Next Article in Journal
On Fuzzy C-Paracompact Topological Spaces
Next Article in Special Issue
Symmetric Diffeomorphic Image Registration with Multi-Label Segmentation Masks
Previous Article in Journal
Algebraic Perspective of Cubic Multi-Polar Structures on BCK/BCI-Algebras
 
 
Font Type:
Arial Georgia Verdana
Font Size:
Aa Aa Aa
Line Spacing:
Column Width:
Background:
Article

Robust Fault-Tolerant Control for Stochastic Port-Hamiltonian Systems against Actuator Faults

1
School of Mathematics and Statistics, Ningbo University, No. 818 Fenghua Road, Ningbo 315211, China
2
Department of Mathematics and Statistics, York University, Toronto, ON M3J 1P3, Canada
*
Author to whom correspondence should be addressed.
Mathematics 2022, 10(9), 1477; https://doi.org/10.3390/math10091477
Submission received: 31 March 2022 / Revised: 24 April 2022 / Accepted: 27 April 2022 / Published: 28 April 2022
(This article belongs to the Special Issue Mathematical Modeling and Numerical Simulation in Engineering)

Abstract

:
Exploiting the stochastic Hamiltonian structure, this paper investigates the robust fault-tolerant control (FTC) for stochastic port-Hamiltonian systems (SPHSs) with actuator faults. First, an energy-based robust FT controller is developed for SPHSs against the loss of actuator effectiveness. Then, an alternative condition, as well as its corresponding controller are given to extend the application of the proposed controller. Unlike the existing FT controllers, they are continuous, and there is no need to solve the Lyapunov function and Hamilton–Jacobi–Isaacs (HJI) inequalities associated with the nominal systems. Finally, an energy-based robust adaptive FT controller is presented for the faulty SPHSs to deal with parameter perturbations, and an alternative condition with its corresponding controller is also given. Both the adaptive controllers preserve the main stochastic Hamiltonian structure of the faulty systems. Compared to the existing adaptive controller, simulations on synchronous generators show the effectiveness of the proposed methods.

1. Introduction

Port-Hamiltonian systems proposed by Maschke et al. [1,2] are not only important by themselves, but also provide an important tool for controller design and stability analyses for nonlinear control systems. Their elegant mathematical representation, clear physical structure, and interconnections make them well suited for the modeling of practical systems. Most importantly, the Hamiltonian function of a port-Hamiltonian system defines the total system energy and can be applied to construct a Lyapunov function. Due to these properties, the energy-based port-Hamiltonian framework has natural advantages in nonlinear control problems [3,4,5,6,7,8,9].
Stochastic disturbances such as measurement errors, modeling inaccuracies, environment noises, and so on, are unavoidable. These may cause instability and performance degradations of a controlled system. Taking these stochastic phenomena into account in deterministic port-Hamiltonian systems drives the development of stochastic port-Hamiltonian systems (SPHSs). They make a good formulation about the process disturbances imposed on the systems by utilizing the It o ^ form and have drawn more recent attention [10,11,12,13,14]. Satoh and Fujimoto [10] proposed a passivity-based controller for stabilizing SPHSs in probability by coordinate transformations, which can preserve the stochastic port-Hamiltonian structure of the closed-loop system. To consider the influence of stochastic disturbances of the input and the process, Fang and Gao [11] extended SPHSs to input-disturbed SPHSs and constructed a passivity-based basic framework for the systems. Haddad et al. [12] provided an energy-based controller and a shaped energy function for SPHSs. Liu et al. [13] proposed a robust H control law based on the dissipation of SPHSs.
The control methods mentioned above for SPHSs are proposed on the premise that the actuators work normally. However, actuator faults are common in performance-critical systems due to the irregular processes or material aging, and if not handled well, they may lead to undesired system behavior, instability, or even catastrophic accidents. Consequently, fault-tolerant control (FTC), which aims to achieve the desired stability and performance for faulty systems, has received increasing attention. Generally speaking, the available FTC methods can be divided into passive and active FTC. One can refer to [15,16] and the references therein for more information. The active FTC reacts to the faults by reconfiguring the controller with the online information provided by the fault detection and diagnosis (FDD) block, while the passive FTC deals with all the expected or presumed faults by using a unique controller, and it has neither an FDD block nor online control reconfiguration subsystems. Compared to the active FTC, the passive FTC has the drawback of being usable only for all the expected or presumed faults. However, as depicted in [16], it can avoid the time delay caused by the fault detection and controller reconfiguration. This paper considers passive FTC against actuator faults.
More attention has been paid to passive FTC approaches for deterministic nonlinear systems against the loss of actuator effectiveness, such as passivity-based control [17,18,19], sliding mode control [20,21], backstepping control [22,23,24], integral observers [25], etc. Benosman et al. [16,26] proposed a Lyapunov-based actuator FT controller for nonlinear systems, which ensures the locally uniformly asymptotic stability of the closed-loop systems, but as stated by the authors, it has two limitations to some extent. First, it strongly depends on the availability of an explicit Lyapunov function of the safe systems. Second, it is discontinuous because it involves a sign function and may cause the chattering phenomena in the control effort. It should be stressed that these results have no discussion on how to deal with stochastic disturbances.
Motivated by these considerations, this paper investigates the robust FTC for SPHSs subject to the loss of actuator effectiveness by utilizing the stochastic Hamiltonian structure. The major contributions of the paper are summarized below:
(1) An energy-based robust FT controller is developed for the faulty SPHSs against the loss of actuator effectiveness. Unlike the FT controller given in [26], it is continuous and does not lead to the chattering phenomenon caused by the discontinuity. Moreover, the FTC method avoids solving the Lyapunov function and Hamilton–Jacobi–Isaacs (HJI) inequalities associated with the nominal systems. Besides, an alternative condition is given to extend the application of the proposed controller.
(2) An energy-based robust adaptive FT controller is proposed for the faulty SPHSs to deal with parameter perturbations, as well as an alternative condition. Although involving a sign function, it preserves the main stochastic Hamiltonian structure and makes full use of the dissipation property of the systems. Hence, there is no need to solve the Lyapunov function and HJI inequalities either.
These results solve the robust FTC of deterministic port-Hamiltonian systems with actuator faults and the robust stabilization of safe fault-free SPHSs as special cases. An example of synchronous generators with steam valve control illustrates the effectiveness of the proposed methods.
The rest of this paper is organized as follows. Section 2 reviews some required preliminaries and formulates the FTC problem for SPHSs. Section 3 and Section 4 give the main contributions of this paper, namely an energy-based robust FT controller and an energy-based robust adaptive one. Section 5 presents an example and simulations. Conclusions are discussed in Section 6.
Notation:  I m is the m   ×   m identity matrix, | | x | |   =   x T x , | | x | | 1   =   i   =   1 n | x i | for x   =   ( x 1 , x 2 , , x n ) R n , and A m i n   =   min i { 1 , 2 , , n } j   =   1 n | a i j | for A   =   ( a i j ) R n   ×   n .

2. Problem Formulation and Preliminaries

SPHSs were introduced in [10], and their autonomous input-state–output representation was given by the It o ^ form:
d x   =   J ( x )     R ( x ) H ( x ) x   +   g ( x ) u d t   +   g w ( x ) d w , y   =   g T ( x ) H ( x ) x ,
where x ( t ) R n , u ( t ) , and y ( t ) R m are the state, the control input, and the output, respectively, J ( x )   =   J T ( x ) R n   ×   n , 0     R ( x )   =   R T ( x ) R n   ×   n , w ( t ) is an r-dimensional independent standard Wiener process defined on a complete probability space ( Ω , F , F t t     0 , P ) , H ( x ) is twice differentiable with H ( 0 )   =   0 , g ( x ) R n   ×   m and g w ( x ) R n   ×   r are Borel measurable, g ( x ) has full column rank, and g w ( 0 )   =   0 .
Here, we assume that the functions J ( x )     R ( x ) H ( x ) x   +   g ( x ) u and g w ( x ) satisfy the Lipschitz condition with respect to x, and the input u ( t ) is a measurable function and satisfies E ( 0 t | | u ( s ) | | 2 d s )   <   for all t   >   0 ; E ( · ) means the expectation under the measure P . Under these conditions, there exists a pathwise unique solution to the system (1) for all x ( 0 )   =   x 0 R n .
In this paper, we consider the SPHS (1) subject to the loss of actuator effectiveness and external disturbances of the form
d x   =   J ( x )     R ( x ) H ( x ) x   +   g ( x ) α u   +   g v ( x ) v d t   +   g w ( x ) d w , y   =   g v T ( x ) H ( x ) x , z   =   r ( x ) g T ( x ) H ( x ) x ,
where α ( t )   =   Diag { α 11 ( t ) , α 22 ( t ) , , α m m ( t ) } is a continuous matrix function with 0   <   ϵ     α i i ( t )     1 , i   =   1 , 2 , , m , v ( t ) R l is a stochastic exogenous disturbance signal with E ( 0 t | | v ( s ) | | 2 d s )   <   for all t   >   0 , g v ( x ) R n   ×   l , z ( t ) R r is a penalty signal, and r ( x ) R r   ×   m has full column rank.
Remark 1.
The loss of actuator effectiveness is represented by a multiplicative matrix α ( t ) . The diagonal element 0   <   α i i ( t )   <   1 means that the ith actuator loses its effectiveness partially.
The robust FTC problem for the faulty SPHS (2) is to design a feedback FT controller
u ( t )   =   β ( x ( t ) )
such that for all α ( t ) R m   ×   m , the equilibrium x e   =   0 to the system is locally asymptotically stable in probability when v ( t ) 0 , and meanwhile, the L 2 gain of the corresponding closed-loop system from v ( t ) to z ( t ) is bounded by a given disturbance attenuation level γ for x ( 0 )   =   0 , i.e., [27], for all T   >   0 ,
E 0 T | | z ( t ) | | 2 d t     E γ 2 0 T | | v ( t ) | | 2 d t , v ( t ) L 2 [ 0 , T ] .
Definition 1
([28]). Consider the following stochastic system:
d x   =   f ( x ) d t   +   g w ( x ) d w , y   =   h ( x ) ,
where x ( t ) R n , y ( t ) R m , w ( t ) R r , f ( x ) R n , g w ( x ) R n   ×   r , and h ( x ) R l are sufficiently differentiable with f ( 0 )   =   0 , g w ( 0 )   =   0 and h ( 0 )   =   0 . Let V ( x ) be twice differentiable, then the infinitesimal generator of x ( t ) , t     0 , is defined as
L V ( x )   =   T V ( x ) x f ( x )   +   1 2 t r g w T ( x ) 2 V ( x ) x 2 g w ( x ) ,
where tr { · } represents the trace of the argument.
Remark 2.
From a stochastic version of LaSalle’s theorem [29], the equilibrium solution x e   =   0 is asymptotically stable in probability if L V ( x )     0 and { x D | L V ( x )   =   0 }   =   { 0 } .
Definition 2
([30]). The system (4) is called zero-state detectable if for all x ( 0 )   =   x 0 R n , h x ( t ) = a.s. 0 , t     0 , implies P { lim t x ( t )   =   0 , x ( 0 )   =   x 0 }   =   1 . It is called zero-state observable if for all x 0 R n , h x ( t ) 0 implies x 0 0 .
Remark 3.
Assume that z ( t )   =   h ¯ ( x ( t ) ) is chosen as a penalty signal for the system (4), where h ¯ ( x ) R r is a sufficiently differentiable function with h ¯ ( 0 )   =   0 . The system (4) is zero-state detectable if for all x ( 0 )   =   x 0 R n , h x ( t ) = a.s. 0 and h ¯ ( x ( t ) ) = a.s. 0 , t     0 , implies P { lim t x ( t )   =   0 , x ( 0 )   =   x 0 }   =   1 . The system (4) is zero-state observable if for all x 0 R n , h ( x ( t ) ) 0 and h ¯ ( x ( t ) ) 0 , t     0 implies x 0 0 .
Lemma 1.
For any given x, y R n and diagonal matrix 0   <   A R n   ×   n , the following inequalities hold:
x T y     x 1   ·   y ; x 1   ·   A m i n     x T A sgn ( x ) ,
where sgn ( x )   =   [ sgn ( x 1 ) , sgn ( x 2 ) , , sgn ( x n ) ] T is a sign function.
The proof of Lemma 1 is straightforward according to the notations given in Section 1.

3. Energy-Based Robust FTC for SPHSs

This section proposes an energy-based robust FT controller for SPHSs against the loss of actuator effectiveness.
To this end, we first give a common assumption for the faulty SPHS (2) [10,11,12,13]:
λ ( x )   =   T H x R H x     1 2 t r g w T 2 H x 2 g w     0 .
Theorem 1.
Assume that the inequality (6) holds and when u ( t ) 0 , the faulty SPHS (2) is zero-state detectable. If the inequality:
μ ( x )   =   g K ( x ) g T   +   1 2 γ 2 g g T     g v g v T     0
holds, where 0   <   K ( x ) R m   ×   m is the feedback gain matrix, then the control law:
u   =   1 ϵ K ¯ ( x ) g T H x
solves the robust FTC problem of the system (2), where K ¯ ( x )   =   K ( x )   +   1 2 r T ( x ) r ( x )   +   1 2 γ 2 I m .
Proof. 
Along the trajectories of the system (2) under the controller (8), we obtain
L H ( x )     1 2 γ 2 | | v | | 2     | | z | | 2 = λ ( x )     1 ϵ T H x g α K ¯ g T H x   +   T H x g v v     1 2 γ 2 | | v | | 2     | | z | | 2 =   λ ( x )     T H x μ ( x ) H x     T H x g ( α ϵ     I m ) K g T H x     1 2 | | γ v     1 γ g v T H x | | 2 1 2 γ 2 T H x g ( α ϵ     I m ) g T H x     1 2 T H x g ( α ϵ     I m ) r T r g T H x .
Since 0   <   ϵ   <   α i i ( t )     1 , δ = α m i n ϵ     1     0 . Associated with λ ( x )     0 and μ ( x )     0 , the Equation (9) yields
L H ( x )     1 2 γ 2 | | v | | 2     | | z | | 2 δ T H x g K   +   1 2 γ 2 I m g T H x     1 2 | | γ v     1 γ g v T H x | | 2     δ 2 | | z | | 2 1 2 | | γ v 1 γ g v T H x | | 2     δ 2 | | z | | 2 0 ,
which implies
L H ( x )     1 2 γ 2 | | v | | 2     | | z | | 2 .
The It o ^ formulas give
E H ( x ( T ) )     E H ( 0 )     E 0 T 1 2 γ 2 | | v ( t ) | | 2     | | z ( t ) | | 2 d t ,
which means the inequality (3) holds, i.e., the L 2 gain of the system (2) from v ( t ) to z ( t ) is no more than γ .
Setting v ( t ) 0 in (10), we obtain
L H ( x ) 1 2 γ 2 | | g v T H x | | 2     α m i n 2 ϵ | | z | | 2 .
Hence the closed-loop system converges in probability to the largest invariant set contained in
S   =   { x : L H ( x )   =   0 }   =   { x : y   =   g v T H x , z   =   0 } .
With y ( t )   =   0 and z ( t )   =   0 , the zero-state detectability of the system concludes
P { lim t x ( t )   =   0 , x ( 0 )   =   x 0 }   =   1 .
Therefore, the closed-loop system is locally asymptotically stable in probability at x e   =   0 . □
Remark 4.
Theorem 1 presents an energy-based robust FT controller for SPHSs against actuator faults and external disturbances. If the function H ( x ) is radially unbounded, the controller (8) solves the global robust FTC of SPHSs, that is it achieves the robustness against external disturbances while maintaining the globally asymptotical stability in probability.
Remark 5.
Different from the discontinuous FT controllers given in [26], the controller (8) is continuous and does not lead to the chattering phenomenon caused by the discontinuity. Besides, the proposed FTC method avoids solving the Lyapunov function of the nominal system because the Hamiltonian function H ( x ) serves as a Lyapunov function. Moreover, there is no need to solve HJI inequalities, a typical and relatively difficult process for nonlinear robust control design [31].
Remark 6.
Theorem 1 covers the robust FTC of deterministic port-Hamiltonian systems with actuator faults and the robust stabilization of fault-free SPHSs as specials. If the actuator works normally, i.e., ϵ   =   1 , the controller (8) reduces to a robust stabilization controller for the SPHS (1) described by
u   =   K ¯ ( x ) g T H x ,
which is similar to the one given in [13]. If there is no noise in the system, i.e., g w ( x ) 0 , it solves the robust FTC of deterministic port-Hamiltonian systems against the loss of actuator effectiveness.
Next, we give an alternative condition for the inequality (7). To this end, we should slightly modify the inequality (6) as
λ ¯ ( x )   =   T H x R H x     t r g w T 2 H x 2 g w     0 .
Theorem 2.
Assume that the inequality (15) holds, and when u 0 , the faulty SPHS (2) is zero-state detectable. If the inequality:
μ ¯ ( x )   =   R ( x ) + 1 γ 2 g g T     g v g v T     0
holds, then the control law:
u   =   1 2 ϵ r T r   +   1 γ 2 I m g T H x
solves the robust FTC problem of the system (2).
Proof. 
Along the trajectories of the system (2) under the controller (17), we obtain
L H ( x )     1 2 γ 2 | | v | | 2     | | z | | 2 = 1 2 λ ¯ ( x )     1 2 ϵ T H x g α r T r   +   I m g T H x   +   T H x g v v     1 2 γ 2 | | v | | 2     | | z | | 2 = 1 2 λ ¯ ( x )     1 2 T H x μ ¯ H x     1 2 T H x g α ϵ     I m r T r g T H x 1 2 γ 2 T H x g α ϵ     I m g T H x     1 2 | | γ v     1 γ g v T H x | | 2 .
Note that δ = α m i n ϵ     1     0 , λ ( x )     0 and μ ¯ ( x )     0 , then
L H ( x )     1 2 γ 2 | | v | | 2     | | z | | 2 δ 2 γ 2 g T H x 2 1 2 | | γ v 1 γ g v T H x | | 2 δ 2 | | z | | 2 1 2 | | γ v 1 γ g v T H x | | 2 δ 2 | | z | | 2 0 .
The rest of the proof is similar to that of Theorem 1. □
Remark 7.
If the inequality (16) in Theorem 2 is substituted by
μ ¯ * ( x ) = g K ( x ) g T   +   1 2 μ ( x )     0 ,
then the controller (8) solves the robust FTC of the system (2).
Remark 8.
If ϵ   =   1 , the controller (17) results in a robust stabilization controller for the fault-free SPHS (1) of the form
u   =   1 2 r T r + 1 γ 2 I m g T H x .
If g w ( x ) 0 , it solves the robust FTC of deterministic port-Hamiltonian systems against the loss of actuator effectiveness.

4. Energy-Based Robust Adaptive FTC for SPHSs

This section develops an energy-based robust adaptive FT controller for SPHSs against the loss of actuator effectiveness. Here, adaptive control is applied to deal with uncertain parameters.
Assume the structure of the system (2) involves parameter perturbations represented by a constant unknown vector p R s . Then, the corresponding faulty system can be described as
d x = J ( x , p )     R ( x , p ) H ( x , p ) x + g ( x ) α u d t + g v ( x ) v d t + g w ( x ) d w , y   =   g v T ( x ) H ( x ) x , z = r ( x ) g T ( x ) H ( x ) x ,
where J ( x , p )   =   J T ( x , p ) with J ( x , 0 )   =   J ( x ) , 0     R ( x , p )   =   R T ( x , p ) with R ( x , 0 )   =   R ( x ) , and H ( x , 0 )   =   H ( x ) . The other variables are the same as those in the system (2).
Here, we assume there exists Φ ( x ) R n 1   ×   m satisfying
J ( x , p ) R ( x , p ) Δ H ( x , p ) = g ( x ) Φ T ( x ) θ ,
where θ R n 1 and Δ H ( x , p ) = H x ( x , p ) H x ( x ) . The Equation (23) is called a matched condition, a common assumption in the adaptive control of port-Hamiltonian systems [7]. Additionally, we assume the following inequality holds:
λ ( x , p ) = T H x R ( x , p ) H x 1 2 t r g w T 2 H x 2 g w 0 .
On the basis of the controller (8), we design a robust adaptive controller for the faulty SPHS (22) as follows:
θ ^ ˙ = Q Φ g T H x + Q ( θ θ ^ ) , u = 1 ϵ K ¯ g T H x 1 ϵ Φ T θ ^ sgn g T H x ,
where θ ^ R n 1 is the estimate of θ , 0 < Q R n 1 × n 1 and K ¯ ( x ) is given in (8).
Let X = [ x T , θ ^ T ] T and H ¯ ( X ) = H ( x ) + 1 2 ( θ θ ^ ) T Q 1 ( θ θ ^ ) . Substituting the controller (25) into the system (22) yields
d X = J ¯ ( X ) R ¯ ( X ) H ¯ ( X ) X + S ( X ) d t + G v ( X ) v d t + G w ( X ) d w , y = G ¯ v T ( X ) H ¯ ( X ) X , z = G ¯ T ( X ) H ¯ ( X ) X ,
where
R ¯ ( X ) = R ( x , p ) + 1 ϵ g K ¯ g T 0 0 Q 2 , J ¯ ( X ) = J ( x , p ) Q Φ g T T Q Φ g T 0 , S ( X ) = g ( x ) Φ T θ ^ 1 ϵ g α Φ T θ ^ sgn g T H x 0 , G v ( X ) = g v 0 , G w ( X ) = g w 0 , G ¯ v ( X ) = g v 0 , G ¯ ( X ) = r g T T 0 .
Remark 9.
The system (26) is not a strict SPHS because it has an additional term S ( X ) d t . However, it preserves the main stochastic Hamiltonian structure, which is important for stability studies and controller design.
Theorem 3.
Assume the faulty SPHS (22) is zero-state detectable when u ( t ) 0 . If the inequalities (7) and (24) hold, then the controller (25) solves the robust adaptive FTC problem of the system (22).
Proof. 
Along the trajectories of the system (26), we obtain:
L H ¯ ( X ) 1 2 γ 2 | | v | | 2 | | z | | 2 = λ ( x , p ) 1 ϵ T H x Φ T θ ^ sgn g T H x 1 ϵ T H x g α K ¯ g T H x + T H x g Φ T θ ^ + T H x g v v θ θ ^ 2 1 2 γ 2 v 2 z 2 = λ ( x , p ) T H x μ ( x ) H x T H x g α ϵ I m K g T H x 1 2 γ 2 T H x g α ϵ I m g T H x 1 2 | | γ v 1 γ g v T H x | | 2 1 2 T H x g ( α ϵ I m ) r T r g T H x + T H x g Φ T θ ^ 1 ϵ Φ T θ ^ T H x g α sgn g T H x θ θ ^ 2 .
From Lemma 1, it follows that
T H x g Φ T θ ^ g T H ( x ) x 1 · Φ T θ ^ ,
and
α m i n · g T H x 1 T H x g α sgn g T H x .
Then, together with δ = α m i n ϵ 1 0 , λ ( x , p ) 0 and μ ( x ) 0 , the inequality (27) gives
L H ¯ ( X ) 1 2 γ 2 | | v | | 2 | | z | | 2 δ T H x g K + 1 2 γ 2 I m g T H x 1 2 γ v 1 γ g v T H x 2 δ g T H x 1 · Φ T θ ^ θ θ ^ 2 δ 2 | | z | | 2 1 2 γ v 1 γ g v T ( x ) H x 2 θ θ ^ 2 δ 2 | | z | | 2 0 ,
which implies the L 2 gain of the system (26) from v ( t ) to z ( t ) is no more than γ .
Choosing H ¯ ( X ) as a Lyapunov function and setting v ( t ) 0 in (28), we obtain
L H ¯ ( X ) 1 2 γ 2 g v T H x 2 θ θ ^ 2 α m i n 2 ϵ | | z | | 2 .
Hence, the closed-loop system converges in probability to the following set
S = { X : L H ¯ ( X ) = 0 } = { [ x T , θ ^ T ] T : y = g v T H x , z = 0 , θ ^ = θ } .
Therefore, the closed-loop system is locally asymptotically stable in probability at X = [ 0 T , θ T ] T . □
Remark 10.
Theorem 3 develops an energy-based robust adaptive FT controller for SPHSs against actuator faults, external disturbances, and parameter perturbations. Exploiting the dissipation structure of SPHSs, the proposed adaptive FTC method also avoids solving the Lyapunov function of the nominal system and HJI inequalities.
Remark 11.
It should be pointed out that the controller (25) is discontinuous because it involves a sign function. We can follow the approach presented in [26] and approximate the discontinuous function sgn ( x ) by a continuous function sat ( x ) to eliminate the chattering effect that may be caused by the discontinuity, where sat ( x ) = [ sat ( x 1 ) , sat ( x 2 ) , , sat ( x n ) ] T with
sat ( x i ) = 1 s x i , | x i | s , sgn ( x i ) , | x i | > s ,
for s > 0 and i = 1 , 2 , , n . Then, under the following controller:
θ ^ ˙ = Q Φ g T H x + Q ( θ θ ^ ) , u = 1 ϵ K ¯ g T H x 1 ϵ Φ T θ ^ sat g T H x ,
the closed-loop trajectories are bounded by a class K function, and the bound is achieved as small as required by choosing a small s. The proof is similar to [26] and omitted.
Remark 12.
If ϵ = 1 , the controller (25) yields the following robust adaptive stabilization controller for the fault-free SPHSs:
θ ^ ˙ = Q Φ g 1 T H x + Q ( θ θ ^ ) , u = K ¯ g T H x Φ T θ ^ s g n g T H x .
If g w ( x ) 0 , it solves the robust adaptive FTC of deterministic port-Hamiltonian systems with actuator faults.
Similar to Theorem 2, we now give an alternative condition for the inequality (7). The inequality (24) should be modified as
λ ¯ ( x , p ) = T H x R ( x , p ) H x t r g w T 2 H x 2 g w 0 .
Theorem 4.
Assume the inequality (32) holds and the faulty SPHS (22) is zero-state detectable when u 0 . If the inequality:
μ ¯ ( x , p ) = R ( x , p ) + 1 γ 2 g g T g v g v T 0
holds, then the control law:
θ ^ ˙ = Q Φ g 1 T H x + Q ( θ θ ^ ) , u = 1 2 ϵ r T r + 1 γ 2 I m g T H x Φ T θ ^ sgn ( g T H x ) ,
solves the robust adaptive FTC problem of the system (22).
The proof is similar to Theorem 2 and omitted.
Remark 13.
If the inequality (33) in Theorem 4 is substituted by
μ ¯ * ( x , p ) = g K ( x ) g T + 1 2 μ ¯ ( x , p ) 0 ,
then the controller (25) solves the robust FTC of the system (22).
Remark 14.
Similarly, the closed-loop trajectories can be bounded by a class K function under the continuous controller:
θ ^ ˙ = Q Φ g 1 T H x + Q ( θ θ ^ ) , u = 1 2 ϵ r T r + 1 γ 2 I m g T H x Φ T θ ^ sat ( g T H x ) .
Remark 15.
If ϵ = 1 in the controller (34), we obtain a robust adaptive stabilization controller for the fault-free SPHSs of the form
θ ^ ˙ = Q Φ g 1 T g T H x + Q θ θ ^ , u = 1 2 r T r + I m g T H x Φ T θ ^ sgn g T H x .
If g w ( x ) 0 , the controller (34) solves the robust adaptive FTC of deterministic port-Hamiltonian systems with actuator faults.

5. Simulations

This section exhibits the proposed stochastic FT controllers to a model of synchronous generators with steam valve control. The model is described by [32]:
δ ˙ = ω ω 0 , ω ˙ = D M ( ω ω 0 ) + ω 0 M P m ω 0 E q V s M x d sin δ + v 1 , E ˙ q = 1 T d E q + 1 T d 0 x d x d x d V s cos δ + 1 T d 0 u f + v 2 , P ˙ m = 1 T s ( P m + P m 0 ) + 1 T s u p + v 3 ,
where δ is the power angle of the generator, in radians, ω the rotor speed of the generator, in rad/sec, ω 0 = 2 π f 0 , E q the q-axis internal transient voltage of the generator, in per unit, x d the d-axis reactance, in per unit, x d the d-axis transient reactance of the generator, in per unit, x d = x d + x T + x L , x T the reactance of transformer, in per unit, x L the reactance of transmission line, in per unit, u f the voltage of the field circuit of the generator, the control input in per unit, u p the steam valve control, in per unit, M the inertia coefficient of the generator, in seconds, D the damping constant, in per unit, T d 0 , T d and T s are time constant, in seconds, V s infinite-bus voltage, in per unit, v i ( t ) , i = 1 , 2 , 3 , denote the external disturbances, P m the mechanical power, in per unit, and P m 0 the mechanical power initial value, in per unit.

5.1. Hamiltonian Realization

To apply the proposed controllers, we first express the model (38) as a port-Hamiltonian system. The Hamiltonian realization method is derived from [7].
Let
x 1 = δ , x 2 = ω ω 0 , x 3 = E q , x 4 = P m , u ¯ 1 = 1 T d 0 u f , u ¯ 2 = 1 T s u p ,
and denote
ω 0 M = a , D M = b , ω 0 M x d V s = c , 1 T d = d , 1 T d 0 x d x d x d V s = e , 1 T s = f , P m 0 T s = g .
Let x 0 = [ x 10 , x 20 , x 30 , x 40 ] T = [ δ 0 , 0 , E q 0 , P m 0 ] T be the pre-assigned operating point of the system, satisfying
a x 40 c x 30 sin x 10 = 0 , d x 30 e cos x 10 = : V 0 , f x 40 + g = 0 ,
where T d 0 V 0 is the excitation input to obtain the physical operating point x 0 . Let
u ¯ 1 = V 0 + u 1 , u ¯ 2 = a x 2 + u 2 ,
where u = [ u 1 , u 2 ] T is the new control input.
Setting θ = 0 , θ ^ = 0 , and Φ = 0 , the controllers (25) and (34) reduce to the controllers (8) and (17) as special cases, respectively. Hence, in what follows, we focus on the former thanks to their greater generality and assume d and e in the model have perturbations p 1 ( | p 1 | < d ) and p 2 ( | p 2 | < e ) , respectively. At the same time, the model is assumed to suffer from a stochastic noise w R 3 and a type of loss-of-effectiveness faults of u ( t ) represented by the matrix
α ( t ) = Diag { 1 , 1 } , t < 1 , 1 10 Diag { 2 + cos ( 2 π t ) , 2 sin ( 2 π t ) } , t 1 .
Let x = [ x 1 , x 2 , x 3 , x 4 ] T , and set the Hamiltonian function as
H ( x , p ) = c x 3 cos x 1 a g f x 1 + 1 2 x 2 2 + c ( d + p 1 ) 2 ( e + p 2 ) x 3 2 c V 0 e + p 2 x 3 + 1 2 x 4 2 g f x 4 .
Then, the model (38) can be expressed as a faulty SPHS of the form
d x = J ( x , p ) R ( x , p ) H ( x , p ) x + g ( x ) α u d t + g v ( x ) v d t + g w ( x ) d w , y = g v T ( x ) H ( x ) x , z = r ( x ) g T ( x ) H ( x ) x ,
where p = [ p 1 , p 2 ] T and y ( t ) and z ( t ) are the chosen output and penalty signal, respectively,
J ( x , p ) = 0 1 0 0 1 0 0 a 0 0 0 0 0 a 0 0 , R ( x , p ) = 0 0 0 0 0 b 0 0 0 0 e + p 2 c 0 0 0 0 f , g ( x ) = 0 0 0 0 1 0 0 0 , g v ( x ) = 0 0 0 1 0 0 0 1 0 0 0 1 , g w ( x ) = 0 0 0 0 x 2 2 0 0 0 0 0 0 f x 4 g 2 f .

5.2. Simulations

In this subsection, we give the simulation results under robust adaptive FT controllers. Since the condition (7) does not hold for the system, we simulate with the controller (34). The model parameters are given as follows:
{ ω 0 , M , P m 0 , D , V s , x d , x d , x d , T d 0 , T d , T s } = { 1 , 7.6 , 1 , 3 , 1.5 , 0.9 , 0.36 , 0.36 , 5 , 5 , 5 } .
We first check the conditions of Theorem 4. Let
Φ T ( x ) = x 3 d e x 3 + V 0 e 0 0 , θ = [ p 1 , p 2 ] T ,
then (23) holds. With Definition 2, it is easy to obtain the detectability of the system (42) when u ( t ) 0 .
Now, we show that (32) holds. Direct computation shows
λ ¯ ( x , p ) = T H x R ( x , p ) H x t r g w T 2 H x 2 g w = ( b 1 4 ) x 2 2 + c ( e + p 2 ) ( cos x 1 d f x 3 + V e ) 2 + ( x 4 g f ) 2 0 ,
i.e., (32) holds.
Next, we prove that (33) holds with the given γ , i.e.,
μ ¯ ( x , p ) = R ( x , p ) + 1 γ 2 g g T g v g v T = Diag { 0 , b 1 γ 2 , e + p 2 c , f } 0 .
Then, when γ > 1 b , μ ¯ ( x , p ) 0 .
We now report the simulation results when applying the controller (34), as well as the robust adaptive controller (RAC) proposed in [7] for comparison. In the simulations, the controllers were tested with x 0 = [ 0.2424 , 0 , 1 , 1 ] T , θ ^ = [ 0.5 , 0.5 ] T , γ = 1.6 , r ( x ) = Diag { 1 , 1 } , Q = Diag { 3 , 2 } , ϵ = 0.1 , and p = [ 0.05 , 0.05 ] T . In order to study the robustness against disturbances, we imposed an external disturbance:
v ( t ) = [ 3 + x 1 ( t ) , 2 + x 2 ( t ) + x 4 ( t ) , 2 + x 3 ( t ) ] T
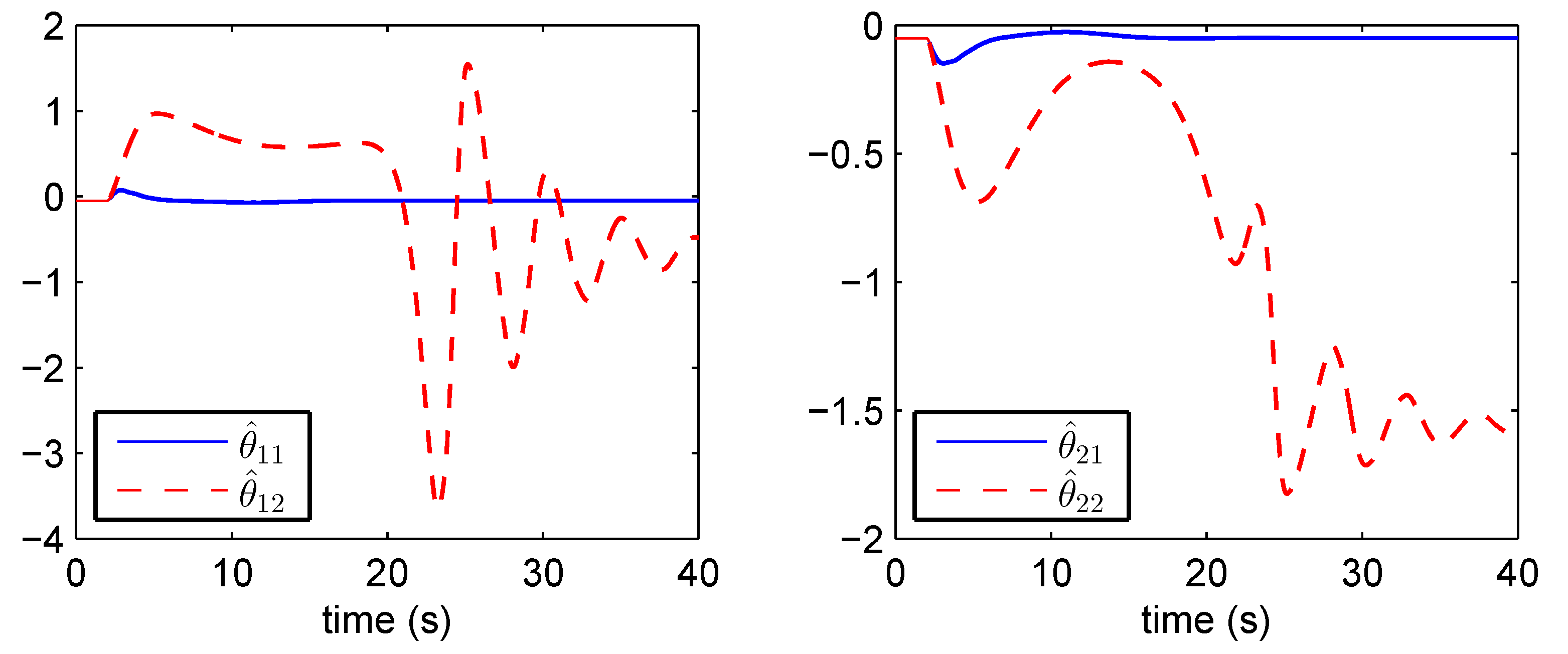
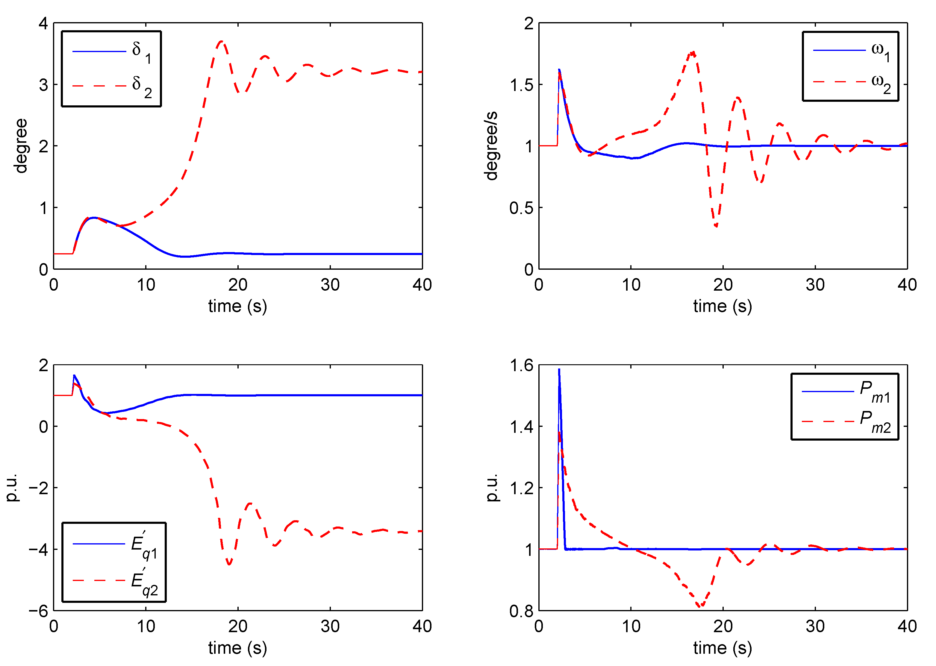
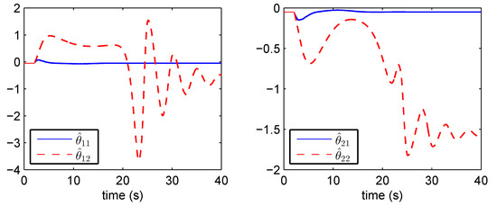
on the faulty system during the time period 2-2.2s. The resulting responses are shown in Figure 1 and Figure 2, where [ δ 1 , ω 1 , E q 1 , P m 1 , θ ^ 11 , θ ^ 21 ] T and [ δ 2 , ω 2 , E q 2 , P m 2 , θ ^ 12 , θ ^ 22 ] T are the responses of [ δ , ω , E q , P m , θ ^ 1 , θ ^ 2 ] T under the controller (34) and the RAC, respectively.
From Figure 1, we see clearly that the RAC fails to stabilize the faulty system at the pre-assigned operating point and leads to the strong drift of the states. This shows it does not have the capability to accommodate the loss-of-effectiveness faults. However, the controller (34) not only drives the system to be asymptotically stable in probability at the operating point in the presence of actuator faults and stochastic noises, but also achieves the robustness against external disturbances and parametric perturbations. Moreover, as shown in Figure 2, the controller (34) provides a good estimate of the parametric perturbation, while the RAC cannot estimate it when actuator faults occur.

6. Conclusions

In this paper, we considered the passive FTC for SPHSs against actuator faults by exploiting the stochastic Hamiltonian structure. A continuous robust FT controller and a robust adaptive one, as well as alternative conditions were proposed for the faulty systems. The proposed FTC laws were obtained without solving the Lyapunov function and HJI inequalities associated with the nominal stabilizing controller; hence, they are easy to operate. These results include the stabilization of fault-free SPHSs and the actuators’ FTC of deterministic port-Hamiltonian systems. Compared to the existing adaptive controller, simulations on synchronous generators with steam valve control demonstrated the effectiveness of the proposed methods. In future research, we will explore continuous adaptive robust FT controllers for SPHSs.

Author Contributions

Formal analysis, S.X. and W.W.; Methodology, S.X., W.W. and S.-Y.C.; Writing—original draft, S.X. All authors have read and agreed to the published version of the manuscript.

Funding

This research was funded by National Natural Science Foundation of China (No. 11226243), the Humanity and Social Science Youth Foundation of the Ministry of Education of China (18YJC910012) and the Scientific Research Fund of Zhejiang Provincial Education Department (No. Y201430940).

Institutional Review Board Statement

Not applicable.

Informed Consent Statement

Not applicable.

Data Availability Statement

Not applicable.

Conflicts of Interest

The authors declare no conflict of interest.

References

  1. Maschke, B.; Schaft, A.V. Port-controlled Hamiltonian systems: Modeling origins and system theoretic properties. In Proceedings of the 2nd IFAC Symposium on Nonlinear Control System Design, Bordeaux, France, 24–26 June 1992; pp. 282–288. [Google Scholar]
  2. Maschke, B.; Schaft, A.V. The Hamiltonian formulation of energy conserving physical systems with external ports. Arch. Elektr. Übertrag. 1995, 49, 362–371. [Google Scholar]
  3. Maschke, B.; Ortega, R.; Schaft, A.V. Energy-based Lyapunov functions for forced Hamiltonian systems with dissipation. IEEE Trans. Autom. Control 2000, 45, 1498–1502. [Google Scholar] [CrossRef] [Green Version]
  4. Ortega, R.; Schaft, A.V.; Maschke, B.; Escobar, G. Interconnection and damping assignment passivity-based control of port-controlled Hamiltonian systems. Automatica 2002, 38, 585–596. [Google Scholar] [CrossRef] [Green Version]
  5. Fujimoto, K.; Sakurama, K.; Sugie, T. Trajectory tracking control of port-controlled Hamiltonian systems via generalized canonical transformations. Automatica 2003, 39, 2059–2069. [Google Scholar] [CrossRef]
  6. Wang, Y.; Feng, G.; Cheng, D. Simultaneous stabilization of a set of nonlinear port-controlled Hamiltonian systems. Automatica 2007, 43, 403–415. [Google Scholar] [CrossRef]
  7. Li, S.; Wang, Y. Robust adaptive control of synchronous generators with SMES unit via Hamiltonian function method. Int. Syst. Sci. 2007, 38, 187–196. [Google Scholar] [CrossRef]
  8. Schöberl, M.; Siuka, A. On Casimir functionals for infinite dimensional port-Hamiltonian control systems. IEEE Trans. Autom. Control 2013, 58, 1823–1828. [Google Scholar] [CrossRef]
  9. Macchelli, A. Passivity-based control of implicit port-Hamiltonian systems. SIAM J. Control Optim. 2014, 52, 2422–2448. [Google Scholar] [CrossRef]
  10. Satoh, S.; Fujimoto, K. Passivity based control of stochastic port-Hamiltonian systems. IEEE Trans. Autom. Control 2013, 58, 1139–1153. [Google Scholar] [CrossRef]
  11. Fang, Z.; Gao, C. Stabilization of input-disturbed stochastic port-Hamiltonian Systems Via Passivity. IEEE Trans. Autom. Control 2017, 62, 4158–4166. [Google Scholar] [CrossRef]
  12. Haddad, W.M.; Rajpurohit, T.; Jin, X. Energy-based feedback control for stochastic port-controlled Hamiltonian systems. Automatica 2018, 97, 134–142. [Google Scholar] [CrossRef]
  13. Liu, Y.; Cao, G.; Tang, S.; Cai, X.; Peng, J. Energy-based stabilisation and H robust stabilisation of stochastic non-linear systems. IET Control Theory Appl. 2018, 12, 318–325. [Google Scholar] [CrossRef]
  14. Xu, S.; Wang, W.; Chen, S.Y. Energy-based output regulation for stochastic port-Hamiltonian systems. Int. J. Robust Nonlinear Control 2021, 31, 1720–1734. [Google Scholar] [CrossRef]
  15. Zhang, Y.; Jiang, J. Bibliographical review on reconfigurable fault-tolerant control systems. Annu. Rev. Control 2008, 32, 229–252. [Google Scholar] [CrossRef]
  16. Benosman, M. A survey of some recent results on nonlinear fault tolerant control. Math. Probl. Eng. 2010, 586169. [Google Scholar] [CrossRef]
  17. Liu, Z.; Theilliol, D.; Yang, L.; He, Y.; Han, J. Interconnection and damping assignment passivity-based control design under loss of actuator effectiveness. J. Intell. Robot. Syst. 2020, 100, 29–45. [Google Scholar] [CrossRef]
  18. Benosman, M.; Lum, K. Application of passivity and cascade structure to robust control against loss of actuator effectiveness. Int. J. Robust Nonlinear Control 2010, 20, 673–693. [Google Scholar] [CrossRef]
  19. Guerrero-Sánchez, M.E.; Hernández-González, O.; Valencia-Palomo, G.; Mercado-Ravell, D.A.; López-Estrada F., R. Hoyo-Montaño J.A. Robust IDA-PBC for under-actuated systems with inertia matrix dependent of the unactuated coordinates: Application to a UAV carrying a load. Nonlinear Dyn. 2021, 105, 3225–3238. [Google Scholar] [CrossRef]
  20. Nasiri, A.; Nguang, S.; Swain, A.; Almakhles, D. Passive actuator fault tolerant control for a class of MIMO nonlinear systems with uncertainties. Int. J. Control 2019, 92, 693–704. [Google Scholar] [CrossRef]
  21. Shen, Q.; Wang, D.; Zhu, S.; Poh, E. Integral-type sliding mode fault-tolerant control for attitude stabilization of spacecraft. IEEE Trans. Control Syst. Technol. 2015, 23, 1131–1138. [Google Scholar] [CrossRef]
  22. Li, Y.; Yang, G. Adaptive asymptotic tracking control of uncertain nonlinear systems with input quantization and actuator faults. Automatica 2016, 72, 177–185. [Google Scholar] [CrossRef]
  23. Lin, X.; Dong, H. Tuning function-based adaptive backstepping fault-tolerant control for nonlinear systems with actuator faults and multiple disturbances. Nonlinear Dyn. 2018, 91, 2227–2239. [Google Scholar] [CrossRef]
  24. Hu, Q.; Xiao, B. Fault-tolerant attitude control for spacecraft under loss of actuator effectiveness. J. Guid. Control Dyn. 2011, 34, 927–932. [Google Scholar] [CrossRef]
  25. Gómez-Peñate, S.; López-Estrada, F.; Valencia-Palomo, G.; Rotondo, D.; Guerrero-Sónchez, M. Actuator and sensor fault estimation based on a proportional multiple-integral sliding mode observer for linear parameter varying systems with inexact scheduling parameters. Int. J. Robust Nonlinear Control 2021, 31, 3225–3238. [Google Scholar] [CrossRef]
  26. Benosman, M.; Lum, K. Passive Actuators’ Fault-Tolerant Control for Affine Nonlinear Systems. IEEE Trans. Autom. Control 2010, 18, 152–163. [Google Scholar] [CrossRef]
  27. Berman, N.; Shaked, U. H control for non-linear stochastic systems: The output-feedback case. Int. J. Control 2008, 81, 1733–1746. [Google Scholar] [CrossRef] [Green Version]
  28. Khasminskii, R. Stochastic Stability of Differential Equations; Springer: Berlin/Heidelberg, Germnay, 2012. [Google Scholar]
  29. Mao, X. Stochastic versions of the LaSalle theorem. J. Diff. Equ. 1999, 153, 175–195. [Google Scholar] [CrossRef] [Green Version]
  30. Zhang, W.; Chen, B. State feedback H control for a class of nonlinear stochastic systems. SIAM J. Control Optim. 2006, 44, 1973–1991. [Google Scholar] [CrossRef]
  31. Isidori, A.; Astolfi, A. Disturbance attenuation and H control via measurement feedback in nonlinear systems. IEEE Trans. Autom. Control 1992, AC-37, 1283–1293. [Google Scholar] [CrossRef]
  32. Xi, Z.; Feng, G.; Cheng, D.; Lu, Q. Nonlinear decentralized saturated controller design for power systems. IEEE Trans. Control Syst. Technol. 2003, 11, 539–547. [Google Scholar]
Figure 1. Swing curves of ( δ , ω , E q , P m ) under the controller (34) and the RAC, respectively.
Figure 1. Swing curves of ( δ , ω , E q , P m ) under the controller (34) and the RAC, respectively.
Mathematics 10 01477 g001
Figure 2. Swing curves of θ ^ under the controller (34) and the RAC, respectively.
Figure 2. Swing curves of θ ^ under the controller (34) and the RAC, respectively.
Mathematics 10 01477 g002
Publisher’s Note: MDPI stays neutral with regard to jurisdictional claims in published maps and institutional affiliations.

Share and Cite

MDPI and ACS Style

Xu, S.; Wang, W.; Chen, S.-Y. Robust Fault-Tolerant Control for Stochastic Port-Hamiltonian Systems against Actuator Faults. Mathematics 2022, 10, 1477. https://doi.org/10.3390/math10091477

AMA Style

Xu S, Wang W, Chen S-Y. Robust Fault-Tolerant Control for Stochastic Port-Hamiltonian Systems against Actuator Faults. Mathematics. 2022; 10(9):1477. https://doi.org/10.3390/math10091477

Chicago/Turabian Style

Xu, Song, Wei Wang, and Sheng-Yuan Chen. 2022. "Robust Fault-Tolerant Control for Stochastic Port-Hamiltonian Systems against Actuator Faults" Mathematics 10, no. 9: 1477. https://doi.org/10.3390/math10091477

APA Style

Xu, S., Wang, W., & Chen, S.-Y. (2022). Robust Fault-Tolerant Control for Stochastic Port-Hamiltonian Systems against Actuator Faults. Mathematics, 10(9), 1477. https://doi.org/10.3390/math10091477

Note that from the first issue of 2016, this journal uses article numbers instead of page numbers. See further details here.

Article Metrics

Back to TopTop