Viral Infection Spreading and Mutation in Cell Culture
Abstract
:1. Introduction
- Virus concentration decay during time delay in its replication in cells;
- Explosive growth of concentration, when infected cells begin to reproduce new viruses;
- Propagation of infection wave along the cell culture.
2. Infection Progression with Single Virus
2.1. Virus Replication Number and Final Size of Infection
2.1.1. Virus Replication Number
2.1.2. Final Concentrations of Cells and Total Viral Load
2.1.3. Model with Time Delay
2.2. Spatial Infection Spreading
2.2.1. Wave Propagation
2.2.2. Model with Time Delay
2.2.3. Minimal Wave Speed
2.2.4. Wave Existence
3. Viral Infection with Mutation
3.1. Reduction to the One-Virus Model
Choice between Three Solutions
3.2. Method of Linearization
3.3. Multiple Mutations and Coinfections
4. Different Stages of Infection Progression
4.1. Single Virus
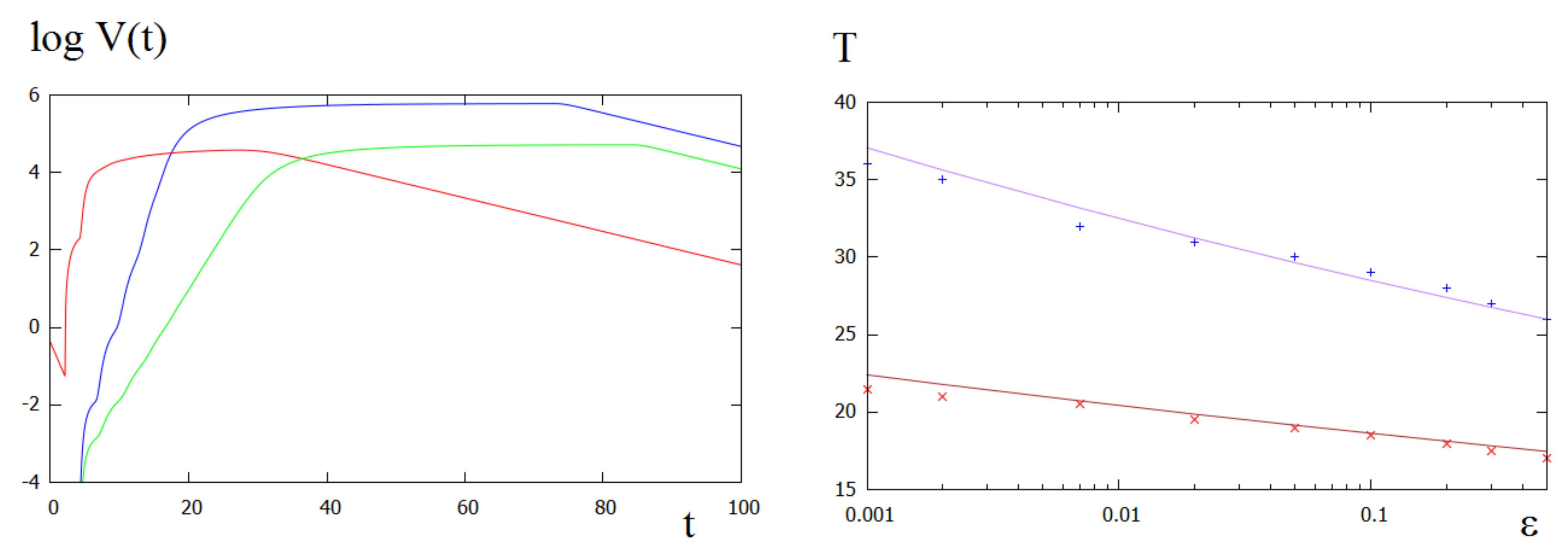
4.2. Virus Mutation and Competition
4.3. Values of Parameters
5. Discussion
Author Contributions
Funding
Institutional Review Board Statement
Informed Consent Statement
Data Availability Statement
Conflicts of Interest
References
- Czerkies, M.; Korwek, Z.; Prus, W.; Kochanczyk, M.; Jaruszewicz-Blonska, J.; Tudelska, K.; Blonski, S.; Kimmel, M.; Brasier, A.R.; Lipniacki, T. Cell fate in antiviral response arises in the crosstalk of IRF, NF-kB and JAK/STAT pathways. Nat. Commun. 2018, 9, 493. [Google Scholar] [CrossRef] [PubMed]
- Dykes, C.; Wang, J.; Jin, X.; Planelles, V.; An, D.S.; Tallo, A.; Huang, Y.; Wu, H.; Demeter, L.M. Evaluation of a multiple-cycle, recombinant virus, growth competition assay that uses flow cytometry to measure replication efficiency of human immunodeficiency virus type 1 in cell culture. J. Clin. Microbiol. 2006, 44, 1930–1943. [Google Scholar] [CrossRef] [PubMed] [Green Version]
- Jegouic, S.; Joffret, M.L.; Blanchard, C.; Riquet, F.B.; Perret, C.; Pelletier, I.; Colbere-Garapin, F.; Rakoto-Andrianarivelo, M.; Delpeyroux, F. Recombination between polioviruses and co-circulating coxsackie A viruses: Role in the emergence of pathogenic vaccine-derived polioviruses. PLoS Pathog. 2009, 5, e1000412. [Google Scholar] [CrossRef] [PubMed]
- Lindsay, S.M.; Timm, A.; Yin, J. A quantitative comet infection assay for influenza virus. J. Virol. Methods 2012, 179, 351–358. [Google Scholar] [CrossRef] [PubMed] [Green Version]
- Sims, A.C.; Baric, R.S.; Yount, B.; Burkett, S.E.; Collins, P.L.; Pickles, R.J. Severe acute respiratory syndrome coronavirus infection of human ciliated airway epithelia: Role of ciliated cells in viral spread in the conducting airways of the lungs. J. Virol. 2005, 79, 15511–15524. [Google Scholar] [CrossRef] [PubMed] [Green Version]
- Yin, J.; McCaskill, J.S. Replication of viruses in a growing plaque: A reaction-diffusion model. Biophys. J. 1992, 61, 1540–1549. [Google Scholar] [CrossRef]
- Holder, B.P.; Simon, P.; Liao, L.E.; Abed, Y.; Bouhy, X.; Beauchemin, C.A.; Boivin, G. Assessing the in vitro fitness of an Oseltamivir-resistant seasonal A/H1N1 influenza strain using a mathematical model. PLoS ONE 2011, 6, e14767. [Google Scholar] [CrossRef] [PubMed] [Green Version]
- Akpinar, F.; Inankur, B.; Yin, J. Spatial-temporal patterns of viral amplification and interference initiated by a single infected cell. J. Virol. 2016, 90, 7552–7566. [Google Scholar] [CrossRef] [PubMed] [Green Version]
- Rodriguez-Brenes, I.A.; Hofacre, A.; Fan, H.; Wodarz, D. Complex dynamics of virus spread from low infection multiplicities: Implications for the spread of oncolytic viruses. PLoS Comput. Biol. 2017, 13, e1005241. [Google Scholar] [CrossRef] [PubMed] [Green Version]
- Ait Mahiout, L.; Bessonov, N.; Kazmierczak, B.; Sadaka, G.; Volpert, V. Infection spreading in cell culture as a reaction-diffusion wave. EDP Sci. 2022. submitted. [Google Scholar]
- Hecht, F. New development in FreeFEM++. J. Numer. Math. 2012, 20, 251–256. [Google Scholar] [CrossRef]
- Kolmogorov, A.N.; Petrovskii, I.G.; Piskunov, N.S. Etude de l’quation de la chaleur avec croissance de la quantité de matière et son application à un problème biologique. Bull. Moskov. Gos. Univ. Mat. Mekh. 1937, 1, 1–25. [Google Scholar]
- Bessonov, N.; Bocharov, G.; Meyerhans, A.; Popov, V.; Volpert, V. Existence and Dynamics of Strains in a Nonlocal Reaction-Diffusion Model of Viral Evolution. SIAM J. Appl. Math. 2021, 81, 107–128. [Google Scholar] [CrossRef]
- Bocharov, G.; Meyerhans, A.; Bessonov, N.; Trofimchuk, S.; Volpert, V. Modelling the dynamics of virus infection and immune response in space and time. Int. J. Parallel Emergent Distrib. Syst. 2019, 34, 341–355. [Google Scholar] [CrossRef] [Green Version]
- Bocharov, G.; Meyerhans, A.; Bessonov, N.; Trofimchuk, S.; Volpert, V. Interplay between reaction and diffusion processes in governing the dynamics of virus infections. J. Theor. Biol. 2018, 457, 221–236. [Google Scholar] [CrossRef] [PubMed]





Publisher’s Note: MDPI stays neutral with regard to jurisdictional claims in published maps and institutional affiliations. |
© 2022 by the authors. Licensee MDPI, Basel, Switzerland. This article is an open access article distributed under the terms and conditions of the Creative Commons Attribution (CC BY) license (https://creativecommons.org/licenses/by/4.0/).
Share and Cite
Ait Mahiout, L.; Kazmierczak, B.; Volpert, V. Viral Infection Spreading and Mutation in Cell Culture. Mathematics 2022, 10, 256. https://doi.org/10.3390/math10020256
Ait Mahiout L, Kazmierczak B, Volpert V. Viral Infection Spreading and Mutation in Cell Culture. Mathematics. 2022; 10(2):256. https://doi.org/10.3390/math10020256
Chicago/Turabian StyleAit Mahiout, Latifa, Bogdan Kazmierczak, and Vitaly Volpert. 2022. "Viral Infection Spreading and Mutation in Cell Culture" Mathematics 10, no. 2: 256. https://doi.org/10.3390/math10020256
APA StyleAit Mahiout, L., Kazmierczak, B., & Volpert, V. (2022). Viral Infection Spreading and Mutation in Cell Culture. Mathematics, 10(2), 256. https://doi.org/10.3390/math10020256
