Stochastic EM Algorithm for Joint Model of Logistic Regression and Mechanistic Nonlinear Model in Longitudinal Studies
Abstract
1. Introduction
2. Joint Model of Logistic Regression and Mechanistic Nonlinear Model with Random Effects
2.1. Model Specification
2.2. Estimation Procedure
- Step 1:
- simulate , and, independently, sample from the uniform (0, 1) distribution;
- Step 2:
- calculate ;
- Step 3:
- if , we update by ; otherwise, .
- Initialization. Set . Run the StEM algorithm to obtain the initial series of the estimates .
- Check stationarity. For each entry p in , we compute the Geweke statistic from the Markov chain based on the standardized mean difference between the first portion and last portion of the chain. We regard stationarity as being reached when all are sufficiently small, i.e.,where P is the total number of parameters and is a tuning parameter.
- Update. If stationarity is not reached, execute w additional runs of the chain, increase the number by 1, and then repeat Step 2.
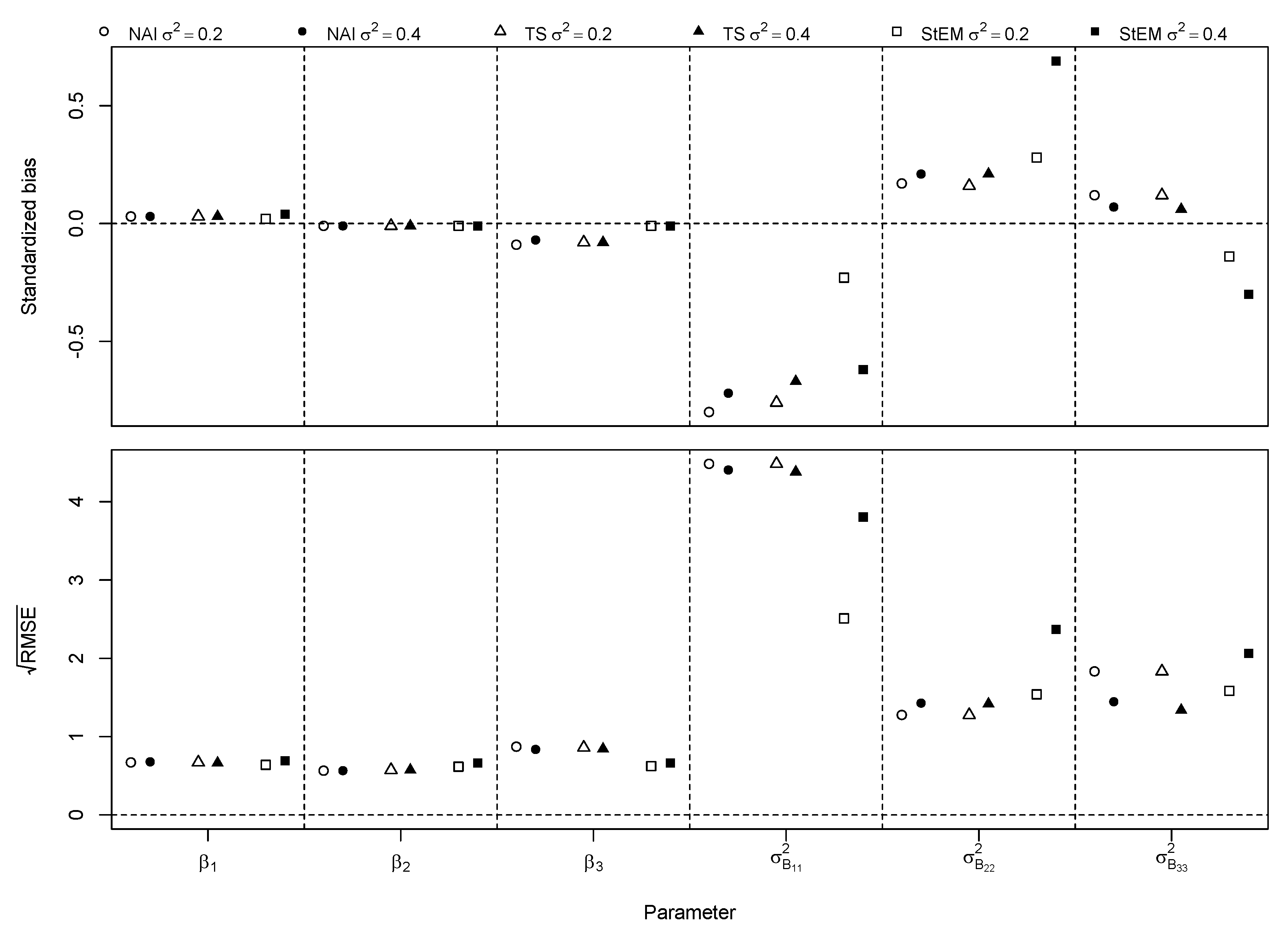
3. A Simulation Study
- Stage 2:
- simulate from , i.e., a multivariate random walk as the candidate proposal for the M–H sampling.
- Stage 3:
- simulate a succession of dim( uni-dimensional Gaussian random walk for each component of .
4. Application to ACTG Trial
5. Discussion
Funding
Data Availability Statement
Conflicts of Interest
References
- Bolder, B.M.; Brooks, M.; Clark, C.; Geange, S.; Pouls, J.; Stevens, M.; White, J. Generalized linear mixed models: A practical guide for ecology and evolution. Trends Ecol. Evol. 2009, 24, 127–141. [Google Scholar]
- McCulloch, C.; Searle, S.; Neuhaus, J. Generalized, Linear, and Mixed Models; John Wiley and Sons: New York, NY, USA, 2008. [Google Scholar]
- Olver, F.; Lozier, D.; Boisver, R.; Clark, C. Quadrature: Gauss-Hermit Formula: NIST Handbook of Mathematical Functions; Cambridge University Press: London, UK, 2010. [Google Scholar]
- Carroll, R.; Ruppert, D.; Stefanski, L. Measurement Error in Nonlinear Models: A Modern Perspective; Chapman and Hall: Boca Raton, FL, USA, 2006. [Google Scholar]
- Fuller, W. Measurement Error Models; John Wiley and Sons: New York, NY, USA, 1987. [Google Scholar]
- Zhang, H.; Wong, H.; Wu, L. A mechanistic nonlinear model for censored and mis-measured covariates in longitudinal models, with application in AIDS studies. Stat. Med. 2018, 37, 167–178. [Google Scholar] [CrossRef] [PubMed]
- Wei, G.; Tanner, M. A Monte-Carlo implementation of the EM algorithm and the poor man’s data augmentation algorithm. J. Am. Stat. Assoc. 1990, 85, 699–704. [Google Scholar] [CrossRef]
- Diebolt, J.; Celeus, G. Asymptotic properties of a stochastic EM algorithm for estimating mixture proportions. Stoch. Model. 1996, 9, 599–613. [Google Scholar]
- Mbognig, C.; Bleakley, K.; Lavielle, M. Joint modelling of longitudinal and repeated time-to-event data using nonlinear mixed-effects models and the stochastic approximation expectation-maximization algorithm. J. Stat. Comput. Simul. 2015, 85, 1512–1528. [Google Scholar] [CrossRef]
- Dempster, A.; Laird, N.; Rubin, D. Maximum likelihood from incomplete data via the EM algorithm. J. Roy. Statist. Soc. Ser. B 1977, 39, 1–38. [Google Scholar]
- Ip, E.H. A Stochastic EM Estimator in the Presence of Missing Data: Theory and Application. Ph.D. Dissertation, Standford University, Standford, CA, USA, November 1994. [Google Scholar]
- Nielsen, S. The stochastic EM algorithm: Estimation and asymptotic results. Bernoulli 2000, 6, 457–489. [Google Scholar] [CrossRef]
- Geweke, J. Handbook of Computational Economics; North-Holland: Amsterdam, The Netherlands, 1996. [Google Scholar]
- Zhang, H.; Wu, L. A nonlinear model for truncated and mis-measured time-varying covariates in survival models, with applications in HIV/AIDS studies. J. R. Stat. Soc.—Appl. Stat. Ser. 2018, 67, 1437–1450. [Google Scholar] [CrossRef]
- Baey, C.; Trevezas, S.; Cournede, P. A non linear mixed effects model of plant growth and estimation via stochastic variants of the EM algorithm. Commun. Stat.—Theory Methods 2016, 45, 1643–1669. [Google Scholar] [CrossRef]
- Huang, R.; Xu, R.; Dulai, P.S. Sensitivity analysis of treatment effect to unmeasured confounding in observational studies with survival and competing risk outcomes. Stat. Med. 2020, 39, 3397–3411. [Google Scholar] [CrossRef]
- Wang, R.; Bing, A.; Wang, C.; Hu, Y.; Bosch, R.; DeGruttola, V. A flexible nonlinear mixed effects model for HIV viral load rebound after treatment interruption. Stat. Med. 2020, 39, 2051–2066. [Google Scholar] [CrossRef] [PubMed]
- Yang, F. A stochastic EM algorithm for quantile and censored quantile regression models. Compt. Econ. 2018, 52, 555–582. [Google Scholar] [CrossRef]
- Zhang, S.; Chen, Y.; Liu, Y. An improved stochastic EM algorithm for large-scale full-information item factor analysis. Br. J. Math. Stat. Psychol. 2020, 73, 44–71. [Google Scholar] [CrossRef] [PubMed]
- Gelman, A.; Rubin, D. Inference from iterative simulation using multiple sequences. Stat. Sci. 1992, 7, 457–472. [Google Scholar] [CrossRef]
- Mentre, F.; Mallet, A.; Baccar, D. Optimal design in random-effects regression models. Biometrika 1997, 84, 429–442. [Google Scholar] [CrossRef]
- Retout, S.; Comets, E.; Samson, A.; Mentre, F. Design in nonlinear mixed effects models: Optimization using the Fedorov-Wynn algorithtm and power of the Wald test for binary covariates. Stat. Med. 2007, 26, 5162–5179. [Google Scholar] [CrossRef]
- Zhang, H.; Wu, L. An approximate method for generalized linear and nonlinear mixed effects models with mechanistic nonlinear covariate measurement error model. Metrika 2019, 82, 471–499. [Google Scholar] [CrossRef]
- Louis, T. Finding the observed information matrix when using the EM algorithm. J. R. Stat. Soc. 1982, 44, 226–233. [Google Scholar]
- Wu, L. Mixed Effects Models for Complex Data; Chapman and Hall: London, UK, 2010. [Google Scholar]
- Samson, A.; Lavielle, M.; Mentre, F. Extension of the SAEM algorithm to left-censored data in nonlinear mixed-effects model: Application to HIV dynamics model. Comput. Stat. Data Anal. 2006, 51, 1562–1574. [Google Scholar] [CrossRef]
- Burton, A.; Altman, D.; Royston, P.; Holder, R. The design of simulation studies in medical statistics. Stat. Med. 2006, 25, 4279–4292. [Google Scholar] [CrossRef]
- Fischl, M.; Ribaudo, H.; Collier, A. A randomized trial of 2 different 4-drug antiretroviral regimens versus a 3-drug regimen, in advanced human immunodeficiency virus disease. J. Infect. Dis. 2003, 188, 625–634. [Google Scholar] [CrossRef] [PubMed]
- Wu, H.; Ding, A. Population HIV-1 dynamics in vivo: Applicable models and inferential tools for virological data from AIDS clinical trials. Biometrics 1999, 55, 410–418. [Google Scholar] [CrossRef] [PubMed]
- Perelson, A.; Essunger, P.; Cao, Y.; Vesanen, M.; Hurley, A.; Saksela, K.; Markowitz, M.; Ho, D. Decay characteristics of HIV-1 infected compartments during combination therapy. Nature 1997, 387, 188–191. [Google Scholar] [CrossRef] [PubMed]
- Shah, A.; Laird, N.; Schoenfeld, D. A random-effects model for multiple characteristics with possibly missing data. Am. Stat. Assoc. 1997, 92, 775–779. [Google Scholar] [CrossRef]
- Little, R.; Rubin, D. Statistical Analysis with Missing Data; Wiley: New York, NY, USA, 2002. [Google Scholar]





| Method | True | 3.32 | 12.04 | 3.91 | −0.48 | −0.62 | 6.73 |
| NAI | Est | −0.55 | −0.60 | 6.12 | |||
| SD | 0.62 | 0.26 | 0.82 | ||||
| SE | 0.51 | 0.09 | 0.76 | ||||
| CR | 0.79 | 0.47 | 0.94 | ||||
| TS | Est | 3.32 | 12.04 | 3.91 | −0.54 | −0.61 | 6.11 |
| SD | 0.04 | 0.07 | 0.03 | 0.62 | 0.26 | 0.81 | |
| SE | 0.04 | 0.07 | 0.03 | 0.54 | 0.13 | 0.75 | |
| CR | 0.93 | 0.92 | 0.97 | 0.90 | 0.85 | 0.82 | |
| StEM | Est | 3.32 | 12.04 | 3.91 | −0.45 | −0.63 | 6.80 |
| SD | 0.04 | 0.08 | 0.04 | 0.57 | 0.14 | 0.94 | |
| SE | 0.04 | 0.08 | 0.04 | 0.70 | 0.14 | 0.95 | |
| CR | 0.99 | 0.94 | 0.96 | 1.00 | 0.98 | 0.96 | |
| NAI | Est | −0.58 | −0.59 | 6.14 | |||
| SD | 0.62 | 0.25 | 0.81 | ||||
| SE | 0.49 | 0.08 | 0.76 | ||||
| CR | 0.60 | 0.12 | 0.95 | ||||
| TS | Est | 3.32 | 12.04 | 3.91 | −0.58 | −0.59 | 6.14 |
| SD | 0.05 | 0.09 | 0.03 | 0.62 | 0.25 | 0.81 | |
| SE | 0.04 | 0.08 | 0.04 | 0.54 | 0.13 | 0.75 | |
| CR | 0.90 | 0.91 | 0.97 | 0.90 | 0.81 | 0.80 | |
| StEM | Est | 3.32 | 12.03 | 3.91 | −0.48 | −0.62 | 6.71 |
| SD | 0.05 | 0.09 | 0.03 | 0.63 | 0.12 | 1.00 | |
| SE | 0.05 | 0.10 | 0.05 | 0.70 | 0.14 | 0.94 | |
| CR | 0.96 | 0.96 | 0.99 | 0.99 | 0.96 | 0.95 | |
| Method | True | 3.32 | 12.04 | 3.91 | −0.48 | −0.62 | 6.73 |
| NAI | Est | −0.17 | −0.67 | 6.07 | |||
| SD | 0.82 | 0.34 | 1.34 | ||||
| SE | 0.85 | 0.17 | 1.20 | ||||
| CR | 0.96 | 0.81 | 0.87 | ||||
| TS | Est | 3.33 | 12.02 | 3.90 | −0.17 | −0.67 | 6.07 |
| SD | 0.07 | 0.11 | 0.07 | 0.82 | 0.34 | 1.34 | |
| SE | 0.07 | 0.13 | 0.07 | 0.80 | 0.33 | 1.12 | |
| CR | 0.97 | 0.93 | 0.97 | 0.90 | 0.97 | 0.72 | |
| StEM | Est | 3.35 | 12.02 | 3.87 | −0.36 | −0.70 | 6.63 |
| SD | 0.07 | 0.10 | 0.08 | 0.94 | 0.45 | 1.40 | |
| SE | 0.08 | 0.16 | 0.08 | 0.88 | 0.47 | 1.12 | |
| CR | 0.99 | 0.83 | 0.99 | 1.00 | 0.83 | 0.99 | |
| NAI | Est | −0.16 | −0.72 | 6.12 | |||
| SD | 0.87 | 0.36 | 1.23 | ||||
| SE | 0.91 | 0.16 | 1.32 | ||||
| CR | 0.97 | 0.78 | 0.94 | ||||
| TS | Est | 3.33 | 12.01 | 3.91 | −0.15 | −0.72 | 6.12 |
| SD | 0.11 | 0.17 | 0.07 | 0.87 | 0.36 | 1.23 | |
| SE | 0.08 | 0.14 | 0.07 | 0.80 | 0.36 | 1.14 | |
| CR | 0.81 | 0.86 | 0.99 | 0.94 | 0.94 | 0.75 | |
| StEM | Est | 3.35 | 12.06 | 3.91 | −0.24 | −0.69 | 6.69 |
| SD | 0.10 | 0.13 | 0.07 | 0.95 | 0.37 | 1.38 | |
| SE | 0.09 | 0.17 | 0.09 | 0.92 | 0.54 | 1.20 | |
| CR | 0.99 | 0.98 | 0.99 | 0.99 | 0.99 | 0.80 | |
| Method | True | 3.32 | 12.04 | 3.91 | −0.48 | −0.62 | 6.73 |
| NAI | Est | −0.39 | −0.59 | 5.98 | |||
| SD | 0.73 | 0.21 | 0.99 | ||||
| SE | 0.68 | 0.13 | 0.92 | ||||
| CR | 0.92 | 0.77 | 0.92 | ||||
| TS | Est | 3.32 | 12.04 | 3.91 | −0.30 | −0.59 | 5.98 |
| SD | 0.06 | 0.10 | 0.05 | 0.72 | 0.21 | 1.00 | |
| SE | 0.05 | 0.09 | 0.05 | 0.70 | 0.21 | 0.90 | |
| CR | 0.90 | 0.93 | 0.93 | 0.94 | 0.89 | 0.79 | |
| StEM | Est | 3.33 | 12.04 | 3.91 | −0.48 | −0.64 | 6.74 |
| SD | 0.05 | 0.09 | 0.06 | 0.81 | 0.18 | 1.38 | |
| SE | 0.06 | 0.11 | 0.06 | 0.85 | 0.21 | 1.02 | |
| CR | 0.97 | 0.98 | 0.97 | 0.98 | 0.98 | 0.86 | |
| NAI | Est | −0.37 | −0.59 | 6.03 | |||
| SD | 0.74 | 0.21 | 0.98 | ||||
| SE | 0.66 | 0.12 | 0.93 | ||||
| CR | 0.89 | 0.51 | 0.93 | ||||
| TS | Est | 3.33 | 12.03 | 3.91 | −0.37 | −0.59 | 6.03 |
| SD | 0.08 | 0.13 | 0.06 | 0.74 | 0.21 | 0.98 | |
| SE | 0.06 | 0.11 | 0.05 | 0.71 | 0.17 | 0.91 | |
| CR | 0.83 | 0.87 | 0.91 | 0.96 | 0.89 | 0.81 | |
| StEM | Est | 3.33 | 12.04 | 3.91 | −0.37 | −0.63 | 6.39 |
| SD | 0.07 | 0.11 | 0.06 | 0.73 | 0.20 | 1.19 | |
| SE | 0.07 | 0.13 | 0.06 | 0.85 | 0.21 | 1.02 | |
| CR | 0.92 | 0.96 | 0.95 | 0.99 | 0.94 | 0.87 | |
| Method | Parameter | ||||||
|---|---|---|---|---|---|---|---|
| NAI | est | −0.39 | −0.48 | 5.50 | |||
| se | 0.49 | 0.09 | 0.59 | ||||
| TS | est | 3.32 | 12.04 | 3.89 | −0.54 | −0.51 | 5.66 |
| se | 0.03 | 0.07 | 0.03 | 0.49 | 0.10 | 0.59 | |
| StEM | est | 3.34 | 12.07 | 3.91 | −0.48 | −0.62 | 6.73 |
| se | 0.04 | 0.08 | 0.04 | 0.56 | 0.11 | 0.61 |
Disclaimer/Publisher’s Note: The statements, opinions and data contained in all publications are solely those of the individual author(s) and contributor(s) and not of MDPI and/or the editor(s). MDPI and/or the editor(s) disclaim responsibility for any injury to people or property resulting from any ideas, methods, instructions or products referred to in the content. |
© 2023 by the author. Licensee MDPI, Basel, Switzerland. This article is an open access article distributed under the terms and conditions of the Creative Commons Attribution (CC BY) license (https://creativecommons.org/licenses/by/4.0/).
Share and Cite
Zhang, H. Stochastic EM Algorithm for Joint Model of Logistic Regression and Mechanistic Nonlinear Model in Longitudinal Studies. Mathematics 2023, 11, 2317. https://doi.org/10.3390/math11102317
Zhang H. Stochastic EM Algorithm for Joint Model of Logistic Regression and Mechanistic Nonlinear Model in Longitudinal Studies. Mathematics. 2023; 11(10):2317. https://doi.org/10.3390/math11102317
Chicago/Turabian StyleZhang, Hongbin. 2023. "Stochastic EM Algorithm for Joint Model of Logistic Regression and Mechanistic Nonlinear Model in Longitudinal Studies" Mathematics 11, no. 10: 2317. https://doi.org/10.3390/math11102317
APA StyleZhang, H. (2023). Stochastic EM Algorithm for Joint Model of Logistic Regression and Mechanistic Nonlinear Model in Longitudinal Studies. Mathematics, 11(10), 2317. https://doi.org/10.3390/math11102317
