Two-Stage Optimization Methods to Solve the DNA-Sample Allocation Problem
Abstract
1. Introduction
- DNA extraction (from samples of tissue, saliva, blood, etc.) and dilution treatment;
- Polymerase chain reaction (PCR): an effective process for replicating segments of DNA;
- PCR product purification: to remove elements that are used in the PCR process to obtain high-quality DNA samples for sequencing;
- DNA sequencing: to sort the DNA fragments by size in a sequencing machine so that the original piece of DNA can be decoded.
2. The Problem
2.1. Integer Linear Programming Model
2.2. Heuristic
3. The Two-Stage Approach
3.1. Method 1. ILP Approach
3.1.1. Method 1. First Stage ILP Model
3.1.2. Method 1. Second Stage ILP Model
3.2. Method 2. Heuristic Approach
| Algorithm 1: Simulated annealing with regroup post-process |
![]() |
4. Results and Discussion
4.1. Dataset Analysis
4.2. Comparison of the Different Approaches
4.2.1. M1 vs. ILP1
4.2.2. M2 vs. A1
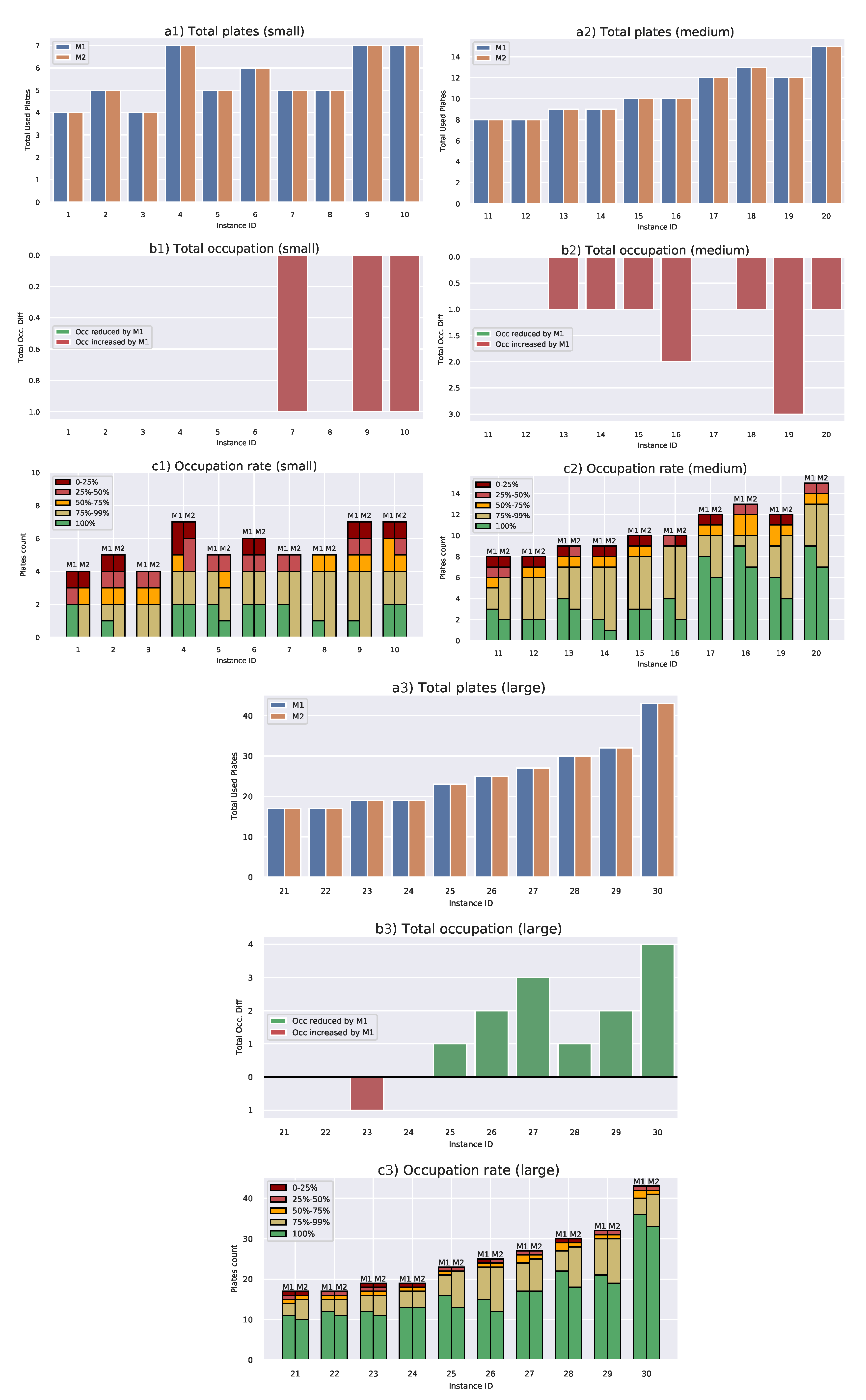
4.2.3. M1 vs. M2
4.3. Improving the Performance of the First Stage. Multicore Execution
- #Cores. In this case, it is desirable to instantiate as many processes as there are available cores; thus, each subproblem is assigned to a full core.
- #Jobs. In this approach a different process is instantiated for each subproblem, which means that there will be more processes than cores. However, because the majority of the subproblems are solved in seconds, their impact is imperceptible.
- 2Jobs. Finally, because it have been seen that there are at most two subproblems that are very time consuming, it tries to share resources halfway.
Multinode Execution
4.4. First Stage Impact on the Second Stage
4.5. Proposed Methods vs. LIMS (Labware)
5. Conclusions
Author Contributions
Funding
Institutional Review Board Statement
Informed Consent Statement
Data Availability Statement
Conflicts of Interest
Appendix A. Detailed Results
Appendix A.1. Data Files Detailed
| ID | Samples | Temps. | Groups | Samples per Temperature |
|---|---|---|---|---|
| 1 | 174 | 13 | 80 | [1,1,2,4,5,16,15,74,25,11,15,3,2] |
| 2 | 193 | 14 | 68 | [2,7,13,12,1,3,6,23,11,43,21,45,1,5] |
| 3 | 233 | 12 | 31 | [24,2,6,1,6,18,36,46,34,29,21,10] |
| 4 | 285 | 18 | 147 | [6,15,11,4,20,12,14,18,11,21,90,27,22,9,2,1,1,1] |
| 5 | 290 | 10 | 87 | [3,56,24,74,54,9,45,4,16,5] |
| 6 | 315 | 16 | 99 | [4,4,4,2,21,7,6,1,8,5,18,87,126,15,6,1] |
| 7 | 358 | 10 | 35 | [1,3,3,5,100,116,60,21,7,42] |
| 8 | 368 | 11 | 27 | [8,13,6,13,79,51,80,32,46,27,13] |
| 9 | 432 | 14 | 32 | [1,1,13,9,8,4,17,85,20,125,41,50,40,18] |
| 10 | 434 | 13 | 44 | [2,12,2,16,8,13,83,98,127,22,13,6,32] |
| 11 | 501 | 15 | 82 | [8,6,12,6,6,61,2,105,83,175,10,1,23,1,2] |
| 12 | 551 | 15 | 37 | [1,1,12,5,12,5,1,22,53,29,174,107,53,58,18] |
| 13 | 612 | 17 | 107 | [10,24,40,10,109,41,18,11,125,60,35,96,9,10,10,2,2] |
| 14 | 647 | 12 | 27 | [1,27,4,1,2,142,86,168,66,81,48,21] |
| 15 | 747 | 15 | 37 | [2,2,12,15,12,6,2,10,55,63,258,160,92,44,14] |
| 16 | 797 | 11 | 27 | [36,13,18,6,6,38,204,168,105,147,56] |
| 17 | 876 | 13 | 120 | [20,10,30,12,26,111,100,275,136,110,21,3,22] |
| 18 | 918 | 17 | 184 | [12,5,14,3,100,59,9,42,72,33,224,113,187,20,2,17,6] |
| 19 | 963 | 15 | 37 | [2,2,17,6,24,10,2,44,88,58,290,176,107,101,36] |
| 20 | 1128 | 16 | 192 | [17,21,16,2,114,65,23,48,82,37,306,153,199,36,4,5] |
| 21 | 1270 | 17 | 167 | [2,8,34,4,16,9,24,41,65,51,461,324,152,43,4,8,24] |
| 22 | 1309 | 17 | 201 | [4,14,36,1,28,24,8,39,65,60,436,298,236,46,6,3,5] |
| 23 | 1398 | 18 | 200 | [4,6,23,1,27,31,16,35,59,59,480,328,257,56,1,6,3,6] |
| 24 | 1473 | 16 | 197 | [1,9,38,34,35,30,38,73,71,520,364,188,50,11,8,3] |
| 25 | 1944 | 15 | 151 | [18,3,77,56,40,22,83,99,823,431,180,66,9,8,29] |
| 26 | 2071 | 15 | 162 | [25,28,86,64,29,49,177,232,745,339,172,70,6,7,42] |
| 27 | 2248 | 17 | 165 | [28,7,9,4,84,53,39,25,154,30,1011,481,219,64,12,8,20] |
| 28 | 2496 | 17 | 179 | [9,16,58,9,25,24,52,83,116,93,913,635,304,85,8,16,50] |
| 29 | 2703 | 17 | 200 | [24,15,21,7,126,93,48,46,174,72,1090,563,265,85,16,11,47] |
| 30 | 3783 | 17 | 171 | [42,6,12,6,181,102,40,45,224,92,1645,844,340,105,18,17,64] |
| Labware Solution Detail (Small) | |||
|---|---|---|---|
| ID | Plates | Occ. | Occupation Rate |
| 1 | 4 | 259 | [93.75, 81.25, 53.13, 41.67] |
| 2 | 5 | 263 | [78.13, 72.92, 58.33, 57.29, 7.29] |
| 3 | 6 | 265 | [76.04, 73.96, 60.42, 40.63, 13.54, 11.46] |
| 4 | 7 | 438 | [91.67, 84.38, 77.98, 66.67, 66.67, 59.38, 9.38] |
| 5 | 6 | 381 | [98.96, 85.42, 76.04, 73.96, 57.29, 5.21] |
| 6 | 6 | 424 | [100.0, 95.83, 95.83, 67.71, 62.50, 19.79] |
| 7 | 7 | 396 | [97.92, 93.75, 90.63, 59.38, 44.79, 23.96, 2.08] |
| 8 | 8 | 409 | [82.29, 80.21, 78.13, 63.54, 48.96, 30.21, 25.00, 17.71] |
| 9 | 9 | 478 | [91.67, 89.58, 70.83, 61.46, 58.33, 56.25, 33.33, 29.17, 7.29] |
| 10 | 9 | 483 | [93.75, 91.67, 85.42, 71.88, 60.42, 56.25, 23.96, 17.71, 2.08] |
| Labware Solution Detail (Medium) | |||
|---|---|---|---|
| ID | Plates | Occ. | Occupation Rate |
| 11 | 8 | 605 | [100.0, 94.79, 85.42, 83.33, 77.08, 71.88, 59.38, 58.33] |
| 12 | 10 | 615 | [96.88, 89.58, 89.58, 83.33, 83.33, 75.00, 61.46, 34.38, 19.79, 7.29] |
| 13 | 9 | 729 | [(100.0)×2, 97.92, 90.63, 88.54, 88.54, 80.21, 78.13, 35.42] |
| 14 | 11 | 685 | [100.0, 95.83, 84.38, 80.21, 78.13, 76.04, 69.79, 55.21, 34.38, 19.79, 19.79] |
| 15 | 15 | 860 | [100.0, 93.75, 91.67, 86.46, 84.38, 69.79, 64.58, 62.50, 54.17, 47.92, 45.83, 31.25, 28.13, 18.75, 16.67] |
| 16 | 26 | 958 | [70.83, 67.71, 67.71, 67.71, 60.42, 54.17, 51.04, 50.00, 46.88, 39.58, 39.58, 39.58, 33.33, 31.25, 30.21, 28.13, 28.13, 28.13, 25.00, 23.96, 19.79, 19.79, 18.75, 18.75, 18.75, 18.75] |
| 17 | 17 | 1127 | [100.0, 98.96, 97.92, 96.88, 94.79, 92.71, 87.50, 87.50, 85.42, 84.38, 67.71, 51.04, 46.88, 36.46, 29.17, 12.50, 4.17] |
| 18 | 14 | 1161 | [(100.0)×4, 98.96, 95.83, 92.71, 92.71, 90.63, 84.38, 83.33, 82.29, 66.67, 21.88] |
| 19 | 18 | 1092 | [98.96, 97.92, 96.88, 91.67, 88.54, 85.42, 85.42, 83.33, 76.04, 68.75, 66.67, 50.00, 47.92, 40.63, 25.00, 19.79, 7.29, 7.29] |
| 20 | 16 | 1357 | [(100.0)×5, 97.92, 97.92, 96.88, 93.75, 91.67, 90.63, 89.58, 82.29, 71.88, 69.79, 31.25] |
| Labware Solution Detail (Large) | |||
|---|---|---|---|
| ID | Plates | Occ. | Occupation Rate |
| 21 | 17 | 1522.0 | [(100.0)×8, (98.96)×2, 92.71, (90.63)×2, 84.38, 83.33, 80.21, 65.63] |
| 22 | 20 | 1834.28 | [(100.0)×10, 98.96, 94.79, 90.63, (89.58)×2, 87.5, 85.42, 71.88, 68, 75, 59.38] |
| 23 | 21 | 1797.0 | [(100.0)×9, (98.96)×2, 97.92, 94.79, 93.75, 92.71, 90.63, 86.46, 83.33, 76.04, 54.17, 4.17] |
| 24 | 21 | 1897.0 | [(100.0)×10, 96.88, (95.83)×2, 94.79, 92.71, 91.67, 88.54, 86.46, 85.42, 70.83, 57.29, 19.79] |
| 25 | 47 | 2436.0 | [(100.0)×8, (92.71)×2, (90.63)×2, 88.54, 87.5, (83.33)×2, 81.25, 72.92, 70.83, 67.71, 66.67, 61.46, 57.29, 56.25, 54.17, 52.08, 40.63, (36.46)×2, 35.42, 31.25, 30.21, 29.17, 23.96, 19.79, 17.71, (16.67)×2, 15.63, 11.46, (5.21)×2, (4.17)×2, 3.13, (2.08)×2] |
| 26 | 41 | 2566.0 | [(100.0)×7, (98.96)×2, (97.92)×2, (96.88)×2, 90.63, 89.58, 88.54, 85.42, 83.33, 82.29, 75.0, 72.92, 70.83, (69.79)×2, 67.71, 66.67, 63.54, 62.5, 50.0, 47.92, 44.79, 31.25, 29.17, 16.67, 10.42, 4.17, (3.13)×2, (2.08)×2] |
| 27 | 56 | 2919.0 | [(100.0)×8, (98.96)×2, 91.67, (88.54)×3, (87.5)×2, 86.46, (81.25)×2, (77.08)×2, 73.96, (67.71)×2, (66.67)×2, 65.63, (58.33)×3, (51.04)×3, 47.92, 42.71, 33.33, 32.29, 29.17, 17.71, 14.58, (7.29)×3, 6.25, 5.21, (4.17)×3, (3.13)×5, (2.08)×2] |
| 28 | 36 | 3042.0 | [(100.0)×12, (98.96)×4, 97.92, 96.88, 93.75, 92.71, 90.63, 88.54, (86.46)×2, (85.42)×3, (84.38)×2, 79.17, 72.92, 70.83, 68.75, 67.71, 50.0, 5.21] |
| 29 | 65 | 3687.0 | [(100.0)×12, (98.96)×2, 97.92, 95.83, 93.75, 91.67, (91.67)×5, 89.58, 86.46, 85.42, 84.38, 83.33, (82.29)×2, 79.17, 78.13, 77.08, 72.92, (68.75)×2, (67.71)×2, 65.63, 64.58, 55.21, 41.67, 40.63, (17.71)×2, (16.67)×2, 15.63, 11.46, 9.38, 7.29, (6.25)×2, (5.21)×2, (4.17)×2, (3.13)×3, (2.08)×5] |
| 30 | 90 | 4845.0 | [(100.0)×11, 96.88, 94.79, (93.75)×2, 92.71, (91.67)×3, (90.63)×3, 89.58, (88.54)×3, 87.5, (86.46)×4, 85.42, (83.33)×2, 78.13, 77.08, (73.96)×2, (71.88)×3, 70.83, (59.38)×2, 54.17, 52.08, (51.04)×2, 50.0, (48.96)×4, 47.92, 46.88, 42.71, 41.67, 39.58, (38.54)×2, (35.42)×2, 33.33, 27.08, (22.92)×2, 21.88, 18.75, (16.67)×5, 15.63, (14.58)×2, 13.54, (11.46)×2, 7.29, (6.25)×2, 5.21, (4.17)×2, (3.13)×2, (2.08)×2] |
Appendix A.2. ILP1 Results Detailed
| ILP1 Solution Detail (Small, 600 s) | |||||||
|---|---|---|---|---|---|---|---|
| Id | Samples | Problem Size | Runtime | Gap | Plates | Occ. | Occupation Rate |
| 1 | 174 | 4792 × 4176 | 231.26 s | 0.046 | 4 | 254 | [100.0, 92.71, 42.71, 29.17] |
| 2 | 193 | 5208 × 4530 | 521.22 s | 0.054 | 5 | 262 | [100.0, 90.62, 58.33, 18.75, 5.21] |
| 3 | 233 | 2171 × 1800 | 458.68 s | 0.072 | 4 | 268 | [100.0, 90.62, 57.29, 30.21] |
| 4 | 285 | 14,700 × 13146 | 586.64 s | 0.055 | 7 | 433 | [100.0, 97.92, 96.88, 79.17, 42.71, 28.12, 6.25] |
| 5 | 290 | 6342 × 5550 | 196.01 s | 0.031 | 5 | 377 | [(100.0)×2, 96.88, 57.29, 38.54] |
| 6 | 315 | 8757 × 7740 | 586.86 s | 0.060 | 6 | 414 | [(100.0)×2, 95.83, 65.62, 35.42, 34.38] |
| 7 | 358 | 2910 × 2430 | 376.67 s | 0.072 | 5 | 394 | [100.0, 96.88, 88.54, 54.17, 70.83] |
| 8 | 368 | 2412 × 1980 | 398.92 s | 0.043 | 5 | 401 | [100.0, 98.96, 97.92, 73.96, 45.83] |
| 9 | 432 | 3952 × 3318 | 432.53 s | 0.048 | 7 | 468 | [(100.0)×2, 98.96, 88.54, 66.67, 26.04, 7.29] |
| 10 | 434 | 5014 × 4284 | 456.97 s | 0.059 | 7 | 484 | [(100.0)×2, 92.71, 90.62, 84.38, 28.12, 7.29] |
| ILP1 Solution Detail (Medium, 600 s) | |||||||
|---|---|---|---|---|---|---|---|
| Id | Samples | Problem Size | Runtime | Gap | Plates | Occ. | Occupation Rate |
| 11 | 501 | 9810 × 8640 | 563.24 s | 0.052 | 8 | 585 | [(100.0)×3, 85.42, 94.79, 80.21, 28.12, 20.83] |
| 12 | 551 | 5085 × 4320 | 595.24 s | 0.042 | 8 | 595 | [(100.0)×3, 98.96, 94.79, 78.12, 34.38, 13.54] |
| 13 | 612 | 14,084 × 12,528 | 581.28 s | 0.081 | 9 | 722 | [100.0, 96.88, 100.0, 94.79, 91.67, 92.71, 47.92, 95.83, 32.29] |
| 14 | 647 | 4374 × 3618 | 516.37 s | 0.032 | 9 | 682 | [(100.0)×4, 97.92, 80.21, 25.0, 7.29] |
| 15 | 747 | 6347 × 5400 | 374.14 s | 0.035 | 10 | 791 | [(100.0)×3, 98.96, 98.96, 97.92, 97.92, 80.21, 43.75, 6.25] |
| 16 | 797 | 4797 × 3960 | 553.65 s | 0.028 | 10 | 832 | [(100.0)×4, 98.96, 98.96, 97.92, 80.21, 72.92, 17.71] |
| 17 | 876 | 20,496 × 18,288 | 523.63 s | 0.118 | 12 | 1006 | [(100.0)×3, 98.96, 96.88, 90.62, 89.58, 88.54, 88.54, 84.38, 53.12, 57.29] |
| 18 | 918 | 35,940 × 32,424 | 499.75 s | 0.131 | 14 | 1111 | [100.0, 98.96, 98.96, 96.88, 95.83, 93.75, 92.71, 90.62, 86.46, 82.29, 66.67, 61.46, 53.12, 39.58] |
| 19 | 963 | 7609 × 6480 | 480.25 s | 0.039 | 12 | 1010 | [(100.0)×4, 98.96, 98.96, 96.88, 91.67, 91.67, 89.58, 56.25, 28.12] |
| Id | Samples | Problem Size | Runtime | Gap | Plates | Occ. | Occupation Rate |
|---|---|---|---|---|---|---|---|
| 20 | 1128 | 39,972 × 36,090 | - | - | - | - | - |
| 21 | 1270 | 39,828 × 35,904 | - | - | - | - | - |
| 22 | 1309 | 50,151 × 45,360 | - | - | - | - | - |
| 23 | 1398 | 52,792 × 47,766 | - | - | - | - | - |
| 24 | 1473 | 51,820 × 46,854 | - | - | - | - | - |
| 25 | 1944 | 48,750 × 43,884 | - | - | - | - | - |
| 26 | 2071 | 56,562 × 51,000 | - | - | - | - | - |
| 27 | 2248 | 62,454 × 56,376 | - | - | - | - | - |
| 28 | 2496 | 74,849 × 67,680 | - | - | - | - | - |
| 29 | 2703 | 88,584 × 80,256 | - | - | - | - | - |
| 30 | 3783 | 105,111 × 95,040 | - | - | - | - | - |
Appendix A.3. A1 Results Detailed
| A1 Solution Detail (Small, 600 s) | ||||||
|---|---|---|---|---|---|---|
| Best Solution | Worst Solution | |||||
| ID | Plates | Occ. | Occupation Rate | Plates | Occ. | Occupation Rate |
| 1 | 4 | 254 | [100.0, 91.67, 52.08, 20.83] | 4 | 256 | [100.0, 89.58, 56.25, 20.83] |
| 2 | 5 | 261 | [100.0, 83.33, 48.96, 35.42, 4.17] | 5 | 267 | [100.0, 82.29, 57.29, 34.38, 4.17] |
| 3 | 4 | 265 | [91.67, 77.08, 68.75, 38.54] | 4 | 268 | [97.92, 70.83, 68.75, 41.67] |
| 4 | 7 | 432 | [100.0, 97.92, 80.21, 75.0, 51.04, 35.42, 10.42] | 7 | 435 | [100.0, 97.92, 85.42, 62.5, 55.21, 47.92, 4.17] |
| 5 | 5 | 377 | [(100.0)×2, 91.67, 68.75, 32.29] | 5 | 379 | [(100.0)×2, 90.62, 66.67, 37.5] |
| 6 | 6 | 417 | [(100.0)×2, 94.79, 57.29, 56.25, 26.04] | 6 | 420 | [(100.0)×2, 97.92, 81.25, 41.67, 16.67] |
| 7 | 5 | 398 | [(100.0)×2, 95.83, 80.21, 38.54] | 5 | 406 | [(100.0)×2, 98.96, 82.29, 41.67] |
| 8 | 5 | 403 | [(100.0)×3, 75.0, 44.79] | 5 | 410 | [(100.0)×3, 73.96, 53.12] |
| 9 | 7 | 474 | [(100.0)×3, 98.96, 61.46, 23.96, 9.38] | 7 | 479 | [(100.0)×3, 97.92, 60.42, 30.21, 10.42] |
| 10 | 7 | 492 | [(100.0)×3, 95.83, 67.71, 34.38, 14.58] | 7 | 497 | [(100.0)×3, 96.88, 73.96, 37.5, 9.38] |
| A1 Solution Detail (Medium, 600 s) | ||||||
|---|---|---|---|---|---|---|
| Best Solution | Worst Solution | |||||
| ID | Plates | Occ. | Occupation Rate | Plates | Occ. | Occupation Rate |
| 11 | 8 | 596 | [(100.0)×4, 97.92, 75.0, 42.71, 5.21] | 8 | 599 | [(100.0)×5, 78.12, 40.62, 5.21] |
| 12 | 8 | 600 | [(100.0)×5, 73.96, 37.5, 13.54] | 8 | 608 | [(100.0)×5, 73.96, 43.75, 15.62] |
| 13 | 9 | 731 | [(100.0)×4, 96.88, 86.46, 81.25, 62.5, 34.38] | 9 | 738 | [(100.0)×4, 96.88, 89.58, 81.25, 68.75, 32.29] |
| 14 | 9 | 697 | [(100.0)×6, 79.17, 37.5, 9.38] | 9 | 703 | [(100.0)×6, 85.42, 35.42, 11.46] |
| 15 | 10 | 804 | [(100.0)×6, 98.96, 78.12, 45.83, 14.58] | 10 | 813 | [(100.0)×6, 98.96, 82.29, 44.79, 20.83] |
| 16 | 10 | 847 | [(100.0)×7, 90.62, 68.75, 22.92] | 10 | 853 | [(100.0)×7, 93.75, 65.62, 29.17] |
| 17 | 12 | 1019 | [(100.0)×8, 98.96, 91.67, 58.33, 12.5] | 12 | 1023 | [(100.0)×8, 98.96, 76.04, 73.96, 16.67] |
| 18 | 13 | 1119 | [(100.0)×7, 98.96, 98.96, 95.83, 78.12, 50.0, 43.75] | 13 | 1124 | [(100.0)×9, 95.83, 67.71, 58.33, 48.96] |
| 19 | 12 | 1030 | [(100.0)×9, 92.71, 46.88, 33.33] | 12 | 1037 | [(100.0)×9, 89.58, 54.17, 36.46] |
| 20 | 15 | 1364 | [(100.0)×11, 95.83, 94.79, 72.92, 57.29] | 15 | 1371 | [(100.0)×12, 94.79, 72.92, 60.42] |
| A1 Solution Detail (Large, 600 s) | ||||||
|---|---|---|---|---|---|---|
| Best Solution | Worst Solution | |||||
| ID | Plates | Occ. | Occupation Rate | Plates | Occ. | Occupation Rate |
| 21 | 17 | 1484 | [(100.0)×12, 96.88, 94.79, 70.83, 64.58, 18.75] | 17 | 1490 | [(100.0)×12, 98.96, 88.54, 65.62, 53.12, 45.83] |
| 22 | 18 | 1544 | [(100.0)×13, 96.88, 91.67, 67.71, 38.54, 13.54] | 18 | 1548 | [(100.0)×12, 98.96, 96.88, 90.62, 57.29, 56.25, 12.5] |
| 23 | 19 | 1630 | [(100.0)×13, 96.88, 91.67, 76.04, 60.42, 52.08, 20.83] | 19 | 1632 | [(100.0)×13, 93.75, 76.04, 70.83, 59.38, 54.17, 45.83] |
| 24 | 19 | 1702 | [(100.0)×14, 98.96, 97.92, 69.79, 62.5, 43.75] | 19 | 1706 | [(100.0)×14, 97.92, 85.42, 82.29, 69.79, 41.67] |
| 25 | 23 | 2129 | [(100.0)×18, 91.67, 91.67, 87.5, 76.04, 70.83] | 23 | 2132 | [(100.0)×19, 94.79, 90.62, 81.25, 54.17] |
| 26 | 25 | 2271 | [(100.0)×20, 95.83, 91.67, 85.42, 59.38, 33.33] | 25 | 2285 | [(100.0)×19, 98.96, 97.92, 92.71, 83.33, 70.83, 36.46] |
| 27 | 27 | 2471 | [(100.0)×22, 97.92, 87.5, 84.38, 69.79, 34.38] | 27 | 2476 | [(100.0)×22, 97.92, 96.88, 95.83, 61.46, 27.08] |
| 28 | 30 | 2713 | [(100.0)×23, 95.83, 93.75, 89.58, 86.46, 64.58, 62.5, 33.33] | 30 | 2732 | [(100.0)×23, 98.96, 97.92, 92.71, 79.17, 67.71, 66.67, 42.71] |
| 29 | 32 | 2960 | [(100.0)×26, 97.92, 90.62, 89.58, 73.96, 72.92, 58.33] | 32 | 2966 | [(100.0)×27, 94.79, 90.62, 82.29, 69.79, 52.08] |
| 30 | 44 | 4023 | [(100.0)×38, 89.58, 87.5, 85.42, 62.5, 61.46, 4.17] | 44 | 4034 | [(100.0)×37, 97.92, 94.79, 83.33, 76.04, 59.38, 50.0, 40.62] |
Appendix A.4. M1 Results Detailed
| M1 Solution Detail (Small, 600 s) | |||
|---|---|---|---|
| ID | Plates | Occ. | Occupation Rate |
| 1 | 4 | 254 | [(100.0)×2, 43.75, 20.83] |
| 2 | 5 | 261 | [100.0, 85.42, 56.25, 28.12, 2.08] |
| 3 | 4 | 264 | [91.67, 75.0, 72.92, 35.42] |
| 4 | 7 | 432 | [(100.0)×2, 94.79, 78.12, 55.21, 17.71, 4.17] |
| 5 | 5 | 377 | [(100.0)×2, 92.71, 75.0, 25.0] |
| 6 | 6 | 414 | [(100.0)×2, 96.88, 86.46, 39.58, 8.33] |
| 7 | 5 | 394 | [(100.0)×2, 85.42, 81.25, 43.75] |
| 8 | 5 | 395 | [100.0, 87.5, 86.46, 80.21, 57.29] |
| 9 | 7 | 465 | [100.0, 94.79, 93.75, 81.25, 70.83, 39.58, 4.17] |
| 10 | 7 | 479 | (100.0)×2, 89.58, 88.54, 63.54, 51.04, 6.25] |
| M1 Solution Detail (Medium, 600 s) | |||
|---|---|---|---|
| ID | Plates | Occ. | Occupation Rate |
| 11 | 8 | 583 | [(100.0)×3, 97.92, 94.79, 73.96, 35.42, 5.21] |
| 12 | 8 | 590 | [(100.0)×2, 97.92, 94.79, 85.42, 77.08, 53.12, 6.25] |
| 13 | 9 | 720 | [(100.0)×4, 98.96, 92.71, 78.12, 65.62, 14.58] |
| 14 | 9 | 676 | [(100.0)×2, 98.96, 87.5, 84.38, 83.33, 80.21, 62.5, 7.29] |
| 15 | 10 | 787 | [(100.0)×3, 98.96, 97.92, 90.62, 84.38, 83.33, 58.33, 6.25] |
| 16 | 10 | 828 | [(100.0)×4, 98.96, 92.71, 88.54, 79.17, 78.12, 25.0] |
| 17 | 12 | 997 | [(100.0)×8, 95.83, 80.21, 57.29, 5.21] |
| 18 | 13 | 1103 | [(100.0)×9, 91.67, 76.04, 58.33, 22.92] |
| 19 | 12 | 1006 | [(100.0)×6, 97.92, 97.92, 95.83, 71.88, 70.83, 13.54] |
| 20 | 15 | 1321 | [(100.0)×9, 98.96, 94.79, 88.54, 81.25, 66.67, 45.83] |
| M1 Solution Detail (Large, 600 s) | |||
|---|---|---|---|
| ID | Plates | Occ. | Occupation Rate |
| 21 | 17 | 1437 | [(100.0)×11, 96.88, 90.62, 86.46, 71.88, 46.88, 4.17] |
| 22 | 17 | 1510 | [(100.0)×12, 98.96, 93.75, 83.33, 58.33, 38.54] |
| 23 | 19 | 1599 | [(100.0)×12, 98.96, 94.79, 90.62, 81.25, 64.58, 33.33, 2.08] |
| 24 | 19 | 1670 | [(100.0)×13, 97.92, 94.79, 88.54, 78.12, 56.25, 23.96] |
| 25 | 23 | 2100 | [(100.0)×16, 98.96, 98.96, 98.96, 95.83, 88.54, 69.79, 36.46] |
| 26 | 25 | 2236 | [(100.0)×15, 98.96, 98.96, 98.96, 97.92, 95.83, 94.79, 90.62, 77.08, 55.21, 20.83] |
| 27 | 27 | 2421 | [(100.0)×17, 98.96, 98.96, 98.96, 96.88, 95.83, 89.58, 84.38, 73.96, 59.38, 25.0] |
| 28 | 30 | 2685 | [(100.0)×22, 97.92, 96.88, 95.83, 94.79, 83.33, 71.88, 51.04, 5.21] |
| 29 | 32 | 2912 | [(100.0)×21, 98.96, 98.96, 97.92, 96.88, 95.83, 90.62, 85.42, 83.33, 78.12, 67.71, 39.58] |
| 30 | 43 | 3977 | [(100.0)×36, 97.92, 95.83, 90.62, 85.42, 73.96, 65.62, 33.33] |
Appendix A.5. M2 Results Detailed
| M2 Solution Detail (Small, 600 s) | ||||||
|---|---|---|---|---|---|---|
| Best Solution | Worst Solution | |||||
| ID | Plates | Occ. | Occupation Rate | Plates | Occ. | Occupation Rate |
| 1 | 4 | 254 | [100.0, 93.75, 48.96, 21.88] | 4 | 254 | [100.0, 93.75, 48.96, 21.88] |
| 2 | 5 | 261 | [96.88, 81.25, 60.42, 31.25, 2.08] | 5 | 261 | [96.88, 81.25, 60.42, 31.25, 2.08] |
| 3 | 4 | 264 | [92.71, 79.17, 70.83, 32.29] | 4 | 264 | [92.71, 79.17, 70.83, 32.29] |
| 4 | 7 | 432 | [(100.0)×2, 92.71, 80.21, 47.92, 25.0, 4.17] | 7 | 432 | [(100.0)×2, 92.71, 80.21, 47.92, 25.0, 4.17] |
| 5 | 5 | 377 | [100.0, 96.88, 86.46, 72.92, 36.46] | 5 | 377 | [100.0, 96.88, 86.46, 72.92, 36.46] |
| 6 | 6 | 414 | [(100.0)×2, 96.88, 86.46, 39.58, 8.33] | 6 | 414 | [(100.0)×2, 96.88, 86.46, 39.58, 8.33] |
| 7 | 5 | 393 | [98.96, 95.83, 93.75, 81.25, 39.58] | 5 | 393 | [98.96, 95.83, 93.75, 81.25, 39.58] |
| 8 | 5 | 395 | [98.96, 91.67, 84.38, 75.0, 61.46] | 5 | 395 | [98.96, 91.67, 84.38, 75.0, 61.46] |
| 9 | 7 | 464 | [97.92, 97.92, 92.71, 85.42, 69.79, 37.5, 2.08] | 7 | 464 | [97.92, 97.92, 92.71, 85.42, 69.79, 37.5, 2.08] |
| 10 | 7 | 478 | [100.0, 97.92, 94.79, 85.42, 70.83, 44.79, 4.17] | 7 | 478 | [100.0, 97.92, 94.79, 85.42, 70.83, 44.79, 4.17] |
| M2 Solution Detail (Medium, 600 s) | ||||||
|---|---|---|---|---|---|---|
| Best Solution | Worst Solution | |||||
| ID | Plates | Occ. | Occupation Rate | Plates | Occ. | Occupation Rate |
| 11 | 8 | 583 | [(100.0)×3, 96.88, 93.75, 73.96, 38.54, 4.17] | 8 | 583 | [(100.0)×3, 96.88, 93.75, 73.96, 38.54, 4.17] |
| 12 | 8 | 590 | [(100.0)×2, 98.96, 93.75, 87.5, 78.12, 52.08, 4.17] | 8 | 590 | [(100.0)×2, 98.96, 93.75, 87.5, 78.12, 52.08, 4.17] |
| 13 | 9 | 719 | [(100.0)×3, 93.75, 89.58, 87.5, 82.29, 69.79, 26.04] | 9 | 719 | [(100.0)×3, 93.75, 89.58, 87.5, 82.29, 69.79, 26.04] |
| 14 | 9 | 675 | [100.0, 92.71, 92.71, 87.5, 87.5, 86.46, 84.38, 67.71, 4.17] | 9 | 675 | [100.0, 92.71, 92.71, 87.5, 87.5, 86.46, 84.38, 67.71, 4.17] |
| 15 | 10 | 786 | [(100.0)×3, 95.83, 94.79, 90.62, 90.62, 87.5, 53.12, 6.25] | 10 | 787 | [(100.0)×4, 94.79, 90.62, 90.62, 84.38, 53.12, 6.25] |
| 16 | 10 | 826 | [(100.0)×2, 98.96, 96.88, 95.83, 94.79, 90.62, 82.29, 79.17, 21.88] | 10 | 827 | [(100.0)×3, 98.96, 95.83, 94.79, 88.54, 82.29, 79.17, 21.88] |
| 17 | 12 | 997 | [(100.0)×7, 95.83, 87.5, 84.38, 65.62, 5.21] | 12 | 997 | [(100.0)×7, 95.83, 87.5, 84.38, 65.62, 5.21] |
| 18 | 13 | 1102 | [(100.0)×6, 98.96, 96.88, 94.79, 90.62, 76.04, 59.38, 31.25] | 13 | 1102 | [(100.0)×6, 98.96, 96.88, 94.79, 90.62, 76.04, 59.38, 31.25] |
| 19 | 12 | 1003 | [(100.0)×4, 96.88, 94.79, 91.67, 91.67, 90.62, 87.5, 69.79, 21.88] | 12 | 1004 | [(100.0)×4, 96.88, 95.83, 94.79, 94.79, 89.58, 87.5, 69.79, 16.67] |
| 20 | 15 | 1320 | [(100.0)×8, 97.92, 96.88, 93.75, 92.71, 84.38, 68.75, 40.62] | 15 | 1320 | [(100.0)×8, 97.92, 96.88, 93.75, 92.71, 84.38, 68.75, 40.62] |
| M2 Solution Detail (Large, 600 s) | ||||||
|---|---|---|---|---|---|---|
| Best Solution | Worst Solution | |||||
| ID | Plates | Occ. | Occupation Rate | Plates | Occ. | Occupation Rate |
| 21 | 17 | 1437 | [(100.0)×9, 98.96, 94.79, 93.75, 88.54, 86.46, 76.04, 54.17, 4.17] | 17 | 1442 | [(100.0)×10, 97.92, 93.75, 92.71, 85.42, 76.04, 52.08, 4.17] |
| 22 | 17 | 1510 | [(100.0)×11, 98.96, 93.75, 89.58, 83.33, 72.92, 34.38] | 18 | 1511 | [(100.0)×9, 98.96, 96.88, 94.79, 93.75, 87.5, 83.33, 75.0, 41.67, 2.08] |
| 23 | 19 | 1598 | [(100.0)×11, 98.96, 93.75, 92.71, 88.54, 83.33, 68.75, 36.46, 2.08] | 19 | 1601 | [(100.0)×11, 98.96, 96.88, 93.75, 89.58, 82.29, 67.71, 36.46, 2.08] |
| 24 | 19 | 1670 | [(100.0)×13, 96.88, 93.75, 89.58, 78.12, 64.58, 16.67] | 19 | 1678 | [(100.0)×13, 97.92, 95.83, 92.71, 78.12, 64.58, 18.75] |
| 25 | 23 | 2100 | [(100.0)×14, 98.96, 98.96, 96.88, 95.83, 93.75, 93.75, 91.67, 80.21, 37.5] | 23 | 2107 | [(100.0)×15, 98.96, 98.96, 96.88, 94.79, 93.75, 92.71, 81.25, 37.5] |
| 26 | 25 | 2238 | [(100.0)×12, 98.96, 98.96, 98.96, 98.96, 98.96, 97.92, 93.75, 93.75, 91.67, 88.54, 81.25, 65.62, 23.96] | 25 | 2241 | [(100.0)×13, 98.96, 98.96, 98.96, 97.92, 96.88, 94.79, 93.75, 92.71, 88.54, 81.25, 65.62, 26.04] |
| 27 | 27 | 2424 | [(100.0)×17, 98.96, 96.88, 96.88, 93.75, 92.71, 90.62, 87.5, 81.25, 59.38, 27.08] | 27 | 2428 | [(100.0)×18, 98.96, 98.96, 96.88, 93.75, 90.62, 87.5, 76.04, 59.38, 27.08] |
| 28 | 30 | 2685 | [(100.0)×16, 98.96, 98.96, 97.92, 96.88, 96.88, 96.88, 95.83, 93.75, 93.75, 93.75, 88.54, 77.08, 59.38, 8.33] | 30 | 2689 | [(100.0)×17, 98.96, 98.96, 98.96, 98.96, 98.96, 97.92, 94.79, 93.75, 91.67, 84.38, 77.08, 58.33, 8.33] |
| 29 | 32 | 2914 | [(100.0)×19, 98.96, 98.96, 97.92, 97.92, 97.92, 95.83, 94.79, 94.79, 91.67, 86.46, 81.25, 67.71, 31.25] | 32 | 2920 | [(100.0)×22, 98.96, 98.96, 98.96, 96.88, 94.79, 90.62, 85.42, 80.21, 65.62, 31.25] |
| 30 | 43 | 3981 | [(100.0)×33, 98.96, 97.92, 97.92, 96.88, 94.79, 91.67, 87.5, 83.33, 65.62, 32.29] | 44 | 3983 | [(100.0)×34, 97.92, 97.92, 89.58, 87.5, 85.42, 84.38, 78.12, 71.88, 53.12, 3.12] |
References
- Matt, C.; Hess, T.; Benlian, A.L. Digital Transformation Strategies. Bus. Inf. Syst. Eng. 2015, 57, 339–343. [Google Scholar] [CrossRef]
- Reis, J.; Amorim, M.; Melão, N.; Matos, P. Digital transformation: A literature review and guidelines for future research. In World Conference on Information Systems and Technologies; Springer: Berlin/Heidelberg, Germany, 2018; pp. 411–421. [Google Scholar]
- Henriette, E.; Feki, M.; Boughzala, I. The shape of digital transformation: A systematic literature review. In Proceedings of the 9th Mediterranean Conference on Information Systems, Samos, Greece, 3–5 October 2015; Volume 10. [Google Scholar]
- Herrmann, M.; Boehme, P.; Mondritzki, T.; Ehlers, J.P.; Kavadias, S.; Truebel, H. Digital transformation and disruption of the health care sector: Internet-based observational study. J. Med. Internet Res. 2018, 20, e9498. [Google Scholar] [CrossRef] [PubMed]
- van Merode, G.G.; Oosten, M.; Vrieze, O.J.; Derks, J.; Hasman, A. Optimisation of the structure of the clinical laboratory. Eur. J. Oper. Res. 1998, 105, 308–316. [Google Scholar] [CrossRef]
- Turkcan, A.; Zeng, B.; Muthuraman, K.; Lawley, M. Sequential clinical scheduling with service criteria. Eur. J. Oper. Res. 2011, 214, 780–795. [Google Scholar] [CrossRef]
- Sanger, F.; Nicklen, S.; Coulson, A.R. DNA sequencing with chain-terminating inhibitors. Proc. Natl. Acad. Sci. USA 1977, 74, 5463–5467. [Google Scholar] [CrossRef] [PubMed]
- Carpente, L.; Cerdeira-Pena, A.; Lorenzo-Freire, S.; Places, A.S. Optimization in Sanger Sequencing. Comput. Oper. Res. 2019, 109, 250–262. [Google Scholar] [CrossRef]
- Sweeney, P.E.; Paternoster, E.R. Cutting and packing problems: A categorized, application-orientated research bibliography. J. Oper. Res. Soc. 1992, 4, 691–706. [Google Scholar] [CrossRef]
- Delorme, M.; Iori, M.; Martello, S. Bin packing and cutting stock problems: Mathematical models and exact algorithms. Eur. J. Oper. Res. 2016, 255, 1–20. [Google Scholar] [CrossRef]
- LeCun, B.; Mautor, T.; Quessette, F.; Weisser, M.A. Bin packing with fragmentable items: Presentation and approximations. Theor. Comput. Sci. 2015, 602, 50–59. [Google Scholar] [CrossRef]
- Kirkpatrick, S.; Gelatt, C.D., Jr.; Vecchi, M.P. Optimization by simulated annealing. Science 1983, 220, 671–680. [Google Scholar] [CrossRef] [PubMed]


















| Instance: 3783_260111KAPA35 | Temps: 17 | Groups: 171 | Samples: 3783 | ||
|---|---|---|---|---|---|
| Temp. | Groups | Samples | Problem Size | Time | Gap |
| 50 C | 3 | 42 | 75 × 57 | 0.0064 | 0.0 |
| 51 C | 1 | 6 | 29 × 19 | 0.001 | 0.0 |
| 52 C | 2 | 12 | 52 × 38 | 0.0013 | 0.0 |
| 53 C | 1 | 6 | 29 × 19 | 0.0011 | 0.0 |
| 54 C | 10 | 181 | 462 × 380 | 13.8452 | 0.0 |
| 55 C | 10 | 102 | 462 × 380 | 0.9911 | 0.0 |
| 56 C | 3 | 40 | 75 × 57 | 0.0019 | 0.0 |
| 57 C | 6 | 45 | 144 × 114 | 0.0278 | 0.0 |
| 58 C | 13 | 224 | 889 × 741 | 0.5663 | 0.0 |
| 59 C | 8 | 92 | 372 × 304 | 2.0234 | 0.0 |
| 60 C | 55 | 1645 | 19,511 × 16,720 | 4303.7317 | 0.0299 |
| 61 C | 32 | 844 | 5712 × 4864 | 1618.5057 | 0.0137 |
| 62 C | 15 | 340 | 1023 × 855 | 5.5391 | 0.0 |
| 63 C | 7 | 105 | 327 × 266 | 0.0829 | 0.0 |
| 64 C | 1 | 18 | 29 × 19 | 0.0012 | 0.0 |
| 65 C | 2 | 17 | 52 × 38 | 0.0019 | 0.0 |
| 66 C | 2 | 64 | 52 × 38 | 0.0019 | 0.0 |
Publisher’s Note: MDPI stays neutral with regard to jurisdictional claims in published maps and institutional affiliations. |
© 2022 by the authors. Licensee MDPI, Basel, Switzerland. This article is an open access article distributed under the terms and conditions of the Creative Commons Attribution (CC BY) license (https://creativecommons.org/licenses/by/4.0/).
Share and Cite
Noceda-Davila, D.; Lorenzo-Freire, S.; Carpente, L. Two-Stage Optimization Methods to Solve the DNA-Sample Allocation Problem. Mathematics 2022, 10, 4359. https://doi.org/10.3390/math10224359
Noceda-Davila D, Lorenzo-Freire S, Carpente L. Two-Stage Optimization Methods to Solve the DNA-Sample Allocation Problem. Mathematics. 2022; 10(22):4359. https://doi.org/10.3390/math10224359
Chicago/Turabian StyleNoceda-Davila, Diego, Silvia Lorenzo-Freire, and Luisa Carpente. 2022. "Two-Stage Optimization Methods to Solve the DNA-Sample Allocation Problem" Mathematics 10, no. 22: 4359. https://doi.org/10.3390/math10224359
APA StyleNoceda-Davila, D., Lorenzo-Freire, S., & Carpente, L. (2022). Two-Stage Optimization Methods to Solve the DNA-Sample Allocation Problem. Mathematics, 10(22), 4359. https://doi.org/10.3390/math10224359


