ) B 4 ( t ) + λ y ˜ + t b ( t ) q ( t ) A 3 ( t ) + α 2 2 σ 1 2 = 0 .
Combining the terminal conditions B 1 ( T ) = 0 , B 2 ( T ) = 0 , B 3 ( T ) = 0 and B 4 ( T ) = 0 , the solutions to (46)–(49) are
B 1 ( t ) = t T { [ θ + β ( r α μ ) ] B 2 ( η ) + ( r σ 1 2 2 ) B 3 ( η ) + σ 1 2 B 4 ( η ) + ( r α μ ) 2 2 σ 1 2 ( r + λ y ˜ + η ) 1 q ( η ) ln α 1 α 2 + λ y + η b ( η ) q ( η ) A 1 ( η ) ln α 2 } e t η 1 q ( v ) ( λ y ˜ + v b ( v ) + 2 ) d v d η , B 2 ( t ) = t T γ q ( η ) e t η 1 q ( v ) ( λ y ˜ + v b ( v ) + 2 + k q ( s ) ) d v d η , B 3 ( t ) = t T [ α β B 2 ( η ) + ( 2 r σ 1 2 ) B 4 ( η ) + λ y ˜ + η b ( η ) q ( η ) A 2 ( η ) + α ( r α μ ) σ 1 2 ] e t η 1 q ( v ) ( λ y ˜ + v b ( v ) + 2 ) d v d η , B 4 ( t ) = t T α 2 2 σ 1 2 + λ y ˜ + η b ( η ) q ( η ) A 3 ( η ) e t η 1 q ( v ) ( λ y ˜ + v b ( v ) + 2 ) d v d η .
Theorem 2.
When parents are alive, for 0 < t < τ ^ , the value function V is provided by
V ( t , y , s , x ) = q ( t ) γ exp γ q ( t ) x B 1 ( t ) B 2 ( t ) y B 3 ( t ) ln s B 4 ( t ) ( ln s ) 2 ,
where
q ( t ) = e t T ( 2 λ y ˜ + v + δ + r ) d v + t T λ y ˜ + η b ( η ) + 2 e t η 1 b ( v ) ( 2 λ y ˜ + v + δ + r ) d v d η , B 1 ( t ) = t T { θ + β ( r α μ ) B 2 ( η ) + r σ 1 2 2 B 3 ( η ) + σ 1 2 B 4 ( η ) + ( r α μ ) 2 2 σ 1 2 ( r + λ y ˜ + η ) 1 q ( η ) ln α 1 α 2 + λ y ˜ + η b ( η ) q ( η ) A 1 ( η ) ln α 2 } e t η 1 q ( v ) ( λ y ˜ + v b ( v ) + 2 ) d v d η , B 2 ( t ) = t T γ q ( η ) e t η 1 q ( v ) ( λ y ˜ + v b ( v ) + 2 + k q ( v ) ) d v d η , B 3 ( t ) = t T [ α β B 2 ( η ) + ( 2 r σ 1 2 ) B 4 ( η ) + b ( η ) q ( η ) λ y ˜ + η A 2 ( η ) + α ( r α μ ) σ 1 2 ] e t η 1 q ( v ) ( λ y ˜ + v b ( v ) + 2 ) d v d η , B 4 ( t ) = t T α 2 2 σ 1 2 + b ( η ) q ( η ) λ y ˜ + η A 3 ( η ) e t η 1 q ( v ) ( λ y ˜ + v b ( v ) + 2 ) d v d η .
The optimal admissible investment consumption insurance strategies are provided by
c p ( t ) = 1 γ γ q ( t ) x + B 1 ( t ) + B 2 ( t ) y + B 3 ( t ) ln s + B 4 ( t ) ( ln s ) 2 + ln α 1 , c c ( t ) = 1 γ γ q ( t ) x + B 1 ( t ) + B 2 ( t ) y + B 3 ( t ) ln s + B 4 ( t ) ( ln s ) 2 + ln α 2 , I ( t ) = b ( t ) λ y ˜ + t γ [ γ b ( t ) γ q ( t ) x ln α 2 + A 1 ( t ) B 1 ( t ) + ( A 2 ( t ) B 3 ( t ) ) ln s + A 3 ( t ) B 4 ( t ) ( ln s ) 2 B 2 ( t ) y ] , π ( t ) = q ( t ) γ α ( μ ln s ) r σ 1 2 + B 3 ( t ) + 2 B 4 ( t ) ln s + β B 2 ( t ) .
Proof. 
From Equations (37), (42)–(44) and (50), we can obtain
f ( t , s , z ) = 1 γ q ( t ) ln z + B 1 ( t ) + B 2 ( t ) y + B 3 ( t ) ln s + B 4 ( t ) ( ln s ) 2 .
Combining f ( t , s , z ) = x yields
z = exp γ q ( t ) x B 1 ( t ) B 2 ( t ) y B 3 ( t ) ln s B 4 ( t ) ( ln s ) 2 .
Integrating both sides of the equation V x = z , and combining the terminal condition
V ( T , y , s , x ) = 1 γ e γ x ,
we conclude
V ( t , y , s , x ) = q ( t ) γ exp γ q ( t ) x B 1 ( t ) B 2 ( t ) y B 3 ( t ) ln s B 4 ( t ) ( ln s ) 2 .
From the function (33) and the value function V, the optimal admissible investment consumption insurance strategies can be derived
c p ( t ) = 1 γ γ q ( t ) x + B 1 ( t ) + B 2 ( t ) y + B 3 ( t ) ln s + B 4 ( t ) ( ln s ) 2 + ln α 1 , c c ( t ) = 1 γ γ q ( t ) x + B 1 ( t ) + B 2 ( t ) y + B 3 ( t ) ln s + B 4 ( t ) ( ln s ) 2 + ln α 2 , I ( t ) = b ( t ) λ y ˜ + t γ [ γ b ( t ) γ q ( t ) x ln α 2 + A 1 ( t ) B 1 ( t ) + A 2 ( t ) B 3 ( t ) ln s + A 3 ( t ) B 4 ( t ) ( ln s ) 2 B 2 ( t ) y ] , π ( t ) = q ( t ) γ α ( μ ln s ) r σ 1 2 + B 3 ( t ) + 2 B 4 ( t ) ln s + β B 2 ( t ) .
Remark 2.
It is assumed that γ p = γ c = γ , so the family’s risk preference remains unchanged before and after the death of the parents. Combining Theorems 1 and 2, we find that the present wealth X ( t ) as well as the work income Y ( t ) do not influence the optimal strategy π ( t ) .

5. Numerical Analysis

Herein, some numerical illustrations are given to demonstrate the obtained results and to analyze the properties of the proposed optimal solutions. According to the explicit solutions given in Equations (31), (32), (51) and (52), it is determined that variations in the weight of the parents’ UF affect the optimal policies, and their impact is analyzed. The parameters are chosen as follows: μ = 0.06, σ 1 = 0.03, r = 0.04, δ = 0.04, t = 0, T = 30, θ = 2000, k = 0.02, y = 50,000, σ 2 = 500. We adopt the Gompertz law of mortality (see Huang (2008) [12]) for the λ y ˜ + t ,
λ y ˜ + t = 1 9.5 e ( y ˜ + t 86.3 ) / 9.5 .
We assume that y ˜ = 35, which means that the parents begin to purchase LI when he or she is thirty-five years old.
The selected parameters are similar to those in Kwak (2011) [11] and Zeng (2015) [16]. We set the initial parameters x 0 = 1000, s 0 = 10, α = 1. In all given numerical instances, we assume that the parents’ work income at the age of 35 is 50,000 dollars per year, and it increases by 3% per year before they retire at the age of 65. In this paper, we assume ρ = 1 or 1 . The research methods are similar in both cases, so we only take into account the case of ρ = 1 and present the numerical analysis.
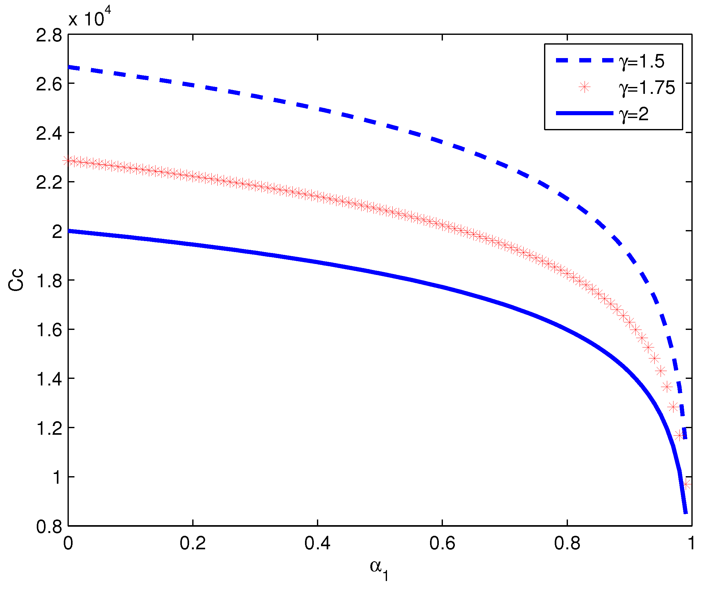
Figure 1 demonstrates the relationhip between the weight of the parents’ UF α 1 and the parents’ optimal consumption strategy c p ( t ) for various risk aversion coefficients. Figure 2 demonstrates the relation between the weight of the parents’ UF α 1 and the children’s optimal consumption strategy c c ( t ) for various risk aversion coefficients. As the value of α 1 increases, we can observe an increase in the optimal consumption of the parents c p ( t ) and a decrease in the optimal consumption of the children c c ( t ) . When the parameter α 1 is fixed, the optimal consumption strategies of the parents and children decrease as the risk aversion coefficient grows. For large values of the risk aversion coefficient, the family chooses conservative consumption.
From Figure 3, we can see that the OPT-LI strategy I ( t ) reduces as α 1 grows. The bequest motive becomes weaker as α 1 becomes larger, and the tendency of the family to exploit wealth for the current consumption rises. Figure 4 shows that the optimal investment strategy π ( t ) is not influenced by α 1 in the case of γ p = γ c = γ . When the risk aversion coefficients of the parents and children are the same, the investment proportion of the risk asset is only affected by the risk aversion coefficient, but is not related to the consumption weight of the parents. The optimal strategies π ( t ) , I ( t ) , c p ( t ) and c c ( t ) lessen as the risk of aversion coefficient γ grows. As the coefficient of the risk aversion grows, the proportion of investment in the risk asset reduces; therefore, the extra income of the family lessens, which affects the consumption of the family.

6. Conclusions

Under the assumption that the parents receive a stochastic work income and the risky asset price is based on an exponential O-U process, the methods of stochastic control and PDEs were exploited to examine the optimal portfolio, consumption, and LI premium choice problem of a family. The UFs of the parents and children were considered separately. The main aim of the family is to achieve the largest possible weighted average of utilities of the parents and children. The mathematical foundation was rigorously established using the dynamic programming principle. The optimal strategies of the problem were carefully obtained and the corresponding HJB equation was solved employing the convex dual theory and LT. Finally, how variations in the weight of the parents’ UF and the coefficient of risk aversion affect the optimal policies was analyzed methodically.

Author Contributions

Writing—review and editing, methodology, and conceptualization, Y.W.; funding acquisition, and validation, J.L.; writing—original draft, D.C.; supervision, J.Z. All authors read and agreed to the published version of the manuscript.

Funding

This work was supported in part by the National Natural Science Foundation for Young Scientists of China (No. 11701377), Fujian Key Laboratory of Financial Information Processing (Putian University) (No. JXC202207), China Scholarship Council (No. 202108310177) and Shanghai Science Technology Foundation “Soft Science” (No. 22692109600).

Data Availability Statement

Not applicable.

Acknowledgments

The authors would like to thank the reviewers for their very helpful comments and suggestions.

Conflicts of Interest

The authors declare no conflict of interest.

References

  1. Yaari, M.E. Uncertain lifetime, life insurance and the theory of the consumer. Rev. Econ. Stud. 1965, 32, 137–150. [Google Scholar] [CrossRef]
  2. Hakansson, N.H. Optimal investment and consumption strategies under risk, an uncertain lifetime and insurance. Int. Econ. Rev. 1969, 10, 443–466. [Google Scholar] [CrossRef]
  3. Merton, R.C. Lifetime portfolio selection under uncertainty: The continuous-time case. Rev. Econ. Stat. 1969, 51, 247–257. [Google Scholar] [CrossRef]
  4. Merton, R.C. Optimum consumption and portfolio rules in a continuous-time model. J. Econ. Theory 1971, 3, 373–413. [Google Scholar] [CrossRef]
  5. Richard, S.F. Optimal consumption, portfolio and life insurance rules for an uncertain lived individual in a continuous time model. J. Financ. Econ. 1975, 2, 187–203. [Google Scholar] [CrossRef]
  6. Moore, K.S.; Young, V.R. Optimal insurance in a continuous-time model. Insur. Math. Econ. 2006, 39, 47–68. [Google Scholar] [CrossRef]
  7. Pliska, S.R.; Ye, J. Optimal life insurance purchase and consumption/investment under uncertain lifetime. J. Bank. Financ. 2007, 31, 1307–1319. [Google Scholar] [CrossRef]
  8. Ye, J. Optimal life insurance, consumption and portfolio under uncertainty: Martingale methods. In Proceedings of the American Control Conference, New York, NY, USA, 9–13 July 2007; pp. 1103–1109. [Google Scholar]
  9. Duarte, I.; Pinheiro, D.; Pinto, A.A.; Pliska, S.R. An overview of optimal life insurance, consumption and investment problem, dynamics, games and science. In Dynamics, Games and Science I. Springer Proceedings in Mathematics Volume 1; Peixoto, M., Pinto, A., Rand, D., Eds.; Springer: Berlin, Germany, 2011; pp. 271–286. [Google Scholar]
  10. Kwak, M.; Shin, Y.H.; Choi, U.J. Optimal portfolio, consumption and retirement decision under a preference change. J. Math. Anal. Appl. 2009, 355, 527–540. [Google Scholar] [CrossRef]
  11. Kwak, M.; Shin, Y.H.; Choi, U.J. Optimal investment and consumption decision of a family with life insurance. Insur. Math. Econ. 2011, 48, 176–188. [Google Scholar] [CrossRef]
  12. Huang, H.; Milevsky, M.A.; Wang, J. Portfolio choice and life insurance: The CRRA case. J. Risk Insur. 2008, 75, 847–872. [Google Scholar] [CrossRef]
  13. Huang, H.; Milevsky, M.A. Portfolio choice and mortality-contingent claims: The general HARA case. J. Bank. Financ. 2008, 32, 2444–2452. [Google Scholar] [CrossRef]
  14. Pirvn, T.A.; Zhang, H. Optimal investment, consumption and life insurance under mean-reverting returns: The complete market solution. Insur. Math. Econ. 2012, 51, 303–309. [Google Scholar] [CrossRef]
  15. Feng, L.; Liang, Z. Optimal household consumption, life insurance and portfolio under O-U process. Econ. Probl. 2014, 9, 31–37. [Google Scholar]
  16. Zeng, X.; Wang, Y.; Carson, J.M. Dynamic portfolio choice with stochastic wage and life insurance. N. Am. Actuar. J. 2015, 19, 256–272. [Google Scholar] [CrossRef]
  17. Liang, Z.; Zhao, X. Optimal investment, consumption and life insurance under stochastic framework. Sci. Sin. Math. 2016, 46, 1863–1882. [Google Scholar]
  18. Han, N.W.; Hung, M.W. Optimal consumption, portfolio, and life insurance policies under interest rate and inflation risks. Insur. Math. Econ. 2017, 73, 54–67. [Google Scholar] [CrossRef]
  19. Wei, J.; Cheng, X.; Jin, Z.; Wang, H. Optimal consumption-investment and life-insurance purchase strategy for couples with correlated lifetimes. Insur. Math. Econ. 2020, 91, 244–256. [Google Scholar] [CrossRef]
  20. Koo, J.E.; Lim, B.H. Consumption and life insurance decisions under hyperbolic discounting and taxation. Econ. Model. 2021, 94, 288–295. [Google Scholar] [CrossRef]
  21. Wang, N.; Jin, Z.; Siu, T.K.; Qiu, M. Household consumption-investment-insurance decisions with uncertain income and market ambiguity. Scand. Actuar. J. 2021, 2021, 832–865. [Google Scholar] [CrossRef]
  22. Pan, Y. Utility indifference pricing and hedging of O-U process. J. Yangzhou Univ. 2011, 14, 15–17. [Google Scholar]
  23. Black, F.; Karasinski, P. Bond and option pricing when short rates are lognormal. Financ. Anal. J. 1991, 47, 52–59. [Google Scholar] [CrossRef]
  24. Wang, N. Optimal consumption and asset allocation with unknown income growth. J. Monet. Econ. 2009, 56, 524–534. [Google Scholar] [CrossRef]
  25. Jonsson, M.; Sircar, R. Optimal investment problems and volatility homogenization approximations. In Modern Methods in Scientific Computing and Applications; Bourlioux, A., Gander, M.J., Eds.; Springer: Dordrecht, The Netherlands, 2002; pp. 255–281. [Google Scholar]
  26. Gao, J. Optimal investment strategy for annuity contracts under the constant elasticity of variance (CEV) model. Insur. Math. Econ. 2009, 45, 9–18. [Google Scholar] [CrossRef]
Figure 1. Relation between α 1 and c p ( t ) for different risk aversion coefficients.
Figure 1. Relation between α 1 and c p ( t ) for different risk aversion coefficients.
Mathematics 11 04148 g001
Figure 2. Relation between α 1 and c c ( t ) for different risk aversion coefficients.
Figure 2. Relation between α 1 and c c ( t ) for different risk aversion coefficients.
Mathematics 11 04148 g002
Figure 3. Relation between α 1 and I ( t ) for different risk aversion coefficients.
Figure 3. Relation between α 1 and I ( t ) for different risk aversion coefficients.
Mathematics 11 04148 g003
Figure 4. Relation between α 1 and π ( t ) .
Figure 4. Relation between α 1 and π ( t ) .
Mathematics 11 04148 g004
Disclaimer/Publisher’s Note: The statements, opinions and data contained in all publications are solely those of the individual author(s) and contributor(s) and not of MDPI and/or the editor(s). MDPI and/or the editor(s) disclaim responsibility for any injury to people or property resulting from any ideas, methods, instructions or products referred to in the content.

Share and Cite

MDPI and ACS Style

Wang, Y.; Lin, J.; Chen, D.; Zhang, J. Optimal Investment–Consumption–Insurance Problem of a Family with Stochastic Income under the Exponential O-U Model. Mathematics 2023, 11, 4148. https://doi.org/10.3390/math11194148

AMA Style

Wang Y, Lin J, Chen D, Zhang J. Optimal Investment–Consumption–Insurance Problem of a Family with Stochastic Income under the Exponential O-U Model. Mathematics. 2023; 11(19):4148. https://doi.org/10.3390/math11194148

Chicago/Turabian Style

Wang, Yang, Jianwei Lin, Dandan Chen, and Jizhou Zhang. 2023. "Optimal Investment–Consumption–Insurance Problem of a Family with Stochastic Income under the Exponential O-U Model" Mathematics 11, no. 19: 4148. https://doi.org/10.3390/math11194148

APA Style

Wang, Y., Lin, J., Chen, D., & Zhang, J. (2023). Optimal Investment–Consumption–Insurance Problem of a Family with Stochastic Income under the Exponential O-U Model. Mathematics, 11(19), 4148. https://doi.org/10.3390/math11194148

Note that from the first issue of 2016, this journal uses article numbers instead of page numbers. See further details here.

Article Metrics

Back to TopTop