Research on the Resilient Evolutionary Game of Logistics Service Supply Chain with Government Participation
Abstract
:1. Introduction
2. Literature Review
2.1. Coordination of Logistics Service Supply Chain
2.2. Theory of Supply Chain Resilience
2.3. Optimization of Supply Chain Resilience
3. Model Establishment and Solution
3.1. Model Assumptions
3.2. Parameter Settings
4. Strategic Stability Analysis
4.1. Stability Analysis of Government Strategy
4.2. Stability Analysis of Manufacturer’s Strategy
4.3. Stability Analysis of Integrator’s Strategy
4.4. Stability Analysis of Strategy Combination of the Participants
5. Example Analysis
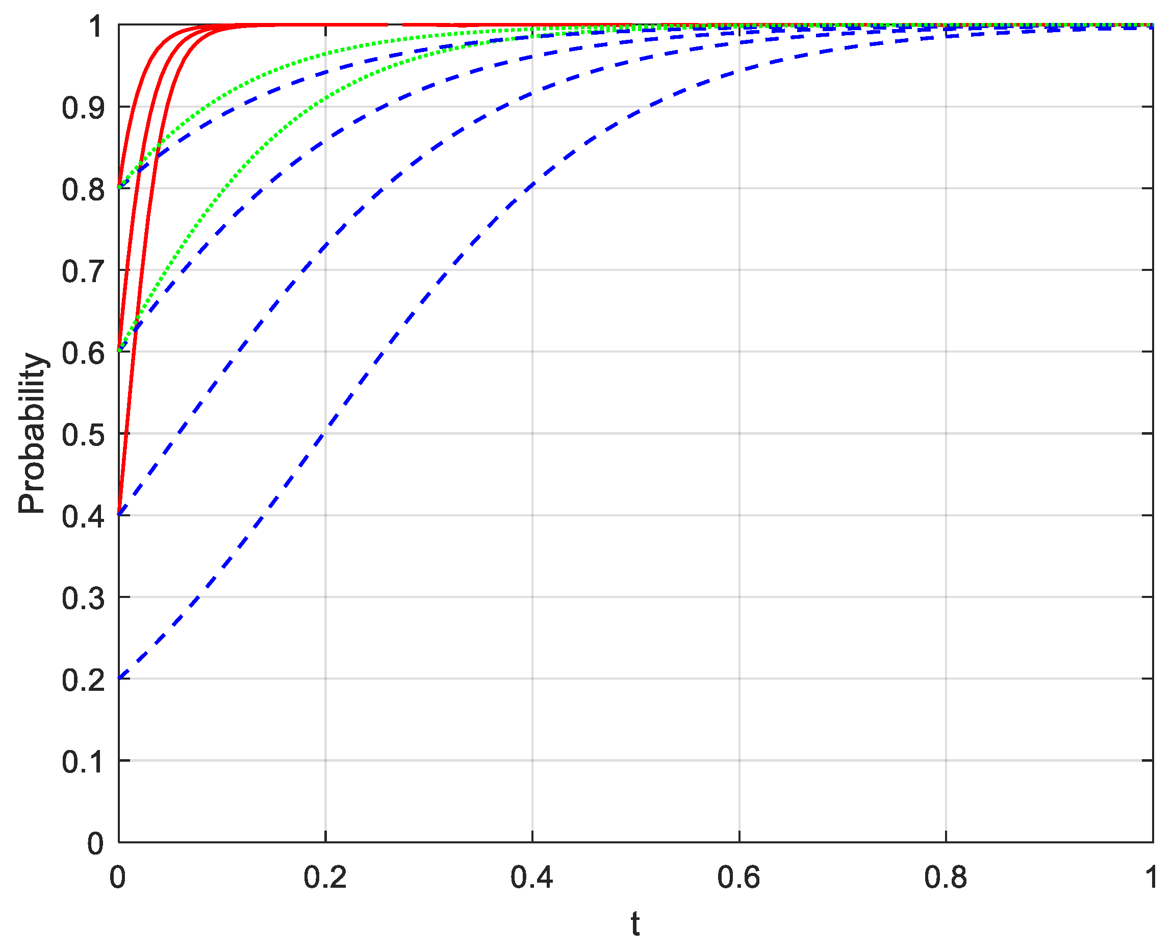
5.1. Influence of Initial Proportion of Selection Strategy on Evolution Results
5.2. Impact of Governmental Participation on the Evolution
6. Conclusions and Implications
6.1. Conclusions
6.2. Managerial Implications
6.3. Research Limitations and Future Directions
Author Contributions
Funding
Institutional Review Board Statement
Informed Consent Statement
Data Availability Statement
Acknowledgments
Conflicts of Interest
References
- Ho, W.; He, T.; Lee, C.K.M.; Emrouznejad, A. Strategic logistics outsourcing: An integrated QFD and fuzzy AHP approach. Expert Syst. Appl. 2009, 39, 10841–10850. [Google Scholar] [CrossRef]
- Giri, B.C.; Sarker, B. Improving performance by coordinating a supply chain with third party logistics outsourcing under production disruption. Comput. Ind. Eng. 2017, 103, 168–177. [Google Scholar] [CrossRef]
- Liu, W.; Liu, Y.; Zhu, D.; Wang, Y.; Liang, Z. The influences of demand disruption on logistics service supply chain coordination: A comparison of three coordination modes. Int. J. Prod. Econ. 2016, 179, 59–76. [Google Scholar] [CrossRef]
- Govindan, K.; Azevedo, S.G.; Carvalho, H.; Machado, V. Impact of supply chain management practices on sustainability. J. Clean. Prod. 2014, 85, 212–225. [Google Scholar] [CrossRef]
- Chopra, S.; Sodhi, M. Reducing the Risks of Supply Chain Disruptions. MIT Sloan Manag. Rev. 2014, 55, 73–80. [Google Scholar]
- Thomé, A.M.T.; Scavarda, L.F.; Scavarda, A.; Thomé, F.E.S.D.S. Similarities and contrasts of complexity, uncertainty, risks, and resilience in supply chains and temporary multi-organization projects. Int. J. Proj. Manag. 2015, 34, 1328–1346. [Google Scholar] [CrossRef]
- Sharma, M.; Luthra, S.; Joshi, S.; Kumar, A. Developing a framework for enhancing survivability of sustainable supply chains during and post-COVID-19 pandemic. Int. J. Logist. Res. Appl. 2020, 8, 1–21. [Google Scholar] [CrossRef]
- Taleizadeh, A.A.; Ghavamifar, A.; Khosrojerdi, A. Resilient network design of two supply chains under price competition: Game theoretic and decomposition algorithm approach. Oper. Res. 2020, 4, 1–33. [Google Scholar] [CrossRef]
- Sabouhi, F.; Jabalameli, M.S.; Jabbarzadeh, A. An optimization approach for sustainable and resilient supply chain design with regional considerations. Comput. Ind. Eng. 2021, 159, 107510. [Google Scholar] [CrossRef]
- Liu, W.; Wang, M.; Zhu, D.; Zhou, L. Service capacity procurement of logistics service supply chain with demand updating and loss-averse preference. Appl. Math. Model. 2019, 66, 486–507. [Google Scholar] [CrossRef]
- Zhang, G.; Wang, X.; Gao, Z.; Xiang, T. Research on Risk Diffusion Mechanism of Logistics Service Supply Chain in Urgent Scenarios. Math. Probl. Eng. 2020, 2020, 1–12. [Google Scholar] [CrossRef]
- Lou, Y.; Feng, L.; He, S.; He, Z.; Zhao, X. Logistics service outsourcing choices in a retailer-led supply chain. Transp. Res. Part E Logist. Transp. Rev. 2020, 141, 101944. [Google Scholar] [CrossRef]
- Wang, G.; Hu, X.; Li, X.; Zhang, Y.; Feng, S.; Yang, A. Multiobjective decisions for provider selection and order allocation considering the position of the CODP in a logistics service supply chain. Comput. Ind. Eng. 2020, 140, 106216. [Google Scholar] [CrossRef]
- Choi, T.-M. Facing market disruptions: Values of elastic logistics in service supply chains. Int. J. Prod. Res. 2021, 59, 286–300. [Google Scholar] [CrossRef]
- Herold, D.M.; Nowicka, K.; Pluta-Zaremba, A.; Kummer, S. COVID-19 and the pursuit of supply chain resilience: Reactions and “lessons learned” from logistics service providers (LSPs). Supply Chain Manag. Int. J. 2021, 26, 702–714. [Google Scholar] [CrossRef]
- Deng, Y.; Jiang, M.; Ling, C. An improved diffusion model for supply chain emergency in uncertain environment. Soft Comput. 2020, 24, 6385–6394. [Google Scholar] [CrossRef]
- Wu, S.; Li, Q. Emergency Quantity Discount Contract with Suppliers Risk Aversion under Stochastic Price. Mathematics 2021, 9, 1791. [Google Scholar] [CrossRef]
- Ruel, S.; Shaaban, S.; Ducros, M. Supply chain vulnerability: Contributions from an edifying case study. J. Enterp. Inf. Manag. 2019, 32, 214–232. [Google Scholar] [CrossRef]
- Sharma, S.K.; Srivastava, P.R.; Kumar, A.; Jindal, A.; Gupta, S. Supply chain vulnerability assessment for manufacturing industry. Ann. Oper. Res. 2021. [Google Scholar] [CrossRef]
- Parast, M.M.; Subramanian, N. An examination of the effect of supply chain disruption risk drivers on organizational performance: Evidence from Chinese supply chains. Supply Chain Manag. Int. J. 2021, 26, 548–562. [Google Scholar] [CrossRef]
- Burin, A.R.G.; Arostegui, M.N.P.; Llorens-Montes, J. Ambidexterity and IT competence can improve supply chain flexibility? A resource orchestration approach. J. Purch. Supply Manag. 2020, 26, 100610. [Google Scholar] [CrossRef]
- Um, J.; Han, N. Understanding the relationships between global supply chain risk and supply chain resilience: The role of mitigating strategies. Supply Chain Manag. Int. J. 2020, 26, 240–255. [Google Scholar] [CrossRef]
- Nikookar, E.; Yanadori, Y. Preparing supply chain for the next disruption beyond COVID-19: Managerial antecedents of supply chain resilience. Int. J. Oper. Prod. Manag. 2021, 42, 59–90. [Google Scholar] [CrossRef]
- Shoja, A.; Molla-Alizadeh-Zavardehi, S.; Niroomand, S. Adaptive meta-heuristic algorithms for flexible supply chain network design problem with different delivery modes. Comput. Ind. Eng. 2019, 138, 106107. [Google Scholar] [CrossRef]
- Delic, M.; Eyers, D.R. The effect of additive manufacturing adoption on supply chain flexibility and performance: An empirical analysis from the automotive industry. Int. J. Prod. Econ. 2020, 228, 107689. [Google Scholar] [CrossRef]
- Diehlmann, F.; Lüttenberg, M.; Verdonck, L.; Wiens, M.; Zienau, A.; Schultmann, F. Public-private collaborations in emergency logistics: A framework based on logistical and game-theoretical concepts. Saf. Sci. 2021, 141, 105301. [Google Scholar] [CrossRef]
- Rajesh, R. Flexible business strategies to enhance resilience in manufacturing supply chains: An empirical study. J. Manuf. Syst. 2020, 44, 903–919. [Google Scholar] [CrossRef]
- Sun, S.; Yang, H.; Yang, G.; Pi, J. Evolutionary Games and Dynamics in Public Goods Supply with Repetitive Actions. Mathematics 2021, 9, 1726. [Google Scholar] [CrossRef]
- Zhi, B.; Liu, X.; Chen, J.; Jia, F. Collaborative carbon emission reduction in supply chains: An evolutionary game-theoretic study. Manag. Decis. 2019, 57, 1087–1107. [Google Scholar] [CrossRef]
- Chen, M.-H.; Wei, H.; Wei, M.; Huang, H.; Su, C.-H. Modeling a green supply chain in the hotel industry: An evolutionary game theory approach. Int. J. Hosp. Manag. 2020, 92, 102716. [Google Scholar] [CrossRef]
- Singh, R.K.; Gupta, A.; Gunasekaran, A. Analysing the interaction of factors for resilient humanitarian supply chain. Int. J. Prod. Res. 2018, 56, 6809–6827. [Google Scholar] [CrossRef]
- Zhan, Y.; Chen, K.Z. Building resilient food system amidst COVID-19: Responses and lessons from China. Agric. Syst. 2021, 190, 103102. [Google Scholar] [CrossRef]
- Lei, S.; Chen, C.; Li, Y.; Hou, Y. Resilient Disaster Recovery Logistics of Distribution Systems: Co-Optimize Service Restoration With Repair Crew and Mobile Power Source Dispatch. IEEE Trans. Smart Grid 2019, 10, 6187–6202. [Google Scholar] [CrossRef] [Green Version]
- Xing, X.-H.; Hu, Z.-H.; Luo, W.-P. Using evolutionary game theory to study governments and logistics companies’ strategies for avoiding broken cold chains. Ann. Oper. Res. 2020, 2, 1–29. [Google Scholar] [CrossRef]
- Li, C.; Zhang, F.; Cao, C.; Liu, Y.; Qu, T. Organizational coordination in sustainable humanitarian supply chain: An evolutionary game approach. J. Clean. Prod. 2019, 219, 291–303. [Google Scholar] [CrossRef] [Green Version]
- Zhang, X.; Zhou, G.; Cao, J.; Wu, A. Evolving strategies of e-commerce and express delivery enterprises with public supervision. Res. Transp. Econ. 2020, 80, 100810. [Google Scholar] [CrossRef]
- Kaur, H.; Singh, S.P. Disaster resilient proactive and reactive procurement models for humanitarian supply chain. Prod. Plan. Control 2020, 10, 1–14. [Google Scholar] [CrossRef]
- Yavari, M.; Zaker, H. Designing a resilient-green closed loop supply chain network for perishable products by considering disruption in both supply chain and power networks. Comput. Chem. Eng. 2020, 134, 106680. [Google Scholar] [CrossRef]
- Al-Refaie, A.; Al-Tahat, M.; Lepkova, N. Modelling relationships between agility, lean, resilient, green practices in cold supply chains using ism approach. Technol. Econ. Dev. Econ. 2020, 26, 675–694. [Google Scholar] [CrossRef]
- Razavian, E.; Tabriz, A.A.; Zandieh, M.; Hamidizadeh, M.R. An integrated material-financial risk-averse resilient supply chain model with a real-world application. Comput. Ind. Eng. 2021, 161, 107629. [Google Scholar] [CrossRef]
- Sharma, H.B.; Vanapalli, K.R.; Cheela, V.S.; Ranjan, V.P.; Jaglan, A.K.; Dubey, B.; Goel, S.; Bhattacharya, J. Challenges, opportunities, and innovations for effective solid waste management during and post COVID-19 pandemic. Resour. Conserv. Recycl. 2020, 162, 105052. [Google Scholar] [CrossRef] [PubMed]
- Lawrence, J.-M.; Hossain, N.U.I.; Jaradat, R.; Hamilton, M. Leveraging a Bayesian network approach to model and analyze supplier vulnerability to severe weather risk: A case study of the U.S. pharmaceutical supply chain following Hurricane Maria. Int. J. Disaster Risk Reduct. 2020, 49, 101607. [Google Scholar] [CrossRef] [PubMed]








| Dimension | Assumption |
|---|---|
| Participant | The government, who inspects and supervises the resilient logistics service supply chains supported by manufacturers and integrators and formulates corresponding policies; the manufacturers, who adopt resilient supply chains to support the integrators; and the integrators, under the joint supervision of the government and manufacturers, who are the implementers of resilient logistics service supply chains. |
| Purpose | The purpose of the three parties is to maximize their respective interests. As the promoter of the coping strategy for an emergent crisis, optimal social benefits are the major goal of the government, while profit maximization is the main goal pursued by the manufacturers and integrators. |
| Rationality | Given the limited rationality of participants in reality, a traditional game is abandoned and an evolutionary game is chosen as the research tool. |
| Strategy | The government has two strategies: supervision and no supervision; the manufacturers also have two strategic choices for the resilient supply chains, namely adoption and no adoption; the integrators have two strategies as well: implementation and no implementation for the resilient operation of logistics service supply chains. |
| The Integrator | ||||
|---|---|---|---|---|
| ) | ) | ) | ) | |
| ) | ) | ) | ||
| Strategic Alternative | |||
|---|---|---|---|
| (, , ) | |||
| (, , ) | |||
| (, , ) | |||
| (, , ) | |||
| (, , ) | |||
| (, , ) | |||
| (, , ) | |||
| (, , ) |
| Equilibrium Space | ||||
|---|---|---|---|---|
| (0, 0, 1) | (0, 0, 1) | (0, 1, 0) | (0, 1, 1) | |
| (1, 0, 0) | (1, 0, 1) | (1, 1, 0) | (1, 1, 1) | |
Publisher’s Note: MDPI stays neutral with regard to jurisdictional claims in published maps and institutional affiliations. |
© 2022 by the authors. Licensee MDPI, Basel, Switzerland. This article is an open access article distributed under the terms and conditions of the Creative Commons Attribution (CC BY) license (https://creativecommons.org/licenses/by/4.0/).
Share and Cite
Zhang, G.; Wang, X.; Wang, Y.; Kang, J. Research on the Resilient Evolutionary Game of Logistics Service Supply Chain with Government Participation. Mathematics 2022, 10, 630. https://doi.org/10.3390/math10040630
Zhang G, Wang X, Wang Y, Kang J. Research on the Resilient Evolutionary Game of Logistics Service Supply Chain with Government Participation. Mathematics. 2022; 10(4):630. https://doi.org/10.3390/math10040630
Chicago/Turabian StyleZhang, Guangsheng, Xiao Wang, Yanling Wang, and Jiayun Kang. 2022. "Research on the Resilient Evolutionary Game of Logistics Service Supply Chain with Government Participation" Mathematics 10, no. 4: 630. https://doi.org/10.3390/math10040630
APA StyleZhang, G., Wang, X., Wang, Y., & Kang, J. (2022). Research on the Resilient Evolutionary Game of Logistics Service Supply Chain with Government Participation. Mathematics, 10(4), 630. https://doi.org/10.3390/math10040630

