Experimental Validation of Fractional PID Controllers Applied to a Two-Tank System
Abstract
1. Introduction
- The tuning process of the FOPID using GAs that considers an objective function including the weighted quadratic error and control effort;
- An offline simulation for the optimization process that uses the nonlinear model of the system for control;
- The experimental results demonstrate that the proposed controllers’ optimization results are adequate for testing the FOPIDs tuned using a GA and the cost function defined by Equation (19) in real time.
2. Two-Tanks System
2.1. Two-Tank Description
- Two ultrasonic sensors to measure the levels of each tank;
- A direct current pump that supplied water flow to fill the tank system;
- A PCIe-6321 Data Acquisition (DAQ) unit;
- A host PC to implement the controllers in real time.

2.2. Two-Tank Model System

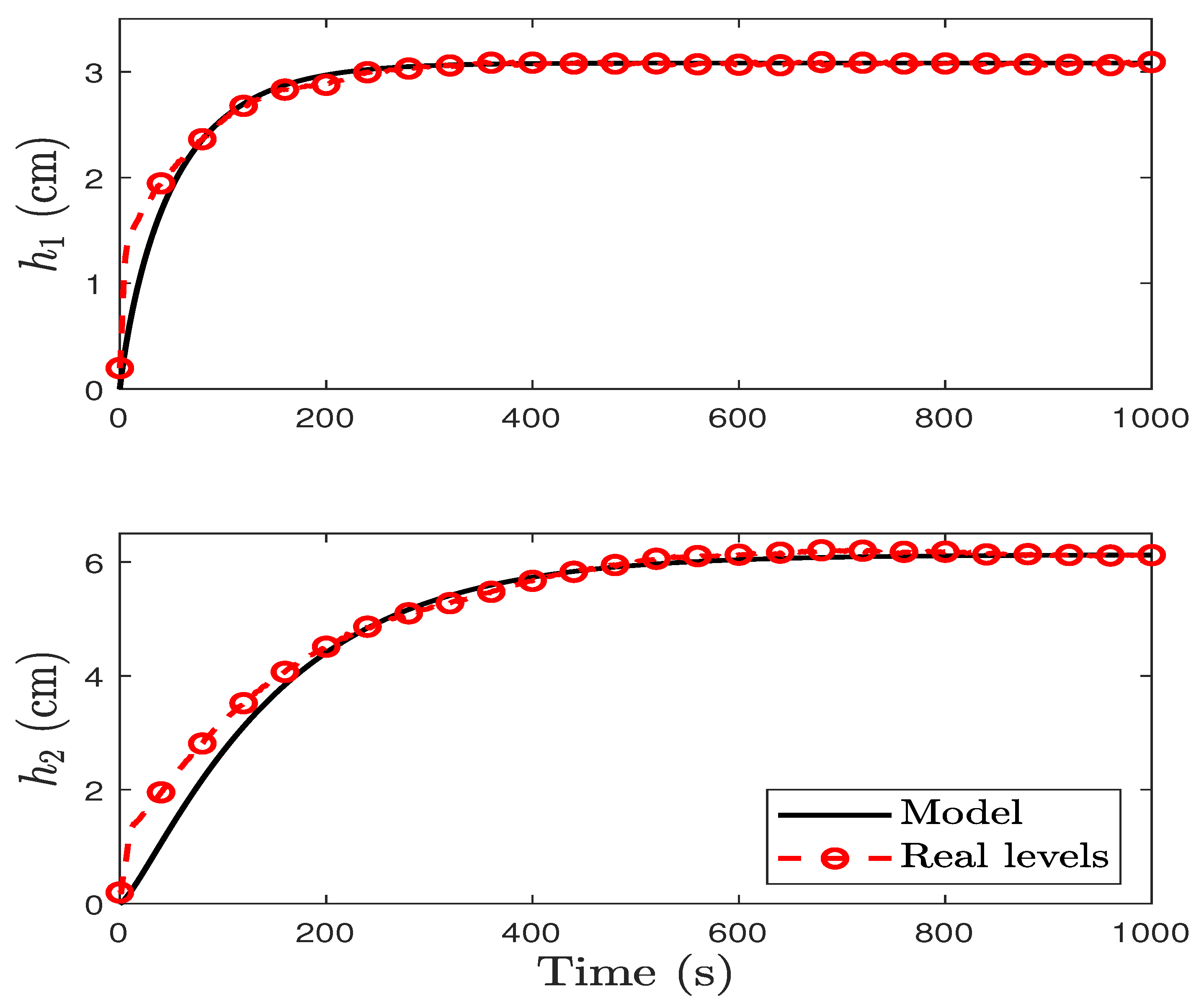
2.3. Experimental Validation of the Two-Tank System Model
3. PID Control Structures Applied to the Two-Tank System
3.1. Continuous Fractional PID Controller
3.2. Discrete Fractional PID Controller
3.3. Continuous and Discrete PID Controller
3.4. Genetic Algorithm for Tuning Controller Gains
| Algorithm 1 (Controllers tuning process) |
|
4. Results and Discussion
4.1. Tuning Results
- The classical PID controllers were first tuned to obtain the optimal gains , , and for each controller;
- The FOPID controllers used the optimal , , and from the classical PID controllers as fixed gains, and only the fractional-order factors and were optimized;
- The experiment was set to a population of 10, and the maximum number of generations was defined depending on the best results obtained in the optimization process;
- The experiment considered a simple time of ms (for the simulations and real time tests).
- Discrete and continuous classical PID bounds:
- Discrete and continuous FOPID bounds
4.2. Experimentel Results
- CPU: Intel core i5.
- RAM memory: 16 GB;
- Operating system: Windows 10;
- Data acquisition card: National Instruments PICe-6321;
- Matlab 2020b software with the Simulink Desktop Real-Time Toolbox.
4.3. Discussion
5. Conclusions
Author Contributions
Funding
Institutional Review Board Statement
Informed Consent Statement
Data Availability Statement
Acknowledgments
Conflicts of Interest
Abbreviations
| PID | Proportional-integral-derivative |
| FOPID | Fractional-order proportional-integral-derivative |
| GA | Genetic algorithm |
| ISE | Integral of the square error |
| IAE | Integral of the absolute value of the error |
| ITAE | Integral of the absolute value of the error pondered by the time |
References
- Carvajal, J.; Chen, G.; Ogmen, H. Fuzzy PID controller: Design, performance evaluation, and stability analysis. Inf. Sci. 2000, 123, 249–270. [Google Scholar] [CrossRef]
- Zhu, Z.; Liu, Y.; He, Y.; Wu, W.; Wang, H.; Huang, C.; Huang, C. Fuzzy PID Control of the Three-Degree-of-Freedom Parallel Mechanism Based on Genetic Algorithm. Appl. Sci. 2022, 12, 11128. [Google Scholar] [CrossRef]
- Qiao, L.; Zhao, M.; Wu, C.; Ge, T.; Fan, R.; Zhang, W. Adaptive PID control of robotic manipulators without equality/inequality constraints on control gains. Int. J. Robust Nonlinear Control 2022, 32, 9742–9760. [Google Scholar] [CrossRef]
- Mandava, R.K.; Vundavilli, P.R. An adaptive PID control algorithm for the two-legged robot walking on a slope. Neural Comput. Appl. 2020, 32, 3407–3421. [Google Scholar] [CrossRef]
- Nguyen, D.N.; Nguyen, T.A. A Novel Hybrid Control Algorithm Sliding Mode-PID for the Active Suspension System with State Multivariable. Complexity 2022, 2022, 9527384. [Google Scholar] [CrossRef]
- Ghani, M.F.; Ghazali, R.; Jaafar, H.I.; Soon, C.C.; Sam, Y.; Has, Z. Improved Third Order PID Sliding Mode Controller for Electrohydraulic Actuator Tracking Control. J. Robot. Control 2022, 3, 219–226. [Google Scholar] [CrossRef]
- Fliess, M.; Join, C. Intelligent PID controllers. In Proceedings of the 2008 16th Mediterranean Conference on Control and Automation, Ajaccio, France, 25–27 June 2008; pp. 326–331. [Google Scholar]
- Fliess, M.; Join, C. Model-free control. Int. J. Control 2013, 86, 2228–2252. [Google Scholar] [CrossRef]
- Sira-Ramirez, H.; Marquez, R.; Fliess, M. On the generalized pid control of linear dynamic systems. In Proceedings of the 2001 European Control Conference (ECC), Porto, Portugal, 4–7 September 2001; pp. 166–171. [Google Scholar]
- Becedas, J.; Trapero, J.R.; Feliu, V.; Sira-Ramirez, H. Adaptive Controller for Single-Link Flexible Manipulators Based on Algebraic Identification and Generalized Proportional Integral Control. IEEE Trans. Syst. Man Cybern. Part B 2009, 39, 735–751. [Google Scholar] [CrossRef]
- Zurita-Bustamante, E.W.; Linares-Flores, J.; Guzman-Ramirez, E.; Sira-Ramirez, H. A Comparison Between the GPI and PID Controllers for the Stabilization of a DC-DC “Buck" Converter: A Field Programmable Gate Array Implementation. IEEE Trans. Ind. Electron. 2013, 58, 5251–5262. [Google Scholar] [CrossRef]
- Oldham, K.B.; Zoski, C.G. Analogue instrumentation for processing polarographic data. J. Electroanal. Chem. Interfacial Electrochem. 1983, 157, 27–51. [Google Scholar]
- Westerlund, S.; Ekstam, L. Capacitor theory. IEEE Trans. Dielectr. Electr. Insul. 1994, 1, 826–839. [Google Scholar] [CrossRef]
- Bagley, R.; Calico, R. Fractional order state equations for the control of viscoelasticallydamped structures. J. Guid. Control Dyn. 1991, 14, 301–311. [Google Scholar] [CrossRef]
- Makroglou, A.; Miller, R.K.; Skaar, S. Computational results for a feedback control for a rotating viscoelastic beam. J. Guid. Control Dyn. 1994, 17, 84–90. [Google Scholar] [CrossRef]
- Podlubny, I. Fractional-order systems and PIλDμ-controllers. IEEE Trans. Autom. Control 1999, 44, 208–214. [Google Scholar] [CrossRef]
- Safarzadeh, O.; Noori-kalkhoran, O. A fractional PID controller based on fractional point kinetic model and particle swarm optimization for power regulation of SMART reactor. Nucl. Eng. Des. 2021, 377, 111137. [Google Scholar] [CrossRef]
- Pereira, L.F.D.S.C.; Batista, E.; de Brito, M.A.G.; Godoy, R.B. A Robustness Analysis of a Fuzzy Fractional Order PID Controller Based on Genetic Algorithm for a DC-DC Boost Converter. Electronics 2022, 11, 1894. [Google Scholar] [CrossRef]
- Warrier, P.; Shah, P. Optimal Fractional PID Controller for Buck Converter Using Cohort Intelligent Algorithm. Appl. Syst. Innov. 2021, 4, 50. [Google Scholar] [CrossRef]
- Seo, S.-W.; Choi, H.H. Digital Implementation of Fractional Order PID-Type Controller for Boost DC-DC Converter. IEEE Access 2019, 7, 142652–142662. [Google Scholar] [CrossRef]
- Wang, H.; Lu, J. Research on Fractional Order Fuzzy PID Control of the Pneumatic-hydraulic Upper Limb Rehabilitation Training System Based on PSO. Int. J. Control Autom. Syst. 2022, 20, 310–320. [Google Scholar] [CrossRef]
- Abood, L.H.; Oleiwi, B.K. Design of fractional order PID controller for AVR system using whale optimization algorithm. Indones. J. Electr. Eng. Comput. Sci. 2021, 23, 1410–1418. [Google Scholar] [CrossRef]
- Altbawi, S.M.A.; Mokhtar, A.S.B.; Jumani, T.A.; Khan, I.; Hamadneh, N.N.; Khan, A. Optimal design of Fractional order PID controller based Automatic voltage regulator system using gradient-based optimization algorithm. J. King Saud Univ. Eng. Sci. 2021, in press. [Google Scholar] [CrossRef]
- Koszewnik, A.; Pawluszewicz, E.; Ostaszewski, M. Experimental Studies of the Fractional PID and TID Controllers for Industrial Process. Int. J. Control Autom. Syst. 2021, 19, 1847–1862. [Google Scholar] [CrossRef]
- Zhang, F.; Yang, C.; Zhou, X.; Gui, W. Optimal Setting and Control Strategy for Industrial Process Based on Discrete-Time Fractional-Order PIλDμ. IEEE Access 2019, 7, 47747–47761. [Google Scholar] [CrossRef]
- Mohammad, A.F.; Abdulsalam, M.A. Fractional order PID controller tuned by bat algorithm for robot trajectory control. Indones. J. Electr. Eng. Comput. Sci. 2012, 21, 74–83. [Google Scholar]
- Saadatmand, M.; Gharehpetian, G.B.; Kamwa, I.; Siano, P.; Guerrero, J.M.; Haes Alhelou, H. A Survey on FOPID Controllers for LFO Damping in Power Systems Using Synchronous Generators, FACTS Devices and Inverter-Based Power Plants. Energies 2021, 14, 5983. [Google Scholar] [CrossRef]
- Paducel, I.; Safirescu, C.O.; Dulf, E.-H. Fractional Order Controller Design for Wind Turbines. Appl. Sci. 2022, 12, 8400. [Google Scholar] [CrossRef]
- Shah, P.; Agashe, S. Review of fractional PID controller. Mechatronics 2016, 38, 29–41. [Google Scholar] [CrossRef]
- Padhee, S.; Gautam, A.; Singh, Y.; Kaur, G. A Novel Evolutionary Tuning Method for Fractional Order PID Controller. Int. J. Soft Comput. Eng. 2011, 1, 1–9. [Google Scholar]
- Lazarević, M.P.; Batalov, S.A.; Latinović, T.S. Fractional PID Controller Tuned by Genetic Algorithms for a Three DOF’s Robot System Driven by DC motors. In Proceedings of the 6th Workshop on Fractional Differentiation and Its Applications Part of 2013 IFAC Joint Conference SSSC, FDA, TDS, Grenoble, France, 13–15 February 2013; pp. 385–390. [Google Scholar]
- Khather, S.I.; Almaged, M.; Abdullah, A.I. Fractional order based on genetic algorithm PID controller for controlling the speed of DC motors. Int. J. Eng. Technol. 2018, 7, 5386–5392. [Google Scholar]
- Bingül, Z.; Karahan, O. Fractional PID controllers tuned by evolutionary algorithms for robot trajectory control. Turk. J. Electr. Eng. Comput. Sci. 2012, 7, 1123–1136. [Google Scholar] [CrossRef]
- Gad, S.; Metered, H.; Bassuiny, A.; Abdel Ghany, A.M. Multi-objective genetic algorithm fractional-order PID controller for semi-active magnetorheologically damped seat suspension. J. Vib. Control 2017, 23, 1248–1266. [Google Scholar] [CrossRef]
- Chen, Z.; Yuan, X.; Ji, B.; Wang, P.; Tian, H. Design of a fractional order PID controller for hydraulic turbine regulating system using chaotic non-dominated sorting genetic algorithm II. Energy Convers. Manag. 2014, 84, 390–404. [Google Scholar] [CrossRef]
- Wan, J.; He, B.; Wang, D.; Yan, T.; Shen, Y. Fractional-Order PID Motion Control for AUV Using Cloud-Model-Based Quantum Genetic Algorithm. IEEE Access 2019, 7, 124828–124843. [Google Scholar] [CrossRef]
- Jaiswal, S.; Chiluka, S.K.; Seepana, M.M.; Babu, G.U.B. Design of Fractional Order PID Controller Using Genetic Algorithm Optimization Technique for Nonlinear System. Chem. Prod. Process. Model. 2020, 15, 20190072. [Google Scholar] [CrossRef]
- Devaraj, S.V.; Gunasekaran, M.; Sundaram, E.; Venugopal, M.; Chennianppan, S.; Almakhles, D.J.; Subramaniam, U.; Bhaskar, M.S. Robust Queen Bee Assisted Genetic Algorithm (QBGA) Optimized Fractional Order PID (FOPID) Controller for Not Necessarily Minimum Phase Power Converters. IEEE Access 2021, 9, 93331–93337. [Google Scholar] [CrossRef]
- Cao, J.; Cao, B. Design of Fractional Order Controllers Based on Particle Swarm Optimization. In Proceedings of the 1st IEEE Conference on Industrial Electronics and Applications, Singapore, 24–26 May 2006; pp. 1–6. [Google Scholar]
- Gouta, H.; Said, S.H.; Barhoumi, N.; M’Sahli, F. Observer-Based Backstepping Controller for a State-Coupled Two-Tank System. IETE J. Res. 2015, 63, 259–268. [Google Scholar] [CrossRef]
- Join, C.; Sira-Ramírez, H.; Fliess, M. Control of an uncertain three-tank system via on-line parameter identification and fault detection. IFAC Proc. Vol. 2005, 38, 251–256. [Google Scholar] [CrossRef]
- Sorcia-Vázquez, F.; García-Beltrán, C.; Valencia-Palomo, G.; Brizuela-Mendoza, J.; Rumbo-Morales, J. Decentralized robust tube-based model predictive control: Application to a four-tank system. Rev. Mex. Ing. QuḾica 2020, 19, 1135–1151. [Google Scholar] [CrossRef]
- Stanislawski, R.; Rydel, M.; Li, Z. A New Reduced-Order Implementation of Discrete-Time Fractional-Order PID Controller. IEEE Access 2022, 10, 17417–17429. [Google Scholar] [CrossRef]
- Mirjalili, S. Genetic Algorithm. In Evolutionary Algorithms and Neural Networks: Theory and Applications; Kacprzyk, J., Ed.; Springer International Publishing: Warsaw, Poland, 2019; pp. 43–55. [Google Scholar]
- Katoch, S.; Chauhan, S.S.; Kumar, V. A review on genetic algorithm: Past, present, and future. Multimed. Tools Appl. 2021, 80, 8091–8126. [Google Scholar] [CrossRef]
- Duriez, T.; Brunton, S.L.; Noack, B.R. Machine Learning Control—Taming Nonlinear Dynamics and Turbulence; Springer: Cham, Switzerland, 2017; pp. 11–46. [Google Scholar]
- Tepljakov, A.; Alagoz, B.B.; Yeroglu, C.; Gonzalez, E.A.; Hosseinnia, S.H.; Petlenkov, E.; Ates, A.; Cech, M. Towards Industrialization of FOPID Controllers: A Survey on Milestones of Fractional-Order Control and Pathways for Future Developments. IEEE Access 2021, 9, 21016–21042. [Google Scholar] [CrossRef]







| Parameter | Variable | Value | Units |
|---|---|---|---|
| Pump constant | cm/sV | ||
| Area of tank 1 and 2 | 630 | cm | |
| Discharge constant of tank 1 | cm | ||
| Discharge constant of tank 2 | cm | ||
| Gravitational constant | g | 981 | cm/s2 |
| Level of tank 1 | 3.08 | cm | |
| Level of tank 2 | 6.12 | cm |
| Controller | |||||
|---|---|---|---|---|---|
| cPID | - | - | |||
| cFOPID | |||||
| dPID | - | - | |||
| dFOPID |
| Controller | Overshoot | Settling Time (Seconds) |
|---|---|---|
| Continuous PID | ||
| Continuous FOPID | ||
| Discrete PID | ||
| Discrete FODPID |
| Controller | ISE | IAE | ITAE |
|---|---|---|---|
| Continuous PID | |||
| Continuous FOPID | |||
| Discrete PID | |||
| Discrete FODPID |
Disclaimer/Publisher’s Note: The statements, opinions and data contained in all publications are solely those of the individual author(s) and contributor(s) and not of MDPI and/or the editor(s). MDPI and/or the editor(s) disclaim responsibility for any injury to people or property resulting from any ideas, methods, instructions or products referred to in the content. |
© 2023 by the authors. Licensee MDPI, Basel, Switzerland. This article is an open access article distributed under the terms and conditions of the Creative Commons Attribution (CC BY) license (https://creativecommons.org/licenses/by/4.0/).
Share and Cite
Sorcia-Vázquez, F.d.J.; Rumbo-Morales, J.Y.; Brizuela-Mendoza, J.A.; Ortiz-Torres, G.; Sarmiento-Bustos, E.; Pérez-Vidal, A.F.; Rentería-Vargas, E.M.; De-la-Torre, M.; Osorio-Sánchez, R. Experimental Validation of Fractional PID Controllers Applied to a Two-Tank System. Mathematics 2023, 11, 2651. https://doi.org/10.3390/math11122651
Sorcia-Vázquez FdJ, Rumbo-Morales JY, Brizuela-Mendoza JA, Ortiz-Torres G, Sarmiento-Bustos E, Pérez-Vidal AF, Rentería-Vargas EM, De-la-Torre M, Osorio-Sánchez R. Experimental Validation of Fractional PID Controllers Applied to a Two-Tank System. Mathematics. 2023; 11(12):2651. https://doi.org/10.3390/math11122651
Chicago/Turabian StyleSorcia-Vázquez, Felipe de J., Jesse Y. Rumbo-Morales, Jorge A. Brizuela-Mendoza, Gerardo Ortiz-Torres, Estela Sarmiento-Bustos, Alan F. Pérez-Vidal, Erasmo M. Rentería-Vargas, Miguel De-la-Torre, and René Osorio-Sánchez. 2023. "Experimental Validation of Fractional PID Controllers Applied to a Two-Tank System" Mathematics 11, no. 12: 2651. https://doi.org/10.3390/math11122651
APA StyleSorcia-Vázquez, F. d. J., Rumbo-Morales, J. Y., Brizuela-Mendoza, J. A., Ortiz-Torres, G., Sarmiento-Bustos, E., Pérez-Vidal, A. F., Rentería-Vargas, E. M., De-la-Torre, M., & Osorio-Sánchez, R. (2023). Experimental Validation of Fractional PID Controllers Applied to a Two-Tank System. Mathematics, 11(12), 2651. https://doi.org/10.3390/math11122651

