Dynamics of a Discrete Leslie–Gower Model with Harvesting and Holling-II Functional Response
Abstract
1. Introduction and Preliminaries
- On the interval , and are continuous;
- When , except possibly for the points , and exist everywhere.
2. Existence and Stability of Fixed Points
- (i)
- If and , then the fixed point is called sink, so a sink is locally asymptotically stable.
- (ii)
- If and , then the fixed point is called source, so a source is locally asymptotically unstable.
- (iii)
- If and (or and ), then the fixed point is called saddle.
- (iv)
- If either or , then the fixed point is called non-hyperbolic.
- (i)
- If then
- (i.1)
- and if and only if and ;
- (i.2)
- and if and only if and ;
- (i.3)
- and if and only if ;
- (i.4)
- and if and only if and ;
- (i.5)
- and are a pair of conjugate complex roots and, if and only if and ;
- (i.6)
- if and only if and .
- (ii)
- If namely, 1 is one root of , then the another root λ satisfies if and only if
- (iii)
- If then has one root lying in . Moreover,
- (iii.1)
- the other root λ satisfies if and only if ;
- (iii.2)
- the other root if and only if .
- If , then is a saddle;
- If , then is non-hyperbolic;
- If , then is a source.
- If , then is a sink;
- If , then is non-hyperbolic;
- If , then is a saddle.
- If , then , so . Let Hence, we have:
- (a)
- For , , implying , then is a source.
- (b)
- For , . In addition, by calculation, one finds . So, and are a pair of conjugate complex roots with . This displays is non-hyperbolic.
- (c)
- For , . Then, , so is a sink.
- If , then .
- (a)
- For , . Obviously, . So, . Hence, , then is a source.
- (b)
- For , . The conclusions are the same as three cases in the previous 1 (a), (b) and (c).
- If , then is a sink;
- If , then is non-hyperbolic;
- If , then is a sink.
3. Bifurcation Analysis
3.1. For the Fixed Point
- The first step. Let , which transforms the fixed point to the origin , and System (8) to
- The third step. Taylor expansion of System (12) at obtains the form:whereLetThen, some computations show the three eigenvalues of asand the corresponding eigenvectors
- The fourth step.Taking the following transformation:System (13) is changed into the following form:where ,with
- The fifth step. Suppose on the center manifoldwhere , then,Butso, we obtain the center manifold equationComparing the corresponding coefficients of terms with the same orders in the above center manifold equation, we obtainSo, System (14) restricted to the center manifold takes asThereout, one hasIn view of the literature (p. 507, (21.1.42)–(21.1.46), [35]), we see that all the conditions for the occurrence of a transcritical bifurcation are established. Hence, there exists a transcritical bifurcation of System (8) at the fixed point . The proof is complete. □
3.2. For the Fixed Point
- The fourth step. In order to determinate the stability and orientation of the bifurcated closed orbit of System (18), we need to calculate the discriminating quantityand L is required not to be zero, whereBy calculation, we obtainTo summarize the above analysis, we obtain the following consequence.
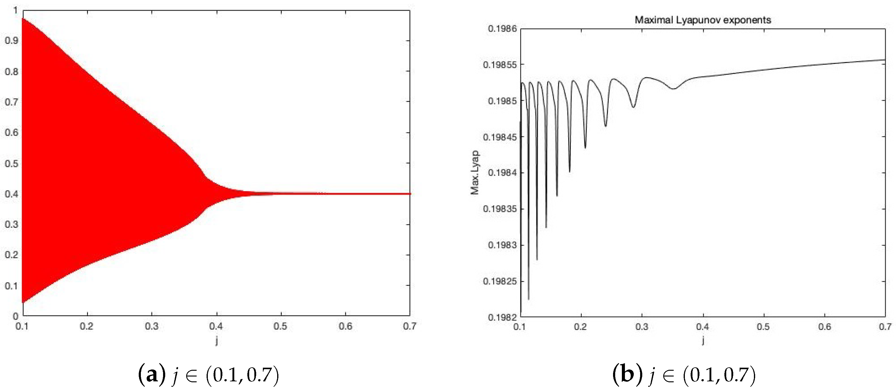
4. Numerical Simulation
5. Conclusions
Author Contributions
Funding
Data Availability Statement
Conflicts of Interest
References
- García, C.C. Bifurcations on a discontinuous Leslie–Gower model with harvesting and alternative food for predators and Holling II functional response. Commun. Nonliner Sci. Numer Simul. 2023, 116, 106800. [Google Scholar] [CrossRef]
- Kuznetsov, Y.A.; Kuznetsov, I.A.; Kuznetsov, Y. Elements of Applied Bifurcation Theory; Springer: Berlin/Heidelberg, Germany, 1998; p. 112. [Google Scholar]
- Cai, Y.L.; Gui, Z.J.; Zhang, X.B.; Shi, H.B.; Wang, W.M. Bifurcations and pattern formation in a predator-prey model. Int. J. Bifurc. Chaos 2018, 28, 1850140. [Google Scholar] [CrossRef]
- Guan, X.N.; Wang, W.M.; Cai, Y.L. Spatiotemporal dynamics of a Leslie–Gower predator-prey model incorporating a prey refuge. Nonlinear Anal. Real World Appl. 2011, 12, 2385–2395. [Google Scholar] [CrossRef]
- Luo, Y.T.; Zhang, L.; Teng, Z.D.; DeAngelis, D.L. A parasitism-mutualism-predation model consisting of crows, cuckoos and cats with stage-structure and maturation delays on crows and cuckoos. J. Theor. Biol. 2018, 446, 212–228. [Google Scholar] [CrossRef] [PubMed]
- Zhang, G.; Luo, Y.T.; Zhang, L.; Teng, Z.D.; Zheng, T.T. Coexistence for an almost periodic predator-prey model with intermittent predation driven by discontinuous prey dispersal. Discrete Dyn. Nat. Soc. 2017, 2017, 7037245. [Google Scholar]
- Wang, J.; Cai, Y.L.; Fu, S.M.; Wang, W.M. The effect of the fear factor on the dynamics of a predator-prey model incorporating the prey refuge. Chaos 2019, 29, 083109. [Google Scholar] [CrossRef] [PubMed]
- Zhang, H.S.; Cai, Y.L.; Fu, S.M.; Wang, W.M. Impact of the fear effect in a prey-predator model incorporating a prey refuge. Appl. Math. Comput. 2019, 356, 328–337. [Google Scholar]
- Xiang, C.; Huang, J.C.; Wang, H. Linking bifurcation analysis of Holling–Tanner model with generalist predator to a changing environment. Stud. Appl. Math. 2022, 149, 124–163. [Google Scholar] [CrossRef]
- Leslie, P.H. Some further notes on the use of matrices in population mathematics. Biometrika 1948, 35, 213–245. [Google Scholar] [CrossRef]
- Nindjin, A.F.; Aziz-Alaoui, M.A.; Cadivel, M. Analysis of a predator–prey model with modified Leslie–Gower and Holling-type II schemes with time delay. Nonlinear Anal. Real World Appl. 2006, 7, 1104–1118. [Google Scholar]
- González-Olivares, E.; Mena-Lorca, J. A Rojas-Palma and JD. Flores, Dynamical complexities in the Leslie–Gower predator–prey model as consequences of the Allee effect on prey. Appl. Math. Model. 2011, 35, 366–381. [Google Scholar] [CrossRef]
- Zhang, N.; Chen, F.G.; Su, Q.Q.; Wu, T. Dynamic behaviors of a harvesting Leslie-Gower predator-prey model. Discrete Dyn. Nat. Soc. 2011, 2011, 473949. [Google Scholar] [CrossRef]
- Yue, Q. Dynamics of a Modified Leslie–Gower Predator–Prey Model with Holling-Type II Schemes and a Prey Refuge; SpringerPlus: Berlin/Heidelberg, Germany, 2016; Volume 5, p. 461. [Google Scholar]
- Ávila-Vales, E.; Estrella-González, Á.; Esquivel, E.R. Bifurcations of a Leslie-Gower predator prey model with Holling type III functional response and Michaelis-Menten prey harvesting. arXiv 2017, arXiv:1711.08081. [Google Scholar]
- Ruiz, P.C.T.; Berrío, L.M.G.; González, E. Una clase de modelo de depredación del tipo Leslie-Gower con respuesta funcional racional no monotónica y alimento alternativo para los depredadores. Sel MatemáTicas 2019, 6, 204–216. [Google Scholar] [CrossRef]
- Arancibia-Ibarra, C.; Flores, J. Dynamics of a Leslie–Gower predator–prey model with Holling type II functional response, Allee effect and a generalist predator. Math. Comput. Simul. 2021, 188, 1–22. [Google Scholar]
- Lin, Q.F.; Liu, C.L.; Xie, X.D.; Xue, Y.L. Global attractivity of Leslie–Gower predator-prey model incorporating prey cannibalism. Adv. Differ. Equ. 2020, 2020, 153. [Google Scholar] [CrossRef]
- Liu, Y.Q.; Li, X.Y. Transcritical bifurcation and flip bifurcation of a new discrete ratio-dependent predator-prey system. Qual. Theory Dyn. Syst. 2022, 21, 122. [Google Scholar]
- Ba, Z.; Li, X.Y. Period-doubling bifurcation and Neimark-Sacker bifurcation of a discrete predator-prey model with Allee effect and cannibalism. Electr. Res. Arch. 2023, 31, 1406–1438. [Google Scholar]
- Xia, S.S.; Li, X.Y. Complicate dynamics of a discrete predator-prey model with double Allee effect. Math. Model. Control 2022, 2, 282–295. [Google Scholar] [CrossRef]
- Yao, W.B.; Li, X.Y. Complicate bifurcation behaviors of a discrete predator–prey model with group defense and nonlinear harvesting in prey. Appl. Anal. 2023, 102, 2567–2582. [Google Scholar] [CrossRef]
- Dong, J.G.; Li, X.Y. Bifurcation of a discrete predator-prey model with increasing functional response and constant-yield prey harvesting. Electr. Res. Arch. 2022, 30, 3930–3948. [Google Scholar] [CrossRef]
- Pan, Z.K.; Li, X.Y. Stability and Neimark–Sacker bifurcation for a discrete Nicholson’s blowflies model with proportional delay. J. Differ. Equat. Appl. 2021, 27, 250–260. [Google Scholar] [CrossRef]
- Din, Q. Complexity and chaos control in a discrete-time prey-predator model. Commun. Nonliner Sci. Numer. Simul. 2017, 49, 113–134. [Google Scholar] [CrossRef]
- Hu, Z.Y.; Teng, Z.D.; Zhang, L. Stability and bifurcation analysis of a discrete predator-prey model with nonmonotonic functional response. Nonlinear Anal. Real World Appl. 2011, 12, 2356–2377. [Google Scholar] [CrossRef]
- Li, W.; Li, X.Y. Neimark-Sacker bifurcation of a semi-discrete hematopoiesis model. J. Appl. Anal. Comput. 2018, 8, 1679–1693. [Google Scholar]
- Wang, C.; Li, X.Y. Further investigations into the stability and bifurcation of a discrete predator-prey model. J. Math. Anal. Appl. 2015, 422, 920–939. [Google Scholar] [CrossRef]
- Wang, C.; Li, X.Y. Stability and Neimark-Sacker bifurcation of a semi-discrete population model. J. Appl. Anal. Comput. 2014, 4, 419–435. [Google Scholar]
- Berezansky, L.; Braverman, E.; Idels, L. Mackey-Glass model of hematopoiesis with non-monotone feedback: Stability, oscillation and control. Appl. Math. Comput. 2013, 219, 6268–6283. [Google Scholar] [CrossRef]
- Gallay, T. A center-stable manifold theorem for differential equations in Banach spaces. Commun. Math. Phys. 1993, 152, 249–268. [Google Scholar] [CrossRef]
- Jorba, A.; Masdemont, J. Dynamics in the center manifold of the collinear points of the restricted three body problem. Phys. D. 1999, 132, 189–213. [Google Scholar] [CrossRef]
- Knobloch, E.; Wiesenfeld, K.A. Bifurcations in fluctuating systems: The center-manifold approach. J. Stat. Phys. 1983, 33, 611–637. [Google Scholar] [CrossRef]
- Xin, B.G.; Wu, Z.H. Neimark-Sacker bifurcation analysis and 0-1 chaos test of an interactions model between industrial production and environmental quality in a closed area. Sustainability 2015, 7, 10191–10209. [Google Scholar] [CrossRef]
- Winggins, S.; Golubitsky, M. Introduction to Applied Nonlinear Dynamical Systems and Chaos; Springer: Berlin/Heidelberg, Germany, 2003; Volume 2. [Google Scholar]




| Conditions | Eigenvalues | Properties | ||
|---|---|---|---|---|
| source | ||||
| non-hyperbolic | ||||
| sink | ||||
| source | ||||
| source | ||||
| non-hyperbolic | ||||
| sink | ||||
Disclaimer/Publisher’s Note: The statements, opinions and data contained in all publications are solely those of the individual author(s) and contributor(s) and not of MDPI and/or the editor(s). MDPI and/or the editor(s) disclaim responsibility for any injury to people or property resulting from any ideas, methods, instructions or products referred to in the content. |
© 2023 by the authors. Licensee MDPI, Basel, Switzerland. This article is an open access article distributed under the terms and conditions of the Creative Commons Attribution (CC BY) license (https://creativecommons.org/licenses/by/4.0/).
Share and Cite
Zhang, C.; Li, X. Dynamics of a Discrete Leslie–Gower Model with Harvesting and Holling-II Functional Response. Mathematics 2023, 11, 3303. https://doi.org/10.3390/math11153303
Zhang C, Li X. Dynamics of a Discrete Leslie–Gower Model with Harvesting and Holling-II Functional Response. Mathematics. 2023; 11(15):3303. https://doi.org/10.3390/math11153303
Chicago/Turabian StyleZhang, Chen, and Xianyi Li. 2023. "Dynamics of a Discrete Leslie–Gower Model with Harvesting and Holling-II Functional Response" Mathematics 11, no. 15: 3303. https://doi.org/10.3390/math11153303
APA StyleZhang, C., & Li, X. (2023). Dynamics of a Discrete Leslie–Gower Model with Harvesting and Holling-II Functional Response. Mathematics, 11(15), 3303. https://doi.org/10.3390/math11153303

