Monitoring in a Discrete-Time Nonlinear Age-Structured Population Model with Changing Environment
Abstract
1. Introduction
2. Nonlinear Leslie-Type Model
2.1. Nonlinear Model
2.2. Equilibrium of the Model
2.3. Invariant Set
3. Stability of the Positive Equilibrium
4. Construction of a Local Observer
4.1. Observability of the System: Observing the Second Age Class
4.2. Construction of a Local Observer: Observing the Second Age Class
- (a)
- .
- (b)
- For close enough to , for some M > 0 and 0 < a < 1, we have
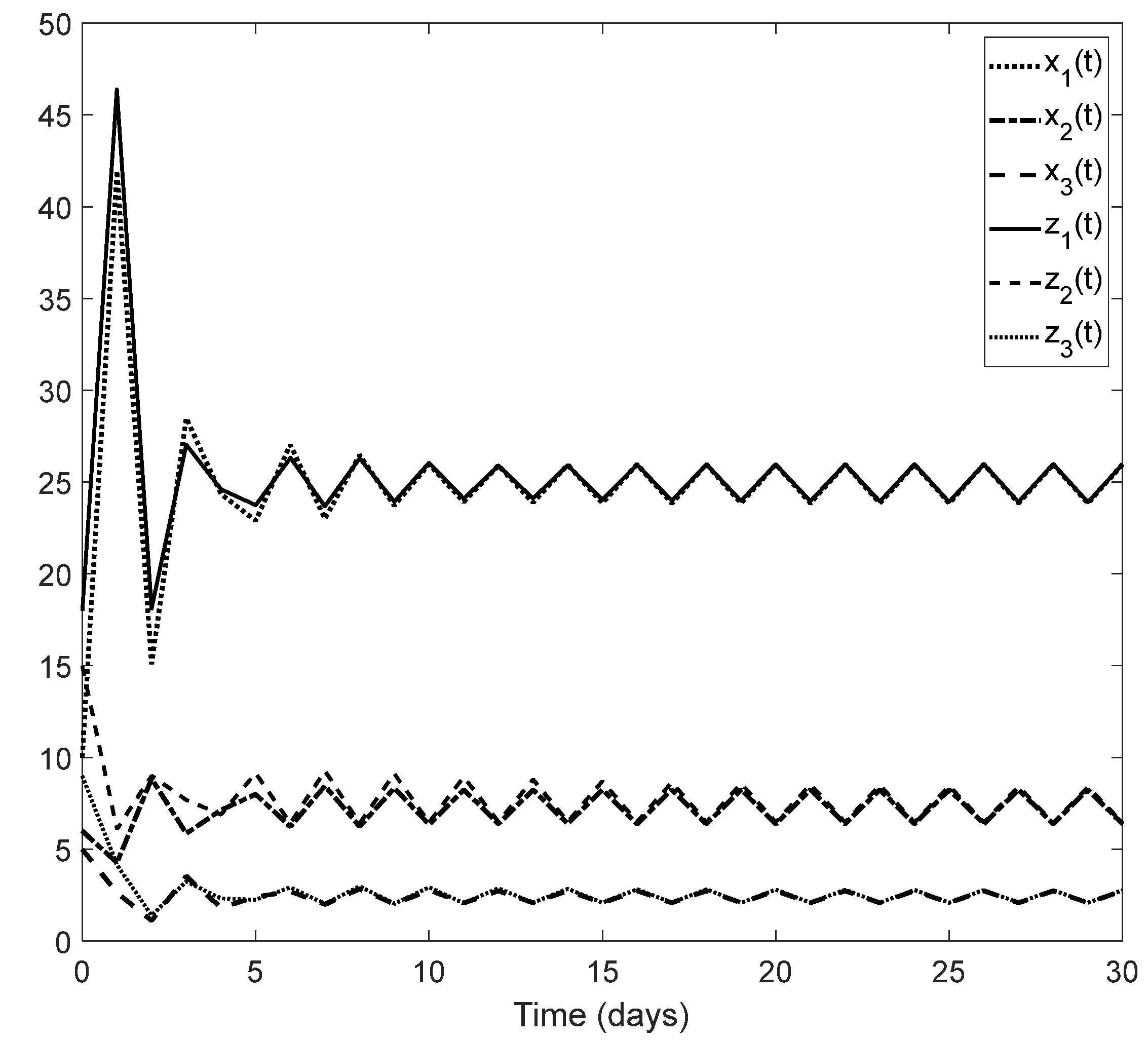
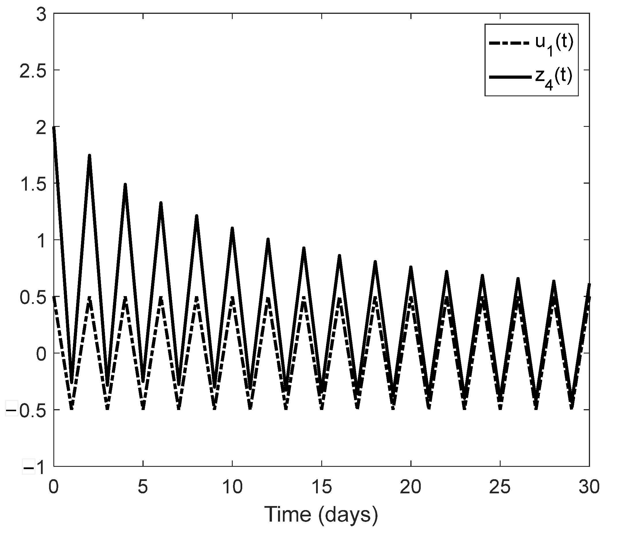
5. Construction of an Observer System with Environmental Change
5.1. Constant Environmental Change Affecting a Reproduction Rate
5.2. Periodic Environmental Change in a Survival Rate
6. Discussion and Outlook
Author Contributions
Funding
Institutional Review Board Statement
Informed Consent Statement
Data Availability Statement
Acknowledgments
Conflicts of Interest
References
- Kalman, R.E.; Falb, P.L.; Arbib, M.A. Topics in Mathematical System Theory; McGraw-Hill: New York, NY, USA, 1969. [Google Scholar]
- Varga, Z. On observability of Fisher’s model of selection. Pure Math. Appl. 1992, 3, 15–25. [Google Scholar]
- Gámez, M.; López, I.; Rodríguez, C.; Varga, Z.; Garay, J. Observation and control in models of population genetics. J. Frankl. Inst. 2017, 354, 7359–7384. [Google Scholar] [CrossRef]
- Sundarapandian, V. Local observer design for nonlinear systems. Math. Comput. Model. 2002, 35, 25–36. [Google Scholar] [CrossRef]
- Gámez, M.; López, I.; Garay, J.; Varga, Z. Observation and control in a model of a cell population affected by radiation. Biosystems 2009, 96, 172–177. [Google Scholar] [CrossRef] [PubMed]
- Gámez, M.; López, I.; Varga, Z.; Garay, J. Stock estimation, environmental monitoring and equilibrium control of a fish population with reserve area. Rev. Fish Biol. Fish. 2012, 22, 751–766. [Google Scholar] [CrossRef]
- López, I.; Gámez, M.; Garay, J.; Varga, Z. Monitoring in a Lotka—Volterra model. Biosystems 2007, 87, 68–74. [Google Scholar] [CrossRef]
- Varga, Z. Applications of mathematical systems theory in population biology. Period. Math. Hung. 2008, 56, 157–168. [Google Scholar] [CrossRef]
- Gámez, M. Observation and control in density- and frequency-dependent population models. In Ecological Modeling; Zhang, W.J., Ed.; Nova Science Publishers: New York, NY, USA, 2011; pp. 285–306. [Google Scholar]
- Varga, Z.; Gámez, M.; López, I. Recent developments in monitoring of complex population systems. Am. J. Oper. Res. 2013, 3, 167–180. [Google Scholar] [CrossRef]
- López, I.; Puertas, M.L.; Rodríguez, C.; Gámez, M.; Varga, M. Robust observer design by sign-stability for the monitoring of population systems. J. Frankl. Inst. 2019, 356, 2240–2257. [Google Scholar] [CrossRef]
- Gámez, M.; López, I.; Rodríguez, C.; Varga, Z.; Garay, J. Ecological monitoring in a discrete-time prey-predator model. J. Theor. Biol. 2017, 429, 52–60. [Google Scholar] [CrossRef]
- Sundarapandian, V. Observer design for discrete-time nonlinear systems. Math. Comput. Model. 2002, 35, 37–44. [Google Scholar] [CrossRef]
- Gődényné Hajdu, G.; Varga, Z. Observer design for a nonlinear multi-stage population dynamics. In Synergy in the Technical Development of Agriculture and Food Industry: 2-nd. International Conference on Agricultural Engineering, Godollo, Hungary, 9–15 October 2011; Szabó, I., Magó, Z., Kurják, Z., Eds.; Szent István University Publishers: Godollo, Hungary, 2011; p. 88. [Google Scholar]
- Bernadelli, H. Population waves. J. Burma Res. Soc. 1941, 31, 1–18. [Google Scholar]
- Leslie, P.H. On the use of matrices in certain population mathematics. Biometrika 1945, 33, 183–212. [Google Scholar] [CrossRef] [PubMed]
- Leslie, P.H. Some further notes on the use of matrices in certain population mathematics. Biometrika 1948, 35, 213–245. [Google Scholar] [CrossRef]
- Caswell, H. Matrix Population Models; Sinauer Ass. Inc. Publisher: Souderland, MA, USA, 2001. [Google Scholar]
- Farina, L.; Rinaldi, S. Positive Linear Systems: Theory and Applications; Wiley: Hoboken, NJ, USA, 2000. [Google Scholar]
- Pianese, A.; Attias, A.; Varga, Z. Dynamic immigration control improving inverse old-age dependency ratio in a pay-as-you-go pension system. Decis. Support Syst. 2014, 64, 109–117. [Google Scholar] [CrossRef]
- Gantmacher, F.R. Matrix Theory; Chelsea: New York, NY, USA, 1959. [Google Scholar]
- Varga, Z. On the asymptotic behaviour of a continuous time, age-specific population growth model. Abstr. Bot. 1986, 10, 357–366. [Google Scholar]
- Beverton, R.J.H.; Holt, S.J. On The Dynamics of Exploited Fish Populations; Chapman & Hall: London, UK, 1957. [Google Scholar]
- Getz, W.M.; Haight, R.G. Population harvesting. Demographic models of fish, forest, and animal resources. In Monographs in Population Biology; Princeton University Press: Princeton, NJ, USA, 1989; Volume 27. [Google Scholar]
- Sharma, R.; Porch, C.E.; Babcock, E.A.; Maunder, M.N.; Punt, A.E. Recruitment: Theory, estimation, and application in fishery stock assessment models. Fish. Res. 2019, 217, 1–4. [Google Scholar] [CrossRef]
- Jensen, A.L. Simple density-dependent matrix model for population projection. Ecol. Model. 1995, 77, 43–48. [Google Scholar] [CrossRef]
- Liu, L.; Cohen, J.E. Equilibrium and local stability in a logistic matrix model for age-structured populations. J. Math. Biol. 1987, 25, 73–88. [Google Scholar] [CrossRef]
- Lefkovitch, L. The study of population growth in organisms grouped by stages. Biometrics 1965, 21, 1–18. [Google Scholar] [CrossRef]
- Logofet, D.O.; Salguero-Gómez, R. Novel challenges and opportunities in the theory and practice of matrix population modelling: An editorial for the special feature “Theory and Practice in Matrix Population Modelling”. Ecol. Model. 2021, 443, 109457. [Google Scholar] [CrossRef]
- Logofet, D.O.; Ulanova, N.G. From population monitoring to a mathematical model: A new paradigm of population research. Biol. Bull. Rev. 2022, 12, 279–303. [Google Scholar] [CrossRef]
- Logofet, D.O.; Klochkova, I.N. Mathematics of Lefkovitch model: Reproductive potential and asymptotic cycles. Mat. Model. 2002, 14, 116–126. [Google Scholar]
- Svirezhev, Y.M.; Logofet, D.O. Stability of Biological Communities (Revised from the 1978 Russian Edition); Mir Publishers: Moscow, Russia, 1983. [Google Scholar]
- Logofet, D.O. Matrices and Graphs. Stability Problems in Mathematical Ecology; CRC Press: Boca Raton, FL, USA, 1993; Reprinted in 2018. [Google Scholar]
- Schreiber, M.M. Integrated Pest Management Systems: A Research Approach (No. 985); Agricultural Experiment Station, Purdue University: West Lafayette, IN, USA, 1987. [Google Scholar]
- Lima, M.C.F.; de Almeida Leandro, M.E.D.; Valero, C.; Coronel, L.C.P.; Bazzo, C.O.G. Automatic detection and monitoring of insect pests—A review. Agriculture 2020, 10, 161. [Google Scholar] [CrossRef]
- Guiro, A.; Iggidr, A.; Ngom, D. On the stock estimation for a harvested fish population. Bull. Math. Biol. 2012, 74, 116–142. [Google Scholar] [CrossRef]
- Isidori, A. Non Linear Control Systems; Springer: New York, NY, USA, 1995. [Google Scholar]
- Ngom, D.; Iggidr, A.; Guiro, A.; Ouahbi, A. An observer for a nonlinear age-structured model of a harvested fish population. Math. Biosci. Eng. 2008, 5, 337–354. [Google Scholar] [PubMed]
- Garay, J.; Sebestyén, Z.; Varga, Z.; Gámez, M.; Torres, A.; Belda, J.E.; Cabello, T. A new multistage dynamic model for biological control exemplified by the host-parasitoid system Spodoptera exigua-Chelonusoculator. J. Pest Sci. 2015, 88, 343–358. [Google Scholar] [CrossRef]
- Villaverde, A.F. Observability and structural identifiability of nonlinear biological systems. Complexity 2019, 2019, 8497093. [Google Scholar] [CrossRef]
- Anstett, F.; Bloch, G.; Millérioux, G.; Denis-Vidal, L. Identifiability of discrete-time nonlinear systems: The local state isomorphism approach. Automatica 2008, 44, 2884–2889. [Google Scholar] [CrossRef][Green Version]








Publisher’s Note: MDPI stays neutral with regard to jurisdictional claims in published maps and institutional affiliations. |
© 2022 by the authors. Licensee MDPI, Basel, Switzerland. This article is an open access article distributed under the terms and conditions of the Creative Commons Attribution (CC BY) license (https://creativecommons.org/licenses/by/4.0/).
Share and Cite
López, I.; Varga, Z.; Gámez, M.; Garay, J. Monitoring in a Discrete-Time Nonlinear Age-Structured Population Model with Changing Environment. Mathematics 2022, 10, 2707. https://doi.org/10.3390/math10152707
López I, Varga Z, Gámez M, Garay J. Monitoring in a Discrete-Time Nonlinear Age-Structured Population Model with Changing Environment. Mathematics. 2022; 10(15):2707. https://doi.org/10.3390/math10152707
Chicago/Turabian StyleLópez, Inmaculada, Zoltán Varga, Manuel Gámez, and József Garay. 2022. "Monitoring in a Discrete-Time Nonlinear Age-Structured Population Model with Changing Environment" Mathematics 10, no. 15: 2707. https://doi.org/10.3390/math10152707
APA StyleLópez, I., Varga, Z., Gámez, M., & Garay, J. (2022). Monitoring in a Discrete-Time Nonlinear Age-Structured Population Model with Changing Environment. Mathematics, 10(15), 2707. https://doi.org/10.3390/math10152707

