EV Charging Path Distribution Solution Based on Intelligent Network Connection
Abstract
:1. Introduction
2. Model Description and Construction
2.1. Problem Description
2.2. Problem Assumptions
- (1)
- Vehicles starting and ending at distribution centers.
- (2)
- Vehicles are for delivery tasks only, not for pick-ups.
- (3)
- Dynamic changes in the remaining power of all vehicles in the area are fed back to the cloud via the onboard wireless mobile communication system.
- (4)
- The geographical location of all assembly points is known.
- (5)
- The same type for all electric vehicles.
- (6)
- A known amount of demand per customer point.
- (7)
- A sub-path can only be served by one vehicle, and each customer point can only be served once.
- (8)
- The weight of the cargo carried by the electric vehicle shall not exceed its maximum capacity.
- (9)
- Vehicles are subject to a soft time window in the delivery process and may incur penalties if they do not arrive within the specified time period.
2.3. Model Construction
- : Collection of customer points ;
- : Collection of charging stations ;
- : A collection of distribution centers and charging stations;
- : A collection of distribution centers, customer points and charging stations;
- : A collection of customer points and charging stations;
- : The number of electric vehicles;
- : The maximum load capacity of each electric vehicle;
- : Demand for customer point ;
- : The distance from point to ;
- : The cost of fixed vehicle trips;
- : The average speed at which the vehicle travels;
- : The average hourly rate of power consumption while the vehicle is in motion;
- : The average hourly rate of power consumption while vehicles wait in line to be charged;
- : The average hourly rate of power consumption for vehicles waiting and servicing at customer locations;
- : Charging rate of charging stations;
- /: Penalty weights for vehicles arriving earlier or later than the time window;
- : The maximum capacity of the vehicle;
- : Vehicle remaining power;
- : The power level of the vehicle when it reaches point ;
- : The power level of the vehicle when it leaves point ;
- : The unit time cost of the vehicle distribution process;
- : Unit tariffs;
- : The moment of arrival of the vehicle at ;
- : The moment when the vehicle leaves ;
- : The waiting time of the vehicle at ;
- : The service time of the vehicle at ;
- : Collection of the number of facilities providing charging services ;
- : The number of electric vehicles receiving charging services;
- : The moment when electric vehicles begin to receive charging.
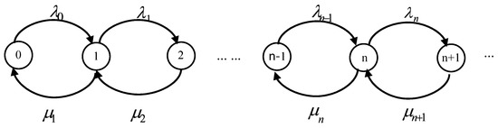
2.4. Queuing Model
- (1)
- Number of customers arriving at charging stations per unit of time:
- (2)
- State probability distribution :
- (3)
- Customer queue captain :
- (4)
- System Captain :
- (5)
- Average customer waiting time :
- (6)
- Average customer dwell time :
2.5. Queuing Mode
3. Algorithm Design
3.1. Forecasting Process
3.1.1. Coding Design
3.1.2. Initial Population
3.1.3. Degree of Adaptation Function
3.1.4. Genetic Manipulation
- (1)
- Selection operator design
- (2)
- Crossover operator design
- Step 1: Randomly selecting a pair of parental chromosomes , and picking the starting and ending positions of gene fragments;
- Step 2: Exchange the positions of corresponding gene values in gene fragments and to form a mapping relationship;
- Step 3: To ensure that the newly generated set of offspring chromosomes are conflict-free, do conflict detection according to the mapping relationship established in step 2.
- (3)
- Mutation operator design
3.1.5. Termination Conditions
3.2. Algorithmic Advantages
4. Example Analysis
4.1. Description of the Algorithm
4.2. Analysis of Results
4.3. Sensitivity Analysis
4.4. Comparison between Different Algorithms
5. Conclusions
- (1)
- By obtaining real-time dynamic traffic information with the help of intelligent network connection technology, we can introduce the probability of charging other vehicles in the region on the basis of queuing theory, calculate the time logistics vehicles need to wait after arriving at charging stations, and select the best charging location and charging timing for vehicles, thus avoiding time wastage in the distribution process, meeting the time window requirements of customers, and effectively reducing distribution costs.
- (2)
- The strategy in this paper is suitable for distributions with large customer size and high time window requirements. The overall gain is greater as the number of customers increases, and the advantage over the latest charge strategy is also more obvious.
- (3)
- This paper considers both dynamic demand and real-time traffic when studying the EV path problem, which provides a reference value for EV dynamic path planning research and extends the direction of EV distribution research.
Author Contributions
Funding
Data Availability Statement
Conflicts of Interest
References
- Wang, Y.; Lu, G.; Chen, P.; Li, Z. Research and application of fundamental theories and common key technologies for intelligent vehicle networking. China Sci. Found. 2021, 35, 185–191. [Google Scholar] [CrossRef]
- Mastoi, M.S.; Zhuang, S.; Munir, H.M.; Haris, M.; Hassan, M.; Usman, M.; Bukhari, S.S.H.; Ro, J.-S. An in-depth analysis of electric vehicle charging station infrastructure, policy implications, and future trends. Energy Rep. 2022, 8, 11504–11529. [Google Scholar] [CrossRef]
- Aung, N.; Zhang, W.; Sultan, K.; Dhelim, S.; Ai, Y. Dynamic traffic congestion pricing and electric vehicle charging management system for the internet of vehicles in smart cities. Digit. Commun. Netw. 2021, 7, 492–504. [Google Scholar] [CrossRef]
- Wang, Y.; Hu, H.; Liu, F.; Wang, Y.; Zhao, J. Optimization of unmanned vehicle delivery paths under intelligent network connectivity. Oper. Res. Manag. 2021, 30, 52–58. [Google Scholar]
- Barkaoui, M. A co-evolutionary approach using information about future requests for dynamic vehicle routing problem with soft time windows. Memetic Comput. 2018, 10, 307–319. [Google Scholar] [CrossRef]
- Sun, L.; Li, F.F.; Wang, W.; Hu, X. Research on real-time demand response strategy of mobile charging vehicles based on reservation mode. Oper. Res. Manag. 2022, 31, 121–129. [Google Scholar]
- Wang, Z.; Han, Y.; Jiang, M.; Yuan, Z.; Zhang, L. Intelligent trajectory prediction algorithm of wireless cluster based on vehicular network under hybrid traffic. Radio Eng. 2022, 52, 33–38. [Google Scholar]
- Gokasar, I.; Pamucar, D.; Deveci, M.; Ding, W. A novel rough numbers based extended MACBETH method for the prioritization of the connected autonomous vehicles in real-time traffic management. Expert Syst. Appl. 2023, 211, 118445. [Google Scholar] [CrossRef]
- Younes, R.; Najem, M. A real-time path planning for reducing vehicles traveling time in cooperative-intelligent transportation systems. Simul. Model. Pract. Theory 2023, 123, 102710. [Google Scholar]
- Dudin, A.N.; Dudin, S.A.; Dudina, O.S.; Samouylov, K.E. Competitive queueing systems with comparative rating dependent arrivals. Oper. Res. Perspect. 2020, 7, 100139. [Google Scholar] [CrossRef]
- Yang, Y.; Gao, P.; Zhao, C.-Z. A model for siting and sizing of temporary charging stations for electric vehicles in cities. J. Chongqing Norm. Univ. 2020, 37, 1–6. [Google Scholar]
- Xiao, D.; An, S.; Cai, H.; Wang, J.; Cai, H. An optimization model for electric vehicle charging infrastructure planning considering queuing behavior with finite queue length. J. Energy Storage 2020, 29, 101317. [Google Scholar] [CrossRef]
- Hong, W.; Xu, Z.; Liu, W.; Wu, L.; Pu, X. Queuing theory-based optimization research on the multi-objective transportation problem of fourth party logistics. Proc. Inst. Mech. Eng. 2021, 235, 1327–1337. [Google Scholar] [CrossRef]
- Keskin, M.; Çatay, B.; Laporte, G. A simulation-based heuristic for the electric vehicle routing problem with time windows and stochastic waiting times at recharging stations. Comput. Oper. Res. 2021, 125, 105060. [Google Scholar] [CrossRef]
- Lam, E.; Desaulniers, G.; Stuckey, P.J. Branch-and-cut-and-price for the Electric Vehicle Routing Problem with Time Windows, Piecewise-Linear Recharging and Capacitated Recharging Stations. Comput. Oper. Res. 2022, 145, 105870. [Google Scholar] [CrossRef]
- Fioriti, D.; Scarpelli, C.; Pellegrino, L.; Lutzemberger, G.; Micolano, E.; Salamone, S. Battery lifetime of electric vehicles by novel rainflow-counting algorithm with temperature and C-rate dynamics: Effects of fast charging, user habits, vehicle-to-grid and climate zones. J. Energy Storage 2023, 59, 106458. [Google Scholar] [CrossRef]
- Huber, J.; Dann, D.; Weinhardt, C. Probabilistic forecasts of time and energy flexibility in battery electric vehicle charging. Appl. Energy 2020, 262, 114525. [Google Scholar] [CrossRef]
- Kumar, N.; Kumar, T.; Nema, S.; Thakur, T. A comprehensive planning framework for electric vehicles fast charging station assisted by solar and battery based on Queueing theory and non-dominated sorting genetic algorithm-II in a co-ordinated transportation and power network. J. Energy Storage 2022, 49, 104180. [Google Scholar] [CrossRef]
- Zhang, W.; Zhang, S.; Luo, J.; Wang, G. Dynamic optimization model of electric vehicle charging pile queuing service. J. Jilin Univ. 2022, 52, 1045–1051. [Google Scholar]
- Kucukoglu, I.; Dewil, R.; Cattrysse, D. The electric vehicle routing problem and its variations: A literature review. Comput. Ind. Eng. 2021, 161, 107650. [Google Scholar] [CrossRef]
- Fontes Dalila, B.M.M.; Homayouni, S.M.; Gonçalves, J.F. A hybrid particle swarm optimization and simulated annealing algorithm for the job shop scheduling problem with transport resources. Eur. J. Oper. Res. 2023, 306, 1140–1157. [Google Scholar] [CrossRef]
- Ge, X.; Li, Z.-W.; Ge, S.-B. Study on logistics distribution path optimization with time window considering flexible charging strategy. Control. Theory Appl. 2020, 37, 1293–1301. [Google Scholar]
- Yang, J.; Feng, P.; Sun, H.; Yang, C. Research on the site selection and path optimization of electric vehicle logistics distribution system for switching stations. China Manag. Sci. 2015, 23, 87–96. [Google Scholar]
- Zhao, Z.; Li, X. Path optimization method of electric vehicles for fresh food delivery under time-varying traffic. Transp. Syst. Eng. Inf. 2020, 20, 218–225+239. [Google Scholar]
- Sica, L.; Deflorio, F. Estimation of charging demand for electric vehicles by discrete choice models and numerical simulations: Application to a case study in Turin. Green Energy Intell. Transp. 2023, 2, 100069. [Google Scholar] [CrossRef]










| Parameter | Parameter Value | Parameter | Parameter Value |
|---|---|---|---|
| 5 t | 10 yuan/h | ||
| 80 kW | 35 yuan/h | ||
| 100 yuan | 30 kW/h | ||
| 20 yuan/h | 7 kW/h | ||
| 14 yuan/h | 5 kW/h | ||
| 40 km/h | 4 kW/h |
| Charging Strategy | Vehicle Number | Vehicle Path | Charging Location | Total Time/h | Total Driving Distance/km | Total Cost/Yuan |
|---|---|---|---|---|---|---|
| Intelligent network connection | 1 | 0-42-10-26-49-8-24-54-44-46-29-1-38-19-37-0 | 54 | 5.0 | 54.4 | 793.4 |
| 2 | 0-14-20-45-9-22-52-3-27-48-18-43-30-53-36-40-16-0 | 52, 53 | 6.4 | 63.2 | 1190.1 | |
| 3 | 0-35-39-50-32-25-11-33-28-55-6-12-34-4-5-13-17-41-2-51-47-31-23-15-7-21-0 | 55, 51 | 8.4 | 78.4 | 1586.7 | |
| Latest charge | 1 | 0-27-1-6-13-25-29-44-46-51-39-3-10-18-12-0 | 51 | 5.8 | 57.0 | 1061.0 |
| 2 | 0-4-30-43-34-38-31-21-55-40-41-16-11-2-28-54-22-32-50-0 | 55, 54 | 7.8 | 68.1 | 1591.5 | |
| 3 | 0-33-14-24-20-23-53-15-45-8-9-35-47-26-49-42-52-37-5-19-36-48-17-7-0 | 53, 52 | 9.6 | 75.8 | 2121.9 |
| Charge Waiting Time/h | Time Cost/Yuan | Fast Charging Costs and Fixed Costs/Yuan | Energy Consumption Cost/Yuan | Total Cost/Yuan |
|---|---|---|---|---|
| 0.3 | 2 606.4 | 384.0 | 304.6 | 3295.0 |
| 0.6 | 2 899.3 | 398.0 | 309.2 | 3606.5 |
| 0.9 | 3 569.4 | 391.6 | 317.9 | 4279.2 |
| 1.2 | 4 242.5 | 405.2 | 326.5 | 4974.2 |
| 1.5 | 4 958.1 | 400.8 | 333.4 | 5692.3 |
| Algorithm | Time Cost/Yuan | Total Cost/Yuan | Calculation Time/s |
|---|---|---|---|
| IGA-SA | 2553.5 | 3300.4 | 41 |
| IGA | 3094.4 | 3943.8 | 36 |
| SA | 3565.6 | 4389.7 | 39 |
| TSA | 4149.4 | 4920.5 | 47 |
Disclaimer/Publisher’s Note: The statements, opinions and data contained in all publications are solely those of the individual author(s) and contributor(s) and not of MDPI and/or the editor(s). MDPI and/or the editor(s) disclaim responsibility for any injury to people or property resulting from any ideas, methods, instructions or products referred to in the content. |
© 2023 by the authors. Licensee MDPI, Basel, Switzerland. This article is an open access article distributed under the terms and conditions of the Creative Commons Attribution (CC BY) license (https://creativecommons.org/licenses/by/4.0/).
Share and Cite
Wang, X.; Xu, Q.; Shen, X. EV Charging Path Distribution Solution Based on Intelligent Network Connection. Mathematics 2023, 11, 2879. https://doi.org/10.3390/math11132879
Wang X, Xu Q, Shen X. EV Charging Path Distribution Solution Based on Intelligent Network Connection. Mathematics. 2023; 11(13):2879. https://doi.org/10.3390/math11132879
Chicago/Turabian StyleWang, Xinxin, Qian Xu, and Xiaopan Shen. 2023. "EV Charging Path Distribution Solution Based on Intelligent Network Connection" Mathematics 11, no. 13: 2879. https://doi.org/10.3390/math11132879
APA StyleWang, X., Xu, Q., & Shen, X. (2023). EV Charging Path Distribution Solution Based on Intelligent Network Connection. Mathematics, 11(13), 2879. https://doi.org/10.3390/math11132879
