A Novel Fault-Tolerant Super-Twisting Control Technique for Chaos Stabilization in Fractional-Order Arch MEMS Resonators
Abstract
1. Introduction
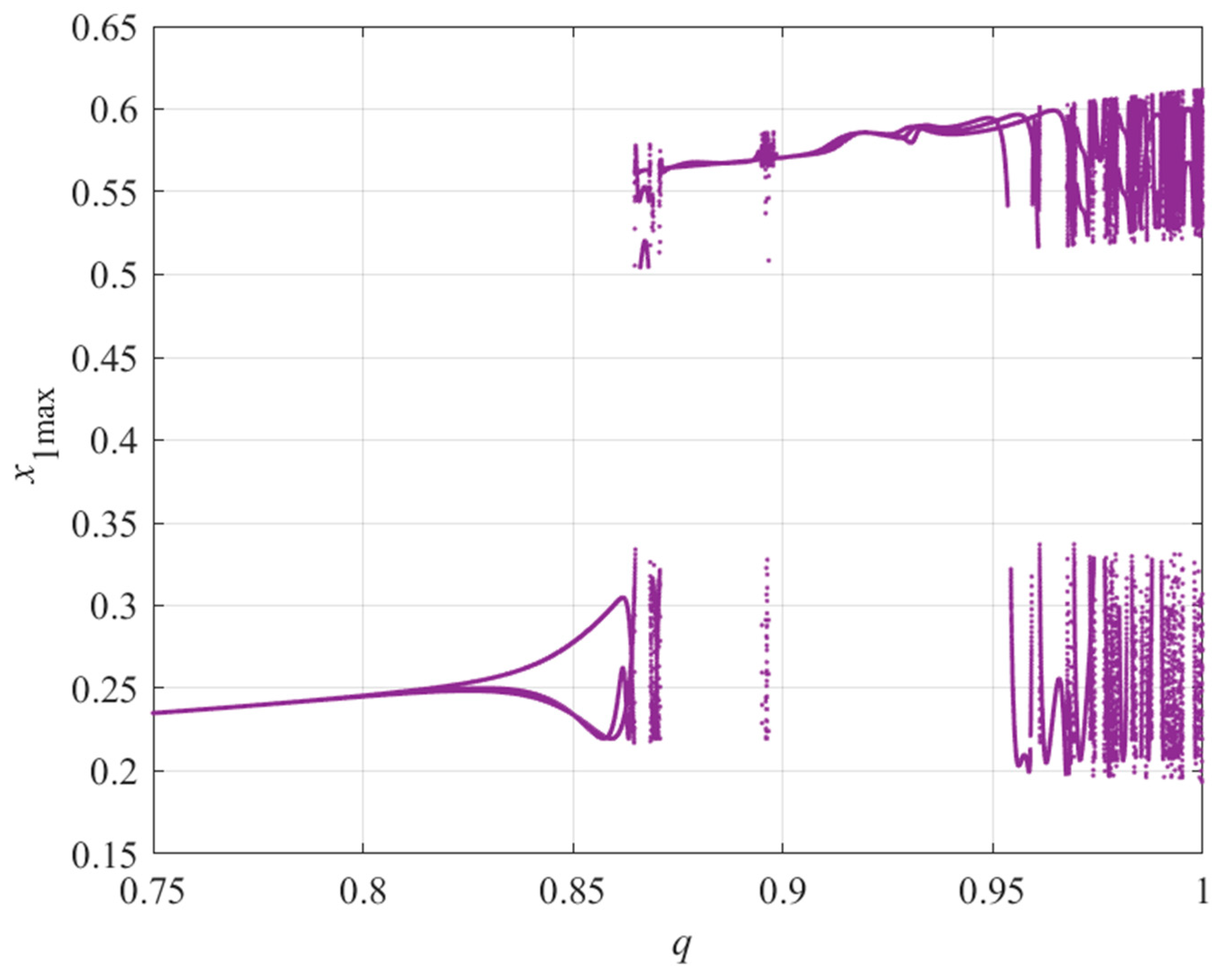
2. Arc MEMS Resonators
3. Control Design
3.1. Fault Detector
3.2. Super-Twisting Controller
4. Numerical Simulation
4.1. Proposed Technique
4.2. SMC
4.3. Quantitative Comparison
5. Conclusions
Author Contributions
Funding
Data Availability Statement
Conflicts of Interest
References
- Ghaemi, N.; Nikoobin, A.; Ashory, M.R. A Comprehensive Categorization of Micro/Nanomechanical Resonators and Their Practical Applications from an Engineering Perspective: A Review. Adv. Electron. Mater. 2022, 8, 2200229. [Google Scholar] [CrossRef]
- Hajjaj, A.Z.; Hafiz, M.A.; Younis, M.I. Mode Coupling and Nonlinear Resonances of MEMS Arch Resonators for Bandpass Filters. Sci. Rep. 2017, 7, 41820. [Google Scholar] [CrossRef] [PubMed]
- Hajjaj, A.Z.; Alfosail, F.K.; Younis, M.I. Two-to-One Internal Resonance of MEMS Arch Resonators. Int. J. Non-Linear Mech. 2018, 107, 64–72. [Google Scholar] [CrossRef]
- Hajjaj, A.Z.; Alcheikh, N.; Younis, M.I. The Static and Dynamic Behavior of MEMS Arch Resonators near Veering and the Impact of Initial Shapes. Int. J. Non-Linear Mech. 2017, 95, 277–286. [Google Scholar] [CrossRef]
- Tusset, A.M.; Balthazar, J.M.; Bassinello, D.G.; Pontes, B.R.; Felix, J.L.P. Statements on Chaos Control Designs, Including a Fractional Order Dynamical System, Applied to a “MEMS” Comb-Drive Actuator. Nonlinear Dyn. 2012, 69, 1837–1857. [Google Scholar] [CrossRef]
- Luo, S.; Li, S.; Tajaddodianfar, F.; Hu, J. Observer-Based Adaptive Stabilization of the Fractional-Order Chaotic MEMS Resonator. Nonlinear Dyn. 2018, 92, 1079–1089. [Google Scholar] [CrossRef]
- Jahanshahi, H.; Yousefpour, A.; Munoz-Pacheco, J.M.; Moroz, I.; Wei, Z.; Castillo, O. A New Multi-Stable Fractional-Order Four-Dimensional System with Self-Excited and Hidden Chaotic Attractors: Dynamic Analysis and Adaptive Synchronization Using a Novel Fuzzy Adaptive Sliding Mode Control Method. Appl. Soft Comput. 2020, 87, 105943. [Google Scholar] [CrossRef]
- Han, J.; Zhang, Q.; Wang, W.; Jin, G.; Qi, H.; Li, Q. Chaos Suppression of an Electrically Actuated Microresonator Based on Fractional-Order Nonsingular Fast Terminal Sliding Mode Control. Math. Probl. Eng. 2017, 2017, 6564316. [Google Scholar] [CrossRef]
- Goodarzi, M. Fractional Order Control of Micro Electro-Mechanical Systems. J. Mod. Process. Manuf. Prod. 2016, 5, 55–67. [Google Scholar]
- Rahmani, M.; Rahman, M.H. A New Adaptive Fractional Sliding Mode Control of a MEMS Gyroscope. Microsyst. Technol. 2019, 25, 3409–3416. [Google Scholar] [CrossRef]
- Lopes, A.M.; Tenreiro Machado, J.A.; Galhano, A.M. Towards Fractional Sensors. J. Vib. Control. 2019, 25, 52–60. [Google Scholar] [CrossRef]
- Vitanov, I.; Aouf, N. Fault Diagnosis for MEMS INS Using Unscented Kalman Filter Enhanced by Gaussian Process Adaptation. In Proceedings of the 2014 NASA/ESA Conference on Adaptive Hardware and Systems (AHS), Leicester, UK, 14–17 July 2014; IEEE: Piscataway, NJ, USA, 2014; pp. 120–126. [Google Scholar]
- Saif, M.; Ebrahimi, B.; Vali, M. A Second Order Sliding Mode Strategy for Fault Detection and Fault-Tolerant-Control of a MEMS Optical Switch. Mechatronics 2012, 22, 696–705. [Google Scholar] [CrossRef]
- Gao, T.; Sheng, W.; Zhou, M.; Fang, B.; Luo, F.; Li, J. Method for Fault Diagnosis of Temperature-Related MEMS Inertial Sensors by Combining Hilbert–Huang Transform and Deep Learning. Sensors 2020, 20, 5633. [Google Scholar] [CrossRef] [PubMed]
- Wang, D.; Ha, M.; Zhao, M. The Intelligent Critic Framework for Advanced Optimal Control. Artif. Intell. Rev. 2022, 55, 1–22. [Google Scholar] [CrossRef]
- Jahanshahi, H.; Sari, N.N.; Pham, V.-T.; Alsaadi, F.E.; Hayat, T. Optimal Adaptive Higher Order Controllers Subject to Sliding Modes for a Carrier System. Int. J. Adv. Robot. Syst. 2018, 15, 1729881418782097. [Google Scholar] [CrossRef]
- Alsaade, F.W.; Jahanshahi, H.; Yao, Q.; Al-zahrani, M.S.; Alzahrani, A.S. A New Neural Network-Based Optimal Mixed H2/H∞ Control for a Modified Unmanned Aerial Vehicle Subject to Control Input Constraints. Adv. Space Res. 2022, 71, 3631–3643. [Google Scholar] [CrossRef]
- Jahanshahi, H. Smooth Control of HIV/AIDS Infection Using a Robust Adaptive Scheme with Decoupled Sliding Mode Supervision. Eur. Phys. J. Spec. Top. 2018, 227, 707–718. [Google Scholar] [CrossRef]
- Jahanshahi, H.; Shahriari-Kahkeshi, M.; Alcaraz, R.; Wang, X.; Singh, V.P.; Pham, V.-T. Entropy Analysis and Neural Network-Based Adaptive Control of a Non-Equilibrium Four-Dimensional Chaotic System with Hidden Attractors. Entropy 2019, 21, 156. [Google Scholar] [CrossRef]
- Yao, Q.; Jahanshahi, H.; Moroz, I.; Alotaibi, N.D.; Bekiros, S. Neural Adaptive Fixed-Time Attitude Stabilization and Vibration Suppression of Flexible Spacecraft. Mathematics 2022, 10, 1667. [Google Scholar] [CrossRef]
- Kavikumar, R.; Sakthivel, R.; Kwon, O.-M.; Selvaraj, P. Robust Tracking Control Design for Fractional-Order Interval Type-2 Fuzzy Systems. Nonlinear Dyn. 2022, 107, 3611–3628. [Google Scholar] [CrossRef]
- Jahanshahi, H.; Yousefpour, A.; Soradi-Zeid, S.; Castillo, O. A Review on Design and Implementation of Type-2 Fuzzy Controllers. Math. Methods Appl. Sci. 2022, 1, 1–22. [Google Scholar] [CrossRef]
- Kosari, A.; Jahanshahi, H.; Razavi, S.A. An Optimal Fuzzy PID Control Approach for Docking Maneuver of Two Spacecraft: Orientational Motion. Eng. Sci. Technol. Int. J. 2017, 20, 293–309. [Google Scholar] [CrossRef]
- Jahanshahi, H.; Zambrano-Serrano, E.; Bekiros, S.; Wei, Z.; Volos, C.; Castillo, O.; Aly, A.A. On the Dynamical Investigation and Synchronization of Variable-Order Fractional Neural Networks: The Hopfield-like Neural Network Model. Eur. Phys. J. Spec. Top. 2022, 231, 1757–1769. [Google Scholar] [CrossRef]
- Din, A.F.U.; Mir, I.; Gul, F.; Al Nasar, M.R.; Abualigah, L. Reinforced Learning-Based Robust Control Design for Unmanned Aerial Vehicle. Arab. J. Sci. Eng. 2023, 48, 1221–1236. [Google Scholar] [CrossRef]
- Jahanshahi, H.; Yao, Q.; Khan, M.I.; Moroz, I. Unified Neural Output-Constrained Control for Space Manipulator Using Tan-Type Barrier Lyapunov Function. Adv. Space Res. 2023, 71, 3712–3722. [Google Scholar] [CrossRef]
- Yao, Q.; Jahanshahi, H.; Bekiros, S.; Mihalache, S.F.; Alotaibi, N.D. Gain-Scheduled Sliding-Mode-Type Iterative Learning Control Design for Mechanical Systems. Mathematics 2022, 10, 3005. [Google Scholar] [CrossRef]
- Yao, Q.; Jahanshahi, H.; Moroz, I.; Bekiros, S.; Alassafi, M.O. Indirect Neural-Based Finite-Time Integral Sliding Mode Control for Trajectory Tracking Guidance of Mars Entry Vehicle. Adv. Space Res. 2023, 71, 3723–3733. [Google Scholar] [CrossRef]
- Kavikumar, R.; Kwon, O.-M.; Lee, S.-H.; Sakthivel, R. Input-Output Finite-Time IT2 Fuzzy Dynamic Sliding Mode Control for Fractional-Order Nonlinear Systems. Nonlinear Dyn. 2022, 108, 3745–3760. [Google Scholar] [CrossRef]
- Mohd Zaihidee, F.; Mekhilef, S.; Mubin, M. Robust Speed Control of PMSM Using Sliding Mode Control (SMC)—A Review. Energies 2019, 12, 1669. [Google Scholar] [CrossRef]
- Zhou, W.; Wang, Y.; Liang, Y. Sliding Mode Control for Networked Control Systems: A Brief Survey. ISA Trans. 2022, 124, 249–259. [Google Scholar] [CrossRef]
- Utkin, V.; Lee, H. Chattering Problem in Sliding Mode Control Systems. In Proceedings of the International Workshop on Variable Structure Systems, Alghero, Sardinia, 5–7 June 2006; IEEE: Piscataway, NJ, USA, 2006; pp. 346–350. [Google Scholar]
- Ahmad, S.; Uppal, A.A.; Azam, M.R.; Iqbal, J. Chattering Free Sliding Mode Control and State Dependent Kalman Filter Design for Underground Gasification Energy Conversion Process. Electronics 2023, 12, 876. [Google Scholar] [CrossRef]
- Wang, B.; Derbeli, M.; Barambones, O.; Yousefpour, A.; Jahanshahi, H.; Bekiros, S.; Aly, A.A.; Alharthi, M.M. Experimental Validation of Disturbance Observer-Based Adaptive Terminal Sliding Mode Control Subject to Control Input Limitations for SISO and MIMO Systems. Eur. J. Control 2022, 63, 151–163. [Google Scholar] [CrossRef]
- Feng, H.; Song, Q.; Ma, S.; Ma, W.; Yin, C.; Cao, D.; Yu, H. A New Adaptive Sliding Mode Controller Based on the RBF Neural Network for an Electro-Hydraulic Servo System. ISA Trans. 2022, 129, 472–484. [Google Scholar] [CrossRef] [PubMed]
- Shao, K.; Zheng, J.; Wang, H.; Xu, F.; Wang, X.; Liang, B. Recursive Sliding Mode Control with Adaptive Disturbance Observer for a Linear Motor Positioner. Mech. Syst. Signal Process. 2021, 146, 107014. [Google Scholar] [CrossRef]
- Yousefpour, A.; Vahidi-Moghaddam, A.; Rajaei, A.; Ayati, M. Stabilization of Nonlinear Vibrations of Carbon Nanotubes Using Observer-Based Terminal Sliding Mode Control. Trans. Inst. Meas. Control. 2020, 42, 1047–1058. [Google Scholar] [CrossRef]
- Shao, X.; Shi, Y.; Zhang, W. Input-and-Measurement Event-Triggered Output-Feedback Chattering Reduction Control for MEMS Gyroscopes. IEEE Trans. Syst. Man Cybern. Syst. 2021, 52, 5579–5590. [Google Scholar] [CrossRef]
- Zhang, R.; Xu, B.; Zhao, W. Finite-Time Prescribed Performance Control of MEMS Gyroscopes. Nonlinear Dyn. 2020, 101, 2223–2234. [Google Scholar] [CrossRef]
- Watanabe, Y.; Yahagi, T.; Abe, Y.; Murayama, H. Electromagnetic Silicon MEMS Resonator. Electr. Eng. Jpn. 2019, 206, 54–60. [Google Scholar] [CrossRef]
- Alcheikh, N.; Ouakad, H.M.; ben Mbarek, S.; Younis, M.I. Crossover/Veering in V-Shaped MEMS Resonators. J. Microelectromech. Syst. 2021, 31, 74–86. [Google Scholar] [CrossRef]
- Guo, Q.; Cao, G.Z.; Shen, I.Y. Measurements of Piezoelectric Coefficient d33 of Lead Zirconate Titanate Thin Films Using a Mini Force Hammer. J. Vib. Acoust. 2013, 135, 011003. [Google Scholar] [CrossRef]
- Muralt, P.; Polcawich, R.G.; Trolier-McKinstry, S. Piezoelectric Thin Films for Sensors, Actuators, and Energy Harvesting. MRS Bull. 2009, 34, 658–664. [Google Scholar] [CrossRef]
- Tajaddodianfar, F.; Pishkenari, H.N.; Yazdi, M.R.H.; Miandoab, E.M. Size-Dependent Bistability of an Electrostatically Actuated Arch NEMS Based on Strain Gradient Theory. J. Phys. D Appl. Phys. 2015, 48, 245503. [Google Scholar] [CrossRef]
- Tajaddodianfar, F.; Hairi Yazdi, M.R.; Pishkenari, H.N. On the Chaotic Vibrations of Electrostatically Actuated Arch Micro/Nano Resonators: A Parametric Study. Int. J. Bifurc. Chaos 2015, 25, 1550106. [Google Scholar] [CrossRef]
- Luo, S.; Li, S.; Tajaddodianfar, F. Adaptive Chaos Control of the Fractional-Order Arch MEMS Resonator. Nonlinear Dyn. 2018, 91, 539–547. [Google Scholar] [CrossRef]
- Yousefpour, A.; Yasami, A.; Beigi, A.; Liu, J. On the Development of an Intelligent Controller for Neural Networks: A Type 2 Fuzzy and Chatter-Free Approach for Variable-Order Fractional Cases. Eur. Phys. J. Spec. Top. 2022, 231, 2045–2057. [Google Scholar] [CrossRef]
- Yousefpour, A.; Jahanshahi, H.; Munoz-Pacheco, J.M.; Bekiros, S.; Wei, Z. A Fractional-Order Hyper-Chaotic Economic System with Transient Chaos. Chaos Solitons Fractals 2020, 130, 109400. [Google Scholar] [CrossRef]
- Almeida, R. A Caputo Fractional Derivative of a Function with Respect to Another Function. Commun. Nonlinear Sci. Numer. Simul. 2017, 44, 460–481. [Google Scholar] [CrossRef]
- Tajaddodianfar, F.; Pishkenari, H.N.; Yazdi, M.R.H. Prediction of Chaos in Electrostatically Actuated Arch Micro-Nano Resonators: Analytical Approach. Commun. Nonlinear Sci. Numer. Simul. 2016, 30, 182–195. [Google Scholar] [CrossRef]
- Wei, Z.; Li, Y.; Moroz, I.; Zhang, W. Melnikov-Type Method for a Class of Planar Hybrid Piecewise-Smooth Systems with Impulsive Effect and Noise Excitation: Heteroclinic Orbits. Chaos Interdiscip. J. Nonlinear Sci. 2022, 32, 103127. [Google Scholar] [CrossRef]
- Wang, F.; Wei, Z.; Zhang, W.; Moroz, I. Coexistence of Three Heteroclinic Cycles and Chaos Analyses for a Class of 3D Piecewise Affine Systems. Chaos Interdiscip. J. Nonlinear Sci. 2023, 33, 023108. [Google Scholar] [CrossRef]
- Wei, Z.; Moroz, I.; Sprott, J.C.; Wang, Z.; Zhang, W. Detecting Hidden Chaotic Regions and Complex Dynamics in the Self-Exciting Homopolar Disc Dynamo. Int. J. Bifurc. Chaos 2017, 27, 1730008. [Google Scholar] [CrossRef]
- Wei, Z.; Wang, F.; Li, H.; Zhang, W. Jacobi Stability Analysis and Impulsive Control of a 5D Self-Exciting Homopolar Disc Dynamo. Discret. Contin. Dyn. Syst. -B 2022, 27, 5029–5045. [Google Scholar] [CrossRef]
- Yousefpour, A.; Haji Hosseinloo, A.; Reza Hairi Yazdi, M.; Bahrami, A. Disturbance Observer–Based Terminal Sliding Mode Control for Effective Performance of a Nonlinear Vibration Energy Harvester. J. Intell. Mater. Syst. Struct. 2020, 31, 1495–1510. [Google Scholar] [CrossRef]
- Vahidi-Moghaddam, A.; Rajaei, A.; Ayati, M.; Vatankhah, R.; Hairi-Yazdi, M.R. Adaptive Prescribed-time Disturbance Observer Using Nonsingular Terminal Sliding Mode Control: Extended Kalman Filter and Particle Swarm Optimization. IET Control. Theory Appl. 2020, 14, 3301–3311. [Google Scholar] [CrossRef]
- Levant, A. Sliding Order and Sliding Accuracy in Sliding Mode Control. Int. J. Control 1993, 58, 1247–1263. [Google Scholar] [CrossRef]
- Moreno, J.A.; Osorio, M. Strict Lyapunov Functions for the Super-Twisting Algorithm. IEEE Trans. Automat. Control 2012, 57, 1035–1040. [Google Scholar] [CrossRef]










| Parameter | Denotation | Parameter | Denotation |
|---|---|---|---|
| L | Length of microbeam | A | Cross-sectional area |
| b | Width of microbeam | Vacuum permittivity | |
| Thickness of microbeam | Viscous damping coefficient | ||
| Mode shapes | Distance between relaxed beam and fixed electrode | ||
| Elevation | Independent time variable | ||
| Moment of inertia | Young’s modulus | ||
| Harmonic load frequency | Mass density | ||
| Direct voltage | Alternating voltage |
| Method | Settling Time | Maximum of Absolute Position Errors | Maximum of Absolute Velocity Errors | Average Norm of Control Inputs | Maximum of Absolute Control Inputs |
|---|---|---|---|---|---|
| Proposed technique | 2.0000 | 1.0064 | 3.2131 | 136.1742 | 73.7101 |
| SMC | 1.9800 | 1.0025 | 9.9173 | 516.7287 | 216.2281 |
Disclaimer/Publisher’s Note: The statements, opinions and data contained in all publications are solely those of the individual author(s) and contributor(s) and not of MDPI and/or the editor(s). MDPI and/or the editor(s) disclaim responsibility for any injury to people or property resulting from any ideas, methods, instructions or products referred to in the content. |
© 2023 by the authors. Licensee MDPI, Basel, Switzerland. This article is an open access article distributed under the terms and conditions of the Creative Commons Attribution (CC BY) license (https://creativecommons.org/licenses/by/4.0/).
Share and Cite
Alsaade, F.W.; Al-zahrani, M.S. A Novel Fault-Tolerant Super-Twisting Control Technique for Chaos Stabilization in Fractional-Order Arch MEMS Resonators. Mathematics 2023, 11, 2276. https://doi.org/10.3390/math11102276
Alsaade FW, Al-zahrani MS. A Novel Fault-Tolerant Super-Twisting Control Technique for Chaos Stabilization in Fractional-Order Arch MEMS Resonators. Mathematics. 2023; 11(10):2276. https://doi.org/10.3390/math11102276
Chicago/Turabian StyleAlsaade, Fawaz W., and Mohammed S. Al-zahrani. 2023. "A Novel Fault-Tolerant Super-Twisting Control Technique for Chaos Stabilization in Fractional-Order Arch MEMS Resonators" Mathematics 11, no. 10: 2276. https://doi.org/10.3390/math11102276
APA StyleAlsaade, F. W., & Al-zahrani, M. S. (2023). A Novel Fault-Tolerant Super-Twisting Control Technique for Chaos Stabilization in Fractional-Order Arch MEMS Resonators. Mathematics, 11(10), 2276. https://doi.org/10.3390/math11102276

