Abstract
An on-line estimation technique of multiple-frequency oscillatory forces combined with the Hilbert–Huang transform for an important class of actively controlled, forced vibrating mechanical systems with nonlinear stiffness forces is proposed. Polynomial parametric nonlinearities are incorporated in the significantly perturbed vibrating system dynamics. This class of nonlinear vibrating systems can exhibit harmful large-amplitude vibrations, which are inadmissible in many engineering applications. Disturbing oscillations can be also provoked due to interactions of the primary mechanical system to be actively protected against dangerous vibrations with other forced uncertain multidegree-of-freedom nonlinear vibrating systems. Taylor’s series expansion to dynamically model uncertain vibrating forces into a small time window for real-time estimation purposes is employed. Intrinsic mode functions of multiple-frequency vibrating forces can be then obtained by the Hilbert-Huang transform. Uncertain instantaneous frequencies and amplitudes of disturbing oscillations can be directly computed in temporal space. An active vibration control scheme for efficient and robust tracking of prescribed motion reference profiles based on multiple frequency force estimation is introduced as well. The presented closed-loop on-line estimation technique can be extended for other classes of nonlinear oscillatory systems. Analytical, experimental and numerical results to prove the estimation effectiveness are presented. Numerical results show reasonable estimation errors of less than 2%.
Keywords:
mechanical vibrations; nonlinear stiffness; polynomial nonlinearity; active vibration control; harmonics estimation; Hilbert–Huang transform MSC:
93C10
1. Introduction
Development of on-line accurate time-domain estimation strategies of multiple-frequency oscillating forces for vibration analysis and control in weakly damped dynamic mechanic systems with nonlinear spring stiffness forces represents an open relevant research problem. In this regard, the oscillatory dynamic behavior of an important class of nonlinear physical systems has been modelled by the Duffing equation in which cubic stiffness nonlinearity is incorporated [1]. Phenomena that can occur in a forced nonlinear oscillator with a cubic spring stiffness force term have been modelled by the Duffing equation [1]. Undesirable nonlinear behaviors of hysteresis, chaotic oscillations, jump and a variety of bifurcations are some phenomena than can be exhibited by this class of vibrating systems [2,3]. Super-harmonic resonances may appear in weakly nonlinear single-degree-of-freedom oscillators with cubic nonlinearity [4]. Hazardous large-amplitude vibrations can result in a weakly nonlinear single-degree-of-freedom mass-spring-damper vibrating system disturbed by periodic force with a single frequency [2,4]. In this context, accurate information of external single-frequency excitations in different configurations of slowly forced Duffing systems represents a necessary part for analysis of nonlinear vibrations as well as their generated phenomena. Commonly, in Duffing systems with one degree of freedom a single forcing frequency has been only considered for vibration analysis and control of nonlinear phenomena. Nevertheless, many applications of current nonlinear vibration engineering systems might be undergone by external oscillating disturbances with multiple arbitrary frequencies.
The Duffing equation has been widely utilized to capture relevant nonlinear dynamic behaviors in numerous realistic systems [1]. Ultrasonic cutting systems, vessel structures, rubber mounts, optical fibres, micromechanical structures, cables, pendulums, woofers, rotors, beams, shells, vibration isolators, nanomechanical resonators, plates, arched structures and electrical circuits constitute some applications of the Duffing equation to model complex phenomena in realistic nonlinear dynamic systems [1,5]. The design of an energy harvester device based on the Duffing oscillator has been presented in [6]. Besides the problem of generation of fast–slow oscillations in a slowly forced Duffing system has been studied in [7], which admits important applications in the field of vibration energy harvesting. Furthermore, nonlinear spring stiffness behavior has been captured in dynamic modelling by considering quadratic stiffness force terms. Nonlinear force-deflection characteristics of various vibrating systems can be approximated by polynomial parametric nonlinearities. A method to determine nonlinear stiffness coefficients of geometrically nonlinear structures has been presented in [8]. In addition, designs of several passive vibration control devices have taken advantage of the high-order nonlinear asymmetric stiffness to improve their performance [9]. Beneficial quadratic stiffness in a vibration isolation system to be effective for ultra-low frequencies and low frequencies has discussed in [10]. Nevertheless, incorporation of polynomial stiffness nonlinearities to develop new control devices to increase their capability for vibration attenuation may add other complex nonlinear phenomena. Moreover, the nonlinear vibrating system stability could be destroyed.
In this article a closed-loop on-line estimation method of uncertain external multiple-frequency oscillatory excitation forces combined with the Hilbert-Huang transform for a class of forced nonlinear vibrating systems is proposed. Nonlinear spring stiffness forces are modelled using Taylor’s series expansion [5]. For real-time estimation purposes, dynamic modelling of uncertain multiple-frequency force excitations into a small time interval is based on Taylor polynomial expansions as well. The polynomial perturbation modelling approach represents a very useful tool for robust control and estimation design as developed in [11,12,13]. Parameters of the polynomial model of oscillatory forces are assumed to be unknown. An active vibration control scheme based on multiple frequency force estimation is presented. Then, active suppression of nonlinear vibrations and efficient tracking of prescribed position reference profiles on the disturbed primary vibrating system can be both performed. The Hilbert-Huang transform is carried out with the on-line estimation of multiple-frequency oscillatory excitation forces to obtain their intrinsic mode functions as proposed in this work. Instantaneous forcing frequencies and amplitudes can be then computed.
The Hilbert–Huang transform is an efficacious data analysis method, which is adaptive to the nature of the data [14]. Data generated by non-stationary and nonlinear processes are admitted. Empirical mode decomposition and Hilbert spectral analysis constitute the main phases of this time series analysis technique. This adaptive local data analysis method has been effectively applied on available signals in many engineering fields [15,16]. Usefulness and open outstanding problems of the Hilbert-Huang transform have been described in [15]. This adaptive two-phase algorithm can be implemented to decompose a signal in a finite number of intrinsic oscillation modes into a desired bandwidth based on a local time scale approach [16]. Nevertheless, the Hilbert–Huang transform cannot be performed to extract oscillating components and their respective parameters of uncertain multi-frequency dynamic forces in nonlinear vibrating systems by using real-time measurements of position signals only. This paper introduces a novel strategy to extract harmonic components of completely unknown external multiple-frequency oscillatory excitation forces acting adversely on actively controlled, highly nonlinear vibratory mechanical systems based on the Hilbert–Huang transform and on-line approximate exogenous signal reconstruction. In contrast to other frequency domain estimation methods, amplitudes, frequencies and phases of disturbance oscillatory modes can be then determined in temporal space. Thus, uncertain oscillatory disturbance forces should be first estimated by using position signal measurements on the closed-loop nonlinear dynamic system. External multi-frequency vibratory forces are approximate by certain order Taylor’s series expansion into a small self-adjusting window of time. Reasonable estimation errors from a practical viewpoint of amplitudes, frequencies and phase angles of completely unknown harmonic force components could be expected. However, the estimation error can be conveniently reduced by adjusting the polynomial expansion order taking advantage of the available information of position output signal estimation error, in accordance with the forced vibration attenuation level specified for the closed-loop vibrating primary mechanical system operation.
The closed-loop on-line exogenous perturbation vibration estimation can be directly incorporated with other active vibration control design methodologies for disturbance rejection [17]. In this context, active nonlinear vibration control on lattice sandwich plates based on and velocity-feedback control design methods has been investigated in [18]. Active nonlinear vibration suppression on composite laminated panels has been also studied in [19,20]. Real-time estimation can be useful to considerably improve the efficiency and robustness of numerous types of practical vibration control devices. Information of external excitation frequencies obtained from the Hilbert–Huang transform applied on estimated vibrating force signals can be besides utilized to adaptively tune active and semi-active dynamical vibration absorber devices for severe forced vibration operating conditions [21,22,23]. Knowledge of excitation frequencies can be employed to select and adjust the closed-loop control parameters to avoid resonance. Moreover, opportune information of exogenous oscillatory forces can be helpful to prevent catastrophic failures on vibrating mechanical systems. Thus, the estimation methodology developed in the present study admits many relevant applications for analysis and control of nonlinear and linear mechanical vibrations. In addition, the presented estimation scheme can be extended to other important classes of linear and nonlinear vibratory engineering systems.
Vibrating force estimation can be also combined with algebraic system parameter identification schemes [24,25]. On-line closed-loop nonlinear dynamic system parameter identification stands for another relevant open research issue [26]. Nonlinear system identification techniques are essential tools for analysis and modelling of nonlinear structures dynamics [27,28]. In this respect, nonlinear phenomena can be exploited to improve ever-increasing, environmental and technological performances demanded by modern structures and devices [28]. Accurate information of uncertain exogenous excitations can be helpful for parametric optimization of several types of vibration control devices. Optimization of parameters of tuned mass dampers to reduce dangerous vibrations on steel structures due to dynamic loads has been addressed in [29]. Estimation of oscillatory excitation forces and frequencies from measured output signals can be used for developing new detection methodologies of possible structural damage as well as for implementation of diverse vibration attenuation mechanisms on flexible mechanical structures [30,31]. The optimal configuration of buckling-restrained braces on high-rise structures under seismic excitation has been investigated in [32].
The rest of this manuscript is organized as follows. The mathematical model of the actively controlled nonlinear vibrating mechanical system disturbed by uncertain multiple-frequency oscillatory forces is described in Section 2. The problem of closed-loop online time-domain estimation of uncertain force oscillations with multiple frequencies is addressed in Section 3. Numerical simulation results confirming the efficacy of the estimation technique are discussed in Section 4. Robust tracking of prescribed-time reference profiles planned for the vibrating system is proven. Components of oscillatory excitation forces are extracted using Hilbert–Huang transform. Amplitudes, frequencies and phases of the components of multiple-frequency oscillatory forces are computed. The efficacious estimation of oscillatory forces on nonlinear multiple-degrees-of-freedom vibrating systems is verified. The effectiveness of the estimation technique is demonstrated through analytical and numerical results. Finally, conclusions of the present work and directions for future research studies are provided in Section 5.
2. Dynamic Model of the Actively Controlled and Forced Nonlinear Vibrating System
Without loss of generality to a class of controlled nonlinear multidegree-of-freedom vibrating systems with polynomial stiffness forces [26], consider the lightly damped, forced nonlinear vibratory mechanical system described by
The system position represents the output variable to be controlled actively under the influence of uncertain external oscillatory forces. The control force input u can be generated and applied through an active dynamic vibration absorber device [33]. This class of dynamic vibration absorption devices adds extra degrees of freedom to the primary vibrating system to be protected against exogenous harmful vibrations. Knowledge of exogenous oscillatory forces can be utilized for design of controllers to substantially improve capabilities of vibration suppression of theses devices. Moreover, information of excitation frequencies can be employed to tune efficiently dynamic vibration absorbers. Several configurations of this class of practical vibration control devices known as dynamic vibration absorbers are described in the books [34,35] and references therein.
Behavior of the stiffness force with multiple polynomial nonlinearities for relatively small displacements is captured by the rth-order Taylor’s series expansion
Linear and nonlinear stiffness terms are respectively denoted by and . Closed-loop on-line identification of nonlinear stiffness parameters of a class of uncertain nonlinear vibrating systems can be performed as described in [26].
In contrast, in the present study is considered that the nonlinear vibrating system can be subjected to possibly resonant, multiple-frequency excitation forces given by
The number n of arbitrary-frequency harmonic components could be uncertain. Amplitudes , frequencies and phase angles of harmonic force oscillations are unknown as well. Possible variations of uncertain harmonics parameters are also admitted in the present contribution.
On the other hand, the output signal y of the nonlinear oscillatory system (1) can be also generated by the multidegree-of-freedom vibrating system model with uncertain parameters:
with
where and , , indicate unknown, initial state conditions of the dynamic model generating n uncertain oscillating force terms. The mathematical structure (4) certainly captures dynamic behavior of a wide family of oscillatory engineering systems with uncertain parameters.
A control strategy for active suppression of nonlinear vibrations and simultaneous robust tracking of prescribed position reference profiles on the primary system can be then derived from Equation (1) as
The closed-loop prescribed reference trajectory tracking error, , is hence given by
The control parameters , and can be then selected by using the stable polynomial
with . In this way, tracking error dynamics is asymptotically exponentially stable. Therefore,
Nevertheless, controller (6) requires real-time information of multiple-frequency excitation forces. In the next section an estimation strategy for oscillating forces disturbing vibrating systems with generalized nonlinear stiffness is presented.
3. Multiple-Frequency Oscillatory Force Estimation
For synthesis of the on-line estimation technique, it is assumed that bounded multiple-frequency oscillatory disturbances (3) can be approximated into a sufficiently small interval of time about a given time instant by the th-degree Taylor polynomial
where higher-order residual terms can be negligible if or . Moreover, the order of the polynomial expansion of forcing oscillations can be either increased or reduced by analysing the estimation error in real-time. Other kind of variable disturbances that can be modelled by Taylor series are admitted as well (cf. [33]).
In this fashion, from Equations (1) and (10) the measured position signal y can be approximately generated by the state-space dynamic model
where is the extended state vector. The vector function is given by
with , , , , . Then the following extended state observer can be derived:
with , , and
The notation is used throughout the manuscript to stand for on-line estimated signal. Thence dynamics of the estimation error, , can be described by
with
The observer design parameters, , , can be then selected so that Equation (15) has the following stable (Hurwitz) desired characteristic polynomial:
with , faster than the higher excitation frequency considered into the bandwidth of the disturbed system operation. Thus,
Therefore,
In this fashion, multiple-frequency oscillatory forces can be approximately estimated by
Velocity signal estimation for active vibration control implementation is similarly achieved. Furthermore estimations of certain-order time derivatives of the measurable output signal y can be obtained. In this sense, time derivatives of output signals could be useful for analysis of diverse mechanical vibration problems.
Moreover, the Hilbert–Huang transform method can be implemented to the on-line estimated force signal into a specific time window for vibration analysis as proposed in this article. Arbitrary frequency oscillating force component parameters can be extracted as well. This efficacious time signal data analysis method of the so-called Hilbert–Huang transform mainly consists of two stages: (i) adaptive empirical mode decomposition and (ii) Hilbert spectral analysis [14,15]. Thus, the adaptive empirical mode decomposition procedure of estimated signals can be firstly performed. Then, the Hilbert transform can be applied to each extracted oscillating force component . Analytic signals associated with estimated oscillatory components can be as follows
where denotes the Hilbert transform of the time-domain extracted signal . Instantaneous amplitudes (envelopes) and phases can be then determined as [36].
In this fashion, approximate parameter estimates of amplitudes , excitation frequencies and phase angles , , of external vibrating force disturbances (3) can be computed. Interested reader about the Hilbert transform and its applications is also referred to the books [37,38].
To depict the application of the Hilbert–Huang Transform in on-line approximated multi-frequency oscillatory signals , consider the estimated force test signal with four unknown harmonic components shown in Figure 1. For this illustrative example, estimated forces are described into a window of time as follows
Figure 1.
Test oscillatory force signal with four unknown harmonic components disturbing a nonlinear vibrating mechanical system for the first illustrative case study. (a) Multifrequency vibrating force signal estimated online using position measurements. (b) Amplitudes and frequencies extracted offline using Fourier analysis.
For this case study, actual values of amplitudes , frequencies and phase angles are displayed in Table 1. Approximate values of these parameters should computed from estimated force signals . Estimated parameters are denoted respectively by , and , .
Table 1.
Actual values of amplitude, frequency and phase parameters of four harmonic force components , , in oscillatory disturbance forces for the first illustrative case study.
The resulting test signal is shown in Figure 1. It shows the resulting waveform that represents the combination of multiple harmonics in 20s lapse. Additionally, Fourier analysis is added to corroborate amplitude and frequency that make up the harmonic components. Amplitude, frequency, and phase of each signal component contribute to the shape and characteristics of the resulting signal.
The Hilbert–Huang transform method was applied to . Analysis of its vibration characteristics involves the following steps. First, an adaptive empirical mode decomposition is performed on the estimated signal, dividing it into a finite number of harmonic components , . Secondly, Hilbert transform is applied, obtaining the instantaneous frequency, phase and amplitude of each harmonic component.
The block diagram in Figure 2 shows an initial signal and a residual which are used to process the method, extracting the maximum and minimum values of the residual signal. An average of the sum of an envelope of the maximum values and the envelope with the minimum values is obtained.
Figure 2.
Schematic overview of the iterative procedure to compute approximate estimates of harmonic components and their amplitude, frequency and phase parameters from estimated oscillatory force signals using position measurements in forced nonlinear vibrating mechanical systems in a specified window of time.
This resulting signal called E is subtracted from , generating the signal , and, in the same way, the average of its value is used to detect when the signal does not present overshoots in its amplitude, comparing it with a tolerance value called the Stop Criterion (). If the criterion is met, it takes the place of the harmonic component with the highest frequency; otherwise, takes the value of , and the process is repeated until the is achieved.
The number of iterations n corresponds to the total number of harmonic components. For each component, the frequency , amplitude and phase are extracted via Hilbert transform until reaching the indicated number of iterations or when the residual signal is monotonic, ending the process.
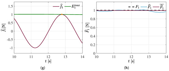
In Figure 3 shows the identification of local signal maxima and minima, based on which the so-called “envelopes” used for the extraction of within a specific time window are defined—in this case, from 10 s to 14 s. The average between the local maxima and minima is calculated to obtain the first iteration h(t). If this iteration meets the , it is considered , as shown in the flow chart. When extracting the first oscillation mode, six iterations are required to meet the . Once the system satisfies the , the force signal is obtained and extracted from the , leaving a , as shown in Figure 4.
Figure 3.
Local maxima and minima and their respective envelopes for four iterations performed to extract the oscillation mode . (a) First iteration. (b) Second iteration. (c) Fourth iteration. (d) Sixth iteration.
Figure 4.
Harmonic component extracted from the estimated signal . (a) Fourth harmonic component . (b) Harmonics residue .
The resulting signal is used as input, and the procedure iteratively repeated until the remaining harmonic components in the signal are extracted, as depicted in Figure 5.
Figure 5.
Other harmonic components , , extracted from the estimated signal and the final residue . (a) Second intrinsic oscillation mode . (b) Third intrinsic oscillation mode . (c) Fourth intrinsic oscillation mode . (d) Residual signal without the presence of significant intrinsic oscillation modes .
Subsequently, Hilbert transform is applied to each extracted , resulting in the formation of analytic signals given by Equation (21), which are associated with the estimated oscillatory components shown in Figure 6. These analytic signals combine the original signal with its Hilbert transform, providing information about the instantaneous amplitude and phase.

Figure 6.
Components of analytic signals obtained by applying Hilbert transform and their respective frequency estimations , . (a) Components of analytic signal . (b) Computed frequency for . (c) Components of analytic signal . (d) Computed frequency for . (e) Components of analytic signal . (f) Computed frequency for . (g) Components of analytic signal . (h) Computed frequency for .
The instantaneous amplitude and phases are obtained according to Equation (22) using signals and . The amplitude utilizes the maximum envelope of the oscillatory component. We propose the use of the mean value to improve the accuracy of the harmonic component, as shown in Figure 7. The phase angle is determined by establishing the relationship between the instantaneous phase of the Hilbert transform of and a signal ), considering a previously estimated frequency and amplitude, with a phase angle equal to 0, as shown in Figure 8.

Figure 7.
Amplitude parameter estimates , . (a) Upper envelope of . (b) Fourth amplitude estimated for . (c) Upper envelope of . (d) Third amplitude estimated for . (e) Upper envelope of . (f) Second amplitude estimated for . (g) Upper envelope of . (h) First amplitude estimated for .

Figure 8.
Estimated phases , . (a) Signal compared with the signal of phase 0. (b) Fourth phase estimated for . (c) Signal compared with the signal of phase 0. (d) Third phase estimated for . (e) Signal compared with the signal of phase 0. (f) Second phase estimated for . (g) Signal compared with the signal of phase 0. (h) First phase estimated for .
The estimates obtained applying the Hilbert–Huang transform method are presented graphically and are accompanied by numerical values for each individual component, allowing for a comprehensive analysis of vibrational force perturbations, as shown in Table 2.
Table 2.
Parameter values of multiple-frequency oscillating forces calculated using position measurements in the nonlinear forced vibrating mechanical system.
4. Simulation Results
In this section, present computer simulation results to prove the effectiveness of the online estimation of multiple-frequency oscillatory forces in closed-loop nonlinear vibrating systems with generalized nonlinear stiffness. The oscillatory force estimation was numerically verified for a disturbed nonlinear vibrating system. Significant cubic and quadratic nonlinear stiffness forces were considered for assessment of the dynamic performance of the online multiple-frequency force estimation. Nonlinear system parameters were set as: kg, Ns/m, N/m, N/m and N/m. Multiple excitation frequencies were selected to intentionally induce harmful nonlinear vibrations. Parameters of amplitudes, frequencies and phases of oscillatory forces are described in Table 3.
Table 3.
Parameters of multiple-frequency oscillatory forces for real-time estimation performance assessment.
A fourth-degree Taylor polynomial expansion was implemented for the online estimation of oscillatory disturbances. It was set to in Equation (17) to achieve rapid estimation of disturbance oscillations. The control parameters were computed by setting , as expressed in Equation (8). The efficient tracking of planned motion profiles and active vibration suppression are both demonstrated. Nonlinear ordinary differential equations were numerically solved by employing the Runge–Kutta–Fehlberg method with a fixed step size of 1 ms.
Planning of the Bézier curve-based reference trajectory to transform the disturbed nonlinear mechanical system from an initial position to the final equilibrium position in the time interval is as follows
with
where , m, , , , s and s.
The planning of closed-loop operating reference trajectories for the position, velocity and acceleration responses of the substantially disturbed nonlinear oscillatory system is displayed in Figure 9. As can be observed, an active suppression stage of forced nonlinear vibrations is firstly established. Next, in spite of the influence of uncertain multiple-frequency oscillatory forces, a Bézier curve-based smooth transference of the primary system towards another operational condition should be efficiently achieved.. Note that velocity and acceleration signals in figures are respectively indicated by and .
Figure 9.
Smooth motion planning for operation of the controlled and disturbed nonlinear vibrating primary system. (a) Position reference trajectory. (b) Velocity reference trajectory. (c) Acceleration reference trajectory.
The open-loop responses of the disturbed primary vibrating system are depicted in Figure 10. It can be clearly evidenced the presence of harmful, large nonlinear vibrations. Certainly, this operational condition for the primary mechanical system is prohibited. This damaging operation situation was intentionally selected for evaluation purposes of efficiency and robustness of the developed estimation and control strategies. Nevertheless, an efficient dynamic performance of the on-line estimation of multiple-frequency oscillatory forces operating the primary system without implementing the vibration control scheme is demonstrated in Figure 11. Dashed line is here used to stand for time-varying real forces . Continuous line is on the other hand employed to illustrate the respective estimated forces . Amplitude and frequency parameters extracted off-line from the estimated oscillatory force signal by Fourier analysis are also depicted.

Figure 10.
Open-loop damage responses of the nonlinear vibrating system under uncertain multiple-frequency oscillatory forces . (a) Position response. (b) Close-up of position response. (c) Velocity response. (d) Close-up of the velocity response. (e) Acceleration response. (f) Close-up of the acceleration response.

Figure 11.
Real-time satisfactory estimation of unknown multiple-frequency oscillatory forces considerably disturbing the primary vibrating system without vibration control action. (a) Online reconstruction of external forces in open loop. (b) Close-up of the force estimation dynamics in open loop. (c) Amplitudes and frequencies of the open-loop estimated force signal computed offline by Fourier analysis.
Figure 12 shows the position, velocity and acceleration responses of the disturbed vibrating primary system with active control (6), in which online force estimation is favorably incorporated. The acceptable tracking performance of reference trajectories is verified. Moreover, the ability to significantly attenuate of multiple-frequency forced nonlinear vibrations is clearly confirmed. The control force applied to the primary oscillatory system for both vibration suppression and efficient tracking of motion planning is portrayed in Figure 13. The active control force with multiple frequencies used to to compensate for uncertain forced nonlinear vibrations is shown. The efficacious online estimation of uncertain multiple-frequency oscillatory forces is similarly achieved under closed-loop system operation conditions as shown in Figure 14. Amplitudes and frequencies of the closed-loop estimated vibrating force signal obtained offline by Fourier analysis are also shown in Figure 14.
Figure 12.
Acceptable nonlinear vibration attenuation and efficient tracking of motion planning specified for operation of the actively controlled primary system under the influence of oscillatory forces with multiple low and high frequencies. (a) Closed-loop tracking of the position reference trajectory. (b) Closed-loop tracking of the velocity reference trajectory. (c) Closed-loop tracking of the acceleration reference trajectory.
Figure 13.
Active control input implemented on the perturbed primary vibrating system, taking advantage of online force estimation.
Figure 14.
Real-time satisfactory estimation of unknown multiple-frequency oscillatory forces considerably disturbing the primary vibrating system with vibration control action. (a) Online reconstruction of external forces in closed loop. (b) Close-up of the force estimation dynamics in closed loop. (c) Amplitudes and frequencies of the closed-loop estimated force signal extracted offline by Fourier analysis.
Finally, adaptive empirical-mode decomposition is performed in a selected window of time on estimated force signals . In this fashion, harmonic components , of multiple-frequency oscillatory forces (3) are extracted as depicted in Figure 15. By applying Hilbert transform to each extracted oscillating component , approximate parameter values of amplitudes , frequencies and phase angles are then determined as displayed in Figure 16, Figure 17 and Figure 18. Here, average estimated parameter values of amplitudes, frequencies and phase angles are also indicated as , and , respectively. Values of determined parameters and their reasonable respective parametric estimation errors operating in the closed-loop disturbed vibratory system are summarized in Table 4. A maximum estimation error of in iterative parametric implementations was specified as depicted in Figure 2. Then, small estimation errors of less than were obtained as confirmed in Table 4.
Figure 15.
Oscillating components of the estimated force signals extracted by performing adaptive empirical-mode decomposition. (a) Extracted sixth harmonic component . (b) Extracted fifth harmonic component . (c) Extracted forth harmonic component . (d) Extracted third harmonic component . (e) Extracted second harmonic component . (f) Extracted first harmonic component .
Figure 16.
Excitation frequencies calculated by applying Hilbert transform on extracted oscillating components . (a) Computed sixth excitation force frequency. (b) Computed fifth excitation force frequency. (c) Computed forth excitation force frequency. (d) Computed third excitation force frequency. (e) Computed second excitation force frequency. (f) Computed first excitation force frequency.
Figure 17.
Excitation amplitude parameters calculated by applying Hilbert transform on extracted oscillating components . (a) Computed amplitude of the extracted oscillating component . (b) Computed amplitude of the extracted oscillating component . (c) Computed amplitude of the extracted oscillating component . (d) Computed amplitude of the extracted oscillating component . (e) Computed amplitude of the extracted oscillating component . (f) Computed amplitude of the extracted oscillating component .
Figure 18.
Calculation of phase angle parameters associated with extracted oscillating components . (a) Computed phase angle of the extracted oscillating component . (b) Computed phase angle of the extracted oscillating component . (c) Computed phase angle of the extracted oscillating component . (d) Computed phase angle of the extracted oscillating component . (e) Computed phase angle of the extracted oscillating component . (f) Computed phase angle of the extracted oscillating component .
Table 4.
Values of amplitude, frequency and phase parameters computed from multiple-frequency oscillating forces estimated using position measurements in the closed-loop nonlinear forced vibrating mechanical system.
5. Conclusions
An approach for on-line estimation of uncertain multiple-frequency oscillatory disturbance forces on a class of forced nonlinear vibrating mechanical systems with polynomial stiffness nonlinearities was introduced. In this article an alternative of solution to the real-time excitation force estimation problem in the context for both active vibration suppression and efficient tracking of Bezier motion reference profiles planned for the operation of nonlinear vibrating systems with generalized stiffness was proposed. The real-time multi-frequency vibrating disturbance signal estimation was combined with the Hilbert–Huang transform. Thus components of multiple-frequency vibrating forces were extracted. Excitation frequencies and amplitudes of disturbing oscillations were then computed. Dynamic modelling based on Taylor’s series expansions to approximate unknown vibrating forces into a small time window was utilized. It was assumed that oscillatory forces might be stimulated by other uncertain external dynamical secondary systems. Dependency on physics-based theoretical nonlinear mathematical modelling of perturbing dynamical systems generating multiple-frequency oscillations adversely influencing the nonlinear primary system trajectories was conveniently avoided. Signals of estimated forces can be used for implementation of active vibration control methods as was proposed in the present study. In this fashion, perturbation forces were neutralized by the active vibration control scheme. Furthermore, tracking of position, velocity and acceleration reference trajectories was efficiently performed under the presence of completely uncertain multi-frequency excitations. The on-line estimation of oscillating forces and their respective relevant parameters can be incorporated to several vibration control devices reported in the literature. Inclusion of estimation algorithms of disturbing oscillatory force parameters and signals in vibration control devices can be useful to significantly enhance their capabilities of attenuation of nonlinear extreme vibrations. Computer simulations results demonstrated the efficacious and efficiency of the on-line estimation technique for oscillatory forces on nonlinear vibrating systems. Acceptable estimation errors of less than 2% were obtained. Nevertheless, considering the predefined nonlinear vibration attenuation level, estimation errors can be suitably reduced by adjusting on-line the local polynomial excitation force expansion modelling order as well as the number of iterations to extract intrinsic oscillation modes into the system operation bandwidth. Therefore, from the obtained analytical and numerical results, it can be concluded that the on-line vibrating disturbance estimation is very alternative to be advantageously implemented to enhance capability of vibration attenuation of vibration control techniques. In addition, efficient tracking of desirable motion planning for nonlinear vibrating systems under the influence of uncertain multiple-frequency oscillatory disturbances can be executed simultaneously. Finally, in future research works the extension of the real-time estimation perspective of external oscillatory forces to other classes of controlled nonlinear vibrating mechanical systems will be explored.
Author Contributions
Conceptualization, F.B.-C., J.E.E.-C. and H.Y.-B.; Methodology, F.B.-C., J.E.E.-C., H.Y.-B., I.d.J.R.-C., D.S. and C.S.; Software, F.B.-C., J.E.E.-C. and H.Y.-B.; Validation, F.B.-C., J.E.E.-C., H.Y.-B. and I.d.J.R.-C.; Formal analysis, F.B.-C., J.E.E.-C., H.Y.-B., I.d.J.R.-C., D.S. and C.S.; Investigation, F.B.-C., J.E.E.-C., H.Y.-B., I.d.J.R.-C., D.S. and C.S.; Writing—original draft, F.B.-C., J.E.E.-C. and H.Y.-B.; Supervision, F.B.-C., J.E.E.-C. and H.Y.-B.; Project administration, F.B.-C. All authors have read and agreed to the published version of the manuscript.
Funding
This research received no external funding.
Data Availability Statement
Not applicable.
Conflicts of Interest
The authors declare no conflict of interest.
References
- Kovacic, I.; Brennan, M.J. (Eds.) The Duffing Equation—Nonlinear Oscillators and Their Behaviours; John Wiley & Sons, Ltd.: Chichester, UK, 2011. [Google Scholar]
- Ji, J.; Zhang, N. Suppression of the primary resonance vibrations of a forced nonlinear system using a dynamic vibration absorber. J. Sound Vib. 2010, 329, 2044–2056. [Google Scholar] [CrossRef]
- Rui, Z.; Min, F.; Dou, Y.; Ye, B. Switching mechanism and hardware experiment of a non-smooth Rayleigh-Duffing system. Chin. J. Phys. 2023, 82, 134–148. [Google Scholar] [CrossRef]
- Ji, J.; Zhang, N. Suppression of super-harmonic resonance response using a linear vibration absorber. Mech. Res. Commun. 2011, 38, 411–416. [Google Scholar] [CrossRef]
- Rao, S.S. Mechanical Vibrations, 6th ed.; Pearson Education, Inc.: London, UK, 2018. [Google Scholar]
- Margielewicz, J.; Gąska, D.; Litak, G.; Wolszczak, P.; Yurchenko, D. Influence of impulse characteristics on realizing high-energy orbits in hybrid energy harvester. Energy Convers. Manag. 2023, 277, 116672. [Google Scholar] [CrossRef]
- Han, X.; Bi, Q. Sliding fast–slow dynamics in the slowly forced Duffing system with frequency switching. Chaos Solitons Fractals 2023, 169, 113270. [Google Scholar] [CrossRef]
- Muravyov, A.A.; Rizzi, S.A. Determination of nonlinear stiffness with application to random vibration of geometrically nonlinear structures. Comput. Struct. 2003, 81, 1513–1523. [Google Scholar] [CrossRef]
- Albolfathi, A. Nonlinear Vibration Isolators with Asymmetric Stiffness. Ph.D. Thesis, University of Southampton, Southampton, UK, 2012. [Google Scholar]
- Hu, X.; Zhou, C. Dynamic and experimental analyses of QZS system with beneficial quadratic stiffness. Commun. Nonlinear Sci. Numer. Simul. 2023, 122, 107231. [Google Scholar] [CrossRef]
- Sira-Ramirez, H.; Beltran-Carbajal, F.; Blanco-Ortega, A. A generalized proportional integral output feedback controller for the robust perturbation rejection in a mechanical system. e-STA 2008, 5, 24–32. [Google Scholar]
- Sira-Ramirez, H.; Feliu-Batlle, V.; Beltran-Carbajal, F.; Blanco-Ortega, A. Sigma-delta modulation sliding mode observers for linear systems subject to locally unstable inputs. In Proceedings of the 2008 16th Mediterranean Conference on Control and Automation, Corsica, France, 25–27 June 2008; pp. 344–349. [Google Scholar]
- Sira-Ramirez, H.; Silva-Navarro, G.; Beltran-Carbajal, F. On the GPI balancing control of an uncertain Jeffcot rotor mode. In Proceedings of the 2007 4th International Conference on Electrical and Electronics Engineering, Mexico City, Mexico, 5–7 September 2007; pp. 306–309. [Google Scholar]
- Huang, N.E.; Shen, Z.; Long, S.R.; Wu, M.C.; Shih, H.H.; Zheng, Q.; Yen, N.C.; Tung, C.C.; Liu, H.H. The empirical mode decomposition and the Hilbert spectrum for nonlinear and non-stationary time series analysis. Proc. R. Soc. Lond. Ser. A Math. Phys. Eng. Sci. 1998, 454, 903–995. [Google Scholar] [CrossRef]
- Huang, N.E.; Wu, Z. A review on Hilbert-Huang transform: Method and its applications to geophysical studies. Rev. Geophys. 2008, 46, 1–23. [Google Scholar] [CrossRef]
- Rao, A.R.; Hsu, E.C. Hilbert-Huang Transform Analysis of Hydrological and Environmental TIME Series; Springer Science & Business Media: Dordrecht, The Netherlands, 2008. [Google Scholar]
- Preumont, A. Vibration Control of Active Structures An Introduction, 4th ed.; Springer: Cham, Switzerland, 2018. [Google Scholar]
- Chai, Y.; Li, F.; Song, Z.; Zhang, C. Analysis and active control of nonlinear vibration of composite lattice sandwich plates. Nonlinear Dyn. 2020, 102, 2179–2203. [Google Scholar] [CrossRef]
- Chai, Y.Y.; Song, Z.G.; Li, F.M. Active aerothermoelastic flutter suppression of composite laminated panels with time-dependent boundaries. Compos. Struct. 2017, 179, 61–76. [Google Scholar] [CrossRef]
- Chai, Y.; Li, F.; Song, Z.; Zhang, C. Aerothermoelastic flutter analysis and active vibration suppression of nonlinear composite laminated panels with time-dependent boundary conditions in supersonic airflow. J. Intell. Mater. Syst. Struct. 2018, 29, 653–668. [Google Scholar] [CrossRef]
- Manchi, V.; Sujatha, C. Torsional vibration reduction of rotating shafts for multiple orders using centrifugal double pendulum vibration absorber. Appl. Acoust. 2021, 174, 107768. [Google Scholar] [CrossRef]
- Gao, P.; Xiang, C.; Liu, H.; Walker, P.; Zhang, N. Design of the frequency tuning scheme for a semi-active vibration absorber. Mech. Mach. Theory 2019, 140, 641–653. [Google Scholar] [CrossRef]
- Xiang, B.; Wong, W. Electromagnetic vibration absorber for torsional vibration in high speed rotational machine. Mech. Syst. Signal Process. 2020, 140, 106639. [Google Scholar] [CrossRef]
- Beltran-Carbajal, F.; Silva-Navarro, G. Adaptive-Like Vibration Control in Mechanical Systems with Unknown Paramenters and Signals. Asian J. Control 2013, 15, 1613–1626. [Google Scholar] [CrossRef]
- Arias-Montiel, M.; Beltran-Carbajal, F.; Silva-Navarro, G. On-line algebraic identification of eccentricity parameters in active rotor-bearing systems. Int. J. Mech. Sci. 2014, 85, 152–159. [Google Scholar] [CrossRef]
- Beltran-Carbajal, F.; Silva-Navarro, G. Generalized nonlinear stiffness identification on controlled mechanical vibrating systems. Asian J. Control 2019, 21, 1281–1292. [Google Scholar] [CrossRef]
- Anastasio, D.; Marchesiello, S. Nonlinear frequency response curves estimation and stability analysis of randomly excited systems in the subspace framework. Nonlinear Dyn. 2023, 111, 8115–8133. [Google Scholar] [CrossRef]
- Noël, J.P.; Kerschen, G. Nonlinear system identification in structural dynamics: 10 more years of progress. Mech. Syst. Signal Process. 2017, 83, 2–35. [Google Scholar] [CrossRef]
- Dadkhah, M.; Kamgar, R.; Heidarzadeh, H.; Jakubczyk-Gałczyńska, A.; Jankowski, R. Improvement of performance level of steel moment-resisting frames using tuned mass damper system. Appl. Sci. 2020, 10, 3403. [Google Scholar] [CrossRef]
- Silva-Navarro, G.; Beltran-Carbajal, F.; Trujillo-Franco, L.G.; Peza-Solis, J.F.; Garcia-Perez, O.A. Online estimation techniques for natural and excitation frequencies on MDOF vibrating mechanical systems. Actuators 2021, 10, 41. [Google Scholar] [CrossRef]
- Beltran-Carbajal, F.; Abundis-Fong, H.F.; Trujillo-Franco, L.G.; Yañez-Badillo, H.; Favela-Contreras, A.; Campos-Mercado, E. Online frequency estimation on a building-like structure using a nonlinear flexible dynamic vibration absorber. Mathematics 2022, 10, 708. [Google Scholar] [CrossRef]
- Tavakoli, R.; Kamgar, R.; Rahgozar, R. Optimal location of energy dissipation outrigger in high-rise building considering nonlinear soil-structure interaction effects. Period. Polytech. Civ. Eng. 2020, 64, 887–903. [Google Scholar] [CrossRef]
- Beltran-Carbajal, F.; Silva-Navarro, G. Output feedback dynamic control for trajectory tracking and vibration suppression. Appl. Math. Model. 2020, 79, 793–808. [Google Scholar] [CrossRef]
- Korenev, B.G.; Reznikov, L.M. Dynamic Vibration Absorbers: Theory and Technical Applications; John Wiley & Sons: Chichester, UK, 1993. [Google Scholar]
- Wang, F.; Weng, Z.; He, L. Comprehensive Investigation on Active-Passive Hybrid Isolation and Tunable Dynamic Vibration Absorption; Springer: Singapore, 2019. [Google Scholar]
- Feldman, M. Hilbert Transform Applications in Mechanical Vibration; John Wiley & Sons: Chichester, UK, 2011. [Google Scholar]
- Brennan, M.J.; Tang, B. Virtual Experiments in Mechanical Vibrations: Structural Dynamics and Signal Processing; John Wiley & Sons: Chichester, UK, 2023. [Google Scholar]
- Graf, U. Introduction to Hyperfunctions and Their Integral Transforms: An Applied and Computational Approach; Springer Science & Business Media: Basel, Switzerland, 2010. [Google Scholar]
Disclaimer/Publisher’s Note: The statements, opinions and data contained in all publications are solely those of the individual author(s) and contributor(s) and not of MDPI and/or the editor(s). MDPI and/or the editor(s) disclaim responsibility for any injury to people or property resulting from any ideas, methods, instructions or products referred to in the content. |
© 2023 by the authors. Licensee MDPI, Basel, Switzerland. This article is an open access article distributed under the terms and conditions of the Creative Commons Attribution (CC BY) license (https://creativecommons.org/licenses/by/4.0/).