D3 Dihedral Logistic Map of Fractional Order †
Abstract
1. Introduction
2. D3 Dihedral Logistic Map of IO
3. Dihedral Logistic Map of FO
4. Stability of Fixed Points
5. Bifurcation Diagrams
- :
- Should the BD be considered as the “reunion” of all BSs?
- :
- Considering the intensive numerical experiments which indicate that different initial conditions generates different BSs, how many such BSs can be finally obtained and which one of these BSs should be considered the “right” BD?
- (i)
- Beside the dependence on initial conditions, because fractional derivatives are nonlocal operators, they present the so called memory effect which means that the actual behavior is not only influenced by the actual state of the underlying system but also by the events happened in the past. Therefore, beside the dependence on the initial conditions, at every moment n, the solutions and depends not only on and but also on all previous values and , for .
- (ii)
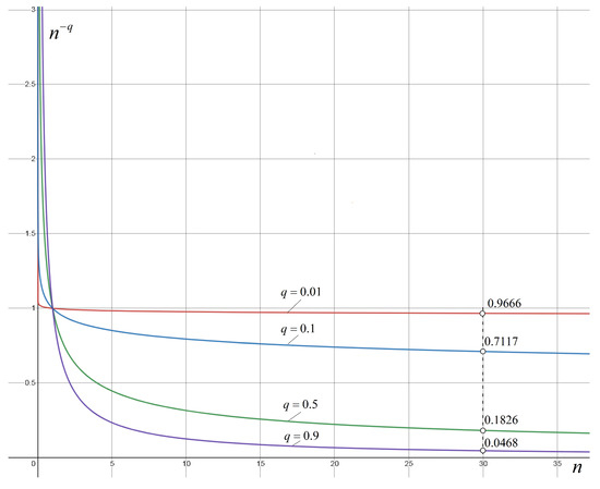
- Because the decay rate of the solutions in the asymptotically stable case is [40] (see also [14]), smaller values of q implies bigger errors, while to bigger values of q, close to 1, errors are smaller. In Figure 7, the graph of is represented as function of n for different values of q. For clarity, only first few dozens of values n have been considered. The circles at indicates the order of errors for each considered values of q. If one considers 10,000, from the curve one obtains 10,000, while the curve , gives 10,000.
6. Hidden Attractors
7. Symmetry Broken by the Fractional Order
8. Discussion
Author Contributions
Funding
Institutional Review Board Statement
Informed Consent Statement
Data Availability Statement
Acknowledgments
Conflicts of Interest
References
- Oldham, K.; Spanier, J. The Fractional Calculus: Theory and Applications of Differentiation and Integration to Arbitrary Order; Academic Press: New York, NY, USA, 1974. [Google Scholar]
- Podlubny, I. Geometric and physical interpretation of fractional integration and fractional differentiation. Fract. Calc. Appl. Anal. 2002, 5, 367–386. [Google Scholar]
- Danca, M.-F.; Feckan, M.; Kuznetsov, N.; Chen, G. Coupled Discrete Fractional-Order Logistic Maps. Mathematics 2021, 9, 2204. [Google Scholar] [CrossRef]
- Area, I.; Losada, J.; Nieto, J. On Fractional Derivatives and Primitives of Periodic Functions. Abstr. Appl. Anal. 2014, 2014, 392598. [Google Scholar] [CrossRef]
- Fečkan, M. Note on Periodic and Asymptotically Periodic Solutions of Fractional Differential Equations. In Studies in Systems, Decision and Control; Springer: Cham, Switzerland, 2020; Volume 177, pp. 153–185. [Google Scholar]
- Kang, Y.M.; Xie, Y.; Lu, J.; Jiang, J. On the nonexistence of non-constant exact periodic solutions in a class of the Caputo fractional-order dynamical systems. Nonlinear Dyn. 2015, 82, 1259–1267. [Google Scholar] [CrossRef]
- Kaslik, E.; Sivasundaram, S. Non-existence of periodic solutions in fractional-order dynamical systems and a remarkable difference between integer and fractional-order derivatives of periodic functions. Nonlinear Anal. Real World Appl. 2012, 13, 1489–1497. [Google Scholar] [CrossRef]
- Shen, J.; Lam, J. Non-existence of finite-time stable equilibria in fractional-order nonlinear systems. Automatica 2014, 50, 547–551. [Google Scholar] [CrossRef]
- Tavazoei, M.; Haeri, M. A proof for non existence of periodic solutions in time invariant fractional order systems. Automatica 2009, 45, 1886–1890. [Google Scholar] [CrossRef]
- Tavazoei, M. A note on fractional-order derivatives of periodic functions. Automatica 2010, 46, 945–948. [Google Scholar] [CrossRef]
- Yazdani, M.; Salarieh, H. On the existence of periodic solutions in time-invariant fractional order systems. Automatica 2011, 47, 1834–1837. [Google Scholar] [CrossRef]
- Bin, H.; Huang, L.; Zhang, G. Convergence and periodicity of solutions for a class of difference systems. Adv. Differ. Equ. 2006, 2006, 70461. [Google Scholar] [CrossRef][Green Version]
- Diblík, J.; Fečkan, M.; Pospisil, M. Nonexistence of periodic solutions and S-asymptotically periodic solutions in fractional difference equations. Appl. Math. Comput. 2015, 257, 230–240. [Google Scholar] [CrossRef]
- Edelman, M. Caputo standard α-family of maps: Fractional difference vs. fractional. Chaos 2014, 24, 023137. [Google Scholar] [CrossRef]
- Edelman, M. On stability of fixed points and chaos in fractional systems. Chaos 2018, 28, 023112. [Google Scholar] [CrossRef]
- Jonnalagadda, J. Periodic Solutions Of Fractional Nabla Difference Equations. Commun. Appl. Anal. 2016, 20, 585–610. [Google Scholar]
- Pospíšil, M. Note on fractional difference equations with periodic and S-asymptotically periodic right-hand side. Nonlinear Oscil. 2021, 24, 99–109. [Google Scholar]
- Jafari, S.; Sprott, J.; Nazarimehr, F. Recent new examples of hidden attractors. Eur. Phys. J. Spec. Top. 2015, 224, 1469–1476. [Google Scholar] [CrossRef]
- Kuznetsov, N. Theory of hidden oscillations and stability of control systems. J. Comput. Sys. Sc. Int. 2020, 59, 647–668. [Google Scholar] [CrossRef]
- Leonov, G.; Kuznetsov, N. Hidden attractors in dynamical systems. From hidden oscillations in Hilbert-Kolmogorov, Aizerman, and Kalman problems to hidden chaotic attractors in Chua circuits. Int. J. Bifurc. Chaos Appl. Sci. Eng. 2013, 23, 1330002. [Google Scholar] [CrossRef]
- Leonov, G.; Kuznetsov, N.; Mokaev, T. Homoclinic orbits, and self-excited and hidden attractors in a Lorenz-like system describing convective fluid motion. Eur. Phys. J. Spec. Top. 2015, 224, 1421–1458. [Google Scholar] [CrossRef]
- Anastassiou, G.A. Discrete fractional calculus and inequalities. arXiv 2009, arXiv:0911.3370. [Google Scholar]
- Bastos, N.R.O.; Ferreira, R.A.C.; Torres, D.F.M. Discrete-time fractional variational problems. Signal Process. 2011, 91, 513–524. [Google Scholar] [CrossRef]
- Cheng, J.-F.; Chu, Y.-M. On the fractional difference equations of order (2,q). Abstr. Appl. Anal. 2011, 2011, 497259. [Google Scholar] [CrossRef]
- Atici, F.M.; Eloe, P.W. Discrete fractional calculus with the nabla operator. Electron. J. Qual. Theory Differ. Equ. 2009, 3, 1–12. [Google Scholar] [CrossRef]
- Cheng, J.-F.; Chu, Y.-M. Fractional Difference Equations with Real Variable. In Abstract and Applied Analysis, Advanced Theoretical and Applied Studies of Fractional Differential Equations; Hindawi: London, UK, 2012; p. 918529. [Google Scholar]
- Jarad, F.; Abdeljawad, T.; Baleanu, D.; Biçen, K. On the stability of some discrete fractional nonautonomous systems. Abstr. Appl. Anal. 2012, 2012, 476581. [Google Scholar] [CrossRef]
- Rajagopal, K.; Panahi, S.; Chen, M.; Jafari, S.; Bao, B. Suppressing spiral wave turbulence in a simple fractional-order discrete neuron map using impulse triggering. Fractals 2021, 29, 2140030. [Google Scholar] [CrossRef]
- Danca, M.F.; Kuznetsov, N. Hidden chaotic sets in a Hopfield neural system. Chaos Solitons Fractals 2017, 103, 144–150. [Google Scholar] [CrossRef]
- Danca, M.-F.; Feckan, M.; Kuznetsov, N. Chaos control in the fractional order logistic map via impulses. Nonlinear Dyn. 2019, 98, 1219–1230. [Google Scholar] [CrossRef]
- Danca, M.F. Puu System of Fractional Order and Its Chaos Suppression. Symmetry 2020, 12, 340. [Google Scholar] [CrossRef]
- Field, M.; Golubitsky, M. Symmetric Chaos: How and Why. N. Am. Math. Soc. 1995, 42, 241–244. [Google Scholar]
- Field, M.; Golubitsky, M. Symmetry in Chaos; A Search for Pattern in Mathematics, Art and Nature, 2nd ed.; Society for Industrial and Applied Mathematics: Philadelphia, PA, USA, 2009. [Google Scholar]
- Chossat, P.; Golubitsky, M. Symmetry-increasing bifurcation of chaotic attractors. Physica D 1988, 32, 423–436. [Google Scholar] [CrossRef]
- Romera, M. Técnica de los sistemas dinámicos discretos (Textos Universitarios) (Spanish Edition) Paperback Consejo Superior de Investigaciones Cientificás; Consejo Superior de Investigaciones Cientificas: Serrano, Spain, 1997. [Google Scholar]
- Chen, F.; Luo, X.; Zhou, Y. Existence results for nonlinear fractional difference equation. Adv. Differ. Equ. 2011, 2011, 713201. [Google Scholar] [CrossRef]
- Abdeljawad, T. On Riemann and Caputo fractional differences. Comput. Math. Appl. 2011, 62, 1602–1611. [Google Scholar] [CrossRef]
- Atici, F.M.; Eloe, P.W. Initial value problems in discrete fractional calculus. Proc. Am. Math. Soc. 2007, 137, 981–989. [Google Scholar] [CrossRef]
- Stuart, A.; Humphries, A.R. Dynamical Systems and Numerical Analysis; Part of Cambridge Monographs on Applied and Computational Mathematics; Cambridge University Press: Cambridge, UK, 1999. [Google Scholar]
- Čermak, J.; Gyǒri, I.; Nechvátal, L. On explicit stability conditions for a linear fractional difference system. Fract. Calc. Appl. Anal. 2015, 18, 651–672. [Google Scholar] [CrossRef]
- Wang, Y.; Liu, S.; Li, H. On fractional difference logistic maps: Dynamic analysis and synchronous control. Nonlinear Dyn. 2020, 102, 579–588. [Google Scholar] [CrossRef]
- Prousalis, A.D.; Volos, C.K.; Bocheng, B.; Meletlidou, E.; Stouboulos, I.N.; Kyprianidis, I.M. Chapter 6—Extreme Multistability in a Hyperjerk Memristive System with Hidden Attractors. In Emerging Methodologies and Applications in Modelling, Recent Advances in Chaotic Systems and Synchronization; Boubaker, O., Jafari, S., Eds.; Academic Press: Cambridge, MA, USA, 2019; pp. 89–103. [Google Scholar]
- Guckenheimer, J. Sensitive dependence on initial conditions for one-dimensional maps. Commm. Math. Phys. 1979, 70, 133–160. [Google Scholar] [CrossRef]









Publisher’s Note: MDPI stays neutral with regard to jurisdictional claims in published maps and institutional affiliations. |
© 2022 by the authors. Licensee MDPI, Basel, Switzerland. This article is an open access article distributed under the terms and conditions of the Creative Commons Attribution (CC BY) license (https://creativecommons.org/licenses/by/4.0/).
Share and Cite
Danca, M.-F.; Kuznetsov, N. D3 Dihedral Logistic Map of Fractional Order. Mathematics 2022, 10, 213. https://doi.org/10.3390/math10020213
Danca M-F, Kuznetsov N. D3 Dihedral Logistic Map of Fractional Order. Mathematics. 2022; 10(2):213. https://doi.org/10.3390/math10020213
Chicago/Turabian StyleDanca, Marius-F., and Nikolay Kuznetsov. 2022. "D3 Dihedral Logistic Map of Fractional Order" Mathematics 10, no. 2: 213. https://doi.org/10.3390/math10020213
APA StyleDanca, M.-F., & Kuznetsov, N. (2022). D3 Dihedral Logistic Map of Fractional Order. Mathematics, 10(2), 213. https://doi.org/10.3390/math10020213

