Memetic Algorithm with Isomorphic Transcoding for UAV Deployment Optimization in Energy-Efficient AIoT Data Collection
Abstract
1. Introduction
- (1)
- A simplified encoding method is designed to reduce the solution space, since only the distribution of UAVs is used to represent a complete solution. The number and the location of UAVs can be calculated from the distribution. For example, the solution x1 = {1, 2, 1} represents that UAV 1 is connected to the 1st and the 3rd devices, and UAV 2 is connected to the 2nd device. The number of the used UAVs is two (including UAV 1 and UAV 2), and the location of UAVs is the Fermat point of their connected devices.
- (2)
- A pseudo-random initialization is designed to randomly and greedily initialize the population. Since the number of used UAVs has an important influence of the energy consumption (i.e., more UAVs usually leads to more energy consumption), the initial population will randomly select UAVs and use UAVs as little as possible.
- (3)
- The isoTcode method is designed to distinguish solutions with isomorphic relations and represent the practical meaning of solutions. For example, since there is no difference among UAVs, the solution x1 = {1, 2, 1} and the solution x2 = {2, 1, 2} both represent that the 1st and the 3rd devices are connected to the same UAV and the 2nd device is connected to the other UAV. Therefore, x1 and x2 are isomorphic, and they should be mapped to the same solution after being transcoded. However, for the solution x3 = {1, 1, 2, 1} and the solution x4 = {1, 1, 2, 2}, although UAV 1 and UAV 2 are both used in the two solutions, their connections are different, and the index number of UAVs of them should be different after being transcoded.
- (4)
- Crossover_isoT and LS_isoT are designed with the problem-related knowledge to generate feasible solutions and speed up the convergence of the algorithm. The Crossover_isoT operator is conducted on two random solutions after isoTcode, and generates new feasible solutions based on the two parent solutions. The LS_isoT operator will merge two UAVs or reassign the distribution of the two UAVs with a probability when a solution satisfies the condition.
2. Problem Model
3. Proposed MA-IT Algorithm
3.1. The General Framework of MA-IT
| Algorithm 1: MA-IT |
| Input:N: the number of AIoT devices; MaxFEs: the maximum number of the fitness evaluation; NP: the size of the population Output: the optimal solution
|
3.2. Simplified Encoding Method
3.3. Pseudo-Random Initialization
| Algorithm 2: Pseudo-random initialization |
| Input: N: the number of devices; Upper_Limit: the maximum number of connected devices of a UAV Output: pop: the initial population
|
3.4. isoTcode
| Algorithm 3: isoTcode |
| Input: pop: the population Output: pop: the population after being transcoded
|
3.5. Crossover_isoT
| Algorithm 4: Crossover_isoT |
| Input: pop: the population; NP: the population size Output: offspring: the population after crossover
|
3.6. LS_isoT
| Algorithm 5: LS_isoT |
| Input: offspring: the population after Crossover_isoT Output: offspring: the population after local search
|
4. Experimental Result and Comparisons
4.1. Experimental Setting
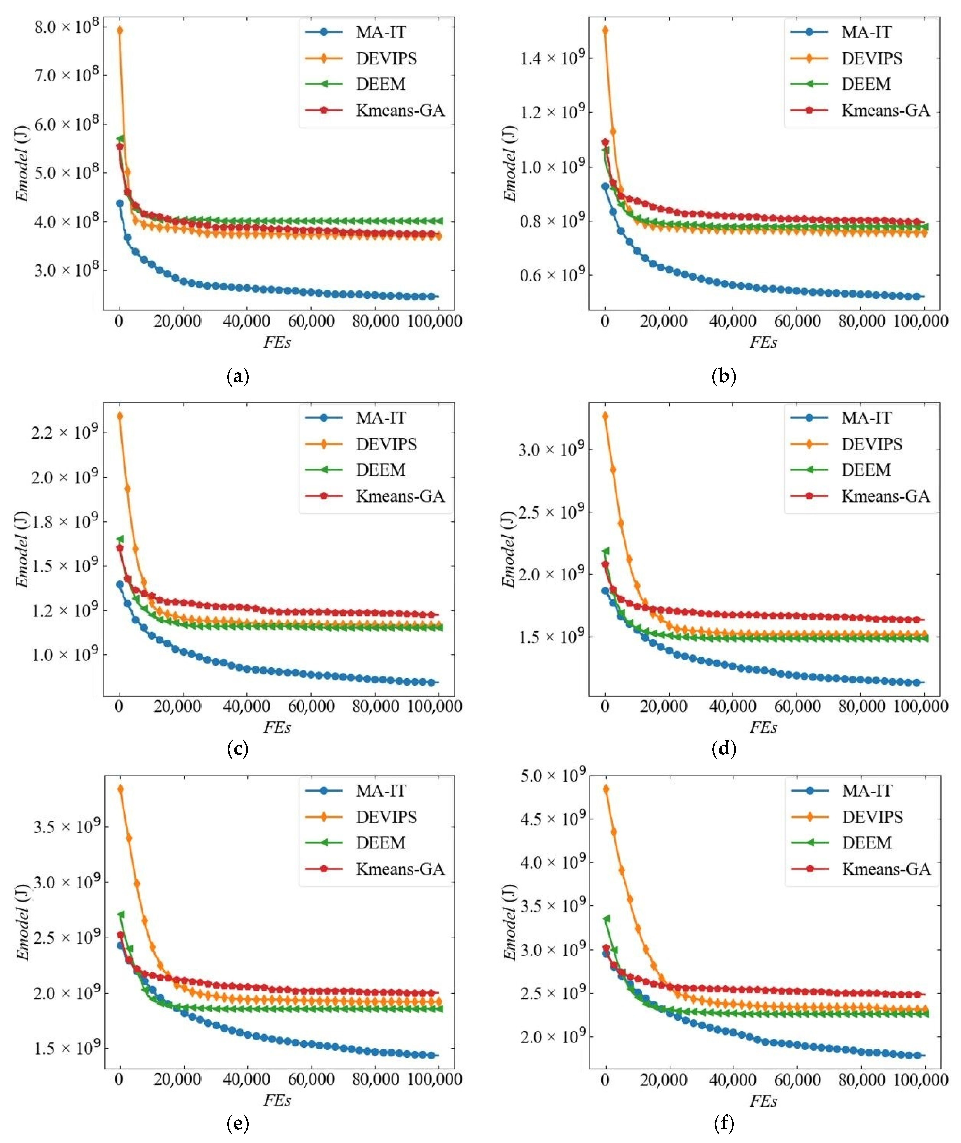
4.2. Comparative Results and Discussions
4.3. Sensitivity Analysis of Parameters
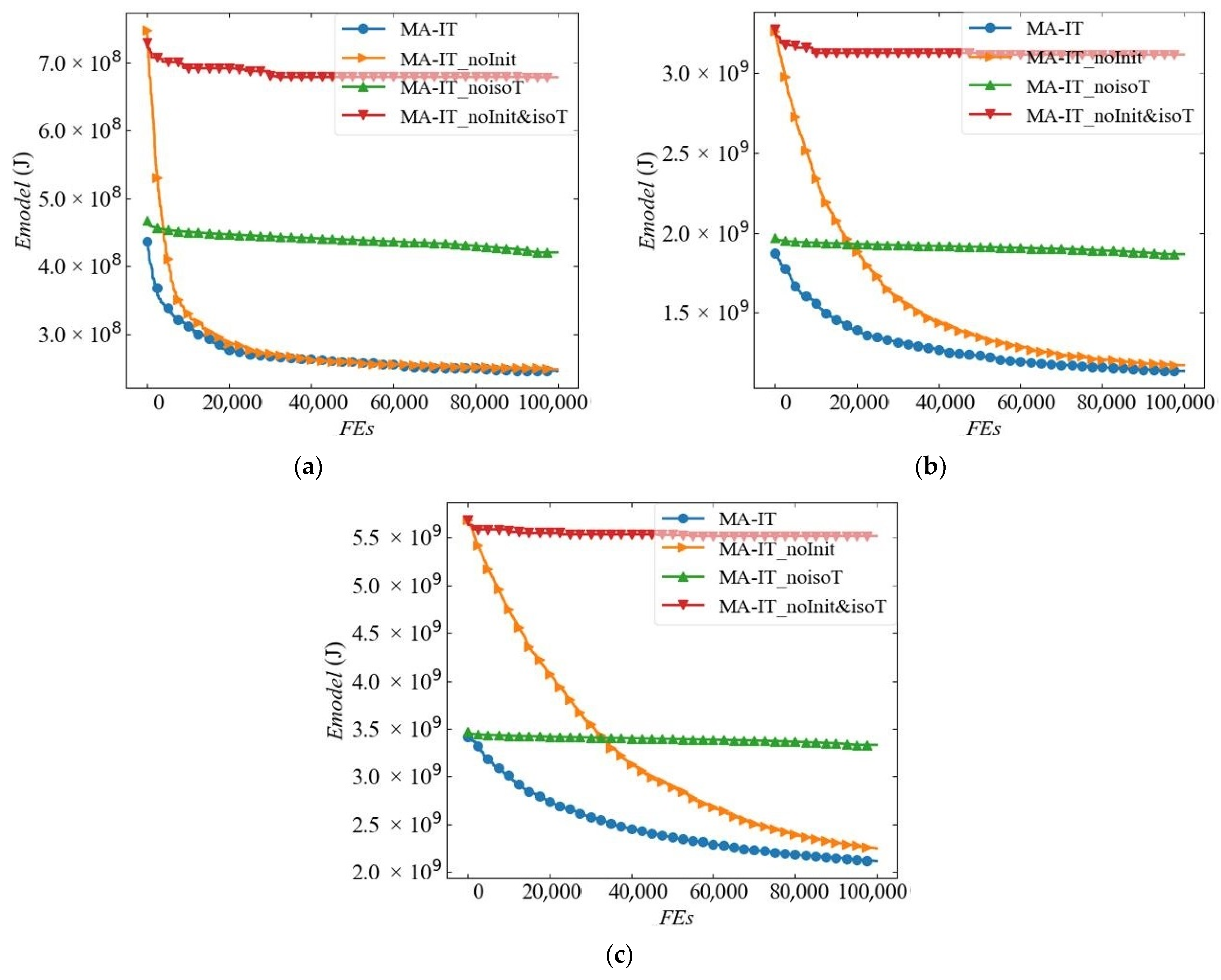
4.4. Effectiveness of MA-IT
5. Conclusions
Author Contributions
Funding
Institutional Review Board Statement
Informed Consent Statement
Data Availability Statement
Conflicts of Interest
Appendix A
| Symbols | Descriptions |
|---|---|
| N | Number of AIoT devices |
| M | Number of UAVs |
| n | Index of AIoT device |
| m | Index of UAV |
| Upper_Limit | Maximum number of connections |
| Xm | X-axis of UAV |
| Ym | Y-axis of UAV |
| H | Height of UAV |
| xn | x-axis of AIoT device |
| yn | y-axis of AIoT device |
| Connn,m | Connection relationship |
| disn,m | Distance |
| β | Coefficient of the directional antenna |
| rn,m | Transmitting rate |
| B | Channel bandwidth |
| pTrans | Transmitting power |
| pChan | Channel power |
| pNoise | Noise power |
| tAIoTn | Work time of AIoT device |
| Dn | Data quantity |
| tUAVm | Work time of the UAV |
| EUAV | Energy consumption of UAV |
| EAIoT | Energy consumption of AIoT device |
| pUAV | Power of the UAV |
| pREC | Power of the receiver |
| pAIoT | Power of the AIoT |
| Emodel | Energy consumption of the model |
| J | Unit of Joule |
| Parameters | Settings |
|---|---|
| H | 200 m |
| Upper_Limit | 5 |
| pAIoT | 0.1 W |
| pUAV | 700 W |
| pREC | 300 W |
| B | 1 MHz |
| pChan | −30 dB |
| pTrans | 0.1 W |
| pNoise2 | −250 dB |
| maxFEs | 100,000 |
| β | 0.01 W |
| Dn | (100, 10,000) MB |
| N | 100, 200, 300, 400, 500, 600, 700 |
References
- Wallace, A.A. When AI Meets IoT: AIoT. In The Emerald Handbook of Computer-Mediated Communication and Social Media; Emerald Publishing Limited: Bingley, UK, 2022; pp. 481–492. [Google Scholar]
- Li, H.; Savkin, A.V. Wireless sensor network based navigation of micro flying robots in the industrial internet of things. IEEE Trans. Ind. Inform. 2018, 14, 3524–3533. [Google Scholar] [CrossRef]
- Mezghani, E.; Exposito, E.; Drira, K. A model-driven methodology for the design of autonomic and cognitive IoT-based systems: Application to healthcare. IEEE Trans. Emerg. Top. Comput. Intell. 2017, 1, 224–234. [Google Scholar] [CrossRef]
- Lai, K.T.; Chung, Y.T.; Su, J.J. AI Wings: An AIoT Drone System for Commanding ArduPilot UAVs. IEEE Syst. J. 2022. [Google Scholar] [CrossRef]
- Zanella, A.; Bui, N.; Castellani, A. Internet of things for smart cities. IEEE Internet Things J. 2014, 1, 22–32. [Google Scholar] [CrossRef]
- Yang, X.; Xu, Y.; Kuang, L. An information fusion approach to intelligent traffic signal control using the joint methods of multiagent reinforcement learning and artificial intelligence of things. IEEE Trans. Intell. Transp. Syst. 2021, 23, 9335–9345. [Google Scholar] [CrossRef]
- Li, B.; Fei, Z.; Zhang, Y. UAV communications for 5G and beyond: Recent advances and future trends. IEEE Internet Things J. 2018, 6, 2241–2263. [Google Scholar] [CrossRef]
- Yang, J.; Kim, Y.H.; Yoon, Y. A Memetic Algorithm with a Novel Repair Heuristic for the Multiple-Choice Multidimensional Knapsack Problem. Mathematics 2022, 10, 602. [Google Scholar] [CrossRef]
- Tung, T.V.; An, T.T.; Lee, B.M. Joint Resource and Trajectory Optimization for Energy Efficiency Maximization in UAV-Based Networks. Mathematics 2022, 10, 3840. [Google Scholar] [CrossRef]
- Li, J.; Liu, H.; Lai, K.K. Vehicle and UAV Collaborative Delivery Path Optimization Model. Mathematics 2022, 10, 3744. [Google Scholar] [CrossRef]
- Nguyen, M.T.; Nguyen, C.V.; Do, H.T. Uav-assisted data collection in wireless sensor networks: A comprehensive survey. Electronics 2021, 10, 2603. [Google Scholar] [CrossRef]
- Zeng, Y.; Xu, J.; Zhang, R. Energy minimization for wireless communication with rotary-wing UAV. IEEE Trans. Wirel. Commun. 2019, 18, 2329–2345. [Google Scholar] [CrossRef]
- Zhan, C.; Zeng, Y.; Zhang, R. Energy-efficient data collection in UAV enabled wireless sensor network. IEEE Wirel. Commun. Lett. 2017, 7, 328–331. [Google Scholar] [CrossRef]
- Alzenad, M.; El-Keyi, A.; Lagum, F. 3-D placement of an unmanned aerial vehicle base station (UAV-BS) for energy-efficient maximal coverage. IEEE Wirel. Commun. Lett. 2017, 6, 434–437. [Google Scholar] [CrossRef]
- Huang, P.Q.; Wang, Y.; Wang, K. Differential evolution with a variable population size for deployment optimization in a UAV-assisted IoT data collection system. IEEE Trans. Emerg. Top. Comput. Intell. 2019, 4, 324–335. [Google Scholar] [CrossRef]
- Han, S.; Zhu, K.; Zhou, M.C. Joint Deployment Optimization and Flight Trajectory Planning for UAV Assisted IoT Data Collection: A Bilevel Optimization Approach. IEEE Trans. Intell. Transp. Syst. 2022, 23, 21492–21504. [Google Scholar] [CrossRef]
- Dong, L.; Liu, Z.; Jiang, F. Joint Optimization of Deployment and Trajectory in UAV and IRS-assisted IoT Data Collection System. IEEE Internet Things J. 2022, 9, 21583–21593. [Google Scholar] [CrossRef]
- Dai, H.N.; Ng, K.W.; Li, M. An overview of using directional antennas in wireless networks. Int. J. Commun. Syst. 2013, 26, 413–448. [Google Scholar] [CrossRef]
- Neri, F.; Cotta, C. Memetic algorithms and memetic computing optimization: A literature review. Swarm Evol. Comput. 2012, 2, 1–14. [Google Scholar] [CrossRef]
- Krarup, J.; Roos, K. On the Fermat point of a triangle. Nieuw Arch. Voor Wiskd. 2017, 5, 280–286. [Google Scholar]
- Chen, X. Decentralized computation offloading game for mobile cloud computing. IEEE Trans. Parallel Distrib. Syst. 2014, 26, 974–983. [Google Scholar] [CrossRef]
- Wu, Q.; Zeng, Y.; Zhang, R. Joint trajectory and communication design for multi-UAV enabled wireless networks. IEEE Trans. Wirel. Commun. 2018, 17, 2109–2121. [Google Scholar] [CrossRef]
- Wang, Y.; Liu, H.; Long, H. Differential evolution with a new encoding mechanism for optimizing wind farm layout. IEEE Trans. Ind. Inform. 2017, 14, 1040–1054. [Google Scholar] [CrossRef]
- Pena, J.M.; Lozano, J.A.; Larranaga, P. An empirical comparison of four initialization methods for the k-means algorithm. Pattern Recognit. Lett. 1999, 20, 1027–1040. [Google Scholar] [CrossRef]
- Kodinariya, T.M.; Makwana, P.R. Review on determining number of Cluster in K-Means Clustering. Int. J. Adv. Res. Comput. Sci. Mang. Stud. 2013, 1, 90–95. [Google Scholar]
- Ting, C.K.; Lee, C.N.; Chang, H.C. Wireless heterogeneous transmitter placement using multiobjective variable-length genetic algorithm. IEEE Trans. Syst. Man Cybern. Part B 2009, 39, 945–958. [Google Scholar] [CrossRef] [PubMed]
- Zhang, Y.H.; Gong, Y.J.; Gu, T.L. Flexible genetic algorithm: A simple and generic approach to node placement problems. Appl. Soft Comput. 2017, 52, 457–470. [Google Scholar] [CrossRef]
- Zhang, X.; Du, K.J.; Zhan, Z.H.; Kwong, S.; Gu, T.L.; Zhang, J. Cooperative coevolutionary bare-bones particle swarm optimization with function independent decomposition for large-scale supply chain network design with uncertainties. IEEE Trans. Cybern. 2020, 50, 4454–4468. [Google Scholar] [CrossRef]
- Karna, S.K.; Sahai, R. An overview on Taguchi method. Int. J. Eng. Math. Sci. 2012, 1, 11–18. [Google Scholar]










| Algorithm | Parameter Setting |
|---|---|
| DEEM | F = 0.9, CR = 0.9 [23] |
| DEVIPS | F = 0.6, CR = 0.5 [15] |
| Kmeans-GA | [25] |
| MA-IT | NP = 50, pc = 0.2, pls = 0.8, pm = 0.5 |
| Inst. | N | MA-IT Mean (STD) | DEVIPS Mean (STD) | DEEM Mean (STD) | Kmeans-GA Mean (STD) |
|---|---|---|---|---|---|
| 1 | 100 | 2.4539 × 108 (1.5642 × 106) | 3.7053 × 108 (1.3782 × 107) | 3.8568 × 108 (2.8913 × 107) | 3.7438 × 108 (3.3571 × 107) |
| 2 | 200 | 5.1778 × 108 (4.6413 × 106) | 7.6387 × 108 (1.5420 × 107) | 7.7977 × 108 (4.6542 × 107) | 7.9427 × 108 (6.3542 × 107) |
| 3 | 300 | 8.4089 × 108 (4.6542 × 106) | 1.1627 × 109 (1.5037 × 107) | 1.1501 × 109 (9.6225 × 107) | 1.2233 × 109 (8.2316 × 107) |
| 4 | 400 | 1.1329 × 109 (6.6542 × 106) | 1.5167 × 109 (1.9215 × 107) | 1.4898 × 109 (1.5945 × 108) | 1.6361 × 109 (1.3803 × 108) |
| 5 | 500 | 1.4355 × 109 (7.3525 × 106) | 1.9175 × 109 (1.6542 × 107) | 1.8530 × 109 (2.1252 × 108) | 1.9987 × 109 (1.9752 × 108) |
| 6 | 600 | 1.7812 × 109 (8.6142 × 106) | 2.3090 × 109 (1.8282 × 107) | 2.2615 × 109 (2.6542 × 108) | 2.4810 × 109 (2.1564 × 108) |
| 7 | 700 | 2.1096 × 109 (9.9852 × 106) | 2.6772 × 109 (1.3542 × 107) | 2.6317 × 109 (2.9121 × 108) | 2.8515 × 109 (2.2575 × 108) |
| Avg. | 1.1519 × 109 | 1.5311 × 109 | 1.5074 × 109 | 1.6228 × 109 | |
| EEI | - | 32.91% | 30.86% | 40.88% | |
| Inst. | pc | pls | pm | Emodel (J) |
|---|---|---|---|---|
| 1 | 0.2 | 0.2 | 0.2 | 3.0678 × 108 |
| 2 | 0.2 | 0.5 | 0.5 | 2.6178 × 108 |
| 3 | 0.2 | 0.8 | 0.8 | 2.4385 × 108 |
| 4 | 0.5 | 0.2 | 0.5 | 3.3375 × 108 |
| 5 | 0.5 | 0.5 | 0.8 | 2.8965 × 108 |
| 6 | 0.5 | 0.8 | 0.2 | 2.4648 × 108 |
| 7 | 0.8 | 0.2 | 0.8 | 3.6283 × 108 |
| 8 | 0.8 | 0.5 | 0.2 | 3.3737 × 108 |
| 9 | 0.8 | 0.8 | 0.5 | 2.8100 × 108 |
Publisher’s Note: MDPI stays neutral with regard to jurisdictional claims in published maps and institutional affiliations. |
© 2022 by the authors. Licensee MDPI, Basel, Switzerland. This article is an open access article distributed under the terms and conditions of the Creative Commons Attribution (CC BY) license (https://creativecommons.org/licenses/by/4.0/).
Share and Cite
Zhang, X.; Cao, Y. Memetic Algorithm with Isomorphic Transcoding for UAV Deployment Optimization in Energy-Efficient AIoT Data Collection. Mathematics 2022, 10, 4668. https://doi.org/10.3390/math10244668
Zhang X, Cao Y. Memetic Algorithm with Isomorphic Transcoding for UAV Deployment Optimization in Energy-Efficient AIoT Data Collection. Mathematics. 2022; 10(24):4668. https://doi.org/10.3390/math10244668
Chicago/Turabian StyleZhang, Xin, and Yiyan Cao. 2022. "Memetic Algorithm with Isomorphic Transcoding for UAV Deployment Optimization in Energy-Efficient AIoT Data Collection" Mathematics 10, no. 24: 4668. https://doi.org/10.3390/math10244668
APA StyleZhang, X., & Cao, Y. (2022). Memetic Algorithm with Isomorphic Transcoding for UAV Deployment Optimization in Energy-Efficient AIoT Data Collection. Mathematics, 10(24), 4668. https://doi.org/10.3390/math10244668
