Fractal Continuum Mapping Applied to Timoshenko Beams
Abstract
1. Introduction
2. Terminology and Notations
2.1. Fractal Continuum Calculus, -CC
- -
- The fractional norm is given by , where , and the mapping of the fractional coordinates in the fractal continuum to the integer coordinates in the embedding Euclidean space is defined as
- -
- The distance between two points is given as , where .
- -
- The fractal gradient operator is , where and .
- -
- The divergence operator is .
- -
- The Laplacian is .
2.2. Fractal Beams
2.2.1. Carpinteri’s Beam
2.2.2. Balankin’s Beam
3. Fractal Timoshenko Beam Equations
Timoshenko Beam Equations in -CC
4. Transversal Displacement on Fractal Beams
- I
- Simply supported fractal beamwhich leads to
- II
- Cantilever fractal beamtherefore
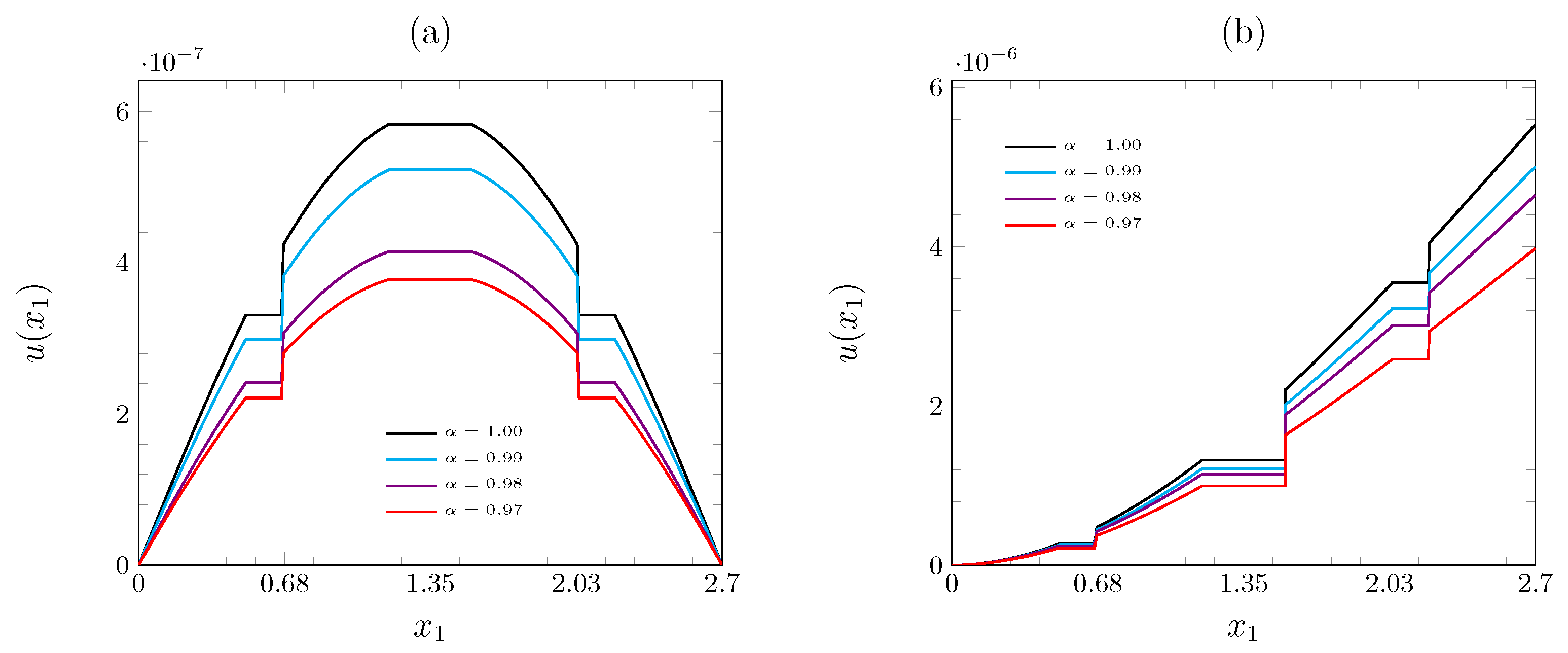
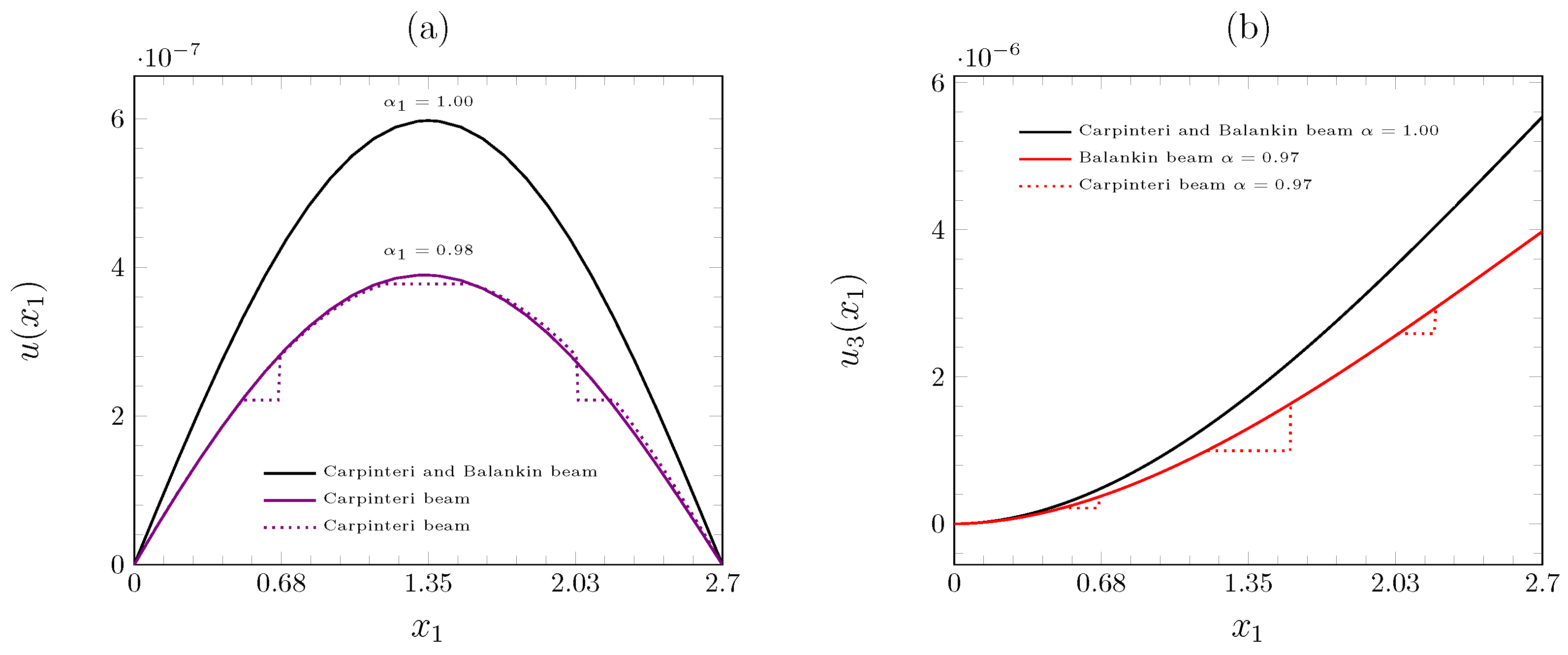
Discussion of Results
5. Conclusions
- i
- The stiffness of the self-similar beam is governed by the parameters , , , and the iteration number of the pre-fractal.
- ii
- The flexural rigidity is affected by the geometry and fractal topology of the beam, such that when increases, decreases. However, Carpinteri’s beam is stiffer than Balankin’s beam, as shown in Figure 4a,c.
- iii
- The fractal mass of each iteration and the boundary conditions of beams, as well as the length scales of similarity, are linked with the scale effect of fractal beams.
- iv
- Using the generalized Timoshenko beam formulation is possible to obtain the exact solutions of a complex scale-invariant beam through the parameter , which includes its topology and fractal geometry.
- v
- The introduced solution coincides with the classical Timoshenko beam theory when .
- vi
- A devil’s staircase-like structural response is presented in Carpinteri’s beams.
- vii
Author Contributions
Funding
Data Availability Statement
Conflicts of Interest
References
- Carpinteri, A.; Cornetti, P.; Sapora, A. A fractional calculus approach to nonlocal elasticity. Eur. Phys. J. Spec. Top. 2011, 193, 193–204. [Google Scholar] [CrossRef]
- Di-Paola, M.; Zingales, M. Long-range cohesive interactions of non-local continuum faced by fractional calculus. Int. J. Solids Struct. 2008, 45, 5642–5659. [Google Scholar] [CrossRef]
- Drapaca, C.S.; Sivaloganathan, S. A Fractional Model of Continuum Mechanics. J. Elast. 2012, 107, 105–123. [Google Scholar] [CrossRef]
- Sumelka, W. Thermoelasticity in the Framework of the Fractional Continuum Mechanics. J. Therm. Stress. 2014, 37, 678–706. [Google Scholar] [CrossRef]
- Lazopoulos, K.A. On Λ-Fractional Analysis and Mechanics. Axioms 2022, 11, 85. [Google Scholar] [CrossRef]
- Zubair, M.; Mughal, M.J.; Naqvi, Q.A. Electromagnetic Fields and Waves in Fractional Dimensional Space; Springer Science & Business Media: Berlin/Heidelberg, Germany, 2012. [Google Scholar]
- Balankin, A.S. Stresses and strains in a deformable fractal medium and in its fractal continuum model. Phys. Lett. 2013, 377, 2535–2541. [Google Scholar] [CrossRef]
- Parvate, A.; Satin, S.; Gangal, A.D. Calculus on fractal curves in Rn. Fractals 2011, 19, 15–27. [Google Scholar] [CrossRef]
- Tarasov, V.E. Continuous medium model for fractal media. Phys. Lett. 2005, 336, 167–174. [Google Scholar] [CrossRef]
- Li, J.; Ostoja-Starzewski, M. Fractal solids, product measures and fractional wave equations. Proc. R. Soc. A 2009, 465, 2521–2536. [Google Scholar] [CrossRef]
- Golmankhaneh, A.K. Fractal Calculus and Its Applications: Fα-Calculus; World Scientific: Singapore, 2022. [Google Scholar]
- Falconer, K. Techniques in Fractal Geometry; John Wiley and Sons: Hoboken, NJ, USA, 1997. [Google Scholar]
- Falconer, K. Fractal Geometry-Mathematical Foundations and Applications, 3rd ed.; Wiley: Hoboken, NJ, USA, 2014. [Google Scholar]
- Kigami, J. Analysis on Fractals; Cambridge University Press: Cambridge, UK, 2000. [Google Scholar]
- Mandelbrot, B.B. Fractals: Form, Chance and Dimension; Echo Point Books & Media: Brattleboro, VT, USA, 2020. [Google Scholar]
- Davey, K.; Rasgado, A. Analytical solutions for vibrating fractal composite rods and beams. Appl. Math. Model. 2011, 35, 1194–1209. [Google Scholar] [CrossRef]
- Rostami, H.; Najafabadi, M.; Ganji, D. Analysis of Timoshenko beam with Koch snowflake cross-section and variable properties in different boundary conditions using finite element method. Adv. Mech. Eng. 2021, 13, 16878140211060982. [Google Scholar] [CrossRef]
- Samayoa, D.; Mollinedo, H.; Jiménez-Bernal, J.A.; Gutiérrez-Torres, C.d.C. Effects of Hausdorff Dimension on the Static and Free Vibration Response of Beams with Koch Snowflake-like Cross Section. Fractal Fract. 2023, 7, 153. [Google Scholar] [CrossRef]
- Stempin, P.; Sumelka, W. Space-fractional Euler-Bernoulli beam model - Theory and identification for silver nanobeam bending. Int. J. Mech. Sci. 2020, 186, 105902. [Google Scholar] [CrossRef]
- Lazopoulos, K.A.; Lazopoulos, A.K. On fractional bending of beams with A-fractional derivative. Arch. Appl. Mech. 2020, 90, 573–584. [Google Scholar] [CrossRef]
- Blaszczyk, T.; Siedlecki, J.; Sun, H.G. An exact solution of fractional Euler-Bernoulli equation for a beam with fixed-supported and fixed-free ends. Appl. Math. Comput. 2021, 396, 125932. [Google Scholar] [CrossRef]
- Yang, A.; Zhang, Q.; Qu, J.; Cui, Y.; Chen, Y. Solving and Numerical Simulations of Fractional-Order Governing Equation for Micro-Beams. Fractal Fract. 2023, 7, 204. [Google Scholar] [CrossRef]
- Lazopoulos, K.A. Stability Criteria and Λ-Fractional Mechanics. Fractal Fract. 2023, 7, 248. [Google Scholar] [CrossRef]
- Ostoja-Starzewski, M.; Li, J. Fractal materials, beams, and fracture mechanics. Z. Angew. Math. Phys. 2009, 60, 1194–1205. [Google Scholar] [CrossRef]
- Samayoa, D.; Damián-Adame, L.; Kryvko, A. Map of a Bending Problem for Self-Similar Beams into the Fractal Continuum Using the Euler–Bernoulli Principle. Fractal Fract. 2022, 6, 230. [Google Scholar] [CrossRef]
- Samayoa, D.; Kryvko, A.; Velázquez, G.; Mollinedo, H. Fractal Continuum Calculus of Functions on Euler-Bernoulli Beam. Fractal Fract. 2022, 6, 552. [Google Scholar] [CrossRef]
- Golmankhaneh, A.K.; Ali, K.K.; Yilmazer, R.; Awad Kaabar, M.K. Local fractal Fourier transform and applications. Comput. Methods Differ. Equ. 2022, 10, 595–607. [Google Scholar] [CrossRef]
- Carpinteri, A.; Chiaia, B.; Cornetti, P. A fractal theory for the mechanics of elastic materials. Mater. Sci. Eng. 2004, 365, 235–240. [Google Scholar] [CrossRef]
- Carpinteri, A.; Chiaia, B.; Cornetti, P. A disordered microstructure material model based on fractal geometry and fractional calculus. ZAMM Appl. Math. Mech. 2004, 84, 128–135. [Google Scholar] [CrossRef]
- Carpinteri, A.; Corneti, P.; Sapora, A.; Di Paola, M.; Zingales, M. Fractional calculus in solid mechanics: Local versus non-local approach. Phys. Scr. 2009, 2009, 014003. [Google Scholar] [CrossRef]
- Carpinteri, A.; Sapora, A. Diffusion problems in fractal media defined on Cantor sets. ZAMM Angew. Math. Mech. 2010, 90, 203–210. [Google Scholar] [CrossRef]
- Li, J.; Ostoja-Starzewski, M. Micropolar continuum mechanics of fractal media. Int. J. Eng. Sci. 2011, 249, 1302–1310. [Google Scholar] [CrossRef]
- Joumaa, H.; Ostoja-Starzewski, M. Elastodynamics in micropolar fractal solids. Math. Mech. Solids 2014, 19, 117134. [Google Scholar] [CrossRef]
- Balankin, A.S. A continuum framework for mechanics of fractal materials I: From fractional space to continuum with fractal metric. Eur. J. Phys. 2015, 88, 90. [Google Scholar] [CrossRef]
- Balankin, A.S.; Elizarraraz, B.E. Map of fluid flow in fractal porous medium into fractal continuum flow. Phys. Rev. 2012, 85, 056314. [Google Scholar] [CrossRef]
- Balankin, A.S.; Elizarraraz, B.E. Reply to “Comment on ‘Hydrodynamics of fractal continuum flow’ and ‘Map of fluid flow in fractal porous medium into fractal continuum flow’”. Phys. Rev. 2013, 88, 057002. [Google Scholar] [CrossRef]
- Tarasov, V.E. Vector calculus in non-integer dimensional space and its applications to fractal media. Commun. Nonlinear Sci. Numer. Simul. 2015, 20, 360–374. [Google Scholar] [CrossRef]
- Li, J.; Ostoja-Starzewski, M. Micropolar mechanics of product fractal media. Proc. R. Soc. A 2022, 478, 20210770. [Google Scholar] [CrossRef]
- El-Nabulsi, R.A. On nonlocal fractal laminar steady and unsteady flows. Acta Mech. 2021, 232, 1413–1424. [Google Scholar] [CrossRef]
- Balankin, A.S.; Elizarraraz, B.E. Hydrodynamics of fractal continuum flow. Phys. Rev. 2012, 85, 025302(R). [Google Scholar] [CrossRef]
- Anukool, W.; El-Nabulsi, R.A. Fractal dimension modeling of seismology and earthquakes dynamics. Acta Mech. 2022, 233, 2107–2122. [Google Scholar] [CrossRef]
- El-Nabulsi, R.A.; Golmankhane, A.K. Propagation of waves in fractal spaces. Waves Random Complex Media 2023, 1–23. [Google Scholar] [CrossRef]
- Mashayekhi, S.; Miles, P.; Yousuff-Hussaini, M.; Oates, W.S. Fractional viscoelasticity in fractal and non-fractal media: Theory, experimental validation, and uncertainty analysis. J. Mech. Phys. Solids 2018, 111, 134–156. [Google Scholar] [CrossRef]
- Balankin, A.S. A continuum framework for mechanics of fractal materials II: Elastic stress fields ahead of cracks in a fractal medium. Eur. J. Phys. 2015, 88, 91. [Google Scholar] [CrossRef]
- Hall, P.; Wood, A. On the performance of box-counting estimators of fractal dimension. Biometrika 1993, 80, 246–251. [Google Scholar] [CrossRef]
- Chun-Hui, H.; Chao, L. Fractal dimensions of a porous concrete and its effect on the concrete’s strength. Fracta Univ. 2023, 21, 137–150. [Google Scholar] [CrossRef]
- Balankin, A.S.; Mena, B. Vector differential operators in a fractional dimensional space, on fractals, and in fractal continua. Chaos Solitons Fractals 2023, 168, 113203. [Google Scholar] [CrossRef]
- Balankin, A.S.; Ramírez-Joachim, J.; González-López, G.; Gutiérrez-Hernández, S. Formation factors for a class of deterministic models of pre-fractal pore-fracture networks. Chaos Solitons Fractals 2022, 162, 112452. [Google Scholar] [CrossRef]
- Carpinteri, A.; Pugno, N.; Sapora, A. Asymptotic analysis of a von Koch beam. Chaos Solitons Fractals 2009, 41, 795–802. [Google Scholar] [CrossRef]
- Carpinteri, A.; Pugno, N.; Sapora, A. Free vibration analysis of a von Koch beam. Int. J. Solids Struct. 2010, 47, 1555–1562. [Google Scholar] [CrossRef]
- Carpinteri, A.; Pugno, N.; Sapora, A. Dynamic response of damped von Koch antennas. J. Vib. Control. 2010, 17, 733–740. [Google Scholar] [CrossRef]





| Beam | Dimension | ||||
|---|---|---|---|---|---|
| 3 | |||||
| Carpinteri’s | 1 | ||||
| 1 | |||||
| 3 | |||||
| Balankin’s | 2 | ||||
| 1 |
Disclaimer/Publisher’s Note: The statements, opinions and data contained in all publications are solely those of the individual author(s) and contributor(s) and not of MDPI and/or the editor(s). MDPI and/or the editor(s) disclaim responsibility for any injury to people or property resulting from any ideas, methods, instructions or products referred to in the content. |
© 2023 by the authors. Licensee MDPI, Basel, Switzerland. This article is an open access article distributed under the terms and conditions of the Creative Commons Attribution (CC BY) license (https://creativecommons.org/licenses/by/4.0/).
Share and Cite
Samayoa, D.; Alcántara, A.; Mollinedo, H.; Barrera-Lao, F.J.; Torres-SanMiguel, C.R. Fractal Continuum Mapping Applied to Timoshenko Beams. Mathematics 2023, 11, 3492. https://doi.org/10.3390/math11163492
Samayoa D, Alcántara A, Mollinedo H, Barrera-Lao FJ, Torres-SanMiguel CR. Fractal Continuum Mapping Applied to Timoshenko Beams. Mathematics. 2023; 11(16):3492. https://doi.org/10.3390/math11163492
Chicago/Turabian StyleSamayoa, Didier, Alexandro Alcántara, Helvio Mollinedo, Francisco Javier Barrera-Lao, and Christopher René Torres-SanMiguel. 2023. "Fractal Continuum Mapping Applied to Timoshenko Beams" Mathematics 11, no. 16: 3492. https://doi.org/10.3390/math11163492
APA StyleSamayoa, D., Alcántara, A., Mollinedo, H., Barrera-Lao, F. J., & Torres-SanMiguel, C. R. (2023). Fractal Continuum Mapping Applied to Timoshenko Beams. Mathematics, 11(16), 3492. https://doi.org/10.3390/math11163492

