Modeling the Within-Host Dynamics of SARS-CoV-2 Infection Based on Antiviral Treatment
Abstract
1. Introduction
2. Methods
3. Model Formulation
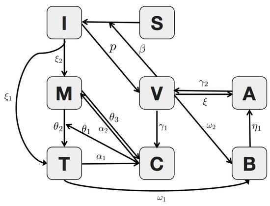
- A1
- The model considered the interactions between eight compartments: susceptible cells, ; infected cells, ; SARS-CoV-2 viral particles, ; T cells, ; macrophage cells, ; B cells, ; antibodies, ; and cytokines, .
- A2
- The healthy cells are regenerated and die at rates and , respectively. The healthy cells become infected by SARS-CoV-2 viral particles at a rates of .
- A3
- Infected cells , SARS-CoV-2 viral particles , T cells , macrophage cells , B cells , antibodies and cytokines die at rates , , , , , , and , respectively.
- A4
- Infected cells are diminished by T cells and macrophage cells at rates and , respectively.
- A5
- Viral particles burst from infected cells at rate p, and they are neutralized by cytokines and antibodies at rates and , respectively.
- A6
- T cells are activated by cytokines at rate , and the proliferation rate of T cells is .
- A7
- Macrophage cells are activated by cytokines at rate .
- A8
- The proliferation rate of B cells is . B cells are activated by viral particles at rate .
- A9
- B cells are stimulated by T cells at rate , and the virus kills or neutralizes antibodies at rate .
- A10
- The rates at which T cells and macrophage cells stimulate cytokine production are and , respectively.
4. Model Analysis
4.1. Basic Reproduction Number and the Existence of Equilibria
- The disease-free equilibrium is given by .
- The virus persistence in the absence of immune response equilibrium is given by , where , , . This equilibrium exists only when .
- The virus persistence in the absence of antibody response equilibrium is given by , where , , , , , , . This equilibrium exists only when the inequalities of and are satisfied simultaneously.
- The virus persistence in the presence of antibody response equilibrium is given by , where , , , , . This equilibrium exists only when .
- The coexistence of all cells equilibrium is given by , where , , , , , , , , . This equilibrium exists only when the inequalities of and and are satisfied simultaneously.
Stability of Equilibria
- ;
- ;
- ;
- ;
- .
5. Mathematical Model with Antiviral Treatment
6. Numerical Simulations
7. Discussion
8. Conclusions
Author Contributions
Funding
Data Availability Statement
Acknowledgments
Conflicts of Interest
Appendix A
- ;
- ;
- ;
- ;
- .
- ;
- ;
- ;
- ;
- .
- ;
- ;
- ;
- ;
- .
- , , ;
- .
References
- Guo, Y.R.; Cao, Q.D.; Hong, Z.S.; Tan, Y.Y.; Chen, S.D.; Jin, H.J.; Tan, K.S.; Wang, D.Y.; Yan, Y. The origin, transmission and clinical therapies on coronavirus disease 2019 (COVID-19) outbreak–an update on the status. Mil. Med. Res. 2020, 7, 11. [Google Scholar]
- Farooq, J.; Bazaz, M.A. A novel adaptive deep learning model of Covid-19 with focus on mortality reduction strategies. Chaos Solitons Fractals 2020, 138, 110148. [Google Scholar] [PubMed]
- Alexandrova, R.; Beykov, P.; Vassilev, D.; Jukić, M.; Podlipnik, Č. The virus that shook the world: Questions and answers about SARS-CoV-2 and COVID-19. Biotechnol. Biotechnol. Equip. 2021, 35, 74–102. [Google Scholar]
- Dhakal, B.P.; Sweitzer, N.K.; Indik, J.H.; Acharya, D.; William, P. SARS-CoV-2 infection and cardiovascular disease: COVID-19 heart. Hear. Lung Circ. 2020, 29, 973–987. [Google Scholar]
- Zhou, F.; Yu, T.; Du, R.; Fan, G.; Liu, Y.; Liu, Z.; Xiang, J.; Wang, Y.; Song, B.; Gu, X.; et al. Clinical course and risk factors for mortality of adult inpatients with COVID-19 in Wuhan, China: A retrospective cohort study. Lancet 2020, 395, 1054–1062. [Google Scholar]
- Choudhary, S.; Sreenivasulu, K.; Mitra, P.; Misra, S.; Sharma, P. Role of genetic variants and gene expression in the susceptibility and severity of COVID-19. Ann. Lab. Med. 2021, 41, 129–138. [Google Scholar]
- Catanzaro, M.; Fagiani, F.; Racchi, M.; Corsini, E.; Govoni, S.; Lanni, C. Immune response in COVID-19: Addressing a pharmacological challenge by targeting pathways triggered by SARS-CoV-2. Signal Transduct. Target. Ther. 2020, 5, 84. [Google Scholar]
- Shang, J.; Wan, Y.; Luo, C.; Ye, G.; Geng, Q.; Auerbach, A.; Li, F. Cell entry mechanisms of SARS-CoV-2. Proc. Natl. Acad. Sci. 2020, 117, 11727–11734. [Google Scholar] [PubMed]
- Pourgholaminejad, A.; Pahlavanneshan, S.; Basiri, M. COVID-19 Immunopathology with emphasis on Th17 response and Cell-based Immunomodulation Therapy: Potential Targets and Challenges. Scand. J. Immunol. 2021, 95, e13131. [Google Scholar]
- Diamond, M.S.; Kanneganti, T.D. Innate immunity: The first line of defense against SARS-CoV-2. Nat. Immunol. 2022, 23, 165–176. [Google Scholar]
- Coperchini, F.; Chiovato, L.; Croce, L.; Magri, F.; Rotondi, M. The cytokine storm in COVID-19: An overview of the involvement of the chemokine/chemokine-receptor system. Cytokine Growth Factor Rev. 2020, 53, 25–32. [Google Scholar]
- Prompetchara, E.; Ketloy, C.; Palaga, T. Immune responses in COVID-19 and potential vaccines: Lessons learned from SARS and MERS epidemic. Asian Pac. J. Allergy Immunol. 2020, 38, 1–9. [Google Scholar] [PubMed]
- Shen, Q.; Li, J.; Zhang, Z.; Guo, S.; Wang, Q.; An, X.; Chang, H. COVID-19: Systemic pathology and its implications for therapy. Int. J. Biol. Sci. 2022, 18, 386. [Google Scholar]
- Zheng, J.; Deng, Y.; Zhao, Z.; Mao, B.; Lu, M.; Lin, Y.; Huang, A. Characterization of SARS-CoV-2-specific humoral immunity and its potential applications and therapeutic prospects. Cell. Mol. Immunol. 2021, 19, 150–157. [Google Scholar]
- Palm, A.K.E.; Henry, C. Remembrance of things past: Long-term B cell memory after infection and vaccination. Front. Immunol. 2019, 10, 1787. [Google Scholar]
- Grifoni, A.; Weiskopf, D.; Ramirez, S.I.; Mateus, J.; Dan, J.M.; Moderbacher, C.R.; Rawlings, S.A.; Sutherland, A.; Premkumar, L.; Jadi, R.S.; et al. Targets of T cell responses to SARS-CoV-2 coronavirus in humans with COVID-19 disease and unexposed individuals. Cell 2020, 181, 1489–1501. [Google Scholar]
- Moderbacher, C.R.; Ramirez, S.I.; Dan, J.M.; Grifoni, A.; Hastie, K.M.; Weiskopf, D.; Belanger, S.; Abbott, R.K.; Kim, C.; Choi, J.; et al. Antigen-specific adaptive immunity to SARS-CoV-2 in acute COVID-19 and associations with age and disease severity. Cell 2020, 183, 996–1012. [Google Scholar]
- Braun, J.; Loyal, L.; Frentsch, M.; Wendisch, D.; Georg, P.; Kurth, F.; Hippenstiel, S.; Dingeldey, M.; Kruse, B.; Fauchere, F.; et al. SARS-CoV-2-reactive T cells in healthy donors and patients with COVID-19. Nature 2020, 587, 270–274. [Google Scholar]
- Seth, R.B.; Sun, L.; Chen, Z.J. Antiviral innate immunity pathways. Cell Res. 2006, 16, 141–147. [Google Scholar]
- Crowe, J.E., Jr. Host defense mechanisms against viruses. In Fetal and Neonatal Physiology; Elsevier: Amsterdam, The Netherlands, 2017; pp. 1175–1197. [Google Scholar]
- Ahrends, T.; Busselaar, J.; Severson, T.M.; Bąbała, N.; de Vries, E.; Bovens, A.; Wessels, L.; van Leeuwen, F.; Borst, J. CD4+ T cell help creates memory CD8+ T cells with innate and help-independent recall capacities. Nat. Commun. 2019, 10, 5531. [Google Scholar] [PubMed]
- Li, X.P.; Wang, Y.; Khan, M.A.; Alshahrani, M.Y.; Muhammad, T. A dynamical study of SARS-COV-2: A study of third wave. Results Phys. 2021, 29, 104705. [Google Scholar] [CrossRef] [PubMed]
- Ma, Y.; Cui, Y.; Wang, M. A class of delay SIQR-V models considering quarantine and vaccination: Validation based on the COVID-19 perspective. Results Phys. 2021, 31, 104990. [Google Scholar] [CrossRef] [PubMed]
- Masandawa, L.; Mirau, S.S.; Mbalawata, I.S. Mathematical modeling of COVID-19 transmission dynamics between healthcare workers and community. Results Phys. 2021, 29, 104731. [Google Scholar] [CrossRef]
- Wei, Y.; Wei, L.; Jiang, Y.; Shen, S.; Zhao, Y.; Hao, Y.; Du, Z.; Tang, J.; Zhang, Z.; Jiang, Q.; et al. Implementation of clinical diagnostic criteria and universal symptom survey contributed to lower magnitude and faster resolution of the COVID-19 epidemic in Wuhan. Engineering 2020, 6, 1141–1146. [Google Scholar] [CrossRef]
- Diagne, M.; Rwezaura, H.; Tchoumi, S.; Tchuenche, J. A mathematical model of COVID-19 with vaccination and treatment. Comput. Math. Methods Med. 2021, 2021, 1250129. [Google Scholar] [CrossRef]
- Watson, O.J.; Barnsley, G.; Toor, J.; Hogan, A.B.; Winskill, P.; Ghani, A.C. Global impact of the first year of COVID-19 vaccination: A mathematical modelling study. Lancet Infect. Dis. 2022, 22, 1293–1302. [Google Scholar] [CrossRef]
- Elbaz, I.; Sohaly, M.; El-Metwally, H. Modeling the stochastic within-host dynamics SARS-CoV-2 infection with discrete delay. Theory Biosci. 2022, 141, 365–374. [Google Scholar] [CrossRef]
- Du, Z.; Wang, S.; Bai, Y.; Gao, C.; Lau, E.H.; Cowling, B.J. Within-host dynamics of SARS-CoV-2 infection: A systematic review and meta-analysis. Transbound. Emerg. Dis. 2022, 69, 3964–3971. [Google Scholar] [CrossRef] [PubMed]
- Almocera, A.E.S.; Quiroz, G.; Hernandez-Vargas, E.A. Stability analysis in COVID-19 within-host model with immune response. Commun. Nonlinear Sci. Numer. Simul. 2021, 95, 105584. [Google Scholar] [CrossRef] [PubMed]
- Tavares, J.; Gomes, E. COVID-19 immunotherapy: A mathematical model. Math. Med. Biol. A J. IMA 2023, 40, 199–221. [Google Scholar] [CrossRef] [PubMed]
- Reis, R.F.; Pigozzo, A.B.; Bonin, C.R.B.; Quintela, B.d.M.; Pompei, L.T.; Vieira, A.C.; Xavier, M.P.; Weber dos Santos, R.; Lobosco, M. A Validated Mathematical Model of the Cytokine Release Syndrome in Severe COVID-19. Front. Mol. Biosci. 2021, 8, 639423. [Google Scholar] [CrossRef]
- McKechnie, J.L.; Blish, C.A. The innate immune system: Fighting on the front lines or fanning the flames of COVID-19? Cell Host Microbe 2020, 27, 863–869. [Google Scholar] [CrossRef]
- Tay, M.Z.; Poh, C.M.; Rénia, L.; MacAry, P.A.; Ng, L.F. The trinity of COVID-19: Immunity, inflammation and intervention. Nat. Rev. Immunol. 2020, 20, 363–374. [Google Scholar] [CrossRef]
- Cecere, T.E.; Todd, S.M.; LeRoith, T. Regulatory T cells in arterivirus and coronavirus infections: Do they protect against disease or enhance it? Viruses 2012, 4, 833–846. [Google Scholar] [CrossRef]
- Grant, R.A.; Morales-Nebreda, L.; Markov, N.S.; Swaminathan, S.; Querrey, M.; Guzman, E.R.; Abbott, D.A.; Donnelly, H.K.; Donayre, A.; Goldberg, I.A.; et al. Circuits between infected macrophages and T cells in SARS-CoV-2 pneumonia. Nature 2021, 590, 635–641. [Google Scholar] [CrossRef]
- Sasmal, S.K.; Dong, Y.; Takeuchi, Y. Mathematical modeling on t-cell mediated adaptive immunity in primary dengue infections. J. Theor. Biol. 2017, 429, 229–240. [Google Scholar] [CrossRef]
- Hernandez-Vargas, E.A.; Velasco-Hernandez, J.X. In-host mathematical modelling of COVID-19 in humans. Annu. Rev. Control 2020, 50, 448–456. [Google Scholar] [CrossRef] [PubMed]
- Gonzalez-Mejia, M.E.; Doseff, A.I. Regulation of monocytes and macrophages cell fate. Front. Biosci. 2009, 14, 2413–2431. [Google Scholar] [CrossRef] [PubMed][Green Version]
- Chowdhury, S.; Chowdhury, J.; Ahmed, S.F.; Agarwal, P.; Badruddin, I.A.; Kamangar, S. Mathematical modelling of COVID-19 disease dynamics: Interaction between immune system and SARS-CoV-2 within host. AIMS Math. 2022, 7, 2618–2633. [Google Scholar] [CrossRef]
- Jenner, A.L.; Aogo, R.A.; Alfonso, S.; Crowe, V.; Deng, X.; Smith, A.P.; Morel, P.A.; Davis, C.L.; Smith, A.M.; Craig, M. COVID-19 virtual patient cohort suggests immune mechanisms driving disease outcomes. PLoS Pathog. 2021, 17, e1009753. [Google Scholar] [CrossRef]
- Cologna, R.; Rico-Hesse, R. American genotype structures decrease dengue virus output from human monocytes and dendritic cells. J. Virol. 2003, 77, 3929–3938. [Google Scholar] [PubMed]
- Bai, Y.; Shen, M.; Zhang, L. Antiviral Efficacy of Molnupiravir for COVID-19 Treatment. Viruses 2022, 14, 763. [Google Scholar] [CrossRef]
- Ghosh, I. Within host dynamics of SARS-CoV-2 in humans: Modeling immune responses and antiviral treatments. SN Comput. Sci. 2021, 2, 482. [Google Scholar]
- Oprea, M.; Perelson, A.S. Exploring the mechanisms of primary antibody responses to T cell-dependent antigens. J. Theor. Biol. 1996, 181, 215–235. [Google Scholar] [CrossRef] [PubMed]
- Zalevsky, J.; Chamberlain, A.K.; Horton, H.M.; Karki, S.; Leung, I.W.; Sproule, T.J.; Lazar, G.A.; Roopenian, D.C.; Desjarlais, J.R. Enhanced antibody half-life improves in vivo activity. Nat. Biotechnol. 2010, 28, 157–159. [Google Scholar] [PubMed]
- Dreessche, P.; Watmough, J. Reproduction numbers and sub-threshold endemic equilibria for compartmental models of disease transmission. Math. Biosci. 2002, 180, 29–48. [Google Scholar] [CrossRef]
- Xiao, D.; Bossert, W.H. An intra-host mathematical model on interaction between HIV and malaria. Bull. Math. Biol. 2010, 72, 1892–1911. [Google Scholar]
- Mitjà, O.; Clotet, B. Use of antiviral drugs to reduce COVID-19 transmission. Lancet Glob. Health 2020, 8, e639–e640. [Google Scholar] [CrossRef]
- Zitzmann, C.; Kaderali, L. Mathematical analysis of viral replication dynamics and antiviral treatment strategies: From basic models to age-based multi-scale modeling. Front. Microbiol. 2018, 9, 1546. [Google Scholar] [CrossRef]
- Bartee, E.; McFadden, G. Cytokine synergy: An underappreciated contributor to innate anti-viral immunity. Cytokine 2013, 63, 237–240. [Google Scholar] [CrossRef]
- O’Neill, L.A. How low cholesterol is good for anti-viral immunity. Cell 2015, 163, 1572–1574. [Google Scholar] [CrossRef] [PubMed]
- Vabret, N.; Britton, G.J.; Gruber, C.; Hegde, S.; Kim, J.; Kuksin, M.; Levantovsky, R.; Malle, L.; Moreira, A.; Park, M.D.; et al. Immunology of COVID-19: Current state of the science. Immunity 2020, 52, 910–941. [Google Scholar] [CrossRef] [PubMed]
- Huang, C.; Wang, Y.; Li, X.; Ren, L.; Zhao, J.; Hu, Y.; Zhang, L.; Fan, G.; Xu, J.; Gu, X.; et al. Clinical features of patients infected with 2019 novel coronavirus in Wuhan, China. Lancet 2020, 395, 497–506. [Google Scholar] [CrossRef]
- Liu, K.; Fang, Y.Y.; Deng, Y.; Liu, W.; Wang, M.F.; Ma, J.P.; Xiao, W.; Wang, Y.N.; Zhong, M.H.; Li, C.H.; et al. Clinical characteristics of novel coronavirus cases in tertiary hospitals in Hubei Province. Chin. Med J. 2020, 133, 1025–1031. [Google Scholar] [CrossRef]
- Blanco-Melo, D.; Nilsson-Payant, B.E.; Liu, W.C.; Uhl, S.; Hoagland, D.; Møller, R.; Jordan, T.X.; Oishi, K.; Panis, M.; Sachs, D.; et al. Imbalanced host response to SARS-CoV-2 drives development of COVID-19. Cell 2020, 181, 1036–1045. [Google Scholar] [CrossRef] [PubMed]








| Parameter | Definition | Estimated Value | Ref. |
|---|---|---|---|
| production rate of healthy cells | 4000 cells/mL/day | [37] | |
| rate at which healthy cells are converted to infected cells | mL/cell/day | [38] | |
| natural death rate of healthy cells | 0.14/day | [37] | |
| natural death rate of infected cells | 0.14/day | [39] | |
| rate at which infected cells are diminished by T cells | mL/cell/day | [40] | |
| rate at which infected cells are diminished by macrophage cells | mL/cell/day | [41] | |
| p | burst rate of viral particles from dead infected cells | 10,000/day | [42] |
| natural death rate of viral particles | /day | [43] | |
| rate at which viral particles are neutralized by cytokines | mL/cell/day | [44] | |
| rate at which viral particles are neutralized by antibodies | mL/molecule/day | [44] | |
| activation rate of T cells | mL/cell/day | [32] | |
| natural death rate of T cells | 0.3/day | [32] | |
| proliferation rate of T cells | /day | [32] | |
| activation rate of macrophage cells | mL/cell/day | [41] | |
| natural death rate of macrophage cells | 0.04/day | [32] | |
| proliferation rate of B cells | mL/cell/day | [32] | |
| activation rate of B cells | mL/cell/day | [32] | |
| natural death rate of B cells | 0.2/day | [45] | |
| rate at which B cells are stimulated by T cells | 0.01/day | [37] | |
| natural death rate of antibodies | 0.07/day | [46] | |
| rate at which the virus kills or neutralizes antibodies | /day | [32] | |
| production rate of cytokines stimulated by T cells | 0.0178/day | [32] | |
| production rate of cytokines stimulated by macrophage cells | 328/day | [32] | |
| natural death rate of cytokines | 0.07/day | [32] |
| Parameter | p | |||||||
| Values for computing | 4000 | 10,000 | ||||||
| Values for computing | 4000 | 10,000 | ||||||
| Values for computing | 4000 | 10,000 | ||||||
| Values for periodic solution | 4000 | 10000 | ||||||
| Parameter | ||||||||
| Values for computing | 0.3 | 0.04 | ||||||
| Values for computing | 0.3 | 0.04 | ||||||
| Values for computing | 0.3 | 0.04 | ||||||
| Values for periodic solution | 0.3 | 0.04 | ||||||
| Parameter | ||||||||
| Values for computing | 0.01 | 0.07 | 0.0178 | 328 | 0.07 | |||
| Values for computing | 0.01 | 0.07 | 0.0178 | 328 | 0.07 | |||
| Values for computing | 0.01 | 0.07 | 0.0178 | 328 | 0.07 | |||
| Values for periodic solution | 0.01 | 0.07 | 0.0178 | 328 | 0.07 |
| Parameter | p | |||||||
| Value | 4000 | |||||||
| Parameter | ||||||||
| Value | 0.3 | 0.04 | ||||||
| Parameter | ||||||||
| Value | 0.01 | 0.07 | 0.0178 | 328 | 0.07 |
Disclaimer/Publisher’s Note: The statements, opinions and data contained in all publications are solely those of the individual author(s) and contributor(s) and not of MDPI and/or the editor(s). MDPI and/or the editor(s) disclaim responsibility for any injury to people or property resulting from any ideas, methods, instructions or products referred to in the content. |
© 2023 by the authors. Licensee MDPI, Basel, Switzerland. This article is an open access article distributed under the terms and conditions of the Creative Commons Attribution (CC BY) license (https://creativecommons.org/licenses/by/4.0/).
Share and Cite
Song, T.; Wang, Y.; Gu, X.; Qiao, S. Modeling the Within-Host Dynamics of SARS-CoV-2 Infection Based on Antiviral Treatment. Mathematics 2023, 11, 3485. https://doi.org/10.3390/math11163485
Song T, Wang Y, Gu X, Qiao S. Modeling the Within-Host Dynamics of SARS-CoV-2 Infection Based on Antiviral Treatment. Mathematics. 2023; 11(16):3485. https://doi.org/10.3390/math11163485
Chicago/Turabian StyleSong, Tianqi, Yishi Wang, Xi Gu, and Sijia Qiao. 2023. "Modeling the Within-Host Dynamics of SARS-CoV-2 Infection Based on Antiviral Treatment" Mathematics 11, no. 16: 3485. https://doi.org/10.3390/math11163485
APA StyleSong, T., Wang, Y., Gu, X., & Qiao, S. (2023). Modeling the Within-Host Dynamics of SARS-CoV-2 Infection Based on Antiviral Treatment. Mathematics, 11(16), 3485. https://doi.org/10.3390/math11163485
