Abstract
A new one-step hybrid block method with two-point third derivatives is developed to solve the second-order boundary value problems (BVPs). The mathematical derivation of the proposed method is based on the interpolation and collocation methods. The theoretical properties of the proposed method, such as consistency and convergence, are well analysed. Some BVPs with different boundary conditions are solved to demonstrate the efficiency and feasibility of the suggested method. The numerical results of the proposed method are much closer to the exact solutions and more competitive than other numerical methods in the available literature.
Keywords:
hybrid block method; boundary value problems; ordinary differential equations; convergence analysis; collocation and interpolation methods MSC:
65L10; 65L20; 65L60
1. Introduction and Description of the Problem
Numerous real-life application problems frequently lead to ODEs in which the dependent variable or its derivative are specified at more than one point. For second-order problems of the form
we have the following types of boundary conditions:
- (i)
- (ii)
- (iii)
Hence, when the ODEs, together with any form of the boundary conditions given above, are specified, one obtains a second-order boundary value problem (BVP) of ODEs. Here, I assume that the function f is continuous on and fulfills the Lipchitz’s conditions to satisfy the uniqueness and existence theorem (see Keller et al. [] and Soetaert et al. []).
The quest to tackle the class of BVP problems in Equations (1)–(4) theoretically or numerically has been of significant importance to scholars in the field of numerical solutions of the differential equations due to multiple practical applications of this problem in real-life modeling problems in various fields of applied and physical sciences and engineering.
The theoretical solution to the problem under consideration may be unknown or difficult to obtain due to the arbitrary nonlinearities of some of the problems of the form (1)–(4). Because of this reason, many research activities are are carried to develop numerical approaches for solving Equations (1)–(4).
There are many approximation methods for solving BVPs of ODEs in the literature. One of them is the shooting method. The shooting method (SM) is one of the existing methods for solving the class of BVPs in Equations (1)–(4). The SM gives a solution to Equations (1)–(4) by transforming them into a system of first-order IVPs of ODEs, which some initial-value solvers available for integrating first-order IVPs can solve. These solvers then find solutions to the obtained system of first-order IVPs for various initial conditions until one gets the solution that fulfills the desired boundary conditions (BCs) of the BVP.
One type of shooting method is the single shooting method (SSM). The SSM is easy to compute and implement. It is further compelling if the integration interval is small. However, a considerable large interval of integration needs a vast number of iterations, which is one of the demerits of the SSM. In addition, the SSM may be unstable for some BVPs, particularly the highly non-linear BVP of ODEs of the form (1)–(4). In the non-linear case, if the initial values are far from correct, the single SM always fails to obtain a correct solution.
Other types of shooting techniques have been proposed to overcome the the limitation associated with the SSM. One of the available shooting methods for increasing the accuracy of the SSM is the multiple SM, which decreases the distance of the growth of errors by partitioning the interval of integration. Multiple SM always gives better results than SSM. In addition, multiple SM can control the problem of instability for large intervals associated with the single SM by decreasing the growth of the solutions of the obtained systems of IVPs and partitioning the interval into several subintervals and then simultaneously improving the initial value to satisfy the boundary condition.
The SM can be applied effectively to the general non-linear second-order BVP of the form (1), with any of the boundary conditions given in Equations (3) and (4), where the non-linear terms pose no particular problems, and this is the main merit of utilising a shooting strategy as opposed to the finite difference method, in which a solution of finite difference equations is needed. However, the SM’s main drawback is that shooting for more than one BC requires high computational time to obtain good accuracy.
For more explanation on shooting methods theory, see Ascher et al. [], Ascher and Petzold [], Atkinson et al. [], Keskin [], and Hoffman [].
Several scholars have developed and used various approximate techniques for numerically integrating the type of problems under consideration. Some of these methods are the finite difference method, collocation method, spectral method, Galerkin method, variational iteration method, the Rayleigh–Ritz method, B-spline technique, the Adomian decomposition method, a fixed-point iteration with Green’s functions method, finite-element technique, B-spline linear multistep method, block method, the simple Homotopy perturbation method, higher derivative hybrid block techniques, or the trigonometrically fitted predictor–corrector method (see [,,,,,,,,,,,,,,,,,,]).
The research on BVPs is one of the important areas in applied and computational mathematics because it plays an essential role in modeling real-life problems in astrophysics, heat transfer, fluid mechanics and dynamics and physical and chemical phenomena such as electromagnetic radiation reactions, chemical reactor theory, isothermal packed-bed reactor and numerous other real-world differential problems, which can be modeled by Equations (1)–(4). For more details about the application of BVPs for modeling real-life differential problems, see [,,,]. Motivated by the different applications of the BVPs in real-world modeling problems in applied sciences and engineering mentioned above and with the aims of improving the accuracy of some existing methods for solving Equations (1)–(4), in this research paper, a new two-point third-derivative hybrid block method (TDHBM) is proposed to provide a better numerical solution to BVP in Equations (1)–(4).
2. Derivation of the TDHBM
This section aims to derive a TDHBM with two intermediate points on the interval . To derive the proposed TDHBM, I assume that the theoretical solution is approximated by a polynomial , i.e.,
from the above equation, we obtain
in which are real unknown coefficients that will be evaluated using collocation conditions at specific points. Consider the two off-grid points and on and the approximations in Equations (5) and (6) evaluated at the point ; its second derivative in Equation (7) is applicable to the points , and its third derivative in Equation (8) is applicable to the points As a result, I obtain a system of eight equations with eight real unknowns, , written in matrix form as
I obtain the values of the coefficients by solving the above system of equations using the Gaussian elimination method. Then, after mathematical simplifications, I rewrite the polynomial in Equation (5) as follows
where the coefficients of the continuous scheme in the above equation is given by
The following main formulas that approximate the solutions and are obtained by evaluating (5) and (6) at the point :
The evaluations of and at the points are also considered in order to produce a total of six formulas that form the TDHBM. The obtained four formulas after the evaluation and simplification are listed below
3. Theoretical Analysis
In this section, the characteristics of the suggested TDHBM are investigated; one of the most difficult tasks is to analyse the convergence of the proposed method.
3.1. Consistency and Order of the TDHBM
I obtain the local truncation error for each of the formulas given in Equations (10)–(13) by transferring all of the terms to the left, replacing the approximate solution with the true solutions, and expanding the obtained expression by Taylor series in powers of h. By doing this, I obtain the order (p) and the LTEs reported in the following Table 1.

Table 1.
Order (p) and local truncation errors (LTEs) for the TDHBM method.
Table 1 shows that each of the above formulas is of order 6. Since the order of the formulas is greater than one, the TDHBM method is consistent.
3.2. Convergence Analysis
This subsection focuses on the convergence analysis of the suggested TDHBM method.
Theorem 1
(Convergence Theorem []). Let denote the true solution to problem (1) along with the boundary conditions in (2), and denote the discrete solution provided by the proposed method. Then, the proposed method is convergent of order six.
Proof.
I begin the proof by letting A denote the matrix indicated by
where the components are submatrices, with the exception of the which has elements, and the with the size . These submatrices are provided below
On the other hand, let U be a matrix defined by
where the elements are submatrices except for which have size . Those submatrices are given as follows
where the remaining submatrices are null matrices.
I remark that all the submatrices and contain the coefficients of the proposed method in Equations (10) and (11) for . I proceed to define the vectors of exact values as follows
I also note that Q has components, while F has components.
By employing the notations mentioned above, the exact form of the system that gives the approximate values for the problem under consideration is defined by
where
and
Similarly, the system to obtain the approximate values of the problem under consideration is denoted by
where approximates the vector , that is,
and
Using Mean-Value Theorem (see []), one can express for
where and are intermediate points on the line segment joining to . Thus, I obtain
I have that for sufficiently small values of , the equation in (18) may be rewritten as
I take into account the maximum norm in , , and the associated matrix induced norm in . By expanding every term of in series around h, it can be proved that . For the details to prove that , see []. Then, by assuming that has in bounded derivatives up to the required order, I deduce that:
From the above result, the proposed TDHBM is a six-order convergent method. □
4. Implementation and Numerical Experiments
Here, I discuss the computational details and apply the proposed TDHBM method for solving Equations (1)–(4).
Implementation
I denote the set of equations in Equations (10)–(13) by , taking into account the mixed boundary conditions in Equation (4) to formulate the algebraic system as follows
In addition, the unknowns are denoted by
I solve the system using the following Newton iteration
where the Jacobian matrix of is denoted by . I take into consideration a stopping criterion with a maximum of 100 iterations and an error of less than between two successive approximations.
I apply a homotopy-type procedure to obtain suitable starting values for Newton’s method by considering a family of non-linear BVPs , such that for , the problem permits only the solution , while for , I obtain the original problem. In this manner, I obtain a family of BVPs represented by
for . For , the nonlinear system related to the original problem is solved, taking the values obtained after solving the problem as initial guesses.
5. Numerical Experiments
This section presents the numerical solutions for the problems of the form (1)–(4) using the proposed TDHBM method. The accuracy of the TDHBM is measured by utilising the maximum absolute error (MAE) and the rate of convergence (ROC) formulas:
where is the exact solution, and is the computed result at each point of the discrete grid.
Methods considered for numerical comparisons are indicated by:
- TDHBM: The third derivative one-step hybrid block method derived in this paper.
- TDFM: The third-derivative Falkner method of order six in [].
- FDM: The finite difference method in [].
- BSCM: The B-spline collocation method proposed in [].
- DQCM: The differential quadrature collocation method in [].
Some numerical experiments used to demonstrate the efficiency of the proposed TDHBM method are presented below:
5.1. Numerical Experiment 1
As a first numerical experiment, I consider the following isothermal packed-bed reactor BVP []
where is obtained on the basis that the exact solution of the isothermal packed-bed reactor BVP given in Equation (22) is
where denotes the axial Peclet number, and R stands for the reaction rate group.
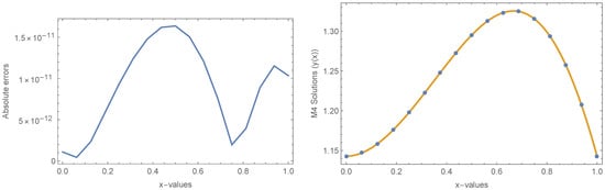
The problem (22) is solved using the new TDHBM method with . Table 2 shows that the proposed method’s numerical results are much closer to the exact solutions. In Table 3, one can see that the obtained is consistent with the theoretical analysis of the proposed TDHBM method. Problem (22) is also solved by [] using the same values of . It is worth noting that the reported MAE for the FDM with is , while for the TDHBM with , the MAE is , confirming a better performance of the proposed TDHBM method. Moreover, Figure 1 shows the good results obtained with the TDHBM method when solving the isothermal packed-bed reactor BVP.

Table 2.
Numerical results for Problem (22) with .

Table 3.
MAEs and order of convergence for Problem (22).

Figure 1.
Plots of absolute errors (left), exact and TDHBM solutions (right) for Problem (22) with .
5.2. Numerical Experiment 2
In the next experiment, I consider
subject to
whose true solution is
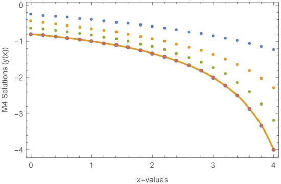
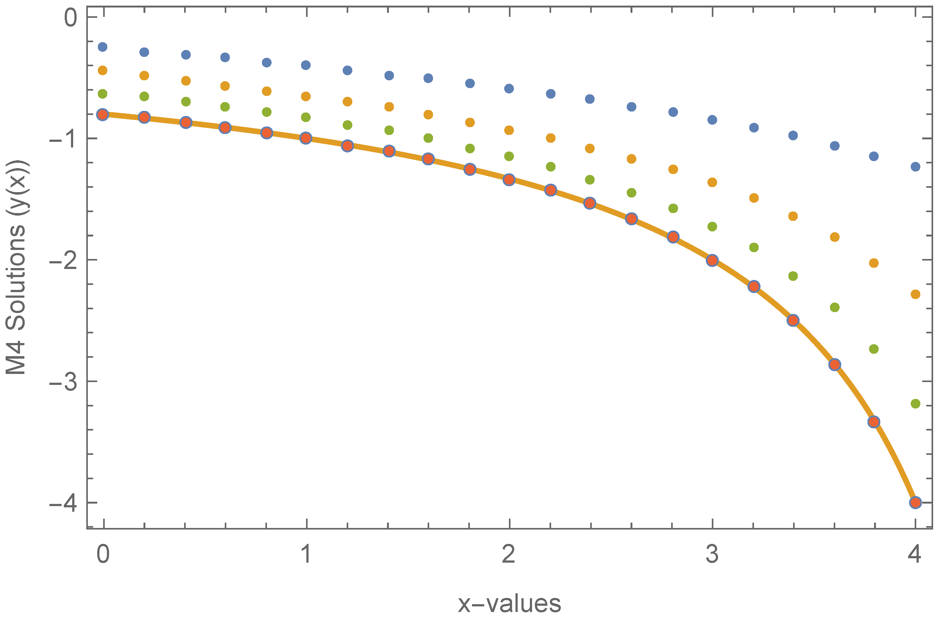
The approximate solutions to Problem (23) are compared in Table 4. The data in Table 4 show that the results obtained with TDHBM are more accurate than the TDFM and BSCM methods. Additionally, Figure 2 compares the theoretical and approximative solutions for Problem (23) utilizing the homotopy-type approach with .

Table 4.
Comparison of MAEs and order of convergence for Problem (23).

Figure 2.
Exact and discrete solutions with the method TDHBM on Problem (23) with .
5.3. Numerical Experiment 3
In the next experiment, I consider a stiff second-order BVP with Dirichlet boundary conditions
subject to
The exact solution is
Table 5 illustrates the comparison of the MAEs with for different step sizes, indicating the better efficiency of the proposed approach.

Table 5.
Comparison of MAEs and order of convergence for Problem (24).
5.4. Numerical Experiment 4
For the last numerical experiment, I consider
subject to
where and
The analytical solution of Problem (25) is:
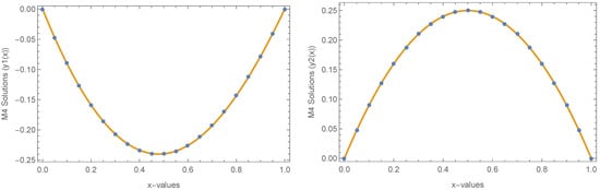
From Table 6, one can see that the TDHBM is much more accurate than the technique utilised for comparison. Additionally, the plots in Figure 3 show that the numerical solution provided by the TDHBM method agrees with the analytical solution.

Table 6.
Comparison of the MAE on Problem (25) with .

Figure 3.
Exact and discrete solutions with the method TDHBM on Problem (25) with .
6. Conclusions
This manuscript has proposed a third-derivative one-step hybrid block method (TDHBM) to solve second-order BVPs directly. The proposed method’s numerical results demonstrate that it is suitable and efficient for solving the BVPs under consideration. In summary, I conclude thatthe TDHBM method suggested in this article is more accurate and effectively competitive than some of the existing numerical approaches for integrating the problem given in Equations (1)–(4).
Funding
This research did not receive any funding.
Institutional Review Board Statement
Not applicable.
Informed Consent Statement
Not applicable.
Data Availability Statement
Not applicable.
Conflicts of Interest
The author declares that there is no conflict of interest.
References
- Keller, H.B. Numerical Methods for Two-Point Boundary Value Problems; Dover Publications: New York, NY, USA, 1992. [Google Scholar]
- Soetaert, K.; Cash, J.; Mazzia, F. Solving Differential Equations in R; Springer: Berlin/Heidelberg, Germany, 2012. [Google Scholar]
- Ascher, U.M.; Mattheij, R.M.M.; Russell, R.D. Numerical solution of boundary value problems for ordinary differential equations. In Classics in Applied Mathematics; Society for Industrial and Applied Mathematics (SIAM): Philadelphia, PA, USA, 1995; Volume 13. [Google Scholar]
- Ascher, U.M.; Petzold, L.R. Computer Methods for Ordinary Differential Equations and Differential-Algebraic Equations; Society for Industrial and Applied Mathematics (SIAM): Philadelphia, PA, USA, 1998. [Google Scholar]
- Atkinson, K.E.; Han, W.; Stewart, D. Numerical Solution of Ordinary Differential Equations; John Wiley and Sons: Hoboken, NJ, USA, 2009. [Google Scholar]
- Keskin, A.U. Boundary Value Problems for Engineers with MATLAB Solutions; Springer: Berlin/Heidelberg, Germany, 2019. [Google Scholar]
- Hoffman, J.D. Numerical Methods for Engineers and Scientists, 3rd ed.; Marcel Dekker, Inc.: New York, NY, USA, 2001; Chapter 8. [Google Scholar]
- Amodio, P.; Sgura, I. High-order flnite difierence schemes for the solution of second-order BVPs. J. Comput. Appl. Math. 2005, 176, 59–76. [Google Scholar] [CrossRef][Green Version]
- Asaithambi, A. A Second-Order Finite-Difference Method for the Falkner-Skan Equation. Appl. Math. Comput. 2004, 156, 779–786. [Google Scholar] [CrossRef]
- Buckmire, R. Application of a Mickens finite-difference scheme to the cylindrical Bratu-Gelfand problem. Numer. Methods Partial. Differ. Equations 2004, 20, 327–337. [Google Scholar] [CrossRef]
- Boyd, J.P. Chebyshev and Fourier Spectral Methods; Courier Corporation: Chelmsford, MA, USA, 2001. [Google Scholar]
- Canuto, C.; Hussaini, M.Y.; Quarteroni, A.; Zang, T.A. Spectral Methods. Fundamentals in Single Domains; Springer: Berlin/Heidelberg, Germany, 2006. [Google Scholar]
- Hairer, E.; Norsett, S.P.; Wanner, G. Solving Ordinary Differential Equations I, Nonstiff Problems; Springer: Berlin/Heidelberg, Germany, 1993. [Google Scholar]
- El-Salam, F.A.A.; El-Sabbagh, A.A.; Zaki, Z.A. The Numerical Solution of Linear Third Order Boundary Value Problems using Non-polynomial Spline Technique. J. Am. Sci. 2010, 6, 303–309. [Google Scholar]
- Akram, G.; Rehman, H. Homotopy perturbation method with reproducing kernel method for third order non linear boundary value problems. J. Basic. Appl. Sci. Res. 2014, 4, 60–67. [Google Scholar]
- Temimi, A. Discontinuous Galerkin finite element method for solving the Troeschs problem. Appl. Math. Comput. 2012, 219, 521–529. [Google Scholar]
- Rufai, M.A.; Ramos, H. Numerical integration of third-order singular boundary-value problems of Emden–Fowler type using hybrid block techniques. Commun. Nonlinear Sci. Numer. Simul. 2022, 105, 106069. [Google Scholar] [CrossRef]
- Ramos, H.; Rufai, M.A. Two-step hybrid block method with fourth derivatives for solving third-order boundary value problems. J. Comput. Appl. Math. 2022, 404, 113419. [Google Scholar] [CrossRef]
- Ramos, H.; Rufai, M.A. Numerical solution of boundary value problems by using an optimized two-step block method. Numer. Algorithms 2020, 84, 229–251. [Google Scholar] [CrossRef]
- Rufai, M.A.; Ramos, H. Numerical Solution for Singular Boundary Value Problems Using a Pair of Hybrid Nyström Techniques. Axioms 2021, 10, 202. [Google Scholar] [CrossRef]
- Rufai, M.A.; Ramos, H. Numerical solution of Bratu’s and related problems using a third derivative hybrid block method. Comput. Appl. Math. 2020, 39, 322. [Google Scholar] [CrossRef]
- Adeyefa, E.O.; Omole, E.O.; Shokri, A.; Nonlaopon, K. Numerical simulation of discretized second-order variable coefficient elliptic PDEs by a classical eight-step model. Results Phys. 2022, 41, 105922. [Google Scholar] [CrossRef]
- Shokri, A.; Hosein, S. Trigonometrically fitted high-order predictor–corrector method with phase-lag of order infinity for the numerical solution of radial Schrödinger equation. J. Math. Chem. 2014, 52, 1870–1894. [Google Scholar] [CrossRef]
- Rufai, M.A.; Ramos, H. One-step hybrid block method containing third-derivatives and improving strategies for solving Bratu’s and Troesch’s problems. Numer. Math. Theory Methods Appl. 2020, 13, 946–972. [Google Scholar]
- Ramos, H.; Singh, G. Solving second order two-point boundary value problems accurately by a third derivative hybrid block integrator. Appl. Math. Comput. 2022, 421, 126960. [Google Scholar] [CrossRef]
- Mazzia, F.; Sestini, A.; Trigiante, B. B-spline linear multistep methods and their continuous extensions. SIAM J. Numer. Anal. 2006, 44, 1954–1973. [Google Scholar] [CrossRef]
- Tafakkori–Bafghi, M.; Loghmani, G.B.; Heydari, M. Numerical solution of two-point nonlinear boundary value problems via Legendre–Picard iteration method. Math. Comput. Simul. 2022, 199, 133–159. [Google Scholar] [CrossRef]
- Brugnano, L.; Trigiante, D. Solving Differential Problems by Multistep Initial and Boundary Value Methods; Gordon and Breach Science Publishers: Philadelphia, PA, USA, 1998. [Google Scholar]
- Burden, R.L.; Faires, J.D. Numerical Analysis, 9th ed.; Brookscole: Boston, MA, USA, 2011. [Google Scholar]
- Butcher, J.C. Numerical Methods for Ordinary Differential Equations; Wiley: New York, NY, USA, 2016. [Google Scholar]
- Dym, H. Linear Algebra in Action; AMS: Providence, RI, USA, 2007. [Google Scholar]
- Ramos, H.; Rufai, M.A. A third-derivative two-step block Falkner-type method for solving general second-order boundary-value systems. Math. Comput. Simul. 2019, 165, 139–155. [Google Scholar] [CrossRef]
- Pandey, P.K. Finite Difference Method for a Second-order Ordinary Differential Equation with a Boundary Condition of the Third Kind. Comput. Methods Appl. Math. 2010, 10, 109–116. [Google Scholar] [CrossRef]
- Lang, F.G.; Xu, X.P. Quintic b-spline collocation method for second order mixed boundary value problem. Comp. Phy. Comm. 2012, 183, 913–921. [Google Scholar] [CrossRef]
- Dehghan, M.; Nikpour, A. Numerical solution of the system of second-order boundary value problems using the local radial basis functions based differential quadrature collocation method. Appl. Math. Model. 2013, 37, 8578–8599. [Google Scholar] [CrossRef]
Publisher’s Note: MDPI stays neutral with regard to jurisdictional claims in published maps and institutional affiliations. |
© 2022 by the author. Licensee MDPI, Basel, Switzerland. This article is an open access article distributed under the terms and conditions of the Creative Commons Attribution (CC BY) license (https://creativecommons.org/licenses/by/4.0/).