Low Dissipative Entropic Lattice Boltzmann Method
Abstract
1. Introduction
2. Entropic Lattice Boltzmann Method
3. Low-Dissipative ELB Method
3.1. Bounds for the Logarithm
3.2. Evaluation of
3.3. Evaluation of
3.4. Explicit Formula for
4. Numerical Experiments
4.1. Shock Tube
4.2. Shear Waves
4.3. Acoustic Waves
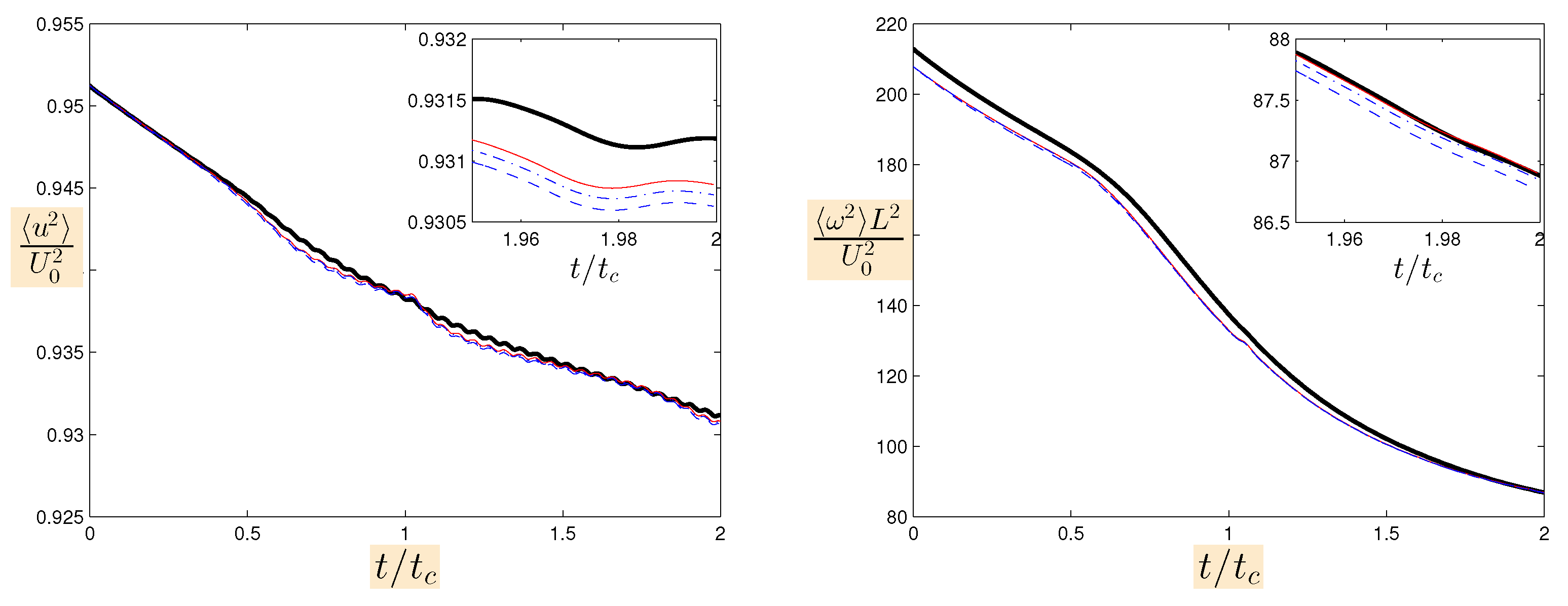
4.4. Double Shear Layer
4.5. Performance
5. Conclusions
Funding
Data Availability Statement
Conflicts of Interest
Abbreviations
| ELB | Entropic lattice Boltzmann |
| EELB | Essentially entropic lattice Boltzmann |
| LB | Lattice Boltzmann |
| LD | Low dissipative |
| ZY | Zhao Yong |
Appendix A
| Notation | Formula | Explanation |
|---|---|---|
| lower bound for | ||
| upper bound for | ||
| upper bound for | ||
| average value of over spatial domain | ||
| minimal value of in spatial domain | ||
| deviations of from 2 in the spatial domain | ||
| deviations of from 2 in the spatial domain |
References
- Qian, Y.H.; d’Humières, D.; Lallemand, P. Lattice BGK Models for Navier Stokes Equation. Europhys. Lett. 1992, 17, 479–484. [Google Scholar] [CrossRef]
- Guo, Z.; Shu, C. Lattice Boltzmann Method and Its Applications in Engineering; World Scientific Publishing Company: Singapore, 2013. [Google Scholar]
- Krüger, T.; Kusumaatmaja, H.; Kuzmin, A.; Shardt, O.; Silva, G.; Viggen, E. The Lattice Boltzmann Method. Principles and Practice; Springer: Berlin/Heidelberg, Germany, 2017. [Google Scholar]
- Succi, S. The Lattice Boltzmann Equation: For Complex States of Flowing Matter; Oxford University Press: Oxford, UK, 2018. [Google Scholar]
- Jourabian, M.; Darzi, A.A.R.; Toghraie, D.; ali Akbari, O. Melting process in porous media around two hot cylinders: Numerical study using the lattice Boltzmann method. Phys. A Stat. Mech. Its Appl. 2018, 509, 316. [Google Scholar] [CrossRef]
- Zhu, L.; Zhang, H.; Xiao, L.; Bazylak, A.; Gao, X.; Sui, P.C. Pore-scale modeling of gas diffusion layers: Effects of compression on transport properties. J. Power Sources 2021, 496, 229822. [Google Scholar] [CrossRef]
- Suga, K. Lattice Boltzmann methods for complex micro-flows: Applicability and limitations for practical applications. Fluid Dyn. Res. 2013, 45, 034501. [Google Scholar] [CrossRef]
- Mazloomi, A.; Chikatamarla, S.S.; Karlin, I. Entropic Lattice Boltzmann Method for Multiphase Flows. Phys. Rev. Lett. 2015, 114, 174502. [Google Scholar] [CrossRef] [PubMed]
- Nemati, M.; Shateri Najaf Abady, A.R.; Toghraie, D.; Karimipour, A. Numerical investigation of the pseudopotential lattice Boltzmann modeling of liquid-vapor for multi-phase flows. Phys. A Stat. Mech. Its Appl. 2018, 489, 65. [Google Scholar] [CrossRef]
- Toghaniyan, A.; Zarringhalam, M.; Akbari, O.A.; Sheikh Shabani, G.A.; Toghraie, D. Application of lattice Boltzmann method and spinodal decomposition phenomenon for simulating two-phase thermal flows. Phys. A Stat. Mech. Its Appl. 2018, 509, 673–689. [Google Scholar] [CrossRef]
- Ahmadi Balootaki, A.; Karimipour, A.; Toghraie, D. Nano scale lattice Boltzmann method to simulate the mixed convection heat transfer of air in a lid-driven cavity with an endothermic obstacle inside. Phys. A Stat. Mech. Its Appl. 2018, 508, 681–701. [Google Scholar] [CrossRef]
- Dellar, P. Bulk and shear viscosities in lattice Boltzmann equations. Phys. Rev. E 2001, 64, 031203. [Google Scholar] [CrossRef]
- Lallemand, P.; Luo, L.S. Theory of the lattice Boltzmann method: Dispersion, dissipation, isotropy, Galilean invariance, and stability. Phys. Rev. E 2000, 61, 6546. [Google Scholar] [CrossRef]
- d’Humières, D.; Ginzburg, I.; Krafczyk, M.; Lallemand, P.; Luo, L.S. Multiple–relaxation–time lattice Boltzmann models in three dimensions. Phil. Trans. R. Soc. Lond. 2002, 360, 437. [Google Scholar] [CrossRef]
- Lallemand, P.; Luo, L.S. Theory of the lattice Boltzmann method: Acoustic and thermal properties in two and three dimensions. Phys. Rev. E 2003, 68, 036706. [Google Scholar] [CrossRef] [PubMed]
- Ricot, D.; Marié, S.; Sagaut, P.; Bailly, C. Lattice Boltzmann method with selective viscosity filter. J. Comp. Phys. 2009, 228, 4478. [Google Scholar] [CrossRef]
- Li, Y.; Shock, R.; Zhang, R.; Chen, H. Numerical study of flow past an impulsively started cylinder by the lattice-Boltzmann method. J. Fluid Mech. 2004, 519, 273–300. [Google Scholar] [CrossRef]
- Tosi, F.; Ubertini, S.; Succi, S.; Chen, H.; Karlin, I. Numerical stability of Entropic versus positivity-enforcing Lattice Boltzmann schemes. Math. Comput. Simul. 2006, 72, 227–231. [Google Scholar] [CrossRef]
- Karlin, I.; Succi, S.; Chikatamarla, S. Comment on “Numerics of the lattice Boltzmann method: Effects of collision models on the lattice Boltzmann simulations”. Phys. Rev. E 2011, 84, 068701. [Google Scholar] [CrossRef]
- Karlin, I.; Bösch, F.; Chikatamarla, S.; Succi, S. Entropy-Assisted Computing of Low-Dissipative Systems. Entropy 2015, 17, 8099. [Google Scholar] [CrossRef]
- Yong, W.A.; Luo, L.S. Nonexistence of H theorems for the athermal lattice Boltzmann models with polynomial equilibria. Phys. Rev. E 2003, 67, 051105. [Google Scholar] [CrossRef] [PubMed]
- Yong, W.A.; Luo, L.S. Nonexistence of H Theorem for some Lattice Boltzmann models. J. Stat. Phys. 2005, 121, 91. [Google Scholar] [CrossRef]
- Karlin, I.; Succi, S. Equilibria for discrete kinetic equations. Phys. Rev. E 1998, 58, R4053. [Google Scholar] [CrossRef]
- Karlin, I.; Gorban, A.; Succi, S.; Boffi, V. Maximum Entropy Principle for Lattice Kinetic Equations. Phys. Rev. Lett. 1998, 81, 6–9. [Google Scholar] [CrossRef]
- Karlin, I.; Ferrante, A.; Öttinger, H. Perfect entropy functions of the Lattice Boltzmann method. Europhys. Lett. 1999, 47, 182–188. [Google Scholar] [CrossRef]
- Ansumali, S.; Karlin, I.; Öttinger, H. Minimal entropic kinetic models for hydrodynamics. Europhys. Lett. 2003, 63, 798–804. [Google Scholar] [CrossRef]
- Ansumali, S.; Karlin, I. Stabilization of the lattice Boltzmann method by the H theorem: A numerical test. Phys. Rev E 2000, 62, 7999. [Google Scholar] [CrossRef] [PubMed]
- Ansumali, S.; Karlin, I. Entropy Function Approach to the Lattice Boltzmann Method. J. Stat. Phys. 2002, 107, 291. [Google Scholar] [CrossRef]
- Tosi, F.; Ubertini, S.; Succi, S.; Karlin, I. Optimization Strategies for the Entropic Lattice Boltzmann Method. J. Sci. Comput. 2007, 30, 369–387. [Google Scholar] [CrossRef]
- Chikatamarla, S.; Ansumali, S.; Karlin, I. Entropic Lattice Boltzmann Models for Hydrodynamics in Three Dimensions. Phys. Rev. Lett. 2006, 97, 010201. [Google Scholar] [CrossRef]
- Atif, M.; Kolluru, P.; Thantanapally, C.; Ansumali, S. Essentially Entropic Lattice Boltzmann Model. Phys. Rev. Lett. 2017, 119, 240602. [Google Scholar] [CrossRef]
- Zhao, W.; Yong, W.A. Relaxation-rate formula for the entropic lattice Boltzmann method. Chin. Phys. B 2019, 28, 114701. [Google Scholar] [CrossRef]
- Jonnalagadda, A.; Sharma, A.; Agrawal, A. Single Relaxation Time Entropic Lattice Boltzmann Methods: A Developer’s Perspective for Stable and Accurate Simulations. Comput. Fluids 2021, 2015, 104792. [Google Scholar] [CrossRef]
- Brownlee, R.; Gorban, A.; Levesley, J. Stabilization of the lattice Boltzmann method using the Ehrenfests’ coarse-graining idea. Phys. Rev. E 2006, 74, 037703. [Google Scholar] [CrossRef]
- Brownlee, R.; Gorban, A.; Levesley, J. Nonequilibrium entropy limiters in lattice Boltzmann methods. Phys. A Stat. Mech. Its Appl. 2007, 387, 385–406. [Google Scholar] [CrossRef]
- Gorban, A.; Packwood, D. Enhancement of the stability of lattice Boltzmann methods by dissipation control. Phys. A Stat. Mech. Its Appl. 2014, 414, 285. [Google Scholar] [CrossRef]
- Latt, J.; Coreixas, C.; Beny, J.; Parmigiani, A. Efficient supersonic flow simulations using lattice Boltzmann methods based on numerical equilibria. Phil. Trans. R. Soc. 2020, 378, 20190559. [Google Scholar] [CrossRef]
- Coreixas, C.; Latt, J. Compressible lattice Boltzmann methods with adaptive velocity stencils: An interpolation-free formulation. Phys. Fluids 2020, 32, 116102. [Google Scholar] [CrossRef]
- Karlin, I.; Bösch, F.; Chikatamarla, S. Gibbs’ principle for the lattice-kinetic theory of fluid dynamics. Phys. Rev. E 2014, 90, 031302(R). [Google Scholar] [CrossRef]
- Bösch, F.; Chikatamarla, S.; Karlin, I. Entropic Multi-Relaxation Models for Simulation of Fluid Turbulence. ESAIM Proc. Surv. 2015, 52, 1. [Google Scholar] [CrossRef]
- Mattila, K.; Hegele Jr., L.; Philippi, P. Investigation of an entropic stabilizer for the lattice-Boltzmann method. Phys. Rev. E 2015, 91, 063010. [Google Scholar] [CrossRef] [PubMed]
- Wang, L. Enhanced multi-relaxation-time lattice Boltzmann model by entropic stabilizers. Phys. Rev. E 2020, 102, 023307. [Google Scholar] [CrossRef]
- Latt, J.; Chopard, B. Lattice Boltzmann method with regularized pre-collision functions. Math. Comput. Simul. 2006, 72, 165. [Google Scholar] [CrossRef]
- Chen, H.; Zhang, R.; Staroselsky, I.; Jhon, M. Recovery of full rotational invariance in lattice Boltzmann formulations for high Knudsen number flows. Phys. A Stat. Mech. Appl. 2006, 362, 125–131. [Google Scholar] [CrossRef]
- Latt, J. Hydrodynamic Limit of Lattice Boltzmann Equations. Ph.D. Thesis, University of Geneva, Geneva, Switzerland, 2007. [Google Scholar]
- Malaspinas, O. Increasing stability and accuracy of the lattice Boltzmann scheme: Recursivity and regularization. arXiv 2015, arXiv:1505.06900. [Google Scholar]
- Brogi, F.; Malaspinas, O.; Chopard, B.; Bonadonna, C. Hermite regularization of the lattice Boltzmann method for open source computational aeroacoustics. J. Acoust. Soc. Amer. 2017, 142, 2332. [Google Scholar] [CrossRef] [PubMed]
- Coreixas, C.; Wissocq, G.; Puigt, G.; Boussuge, J.F.; Sagaut, P. Recursive regularization step for high-order lattice Boltzmann methods. Phys. Rev. E 2017, 96, 033306. [Google Scholar] [CrossRef] [PubMed]
- Mattila, K.; Philippi, P.; Hegele Jr., L. High-order regularization in lattice-Boltzmann equations. Phys. Fluids 2017, 29, 046103. [Google Scholar] [CrossRef]
- Coreixas, C. High-Order Extension of the Recursive Regularized Lattice Boltzmann Method. Ph.D. Thesis, Institut National Polytechnique de Toulouse, Toulouse, France, 2018. [Google Scholar]
- Coreixas, C.; Chopard, B.; Latt, J. Comprehensive comparison of collision models in the lattice Boltzmann framework: Theoretical investigations. Phys. Rev. E 2019, 100, 033305. [Google Scholar] [CrossRef]
- Feng, Y.; Boivin, P.; Jacob, J.; Sagaut, P. Hybrid recursive regularized thermal lattice Boltzmann model for high subsonic compressible flows. J. Comput. Phys. 2019, 394, 82–99. [Google Scholar] [CrossRef]
- Chen, H.; Zhang, R.; Gopalakrishnan, P. Filtered lattice Boltzmann collision formulation enforcing isotropy and Galilean invariance. Phys. Scr. 2020, 95, 034003. [Google Scholar] [CrossRef]
- Jonnalagadda, A.; Sharma, A.; Agrawal, A. Onsager-regularized lattice Boltzmann method: A nonequilibrium thermodynamics-based regularized lattice Boltzmann method. Phys. Rev. E 2021, 104, 015313. [Google Scholar] [CrossRef] [PubMed]
- Jonnalagadda, A.; Sharma, A.; Agrawal, A. Revisiting the Lattice Boltzmann Method Through a Nonequilibrium Thermodynamics Perspective. J. Heat Transfer. 2021, 143, 052102. [Google Scholar] [CrossRef]
- Krämer, A.; Wilde, D.; Küllmer, K.; Reith, D.; Foysi, H. Pseudoentropic derivation of the regularized lattice Boltzmann method. Phys. Rev. E 2019, 100, 023302. [Google Scholar] [CrossRef]
- Coreixas, C.; Wissocq, G.; Chopard, B.; Latt, J. Impact of collision models on the physical properties and the stability of lattice Boltzmann methods. Phil. Trans. R. Soc. A 2020, 378, 20190397. [Google Scholar] [CrossRef] [PubMed]
- Wissocq, G.; Coreixas, C.; Boussuge, J.F. Linear stability and isotropy properties of athermal regularized lattice Boltzmann methods. Phys. Rev. E 2020, 102, 053305. [Google Scholar] [CrossRef] [PubMed]
- Wissocq, G.; Sagaut, P. Hydrodynamic limits and numerical errors of isothermal lattice Boltzmann schemes. J. Comput. Phys. 2022, 450, 110858. [Google Scholar] [CrossRef]
- Ilyin, O. Discrete-velocity Boltzmann model: Regularization and linear stability. Phys. Rev. E 2022, 105, 045312. [Google Scholar] [CrossRef]
- Qian, Y.H. Fractional Propagation and the Elimination of Staggered Invariants in Lattice-BGK Models. Intern. J. Mod. Phys. C 1997, 8, 753–761. [Google Scholar] [CrossRef]
- Guo, Z.; Zheng, C.; Zhao, T.S. A Lattice BGK Scheme with General Propagation. J. Sci. Comput. 2001, 16, 569–585. [Google Scholar] [CrossRef]
- Zhang, R.; Chen, H.; Qian, Y.H.; Chen, S. Effective volumetric lattice Boltzmann scheme. Phys. Rev. E 2001, 63, 056705. [Google Scholar] [CrossRef] [PubMed]
- Fan, H.; Zhang, R.; Chen, H. Extended volumetric scheme for lattice Boltzmann models. Phys. Rev. E 2006, 73, 066708. [Google Scholar] [CrossRef] [PubMed]
- Guo, X.; Shi, B.; Chai, Z. General propagation lattice Boltzmann model for nonlinear advection-diffusion equations. Phys. Rev. E 2018, 97, 043310. [Google Scholar] [CrossRef]
- Zhao, W.; Yong, W.A. Boundary Scheme for a Discrete Kinetic Approximation of the Navier–Stokes Equations. J. Sci. Comput. 2020, 82, 71. [Google Scholar] [CrossRef]
- Zhao, J.; Zhao, W.; Zhang, Z. Second-order boundary schemes for the lattice Boltzmann method with general propagation. J. Comput. Phys. 2020, 419, 109669. [Google Scholar] [CrossRef]
- Ilyin, O. Second order accurate boundary conditions for the general propagation lattice Boltzmann method. Phys. Fluids 2021, 33, 033110. [Google Scholar] [CrossRef]
- Karlin, I.; Ansumali, S.; Frouzakis, C.; Chikatamarla, S. Elements of the lattice Boltzmann method I: Linear advection equation. Commun. Comput. Phys. 2006, 1, 1–45. [Google Scholar]
- Shan, X.; Yuan, X.F.; Chen, H. Kinetic theory representation of hydrodynamics: A way beyond the Navier–Stokes equation. J. Fluid Mech. 2006, 550, 413–441. [Google Scholar] [CrossRef]
- Atif, M.; Kolluru, P.; Ansumali, S. Essentially entropic lattice Boltzmann model: Theory and simulations. arXiv 2022, arXiv:2203.12946v1. [Google Scholar]
- Topsøe, F. Some Bounds for the Logarithmic Function; University of Copenhagen: Copenhagen, Denmark, 2007; Available online: https://rgmia.org/papers/v7n2/pade.pdf (accessed on 5 September 2022).
- Packwood, D. Entropy balance and dispersive oscillations in lattice Boltzmann models. Phys. Rev. E 2009, 80, 067701. [Google Scholar] [CrossRef] [PubMed]
- Gan, Y.B.; Xu, A.G.; Zhang, G.C.; Zhang, P.; Li, Y.J. Finite-Difference Lattice Boltzmann Scheme for High-Speed Compressible Flow: Two Dimensional Case. Commun. Theor. Phys. 2008, 50, 201. [Google Scholar]
- Rostamzadeh, A.; Razavi, S.E.; Mirsajedi, S.M. Towards Multidimensional Artificially Characteristic-Based Scheme for Incompressible Thermo-Fluid Problems. Mechanika 2017, 23, 826–834. [Google Scholar] [CrossRef][Green Version]
- Dellar, P. Lattice Boltzmann algorithms without cubic defects in Galilean invariance on standard lattices. J. Comput. Phys. 2014, 259, 270–283. [Google Scholar] [CrossRef]
- Ilyin, O. Discrete Velocity Boltzmann Model for Quasi-Incompressible Hydrodynamics. Mathematics 2021, 9, 993. [Google Scholar] [CrossRef]








| Method | ||||
|---|---|---|---|---|
| LD | ||||
| EELB 1 | ||||
| EELB 3 | ||||
| ZY | ||||
| LD, | ||||
| EELB 3, |
| Model | ||||
| 1.05 | 0.98 | 1.03 | 0.91 | |
| 1.05 | 0.98 | 1.04 | 0.92 | |
| 1.05 | 0.98 | 1.16 | 1.05 | |
| 1.43 | 1.39 | 3.03 | 2.61 | |
| Model | ||||
| 0.98 | 1.05 | 0.86 | 1.03 | |
| 0.98 | 1.05 | 0.87 | 1.03 | |
| 0.98 | 1.05 | 1.01 | 1.12 | |
| 1.41 | 1.69 | 4.19 | 2.53 | |
Publisher’s Note: MDPI stays neutral with regard to jurisdictional claims in published maps and institutional affiliations. |
© 2022 by the author. Licensee MDPI, Basel, Switzerland. This article is an open access article distributed under the terms and conditions of the Creative Commons Attribution (CC BY) license (https://creativecommons.org/licenses/by/4.0/).
Share and Cite
Ilyin, O. Low Dissipative Entropic Lattice Boltzmann Method. Mathematics 2022, 10, 3928. https://doi.org/10.3390/math10213928
Ilyin O. Low Dissipative Entropic Lattice Boltzmann Method. Mathematics. 2022; 10(21):3928. https://doi.org/10.3390/math10213928
Chicago/Turabian StyleIlyin, Oleg. 2022. "Low Dissipative Entropic Lattice Boltzmann Method" Mathematics 10, no. 21: 3928. https://doi.org/10.3390/math10213928
APA StyleIlyin, O. (2022). Low Dissipative Entropic Lattice Boltzmann Method. Mathematics, 10(21), 3928. https://doi.org/10.3390/math10213928
