Abstract
In the entropic lattice Boltzmann approach, the stability properties are governed by the parameter , which in turn affects the viscosity of a flow. The variation of this parameter allows one to guarantee the fulfillment of the discrete H-theorem for all spatial nodes. In the ideal case, the alteration of from its normal value in the conventional lattice Boltzmann method () should be as small as possible. In the present work, the problem of the evaluation of securing the H-theorem and having an average value close to is addressed. The main idea is to approximate the H-function by a quadratic function on the parameter around . The entropy balance requirement leads to a closed form expression for depending on the values of the H-function and its derivatives. To validate the proposed method, several benchmark problems are considered: the Sod shock tube, the propagation of shear, acoustic waves, and doubly shear layer. It is demonstrated that the obtained formula for yields solutions that show very small excessive dissipation. The simulation results are also compared with the essentially entropic and Zhao–Yong lattice Boltzmann approaches.
MSC:
76P05; 76P99
1. Introduction
The lattice Boltzmann (LB) method has established itself as an alternative approach to the Navier–Stokes equations for the modeling of fluid motion. Due to its simplicity and high potential for parallel computing, the LB approach can be efficiently implemented in numerical solvers aimed at addressing academic and application-oriented problems [1,2,3,4]. Except for hydrodynamic problems, the LB approach has found applications in the modeling of porous media [5,6], microflows [7], multiphase, and other complex flows [8,9,10,11].
The standard realization of LB models is based on local collision and linear advection to adjacent lattice nodes in the direction of the corresponding discrete velocities. Such an approach is rather appealing due to its simplicity but is prone to instabilities when Mach () and Reynolds () numbers are increased. Hence, additional stabilization techniques are usually adopted. These can be divided into several classes.
The instabilities usually manifest in oscillations, unphysical (negative) values of the hydrodynamic variables (density), and eventually in the breakdown of the solutions. It is possible to enhance the dissipative properties (and therefore stabilize the computations) of LB models by tuning the bulk viscosity [12]. This idea is generalized in the multiple-relaxation-time (MRT) LB method [13,14,15]. The drawback of this method is that acoustic waves show over-dissipative behavior due to the increased bulk viscosity. To maintain correct dissipation rates of acoustic waves, one can adopt selective viscosity filtering [16], which suppresses only high wave-number instabilities. In this approach, viscosity becomes dependent on the values of the wave-number. A simpler way of stabilizing the simulations is enforcement of the positivity of the solutions by adapting the relaxation time in the LB models [17]. This stabilization technique is rather straightforward but is less accurate than more sophisticated methods, such as the entropic LB (ELB) method [18]. In the ELB method, the stabilization is achieved by tuning the relaxation rates in order to satisfy the H-theorem. The ELB approach requires two components [19,20]: the equilibrium state, which minimizes the H-function (entropy taken with minus sign), and the adjustable (in a special way) relaxation rate (the parameter ), which is evaluated from the significantly nonlinear entropy balance equation. Note that the standard equilibrium in the form of the polynomial function on the flow velocity is not suitable, since for this case the H-theorem is not valid [21,22]. The problem of construction of the entropic equilibrium states is non-trivial [23,24,25,26]. The solution to the entropy balance equation can be obtained by applying the Newton–Raphson method, the bisection methods [27,28,29], or a combination of the Newton–Raphson method and analytical estimates [30]. In the essentially entropic approach, the solution to the entropy balance equation, which is reformulated as an inequality, has been obtained in an exact form by exploiting Padé approximations for the logarithms entering the entropy function [31]. This method yields solutions for that have little deviation from its normal value (). The entropic approach of Zhao and Yong relies on geometric considerations [32] (secant algorithm) and gives concise closed-form expressions for . The comparison of several entropic methods has been performed recently [33]. Another class of entropic methods is based on the entropic limiters. In this approach, the non-equilibrium part of the distribution function is multiplied by a coefficient that depends on local non-equilibrium entropy [34,35,36]. This type of limiter has been successfully used for the modeling of supersonic flows with the LB method [37,38]. The entropic method can be extended for multiple relaxation time LB models. This approach uses decomposition of the distribution function into equilibrium, non-equilibrium hydrodynamic, and non-equilibrium non-hydrodynamic components. Non-equilibrium parts of the distribution function have different relaxation rates [39,40,41,42]. In order to satisfy the H-theorem, only the relaxation times for high-order moments are varied; hence, the viscosity remains unchanged.
In the regularized LB approach, the distribution function is projected onto some finite basis during each time step. The removal of the moments that cannot be described by the model leads to noticeable improvements in stability [43,44,45]. Furthermore, the concept of recursive regularization has been introduced, including thermal flows [46,47,48,49,50,51,52]. In the recursively regularized LB models, several non-equilibrium high-order moments are kept. Their values can be computed analytically as a special combination of low-order moments. In addition, variants of the regularized LB models in the relative reference frame have been proposed [53,54,55]. Note that the entropic LB and regularization methods share common features: regularized LB models maximize quadratic entropy [56]. In practice, however, the regularized LB models are usually more stable than un-regularized. Linear stability analysis shows that the regularization significantly changes the dissipation and dispersion properties of LB models [57,58,59,60]. Even more so, the regularized LB models can be unstable under some specific conditions for which un-regularized models are stable.
Another stabilization approach is focused on modification of the advection step. Employment of the standard streaming step means that the Courant number is equal to unity, and this can cause instabilities. Then, in order to reduce the Courant number, one can apply a generalized streaming step, for which the values of the distribution function in additional nodes are needed [61,62,63,64,65]. Numerical experiments indicate that the maximal stable Reynolds number for this method depends exponentially on the reduction of the Courant number. On the other hand, this method is more complicated than the standard one—for instance, the formulation of the boundary conditions requires additional efforts [66,67,68]
The aim of the present paper is to develop a variant of the entropic LB method in which the averaged deviations of the parameter from its normal value, which equals 2, are minimized. This in turn means that the variations of the viscosity are also small and the dissipation properties of the modeled system are not distorted.
This paper is organized as follows. In Section 2, the main features of the entropic LB approach are considered. The formulation of the variational problem leading to the entropic equilibrium compatible with the hydrodynamic equations is performed by applying geometrical treatments; in addition, some pitfalls of the entropic method are discussed. In Section 3, the derivation of a novel formula for is presented. Since the entropy balance equation is a nonlinear transcendental equation, one cannot find an exact analytical solution , but it is possible to obtain an approximate solution. This is performed in several steps. First, one finds an interval that contains the solution ; the lower (dissipative) bound and the upper bound of this interval are evaluated by applying Padé approximations for the logarithms. Then, the quadratic approximation of the H-function for in the interval between the lower and upper bounds is constructed, and the entropy balance equation reduces to a quadratic algebraic equation for the variable , which is solved analytically. In Section 4, the results of the numerical simulations are addressed: the shock tube problem, the propagation of shear and acoustic waves, and the doubly shear layer problem are solved by employing the essentially entropic, Zhao–Yong, and present method. In Section 5, the major results of the paper are outlined.
2. Entropic Lattice Boltzmann Method
In the present paragraph, the main ideas of the entropic lattice Boltzmann (ELB) approach are briefly recalled. The LB equation reads as follows [20]:
where are the distribution functions corresponding to the particle velocities , , are the local equilibrium distribution functions (their exact form is discussed below), are time and spatial coordinates, and is the time step. The variable is computed as
where is the relaxation time. In the standard LB method, the variable ( is also called the path length), is evaluated as , is sound speed, and is viscosity. In the ELB method, the variable is not constant and may change from node to node, and , while is the solution of the following equation:
where is a smooth convex function, . The form of the condition (2) is motivated by the following inequality:
where the convexity property for the function H was used, and the condition (2) was applied. Hence, the condition (2) guarantees the fulfillment of the H-theorem, and the entropy is increased by the collisions (the H-function is decreasing). Note that the explicit form of the function is not needed in the derivation of the H-theorem. The usual form of the H-function in the LB theory is Boltzmann-like, that is,
where are the lattice weights (discrete analogs of the absolute Maxwell distribution).
One should emphasize that the ELB approach is based on two components: the equilibrium (entropic equilibrium), which is a minimum of the H function, and a parameter , which is tuned in order to guarantee a discrete H-theorem. The presence of both components is crucial. The entropic equilibrium is a non-polynomial function of the flow velocity. For the one-dimensional three-velocity model (), the following entropic equilibrium can be used [69]:
where correspond to the particles with the velocities ; are the density and the flow velocity; and , since in the present study . The extension of the equilibrium (3)–(4) for the two-dimensional nine-velocity model () is based on the product of two equilibrium functions for the model.
The variation of the path length variable controls the dissipation properties of the flow via increase or decrease of the viscosity. Equation (2) can have solutions ; this means that the stabilization is needed and the viscosity of the flow is increased. In the case , the viscosity is decreased. In the perfect case, the alteration of from 2 should be as small as possible since this guarantees that the distortion of the viscosity of the modeled flow is minimal.
Following the previous studies, it would be convenient to introduce a scalar product as follows:
where are two vectors with the components . Then, the macroscopic variables—density , momentum —can be computed as
where denotes the spatial coordinates .
Note that in terms of the introduced scalar products, the H-function can rewritten as follows:
where .
The formulation of the problem for finding has some subtleties. It would be instructive to consider this problem in detail. For athermal flows, the hydrodynamic fields and are conserved during the collisions, but the energy is not a collision invariant. Then, quantities remain unchanged due to collisions, where D is the number of spatial dimensions. For a given and , the discrete distribution functions define a manifold denoted by S in , an the dimension of S equals . The entropic local equilibrium state is then a point in S for which a minimum of is attained. One has the following:
where denote the constraints . It is important to mention that it is not correct to replace by in the constraints in Equation (5).
The geometrical interpretation of the problem is presented in Figure 1. Consider a point in S, and let be a curve in S parameterized by such that . By applying the Taylor expansion one obtains the following:
where is a vector in the tangent space defined as to the manifold S at the point . Now, assume that is a minimum of ; then,
Figure 1.
Contour lines of the function , the constraints surface , the elements of the tangent spaces , and the complement to the tangent space are presented.
On the other hand,
where . Finally, one gets
Hence, belongs to an orthogonal complement to the tangent space , which is defined as , and obviously . Remember that the manifold S is specified by the conditions ; then, are normal vectors to S, and they can be considered as a basis in . Therefore,
where are expansion coefficients, which can be recognized as Lagrange multipliers.
Equation (6) is solved jointly with the constraints . Not all equilibrium states are allowed from the physical point of view. Obviously, the considered model should lead to correct hydrodynamics. In order to recover Navier–Stokes equations (at least with error), it is sufficient to include the following additional condition [70]:
It is worth emphasizing that one cannot replace by in Equation (7), since the condition (7) holds only for the equilibrium part of the distribution function. The equilibrium distribution function, which also respects the condition (7), is termed perfect.
The form of the solution for the problem (5), (7) depends on the particular choice of . As has been mentioned before, the Boltzmann is the most popular variant. However, one may consider a simpler variant—quadratic entropy, which takes the following form:
This function plays a role in the regularization of LB models, namely, regularized LB models minimize the quadratic H-function [56]. It is tempting to apply quadratic entropy in the ELB approach. Firstly, consider the Equation (2) in the form of equality. The solution is as follows [69]:
Hence, one has a closed-form expression for that exactly solves the entropy balance equation. Next, one needs to find the equilibrium states from the problem (5). From (5) and (6), one gets the following:
The obtained equilibrium depends linearly on the flow velocity ; hence, it cannot be perfect. In addition, as was mentioned in the previous studies [69], this equilibrium admits negative values, and this can lead to negative density. As a final remark, it can be argued that some caution is necessary in the selection of the H-function and the local equilibrium in the ELB method. In the present study, the equilibrium (3)–(4) is used, which is entropic (minimizes Boltzmann H-function) and perfect.
3. Low-Dissipative ELB Method
For the Boltzmann entropy, the Equation (2)
is rewritten as [31,71]
where the variable measures the departure from the local equilibrium
and has the components . It would be convenient to introduce the following scalar products:
where are two vectors with the components . The general idea for solving Equation (2) or (8) is as follows. At the first step, the bounds for the minimal values of denoted as () are evaluated from (8). At the second step, the upper bounds for denoted as () are computed. Next, the function is approximated by a quadratic function of the variable in the interval , and a similar approximation is performed in the interval . Finally, the estimates for (termed low-dissipative) are evaluated by solving a quadratic equation. The geometric interpretation of the proposed method is presented in Figure 2.
Figure 2.
The geometric interpretation of the present method; and are quadratic approximations of in the intervals and .
3.1. Bounds for the Logarithm
To obtain the values of , one needs to find lower and upper bounds of the logarithm. The most natural way of doing this is to apply the Padé approximations, which are based on rational functions. Such an approach has been used in the essentially entropic LB method [31,71]. Following Topsøe [72], one has a chain of inequalities for as follows:
where the first lower approximants in (9) are given by
and the first upper approximants are
In order to derive the bounds for , the duality between functions in the intervals and is introduced. For the function , the dual function is defined by the rule
It is obvious that maps onto . Note that the dual function for is (i.e., this function is self-dual). Therefore, the following inequalities are obtained for by applying the duality properties to (9)
In addition, the following inequality is valid for any :
where
In the present study, it would be convenient to apply the following upper bound for instead of :
3.2. Evaluation of
The value of is obtained as a particular solution of (8). For the present method, it serves as a lower bound. Note that can be used as a stabilizer for LB models, but in practice, it leads to dissipative behavior.
Consider the Equation (8). Since is not inside the logarithmic function in the right hand side of (8), approximation of only the left-hand side is needed. Assume that one finds a function such that
for ; then, the fulfillment of means that the inequality (8) is satisfied.
For the second term, the inequality (12) for is applied.
Now, one can prove the following:
Lemma 1.
If α satisfies (15), then .
Proof.
Note that from (11), it follows that . In addition, since , . One has
□
Applying Lemma 1, one has for the left-hand side of (15)
Finally, redefining the function as , one finds the value of as
3.3. Evaluation of
From the condition , one obtains the upper bound [28] for the variable as follows:
In the present paragraph, an additional upper bound defined as is evaluated. Assume that one finds a function such that
for all . Then, the solution to the equation defines the upper bound. One has
Note that has been used. Then,
3.4. Explicit Formula for
In this paragraph, the quadratic on functions, which serve as an upper bound for in the interval , where , are constructed (Figure 2).
First, assume that the flow is far from equilibrium and , defined by Equation (17), is smaller than 2. In this case, as a solution of (8), the value , where , defined by (16), is taken. In practice, this is a very rare event.
Consider the case and , then the solution of Equation (8) belongs to the interval . Consider the Taylor expansion of the function at with the residual in the form of Lagrange, as follows:
where . Then, is in the interval . Note that
Let us construct the function as
where
Next, consider the case and ; then, . If , then is adopted as a solution of Equation (8). If , then, similarly to the previous case, the function is introduced, as follows:
where
Finally, is computed as a solution of the quadratic equation or .
4. Numerical Experiments
In the present paragraph, the numerical solutions of several test problems are considered: the Sod shock tube, the propagation of shear waves and acoustic waves for different angles between a flow direction vector and a perturbation wave-vector, and the double shear layer. The results are obtained with use of the following entropic LB methods: essentially entropic (EELB) of the first order (used only for Sod shock tube) and the third order [31], the method of Zhao and Yong (ZY) [32], the lower bound evaluated from (16) (used only for the Sod shock tube), and the method described in Proposition 1, defined hereafter as the low-dissipative (LD). During the simulations, the following variables are recorded: the mean, minimal value of measured over the modeled spatial domain at some moment of time t
and deviations of from 2 in the form
where denotes spatial nodes, n is the number of the spatial nodes, and, for all modeled problems, is used. For convenience, the list of main notations is also given in Appendix A, Table A1.
4.1. Shock Tube
The first test problem is the athermal one-dimensional Sod shock tube. The initial condition is a step density profile: , (i.e., the initial density ratio is 3:1), and H is the length of the domain. For this problem, a grid consisting of 500 spatial nodes is used, and the viscosity is . Since the problem is one-dimensional, the LB model is applied. The equilibrium is taken in the form (3)–(4).
The simulation results for the different entropic LB methods are presented in Figure 3 at the time step . As expected, the density profiles show oscillations [73], and the amplitudes of the oscillations are larger for the less dissipative methods. The first-order EELB method leads to the smallest average values of (and potentially to the largest dissipation), followed by the method based on from (16), and the method of Zhao and Yong. LD and the third-order EELB are the least dissipative. Moreover, the LD method has the closest to 2 average value of , that is, it produces the smallest amount of additional dissipation compared to the other methods, but has the largest variations of , since relatively large values of are observed (Table 1). Remember that the condition means that the viscosity is decreased. Note that the dispersive oscillations, which are typical for the ELB method, can be removed by applying LB models with additional artificial viscosity and dispersion terms [74]. In addition, it would be interesting to compare the accuracy of the LB schemes with Navier–Stokes numerical solvers without artificial viscosity [75].
Figure 3.
Sod shock tube. The density profiles (left) and (right) are presented. From upper to lower slides: (a) defined by (16); (b) LD method (Proposition 1); (c) first-order EELB method; (d) third-order EELB method; (e) Zhao–Yong method; dashed (red) line is the analytical solution.
Table 1.
Sod shock tube. The parameters defined by (23)–(25) are presented; denotes the method based on Equation (16); LD is the low-dissipative entropic method described in the Proposition 1; EELB 1 is the first-order EELB method; EELB 3 is the third-order EELB method; ZY is the method of Zhao and Yong; LD, EELB 3, are the low-dissipative entropic and the third-order EELB methods for which is bounded by 2.
Note that the methods in which cannot exceed 2 tend to have smaller values of . Then, in order to test the models under the same conditions, the following experiment has been performed: for the third-order EELB and the present LD method, the variable has been bounded by 2 in the simulations. In this case, these models show significantly smaller values of variances (Table 1). The methods based on from (16) and the first-order EELB give the least accurate solutions to the entropy balance equations and serve as predictors for the LD and third-order EELB methods. In subsequent problems, only the latter approaches are addressed.
4.2. Shear Waves
The simulation of shear waves serves as an excellent test for the assessment of the dissipative properties of the LB models and validation of the linear stability analysis predictions [58]. For this problem, a periodic two-dimensional spatial domain is considered, the initial conditions for the hydrodynamic fields are as follows:
where , is the flow Mach number, , is the perturbation wave-number, and . In addition, the following variable is introduced: . It would be convenient to introduce the time variable in the form (the Fourier number).
The first considered case for the problem (26)–(28) is as follows: and , is constant, and depends only on x. The size of the spatial domain is for this case. In addition, , this means that the perturbation wavelength equals 8 spacings between lattice nodes. The Navier–Stokes equations have the following solution for the velocity :
The simulation results are shown in Figure 4 for and (left slides).
Figure 4.
Shear waves, upper slides: , lower slides: ; left slides: ; and the right slides: . LD is the low-dissipative entropic method described in Proposition 1; EELB 3 is the third-order EELB method; ZY is the method of Zhao and Yong. The Navier–Stokes solutions are denoted as: (−).
The second case is . The simulation spatial domain contains nodes. Interestingly, this problem is unstable for the third-order recursively regularized LB model [58]. In the present study, all the entropic models are stable but have different dissipation properties. The results are depicted in Figure 4 (right slides).
The ratios (termed effective viscosity, where is the viscosity measured during the numerical simulations, and is the theoretical viscosity) are shown in Table 2 for both considered cases. Clearly, from the results in Figure 4 and Table 2 one can see that the present LD method has the smallest dissipation among all considered entropic approaches and gives the values of closest to the ones for the conventional model (). It is important to mention that for the model, the viscosity decreases if the flow velocity is increased [76]. Such a behavior is stipulated by the cubic defects ( ), which enter the Navier–Stokes equations derived from low-order LB models like [70,76,77]. This effect is seen in Table 2 and Table 3. The magnitude of the effective viscosity tends to be smaller than unity for the model.
Table 2.
Shear waves, the ratios ( is the viscosity measured during the numerical simulations, is the theoretical viscosity) are presented. is the standard LB method; LD is the low-dissipative entropic method described in Proposition 1; EELB 3 is the third-order EELB method; ZY is the method of Zhao and Yong.
Table 3.
Acoustic waves, the ratios ( is the viscosity measured during the numerical simulations, is the theoretical viscosity) are presented. is the standard LB method; LD is the low-dissipative entropic method described in Proposition 1; EELB 3 is the third-order EELB method; ZY is the method of Zhao and Yong.
4.3. Acoustic Waves
This problem involves the variations of density. The initial conditions are given by the following expressions [58]:
In the simulations, the following values of the parameters are adopted: , , , .
Similarly to the previous case, the problem (29)–(31) is solved for two combinations of . The spatial domain is considered as periodic, and the size of the domain is taken as . Initially, the case and is considered. The results are plotted in Figure 5 (left slides). Next, the results of the simulations for the inclined acoustic waves are presented in Figure 5 (right slides). Again, the application of the LD method only slightly varies the dissipation properties compared to the standard LB model results (Table 3).
Figure 5.
Acoustic waves, upper slides: , lower slides: ; left slides: and the right slides: . LD is the low-dissipative entropic method described in Proposition 1; EELB 3 is the third-order EELB method; ZY is the method of Zhao and Yong. The Navier–Stokes solutions are denoted as: (−).
In conclusion, one can notice that the considered entropic methods are significantly better suited for the modeling of shear and acoustic waves than the regularized LB models [58,60] due to the relatively small deviations of the measured efficient viscosities from the theoretical values.
4.4. Double Shear Layer
In this problem, a flow in a doubly periodic two-dimensional square domain of a size is considered. The initial conditions for the flow velocities are defined as follows:
where the parameters are as follows:
The initial density equals 1, and the Reynolds number is where is the viscosity.
Note that the form of the initial distribution function noticeably affects the dissipation properties of the flow, so in order to avoid initial spurious oscillations, the distribution function at is initialized in the regularized form , where the elements of the stress tensor entering the non-equilibrium component of the distribution function are computed by applying finite-difference approximations [41] of .
The numerical simulations of the problem (32)–(34) are performed for and . This means that the Mach number equals . It is convenient to introduce the characteristic time variable (convection time) as . The flow is assumed to be stable if the solutions remain finite in the time interval .
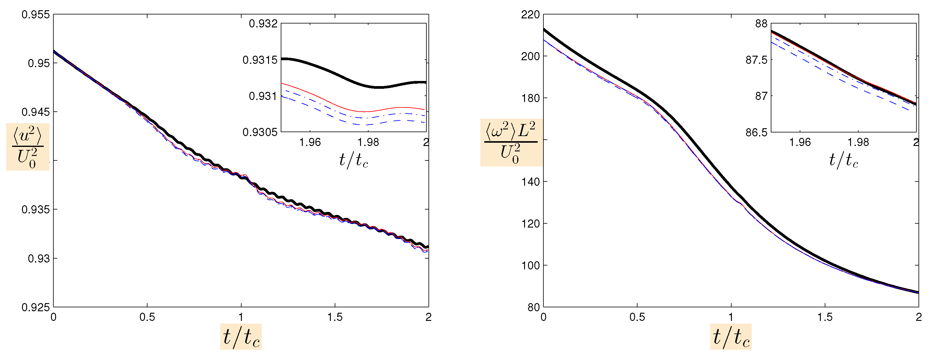
The sensitivity of the entropic methods to the grid resolution can be tested for the present problem. For coarse meshes and , the third-order EELB, Zhao-Yong, and LD methods show qualitatively correct results but produce spurious vortices. These vortices may lead to blow-up instabilities, but in the present case, the solutions are finite because the fulfillment of the entropy balance equation suppresses unstable oscillations. Note that the standard model () is unstable for grid resolutions of and . For grid resolutions larger than , spurious vortices are not observed, and all approaches produce accurate vortical profiles. In the case of the spatial resolution , the normalized vorticity profiles are presented for the all considered methods at in Figure 6. One can observe that all approaches give very similar results. Next, the time histories of the variables of and are presented in Figure 7. Clearly, the LD method gives the smallest average values of among the all considered methods. In addition, the LD method shows smaller variances than the third-order EELB method.
Figure 6.
Double shear layer. The grid resolution is , . The normalized vorticity plots are presented at the moment of time ; LD is the low-dissipative entropic method described in Proposition 1; EELB 3 is the third-order EELB method; ZY is the method of Zhao and Yong.
Figure 7.
Double shear layer. The grid resolution is , . The time histories of the variables and are presented; the low-dissipative entropic method is denoted by a red line (−); the third-order EELB method is denoted by a black line (−); the method of Zhao and Yong is denoted by a blue line (−)..
Finally, the evolution of the following variables is considered: the averaged on the spatial variables kinetic energy normalized on and the averaged on the spatial variables squared vorticity (enstrophy) normalized on . As a benchmark, the simulation results based on the standard LB model for a grid with the resolution are taken (these simulations are stable). From Figure 8, one can observe that all entropic methods show similar results: they are close to the benchmark solution but more dissipative to some extent than the benchmark solution, which uses well-resolved grid. In addition, the LD method is slightly less dissipative than the other entropic treatments.
Figure 8.
Double shear layer, . The kinetic energy (upper plot) and squared vorticity (lower plot) are presented. The benchmark solution is denoted as ; the low-dissipative entropic method is denoted as (−); the third-order EELB method is denoted as (− −); the method of Zhao and Yong is denoted as (− · −). For all entropic models, the grid resolution is .
4.5. Performance
The performance of the considered entropic stabilization approaches is affected by the implementation details and the modeled problems. For instance, the method of Zhao and Yong is applied only for the nodes in which the H-theorem is violated. Therefore, this method can be faster than the others if the proportion of the spatial nodes prone to instabilities is small. On the other hand, the Zhao and Yong and the present low-dissipative methods exploit the values of the H-function, which require the computation of logarithms; the latter is relatively slow operation. On average, the LB model stabilized by the considered entropic techniques is approximately two to three times slower than the LB model without additional stabilization. For example, for the shear waves, the Zhao and Yong method is times slower than the conventional model followed by the low-disspative and essentially entropic methods, which are times slower than the conventional model. For acoustic waves, the methods of Zhao-Yong, low-dissipative, and essentially entropic are , and times slower than the conventional model. Note that, in the present study, the simulations are performed with use of self-standing C++ code (and the figures are generated with use of MATLAB). In order to increase the speed of code execution, the dynamic arrays, such as vector class from the standard C++ library, are avoided in the parts of the code related to the entropic stabilizers.
5. Conclusions
In the present study, a novel approach for finding the solutions to the entropy balance Equation (2) is proposed: by employing the bounds for the logarithms, the H-function is approximated by quadratic function on the variable around ; then, the solution for is obtained analytically from the quadratic algebraic equation. The proposed stabilization technique (termed as low-dissipative) is very "mild” (i.e., the departure of from its normal value 2 is small). Therefore, the injection of the additional dissipation in the modeled systems is very moderate.
In order to validate the developed method, the following test problems have been considered: the shock tube problem, the propagation of shear waves, acoustic waves, and doubly shear layer problem. In addition, for comparison purposes, these problems have been also solved employing the approaches in which is given in the form of a closed analytical expression: the essentially entropic LB method [31] and the method of Zhao and Yong [32]. For all problems, the presented method gives the solutions for that are closest to its normal value 2. For the Sod shock tube problem, one can notice that all entropic methods lead to dispersive oscillations near shock. This behavior is typical for these models [73]. The entropic methods for which alpha is close to 2 (such as essentially entropic and the present approach) show larger oscillations than more dissipative methods. In addition, it has been shown that, compared to the regularized LB models, the present entropic method is able to reproduce correct attenuation rates for shear and acoustic waves for relatively coarse grids (8–16 nodes per wavelength).
Funding
This work is supported by the Ministry of Science and Higher Education of the Russian Federation, Project No. 075-15-2020-799.
Data Availability Statement
The simulation code that supports the findings of this study is available from the author upon reasonable request.
Conflicts of Interest
The author declares no conflict of interest.
Abbreviations
The following abbreviations are used in this manuscript:
| ELB | Entropic lattice Boltzmann |
| EELB | Essentially entropic lattice Boltzmann |
| LB | Lattice Boltzmann |
| LD | Low dissipative |
| ZY | Zhao Yong |
Appendix A
For the sake of clarity, a table containing the main used notations and their corresponding explanations is presented.
Table A1.
List of main notations.
Table A1.
List of main notations.
| Notation | Formula | Explanation |
|---|---|---|
| lower bound for | ||
| upper bound for | ||
| upper bound for | ||
| average value of over spatial domain | ||
| minimal value of in spatial domain | ||
| deviations of from 2 in the spatial domain | ||
| deviations of from 2 in the spatial domain |
References
- Qian, Y.H.; d’Humières, D.; Lallemand, P. Lattice BGK Models for Navier Stokes Equation. Europhys. Lett. 1992, 17, 479–484. [Google Scholar] [CrossRef]
- Guo, Z.; Shu, C. Lattice Boltzmann Method and Its Applications in Engineering; World Scientific Publishing Company: Singapore, 2013. [Google Scholar]
- Krüger, T.; Kusumaatmaja, H.; Kuzmin, A.; Shardt, O.; Silva, G.; Viggen, E. The Lattice Boltzmann Method. Principles and Practice; Springer: Berlin/Heidelberg, Germany, 2017. [Google Scholar]
- Succi, S. The Lattice Boltzmann Equation: For Complex States of Flowing Matter; Oxford University Press: Oxford, UK, 2018. [Google Scholar]
- Jourabian, M.; Darzi, A.A.R.; Toghraie, D.; ali Akbari, O. Melting process in porous media around two hot cylinders: Numerical study using the lattice Boltzmann method. Phys. A Stat. Mech. Its Appl. 2018, 509, 316. [Google Scholar] [CrossRef]
- Zhu, L.; Zhang, H.; Xiao, L.; Bazylak, A.; Gao, X.; Sui, P.C. Pore-scale modeling of gas diffusion layers: Effects of compression on transport properties. J. Power Sources 2021, 496, 229822. [Google Scholar] [CrossRef]
- Suga, K. Lattice Boltzmann methods for complex micro-flows: Applicability and limitations for practical applications. Fluid Dyn. Res. 2013, 45, 034501. [Google Scholar] [CrossRef]
- Mazloomi, A.; Chikatamarla, S.S.; Karlin, I. Entropic Lattice Boltzmann Method for Multiphase Flows. Phys. Rev. Lett. 2015, 114, 174502. [Google Scholar] [CrossRef] [PubMed]
- Nemati, M.; Shateri Najaf Abady, A.R.; Toghraie, D.; Karimipour, A. Numerical investigation of the pseudopotential lattice Boltzmann modeling of liquid-vapor for multi-phase flows. Phys. A Stat. Mech. Its Appl. 2018, 489, 65. [Google Scholar] [CrossRef]
- Toghaniyan, A.; Zarringhalam, M.; Akbari, O.A.; Sheikh Shabani, G.A.; Toghraie, D. Application of lattice Boltzmann method and spinodal decomposition phenomenon for simulating two-phase thermal flows. Phys. A Stat. Mech. Its Appl. 2018, 509, 673–689. [Google Scholar] [CrossRef]
- Ahmadi Balootaki, A.; Karimipour, A.; Toghraie, D. Nano scale lattice Boltzmann method to simulate the mixed convection heat transfer of air in a lid-driven cavity with an endothermic obstacle inside. Phys. A Stat. Mech. Its Appl. 2018, 508, 681–701. [Google Scholar] [CrossRef]
- Dellar, P. Bulk and shear viscosities in lattice Boltzmann equations. Phys. Rev. E 2001, 64, 031203. [Google Scholar] [CrossRef]
- Lallemand, P.; Luo, L.S. Theory of the lattice Boltzmann method: Dispersion, dissipation, isotropy, Galilean invariance, and stability. Phys. Rev. E 2000, 61, 6546. [Google Scholar] [CrossRef]
- d’Humières, D.; Ginzburg, I.; Krafczyk, M.; Lallemand, P.; Luo, L.S. Multiple–relaxation–time lattice Boltzmann models in three dimensions. Phil. Trans. R. Soc. Lond. 2002, 360, 437. [Google Scholar] [CrossRef]
- Lallemand, P.; Luo, L.S. Theory of the lattice Boltzmann method: Acoustic and thermal properties in two and three dimensions. Phys. Rev. E 2003, 68, 036706. [Google Scholar] [CrossRef] [PubMed]
- Ricot, D.; Marié, S.; Sagaut, P.; Bailly, C. Lattice Boltzmann method with selective viscosity filter. J. Comp. Phys. 2009, 228, 4478. [Google Scholar] [CrossRef]
- Li, Y.; Shock, R.; Zhang, R.; Chen, H. Numerical study of flow past an impulsively started cylinder by the lattice-Boltzmann method. J. Fluid Mech. 2004, 519, 273–300. [Google Scholar] [CrossRef]
- Tosi, F.; Ubertini, S.; Succi, S.; Chen, H.; Karlin, I. Numerical stability of Entropic versus positivity-enforcing Lattice Boltzmann schemes. Math. Comput. Simul. 2006, 72, 227–231. [Google Scholar] [CrossRef]
- Karlin, I.; Succi, S.; Chikatamarla, S. Comment on “Numerics of the lattice Boltzmann method: Effects of collision models on the lattice Boltzmann simulations”. Phys. Rev. E 2011, 84, 068701. [Google Scholar] [CrossRef]
- Karlin, I.; Bösch, F.; Chikatamarla, S.; Succi, S. Entropy-Assisted Computing of Low-Dissipative Systems. Entropy 2015, 17, 8099. [Google Scholar] [CrossRef]
- Yong, W.A.; Luo, L.S. Nonexistence of H theorems for the athermal lattice Boltzmann models with polynomial equilibria. Phys. Rev. E 2003, 67, 051105. [Google Scholar] [CrossRef] [PubMed]
- Yong, W.A.; Luo, L.S. Nonexistence of H Theorem for some Lattice Boltzmann models. J. Stat. Phys. 2005, 121, 91. [Google Scholar] [CrossRef]
- Karlin, I.; Succi, S. Equilibria for discrete kinetic equations. Phys. Rev. E 1998, 58, R4053. [Google Scholar] [CrossRef]
- Karlin, I.; Gorban, A.; Succi, S.; Boffi, V. Maximum Entropy Principle for Lattice Kinetic Equations. Phys. Rev. Lett. 1998, 81, 6–9. [Google Scholar] [CrossRef]
- Karlin, I.; Ferrante, A.; Öttinger, H. Perfect entropy functions of the Lattice Boltzmann method. Europhys. Lett. 1999, 47, 182–188. [Google Scholar] [CrossRef]
- Ansumali, S.; Karlin, I.; Öttinger, H. Minimal entropic kinetic models for hydrodynamics. Europhys. Lett. 2003, 63, 798–804. [Google Scholar] [CrossRef]
- Ansumali, S.; Karlin, I. Stabilization of the lattice Boltzmann method by the H theorem: A numerical test. Phys. Rev E 2000, 62, 7999. [Google Scholar] [CrossRef] [PubMed]
- Ansumali, S.; Karlin, I. Entropy Function Approach to the Lattice Boltzmann Method. J. Stat. Phys. 2002, 107, 291. [Google Scholar] [CrossRef]
- Tosi, F.; Ubertini, S.; Succi, S.; Karlin, I. Optimization Strategies for the Entropic Lattice Boltzmann Method. J. Sci. Comput. 2007, 30, 369–387. [Google Scholar] [CrossRef]
- Chikatamarla, S.; Ansumali, S.; Karlin, I. Entropic Lattice Boltzmann Models for Hydrodynamics in Three Dimensions. Phys. Rev. Lett. 2006, 97, 010201. [Google Scholar] [CrossRef]
- Atif, M.; Kolluru, P.; Thantanapally, C.; Ansumali, S. Essentially Entropic Lattice Boltzmann Model. Phys. Rev. Lett. 2017, 119, 240602. [Google Scholar] [CrossRef]
- Zhao, W.; Yong, W.A. Relaxation-rate formula for the entropic lattice Boltzmann method. Chin. Phys. B 2019, 28, 114701. [Google Scholar] [CrossRef]
- Jonnalagadda, A.; Sharma, A.; Agrawal, A. Single Relaxation Time Entropic Lattice Boltzmann Methods: A Developer’s Perspective for Stable and Accurate Simulations. Comput. Fluids 2021, 2015, 104792. [Google Scholar] [CrossRef]
- Brownlee, R.; Gorban, A.; Levesley, J. Stabilization of the lattice Boltzmann method using the Ehrenfests’ coarse-graining idea. Phys. Rev. E 2006, 74, 037703. [Google Scholar] [CrossRef]
- Brownlee, R.; Gorban, A.; Levesley, J. Nonequilibrium entropy limiters in lattice Boltzmann methods. Phys. A Stat. Mech. Its Appl. 2007, 387, 385–406. [Google Scholar] [CrossRef]
- Gorban, A.; Packwood, D. Enhancement of the stability of lattice Boltzmann methods by dissipation control. Phys. A Stat. Mech. Its Appl. 2014, 414, 285. [Google Scholar] [CrossRef]
- Latt, J.; Coreixas, C.; Beny, J.; Parmigiani, A. Efficient supersonic flow simulations using lattice Boltzmann methods based on numerical equilibria. Phil. Trans. R. Soc. 2020, 378, 20190559. [Google Scholar] [CrossRef]
- Coreixas, C.; Latt, J. Compressible lattice Boltzmann methods with adaptive velocity stencils: An interpolation-free formulation. Phys. Fluids 2020, 32, 116102. [Google Scholar] [CrossRef]
- Karlin, I.; Bösch, F.; Chikatamarla, S. Gibbs’ principle for the lattice-kinetic theory of fluid dynamics. Phys. Rev. E 2014, 90, 031302(R). [Google Scholar] [CrossRef]
- Bösch, F.; Chikatamarla, S.; Karlin, I. Entropic Multi-Relaxation Models for Simulation of Fluid Turbulence. ESAIM Proc. Surv. 2015, 52, 1. [Google Scholar] [CrossRef]
- Mattila, K.; Hegele Jr., L.; Philippi, P. Investigation of an entropic stabilizer for the lattice-Boltzmann method. Phys. Rev. E 2015, 91, 063010. [Google Scholar] [CrossRef] [PubMed]
- Wang, L. Enhanced multi-relaxation-time lattice Boltzmann model by entropic stabilizers. Phys. Rev. E 2020, 102, 023307. [Google Scholar] [CrossRef]
- Latt, J.; Chopard, B. Lattice Boltzmann method with regularized pre-collision functions. Math. Comput. Simul. 2006, 72, 165. [Google Scholar] [CrossRef]
- Chen, H.; Zhang, R.; Staroselsky, I.; Jhon, M. Recovery of full rotational invariance in lattice Boltzmann formulations for high Knudsen number flows. Phys. A Stat. Mech. Appl. 2006, 362, 125–131. [Google Scholar] [CrossRef]
- Latt, J. Hydrodynamic Limit of Lattice Boltzmann Equations. Ph.D. Thesis, University of Geneva, Geneva, Switzerland, 2007. [Google Scholar]
- Malaspinas, O. Increasing stability and accuracy of the lattice Boltzmann scheme: Recursivity and regularization. arXiv 2015, arXiv:1505.06900. [Google Scholar]
- Brogi, F.; Malaspinas, O.; Chopard, B.; Bonadonna, C. Hermite regularization of the lattice Boltzmann method for open source computational aeroacoustics. J. Acoust. Soc. Amer. 2017, 142, 2332. [Google Scholar] [CrossRef] [PubMed]
- Coreixas, C.; Wissocq, G.; Puigt, G.; Boussuge, J.F.; Sagaut, P. Recursive regularization step for high-order lattice Boltzmann methods. Phys. Rev. E 2017, 96, 033306. [Google Scholar] [CrossRef] [PubMed]
- Mattila, K.; Philippi, P.; Hegele Jr., L. High-order regularization in lattice-Boltzmann equations. Phys. Fluids 2017, 29, 046103. [Google Scholar] [CrossRef]
- Coreixas, C. High-Order Extension of the Recursive Regularized Lattice Boltzmann Method. Ph.D. Thesis, Institut National Polytechnique de Toulouse, Toulouse, France, 2018. [Google Scholar]
- Coreixas, C.; Chopard, B.; Latt, J. Comprehensive comparison of collision models in the lattice Boltzmann framework: Theoretical investigations. Phys. Rev. E 2019, 100, 033305. [Google Scholar] [CrossRef]
- Feng, Y.; Boivin, P.; Jacob, J.; Sagaut, P. Hybrid recursive regularized thermal lattice Boltzmann model for high subsonic compressible flows. J. Comput. Phys. 2019, 394, 82–99. [Google Scholar] [CrossRef]
- Chen, H.; Zhang, R.; Gopalakrishnan, P. Filtered lattice Boltzmann collision formulation enforcing isotropy and Galilean invariance. Phys. Scr. 2020, 95, 034003. [Google Scholar] [CrossRef]
- Jonnalagadda, A.; Sharma, A.; Agrawal, A. Onsager-regularized lattice Boltzmann method: A nonequilibrium thermodynamics-based regularized lattice Boltzmann method. Phys. Rev. E 2021, 104, 015313. [Google Scholar] [CrossRef] [PubMed]
- Jonnalagadda, A.; Sharma, A.; Agrawal, A. Revisiting the Lattice Boltzmann Method Through a Nonequilibrium Thermodynamics Perspective. J. Heat Transfer. 2021, 143, 052102. [Google Scholar] [CrossRef]
- Krämer, A.; Wilde, D.; Küllmer, K.; Reith, D.; Foysi, H. Pseudoentropic derivation of the regularized lattice Boltzmann method. Phys. Rev. E 2019, 100, 023302. [Google Scholar] [CrossRef]
- Coreixas, C.; Wissocq, G.; Chopard, B.; Latt, J. Impact of collision models on the physical properties and the stability of lattice Boltzmann methods. Phil. Trans. R. Soc. A 2020, 378, 20190397. [Google Scholar] [CrossRef] [PubMed]
- Wissocq, G.; Coreixas, C.; Boussuge, J.F. Linear stability and isotropy properties of athermal regularized lattice Boltzmann methods. Phys. Rev. E 2020, 102, 053305. [Google Scholar] [CrossRef] [PubMed]
- Wissocq, G.; Sagaut, P. Hydrodynamic limits and numerical errors of isothermal lattice Boltzmann schemes. J. Comput. Phys. 2022, 450, 110858. [Google Scholar] [CrossRef]
- Ilyin, O. Discrete-velocity Boltzmann model: Regularization and linear stability. Phys. Rev. E 2022, 105, 045312. [Google Scholar] [CrossRef]
- Qian, Y.H. Fractional Propagation and the Elimination of Staggered Invariants in Lattice-BGK Models. Intern. J. Mod. Phys. C 1997, 8, 753–761. [Google Scholar] [CrossRef]
- Guo, Z.; Zheng, C.; Zhao, T.S. A Lattice BGK Scheme with General Propagation. J. Sci. Comput. 2001, 16, 569–585. [Google Scholar] [CrossRef]
- Zhang, R.; Chen, H.; Qian, Y.H.; Chen, S. Effective volumetric lattice Boltzmann scheme. Phys. Rev. E 2001, 63, 056705. [Google Scholar] [CrossRef] [PubMed]
- Fan, H.; Zhang, R.; Chen, H. Extended volumetric scheme for lattice Boltzmann models. Phys. Rev. E 2006, 73, 066708. [Google Scholar] [CrossRef] [PubMed]
- Guo, X.; Shi, B.; Chai, Z. General propagation lattice Boltzmann model for nonlinear advection-diffusion equations. Phys. Rev. E 2018, 97, 043310. [Google Scholar] [CrossRef]
- Zhao, W.; Yong, W.A. Boundary Scheme for a Discrete Kinetic Approximation of the Navier–Stokes Equations. J. Sci. Comput. 2020, 82, 71. [Google Scholar] [CrossRef]
- Zhao, J.; Zhao, W.; Zhang, Z. Second-order boundary schemes for the lattice Boltzmann method with general propagation. J. Comput. Phys. 2020, 419, 109669. [Google Scholar] [CrossRef]
- Ilyin, O. Second order accurate boundary conditions for the general propagation lattice Boltzmann method. Phys. Fluids 2021, 33, 033110. [Google Scholar] [CrossRef]
- Karlin, I.; Ansumali, S.; Frouzakis, C.; Chikatamarla, S. Elements of the lattice Boltzmann method I: Linear advection equation. Commun. Comput. Phys. 2006, 1, 1–45. [Google Scholar]
- Shan, X.; Yuan, X.F.; Chen, H. Kinetic theory representation of hydrodynamics: A way beyond the Navier–Stokes equation. J. Fluid Mech. 2006, 550, 413–441. [Google Scholar] [CrossRef]
- Atif, M.; Kolluru, P.; Ansumali, S. Essentially entropic lattice Boltzmann model: Theory and simulations. arXiv 2022, arXiv:2203.12946v1. [Google Scholar]
- Topsøe, F. Some Bounds for the Logarithmic Function; University of Copenhagen: Copenhagen, Denmark, 2007; Available online: https://rgmia.org/papers/v7n2/pade.pdf (accessed on 5 September 2022).
- Packwood, D. Entropy balance and dispersive oscillations in lattice Boltzmann models. Phys. Rev. E 2009, 80, 067701. [Google Scholar] [CrossRef] [PubMed]
- Gan, Y.B.; Xu, A.G.; Zhang, G.C.; Zhang, P.; Li, Y.J. Finite-Difference Lattice Boltzmann Scheme for High-Speed Compressible Flow: Two Dimensional Case. Commun. Theor. Phys. 2008, 50, 201. [Google Scholar]
- Rostamzadeh, A.; Razavi, S.E.; Mirsajedi, S.M. Towards Multidimensional Artificially Characteristic-Based Scheme for Incompressible Thermo-Fluid Problems. Mechanika 2017, 23, 826–834. [Google Scholar] [CrossRef][Green Version]
- Dellar, P. Lattice Boltzmann algorithms without cubic defects in Galilean invariance on standard lattices. J. Comput. Phys. 2014, 259, 270–283. [Google Scholar] [CrossRef]
- Ilyin, O. Discrete Velocity Boltzmann Model for Quasi-Incompressible Hydrodynamics. Mathematics 2021, 9, 993. [Google Scholar] [CrossRef]
Publisher’s Note: MDPI stays neutral with regard to jurisdictional claims in published maps and institutional affiliations. |
© 2022 by the author. Licensee MDPI, Basel, Switzerland. This article is an open access article distributed under the terms and conditions of the Creative Commons Attribution (CC BY) license (https://creativecommons.org/licenses/by/4.0/).







