The Inverse Transformation of L-Hermite Model and Its Application in Structural Reliability Analysis
Abstract
1. Introduction
2. The L-Hermite Models
2.1. General Results for L-Moments
2.2. L-Hermite Transformation Models
3. Complete Expressions of the Inverse Transformation of the L-Hermite Models
3.1. Basic Ideas
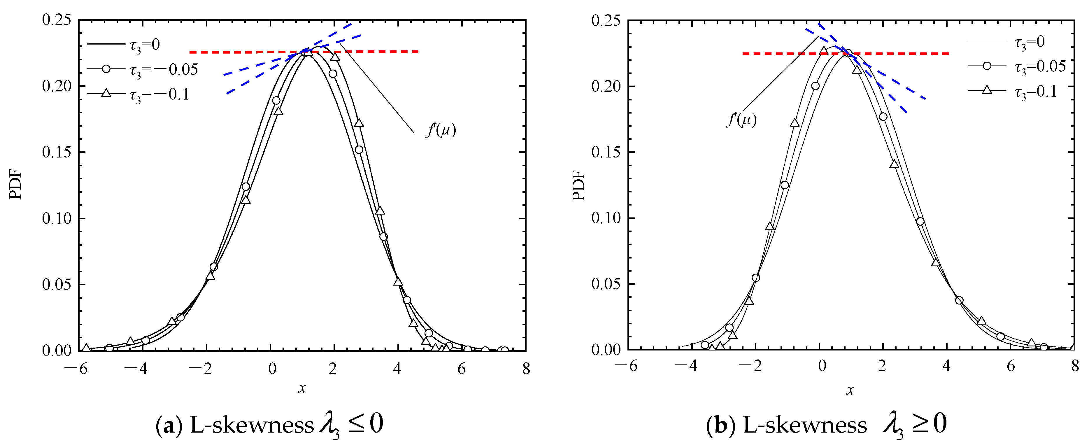
3.2. Selection of Suitable Solution for the Inverse Transformation
3.3. The Complete Expressions of the Inverse Transformation of L-Hermite Models
- (i)
- (ii)
- and
- (iii)
- , , and c < 0
- (iv)
- , , c > 0 and
- (v)
- , , c > 0 and
- (vi)
- and
- (vii)
- and
4. FORM for Structural Reliability Analysis Based on the L-Hermite Model
- (1)
- Obtain the first four L-moments of each random variable for all variables and the original correlation matrix for correlated variables by the probability information.
- (2)
- Determine the polynomial coefficients by Table 1, the correlation matrix CZ, the lower triangular matrix L0, and its inverse matrix .
- (3)
- Assume an initial checking point x0 (generally take the mean value).
- (4)
- Obtain the corresponding checking point in the independent standard normal space, u0.
- (5)
- Determine the initial reliability index .
- (6)
- Determine the Jacobian matrix evaluated at u0, where the Jacobian matrix is given by
- (7)
- Determine the value of the gradient vector at u0 and the value of the function in normal space:
- (8)
- Calculate the new check point:
- (9)
- Calculate the absolute difference between β and β0 until , where is the permissible error (generally ).
5. Applications in Structural Reliability Analysis
5.1. Comparison of the x-u Transformation among Commonly Used Distributions
- The Winterstein formula provides suitable results when the value of x is around the mean value. However, when the absolute value of x is far from the mean, the results obtained by the Winterstein formula exhibit significant differences compared with the exact ones, except for the case of exponential distribution with COV = 1 (Figure 3d).
- In general, the C-Hermite method can also provide suitable results with the Rosenblatt transformation. For the gamma variable with COV = 0.3 (Figure 3b), the Gumbel variable with COV = 0.5 (Figure 3c), and the exponential variable with COV = 1 (Figure 3d), the results of x–u transformation obtained by the C-Hermite method are similar with the exact ones. However, for the Weibull variables, there are large differences between the results obtained by the C-Hermite method and the exact ones when the value of x is far from the mean value (see Figure 3a).
- The proposed L-Hermite method performs better than the Winterstein formula and the C-Hermite method, especially for the Weibull variable with COV = 0.1 (Figure 3a), and the results of the proposed L-Hermite are in close agreement with the exact ones in the whole investigation range for all the four cases considered.
5.2. First-Order Reliability Analysis, including Random Independent Variables with Unknown CDFs/PDFs
5.3. Reliability Analysis of Implicit Performance Function
6. Conclusions
- The polynomial coefficients of the L-Hermite model can be expressed by the first four L-moments explicitly. They are much easier and simpler than those based on C-moments, where the coefficients have to be obtained by nonlinear equations.
- Numerical examples show that the inverse L-Hermite transformation is close to the exact values in the whole investigation range, which are more accurate than the C-Hermite transformation.
- The reliability obtained by the proposed FORM based on the L-Hermite model is close to those by using known CDFs/PDFs. It can be concluded that the presented method of inverse L-Hermite transformation is quite efficient for normal transformation and sufficiently accurate to include random variables with unknown probability distributions in structural reliability analysis.
Author Contributions
Funding
Institutional Review Board Statement
Informed Consent Statement
Data Availability Statement
Conflicts of Interest
References
- Choi, Y.; Ahn, J.; Chang, D. Time–dependent reliability analysis of Plate–stiffened prismatic pressure vessel with corrosion. Mathematics 2021, 9, 1544. [Google Scholar] [CrossRef]
- Barbu, V.S.; D’Amico, G.; Gkelsinis, T. Sequential interval reliability for discrete–time homogeneous semi–markov repairable systems. Mathematics 2021, 9, 1997. [Google Scholar] [CrossRef]
- Binder, K.; Heermann, D. Monte Carlo Simulation in Statistical Physics; Chapman and Hall: London, UK, 1964. [Google Scholar]
- Barker, A.A. Monte carlo calculations of the radial distribution functions for a proton electron plasma. Aust. J. Phys. 1965, 18, 119–134. [Google Scholar] [CrossRef]
- Shinozuka, M. Basic analysis of structural safety. J. Struct. Eng. 1983, 109, 721–740. [Google Scholar] [CrossRef]
- Cornell, C. A Probability–based structural code. J. Am. Concr. Inst. 1968, 66, 974–985. [Google Scholar]
- Kiureghian, A.; Stefano, M. Efficient Algorithm for Second–Order Reliability Analysis. J. Eng. Mech. ASCE 1988, 117, 2904–2923. [Google Scholar] [CrossRef]
- Cai, G.; Elishakoff, I. Refined second–order reliability analysis. Struct. Saf. 1994, 14, 267–276. [Google Scholar] [CrossRef]
- Riesch–Oppermann, H.; Bruckner–foit, A. First–and second–order approximations of failure probabilities in probabilistic fracture mechanics. Reliab. Eng. Syst. Saf. 1988, 23, 183–194. [Google Scholar] [CrossRef]
- Fleishman, A. A method for simulating non–normal distributions. Psychometrika 1978, 43, 521–532. [Google Scholar] [CrossRef]
- Zhao, Y. Third–Moment Standardization for Structural Reliability Analysis. J. Struct. Eng. 2000, 126, 724–732. [Google Scholar] [CrossRef]
- Rebba, R.; Mahadevan, S. Validation of models with multivariate output. Reliab. Eng. Syst. Saf. 2006, 91, 861–871. [Google Scholar] [CrossRef]
- Liu, P.; Kiureghian, A. Multivariate distribution models with prescribed marginals and covariances. Probabilistic Eng. Mech. 1986, 1, 105–112. [Google Scholar] [CrossRef]
- Fisher, R.; Cornish, E. The percentile points of distributions having known cumulants. Technometrics 1960, 2, 209–225. [Google Scholar] [CrossRef]
- Winterstein, S. Nonlinear vibration models for extremes and fatigue. J. Eng. Mech. 1988, 114, 1772–1790. [Google Scholar]
- Zhao, Y.; Lu, Z. Fourth–moment standardization for structural reliability assessment. J. Struct. Eng. 2007, 133, 916–924. [Google Scholar] [CrossRef]
- Zhang, X.; Zhao, Y.; Lu, Z. The inverse transformation of the explicit fourth–moment standardization for structural reliability. Adv. Struct. Eng. 2018, 21, 769–782. [Google Scholar] [CrossRef]
- Hosking, J. L–moments: Analysis and estimation of distributions using linear combinations of order statistics. J. R. Stat. Soc. Ser. B Methodol. 1990, 52, 105–124. [Google Scholar] [CrossRef]
- Chen, Y.; Huang, G.; Shao, Q. Regional analysis of low flow using L–moments for Dongjiang basin. Hydrol. Sci. J. 2006, 51, 1051–1064. [Google Scholar] [CrossRef]
- Shanhzad, M.; Asghar, Z. Comparing TL–Moments, L–Moments and Conventional Moments of Dagum Distribution by Simulated data. Rev. Colomb. Estadística 2013, 36, 79–93. [Google Scholar]
- Pandey, M.D.; van Gelder, P.H.A.J.M.; Vrijling, J.K. The estimation of extreme quantiles of wind velocity using L–moments in the peaks–over–threshold approach. Struct. Saf. 2001, 23, 179–192. [Google Scholar] [CrossRef]
- Greenwood, J.; Landwehr, J.; Matalas, N. Probability weighted moments: Definition and relation to parameters of several distributions expressable in inverse form. Water Resour. Res. 1979, 15, 1049–1054. [Google Scholar] [CrossRef]
- MacKenzie, C.; Winterstein, S. Comparing L–Moments and Conventional Moments to Model Current Speeds in the North Sea. In Proceedings of the 2011 Industrial Engineering Research Conference (IERC 2011), Reno, NV, USA, 21–25 May 2011. [Google Scholar]
- Winterstein, S.; Machenzie, C. Extremes of nonlinear vibration: Comparing models based on moments, l–moments, and maximum entropy. J. Offshore Mech. Arct. Eng. 2013, 135, 21601–21602. [Google Scholar] [CrossRef]
- Chen, X.; Tung, Y. Investigation of polynomial normal transform. Struct. Saf. 2003, 25, 423–445. [Google Scholar] [CrossRef]
- Zhao, Y.; Tong, M.; Lu, Z.; Xu, J. Monotonic Expression of Polynomial Normal Transformation Based on the First Four L–Moments. J. Eng. Mech. ASCE 2020, 146, 06020003. [Google Scholar] [CrossRef]
- Tong, M.; Zhao, Y.; Lu, Z. Normal Transformation for Correlated Random Variables based on L–moments and its Application in Reliability Engineering. Reliab. Eng. Syst. Saf. 2020, 207, 107334. [Google Scholar] [CrossRef]
- Tong, M.; Zhao, Y.; Zhao, Z. Simulating strongly non–Gaussian and non–stationary processes using Karhunen–Loève expansion and L–moments–based Hermite polynomial model. Mech. Syst. Signal Process. 2021, 160, 107953. [Google Scholar] [CrossRef]
- Shelbey, S. CRC Standard Mathematical Tables; CRC Press: Boca Raton, FL, USA, 1975. [Google Scholar]
- Rao, B.; Chowdhury, R. Factorized high dimensional model representation for structural reliability analysis. Eng. Comput. 2008, 25, 708–738. [Google Scholar] [CrossRef]
- He, J.; Gao, S.; Gong, J. A sparse grid stochastic collocation method for structural reliability analysis. Struct. Saf. 2014, 51, 29–34. [Google Scholar] [CrossRef]






| Parameters | Expression of u | Range of x | ||
|---|---|---|---|---|
| p ≥ 0 | c ≠ 0 | (−∞, +∞) | ||
| p < 0 | c > 0 | λ3 ≥ 0 | η1* < x <η2* | |
| x ≥ η2* | ||||
| λ3 < 0 | x ≤ η1* | |||
| η1* < x < η2* | ||||
| c < 0 | η2* ≤ x ≤ η1* | |||
| c = 0 | (−∞, +∞) | |||
| λ3 = 0 | x0 | (−∞, +∞) | ||
| Distribution | The First Four L-Moments | Parameters in Equation (12) | |||||
|---|---|---|---|---|---|---|---|
| λ1 | λ2 | λ3 | λ4 | k | b | c | |
| Weibull | 1 | 0.0554 | –0.0065 | 0.0073 | 0.9610 | –0.1211 | 0.0087 |
| Gamma | 1 | 0.1674 | 0.0164 | 0.0210 | 0.9827 | 0.0991 | 0.0026 |
| Gumbel | 1 | 0.2702 | 0.0459 | 0.0406 | 0.9001 | 0.1817 | 0.0263 |
| Exponential | 1 | 0.5 | 0.1667 | 0.0833 | 0.7997 | 0.3707 | 0.0434 |
| Variable | Distribution | The First Four L-Moments | Parameters in Equation (12) | |||||
|---|---|---|---|---|---|---|---|---|
| λ1 | λ2 | λ3 | λ4 | k | b | c | ||
| H | Normal | 168 | 4.7392 | 0 | 0.5810 | 1 | 0 | 0 |
| CC | Normal | 0.396 | 0.0558 | 0 | 0.0068 | 1 | 0 | 0 |
| e0 | Normal | 1.19 | 0.1007 | 0 | 0.0123 | 1 | 0 | 0 |
| p0 | Weibull | 0.5 | 0.0563 | −0.0036 | 0.0066 | 1.0086 | −0.0633 | −0.0042 |
| Δp | Weibull | 3.72 | 0.1019 | −0.0147 | 0.0143 | 0.9319 | −0.1510 | 0.0169 |
| Variable | Distribution | The First Four L-Moments | Parameters in Equation (12) | |||||
|---|---|---|---|---|---|---|---|---|
| λ1 | λ2 | λ3 | λ4 | k | b | c | ||
| P1 | Weibull | 135 | 15.213 | −0.9698 | 1.7923 | 1.0086 | −0.0633 | −0.0042 |
| P2 | Weibull | 90 | 10.142 | −0.6465 | 1.1949 | 1.0086 | −0.0633 | −0.0042 |
| P3 | Weibull | 70 | 7.888 | −0.5029 | 0.9293 | 1.0086 | −0.0633 | −0.0042 |
| E1 | Lognormal | 2.1 × 107 | 591,906 | 14,449.3 | 72,845.9 | 0.9981 | 0.0245 | 0.0004 |
| E2 | Lognormal | 2.4 × 107 | 676,464 | 16,513.5 | 83,252.4 | 0.9981 | 0.0245 | 0.0004 |
| I1 | Lognormal | 8.1 × 10−3 | 4.6 × 10−4 | 2.2 × 10−5 | 5.7 × 10−5 | 0.9927 | 0.0491 | 0.0017 |
| I2 | Lognormal | 0.011 | 6.2 × 10−4 | 3.0 × 10−5 | 7.7 × 10−5 | 0.9927 | 0.0491 | 0.0017 |
| I3 | Lognormal | 0.0213 | 0.0012 | 5.8 × 10−5 | 1.5 × 10−4 | 0.9927 | 0.0491 | 0.0017 |
| I4 | Lognormal | 0.0295 | 0.0017 | 8.1 × 10−5 | 2.0 × 10−4 | 0.9927 | 0.0491 | 0.0017 |
| I5 | Lognormal | 0.0108 | 6.1 × 10−4 | 2.9 × 10−5 | 7.6 × 10−5 | 0.9927 | 0.0491 | 0.0017 |
| I6 | Lognormal | 0.0141 | 7.9 × 10−4 | 3.9 × 10−5 | 9.9 × 10−5 | 0.9927 | 0.0491 | 0.0017 |
| I7 | Lognormal | 0.0232 | 1.3 × 10−3 | 6.4 × 10−5 | 1.6 × 10−4 | 0.9927 | 0.0491 | 0.0017 |
| I8 | Lognormal | 0.0259 | 1.5 × 10−3 | 7.1 × 10−5 | 1.8 × 10−4 | 0.9927 | 0.0491 | 0.0017 |
| A1 | Lognormal | 0.312 | 0.0175 | 8.5 × 10−4 | 2.2 × 10−3 | 0.9927 | 0.0491 | 0.0017 |
| A2 | Lognormal | 0.372 | 0.0209 | 1.0 × 10−3 | 2.6 × 10−3 | 0.9927 | 0.0491 | 0.0017 |
| A3 | Lognormal | 0.505 | 0.0284 | 1.4 × 10−3 | 3.5 × 10−3 | 0.9927 | 0.0491 | 0.0017 |
| A4 | Lognormal | 0.557 | 0.0313 | 1.5 × 10−3 | 3.9 × 10−3 | 0.9927 | 0.0491 | 0.0017 |
| A5 | Lognormal | 0.253 | 0.0142 | 6.9 × 10−4 | 1.8 × 10−3 | 0.9927 | 0.0491 | 0.0017 |
| A6 | Lognormal | 0.291 | 0.0164 | 8.0 × 10−4 | 2.0 × 10−3 | 0.9927 | 0.0491 | 0.0017 |
| A7 | Lognormal | 0.372 | 0.0209 | 1.0 × 10−3 | 2.6 × 10−3 | 0.9927 | 0.0491 | 0.0017 |
| A8 | Lognormal | 0.418 | 0.0235 | 0.0115 | 0.0029 | 0.9927 | 0.0491 | 0.0017 |
Publisher’s Note: MDPI stays neutral with regard to jurisdictional claims in published maps and institutional affiliations. |
© 2022 by the authors. Licensee MDPI, Basel, Switzerland. This article is an open access article distributed under the terms and conditions of the Creative Commons Attribution (CC BY) license (https://creativecommons.org/licenses/by/4.0/).
Share and Cite
Tong, M.-N.; Shen, F.-Q.; Cui, C.-X. The Inverse Transformation of L-Hermite Model and Its Application in Structural Reliability Analysis. Mathematics 2022, 10, 4318. https://doi.org/10.3390/math10224318
Tong M-N, Shen F-Q, Cui C-X. The Inverse Transformation of L-Hermite Model and Its Application in Structural Reliability Analysis. Mathematics. 2022; 10(22):4318. https://doi.org/10.3390/math10224318
Chicago/Turabian StyleTong, Ming-Na, Fu-Qiang Shen, and Chen-Xing Cui. 2022. "The Inverse Transformation of L-Hermite Model and Its Application in Structural Reliability Analysis" Mathematics 10, no. 22: 4318. https://doi.org/10.3390/math10224318
APA StyleTong, M.-N., Shen, F.-Q., & Cui, C.-X. (2022). The Inverse Transformation of L-Hermite Model and Its Application in Structural Reliability Analysis. Mathematics, 10(22), 4318. https://doi.org/10.3390/math10224318

